Anti-Obesity Effect of Liposomal Suspension and Extracts of Hibiscus sabdariffa and Zingiber officinale in a Murine Model Fed a Hypercaloric Diet
Abstract
1. Introduction
2. Material and Methods
2.1. Extracts Preparation
2.2. Determination of Total Phenolic Compound Content
2.3. Untargeted Phytochemical Profiling Using FTICR-MS
2.4. Preparation of Liposomal Suspension
2.5. Average Particle Size and Zeta Potential
2.6. Encapsulation Efficiency of Phenolic Compounds
2.7. Particle Concentration in the Liposomal Suspension
2.8. Confocal Laser Scanning Microscopy (CLSM)
2.9. Evaluation of the Murine Model
2.10. Statistical Analysis
3. Results and Discussion
3.1. Characterization of Treatments
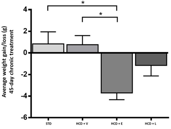
3.2. Obesity Murine Model
4. Conclusions
Author Contributions
Funding
Institutional Review Board Statement
Informed Consent Statement
Data Availability Statement
Acknowledgments
Conflicts of Interest
Abbreviations
References
- Jamrozik, D.; Borymska, W.; Kaczmarczyk-Żebrowska, I. Hibiscus sabdariffa in Diabetes Prevention and Treatment—Does It Work? An Evidence-Based Review. Foods 2022, 11, 2134. [Google Scholar] [CrossRef]
- Duque-Soto, C.; Expósito-Almellón, X.; García, P.; Pando, M.E.; Borrás-Linares, I.; Lozano-Sánchez, J. Extraction, Characterization, and Bioactivity of Phenolic Compounds—A Case on Hibiscus Genera. Foods 2023, 12, 963. [Google Scholar] [CrossRef] [PubMed]
- Kiyama, R. Nutritional implications of ginger: Chemistry, biological activities and signaling pathways. J. Nutr. Biochem. 2020, 86, 108486. [Google Scholar] [CrossRef]
- Ballester, P.; Cerdá, B.; Arcusa, R.; Marhuenda, J.; Yamedjeu, K.; Zafrilla, P. Effect of Ginger on Inflammatory Diseases. Molecules 2022, 27, 7223. [Google Scholar] [CrossRef]
- Munin, A.; Edwards-Lévy, F. Encapsulation of Natural Polyphenolic Compounds; a Review. Pharmaceutics 2011, 3, 793–829. [Google Scholar] [CrossRef]
- Luca, S.V.; Macovei, I.; Bujor, A.; Miron, A.; Skalicka-Woźniak, K.; Aprotosoaie, A.C.; Trifan, A. Bioactivity of dietary polyphenols: The role of metabolites. Crit. Rev. Food Sci. Nutr. 2020, 60, 626–659. [Google Scholar] [CrossRef]
- Costa, M.; Sezgin-Bayindir, Z.; Losada-Barreiro, S.; Paiva-Martins, F.; Saso, L.; Bravo-Díaz, C. Polyphenols as Antioxidants for Extending Food Shelf-Life and in the Prevention of Health Diseases: Encapsulation and Interfacial Phenomena. Biomedicines 2021, 9, 1909. [Google Scholar] [CrossRef]
- Gurrola-Díaz, C.M.; García-López, P.M.; Sánchez-Enríquez, S.; Troyo-Sanromán, R.; Andrade-González, I.; Gómez-Leyva, J.F. Effects of Hibiscus sabdariffa extract powder and preventive treatment (diet) on the lipid profiles of patients with metabolic syndrome (MeSy). Phytomedicine Int. J. Phytother. Phytopharm. 2010, 17, 500–505. [Google Scholar] [CrossRef]
- Chang, H.-C.; Peng, C.-H.; Yeh, D.-M.; Kao, E.-S.; Wang, C.-J. Hibiscus sabdariffa extract inhibits obesity and fat accumulation, and improves liver steatosis in humans. Food Funct. 2014, 5, 734–739. [Google Scholar] [CrossRef]
- Misawa, K.; Hashizume, K.; Yamamoto, M.; Minegishi, Y.; Hase, T.; Shimotoyodome, A. Ginger extract prevents high-fat diet-induced obesity in mice via activation of the peroxisome proliferator-activated receptor δ pathway. J. Nutr. Biochem. 2015, 26, 1058–1067. [Google Scholar] [CrossRef]
- Sayed, S.; Ahmed, M.; El-Shehawi, A.; Alkafafy, M.; Al-Otaibi, S.; El-Sawy, H.; Farouk, S.; El-Shazly, S. Ginger Water Reduces Body Weight Gain and Improves Energy Expenditure in Rats. Foods 2020, 9, 38. [Google Scholar] [CrossRef] [PubMed]
- Grabska-Kobyłecka, I.; Szpakowski, P.; Król, A.; Książek-Winiarek, D.; Kobyłecki, A.; Głąbiński, A.; Nowak, D. Polyphenols and Their Impact on the Prevention of Neurodegenerative Diseases and Development. Nutrients 2023, 15, 3454. [Google Scholar] [CrossRef] [PubMed]
- Liu, P.; Chen, G.; Zhang, J. A Review of Liposomes as a Drug Delivery System: Current Status of Approved Products, Regulatory Environments, and Future Perspectives. Molecules 2022, 27, 1372. [Google Scholar] [CrossRef] [PubMed]
- Pasarin, D.; Ghizdareanu, A.-I.; Enascuta, C.E.; Matei, C.B.; Bilbie, C.; Paraschiv-Palada, L.; Veres, P.-A. Coating Materials to Increase the Stability of Liposomes. Polymers 2023, 15, 782. [Google Scholar] [CrossRef]
- Safarbalou, A.; Abbasi, A. Oral administration of liposome-encapsulated thymol could alleviate the inflammatory parameters in serum and hippocampus in a rat model of Alzheimer’s disease. Exp. Gerontol. 2024, 193, 112473. [Google Scholar] [CrossRef]
- Ren, Y.; Nie, L.; Zhu, S.; Zhang, X. Nanovesicles-Mediated Drug Delivery for Oral Bioavailability Enhancement. Int. J. Nanomed. 2022, 17, 4861–4877. [Google Scholar] [CrossRef]
- Rakotondrabe, T.F.; Fan, M.-X.; Muema, F.W.; Guo, M.-Q. Modulating Inflammation-Mediated Diseases via Natural Phenolic Compounds Loaded in Nanocarrier Systems. Pharmaceutics 2023, 15, 699. [Google Scholar] [CrossRef]
- Gbian, D.L.; Omri, A. Lipid-Based Drug Delivery Systems for Diseases Managements. Biomedicines 2022, 10, 2137. [Google Scholar] [CrossRef]
- Jash, A.; Ubeyitogullari, A.; Rizvi, S.S.H. Liposomes for oral delivery of protein and peptide-based therapeutics: Challenges, formulation strategies, and advances. J. Mater. Chem. B 2021, 9, 4773–4792. [Google Scholar] [CrossRef]
- Stella, T.R.; Paraíso, C.M.; dos Santos Pizzo, J.; Visentainer, J.V.; dos Santos, S.S.; Madrona, G.S. Hibiscus (Hibiscus sabdariffa L.) extracts freeze-dried and encapsulated by ionic gelation: An approach for yogurt application. J. Food Meas. Charact. 2023, 17, 2630–2638. [Google Scholar] [CrossRef]
- Wang, J.; Chen, Y.; Hu, X.; Feng, F.; Cai, L.; Chen, F. Assessing the Effects of Ginger Extract on Polyphenol Profiles and the Subsequent Impact on the Fecal Microbiota by Simulating Digestion and Fermentation In Vitro. Nutrients 2020, 12, 3194. [Google Scholar] [CrossRef]
- Dag, D.; Oztop, M.H. Formation and Characterization of Green Tea Extract Loaded Liposomes. J. Food Sci. 2017, 82, 463–470. [Google Scholar] [CrossRef] [PubMed]
- Jahanfar, S.; Gahavami, M.; Khosravi-Darani, K.; Jahadi, M.; Mozafari, M. Entrapment of rosemary extract by liposomes formulated by Mozafari method: Physicochemical characterization and optimization. Heliyon 2021, 7, e08632. [Google Scholar] [CrossRef]
- Coughlan, C.; Bruce, K.D.; Burgy, O.; Boyd, T.D.; Michel, C.R.; Garcia-Perez, J.E.; Adame, V.; Anton, P.; Bettcher, B.M.; Chial, H.J.; et al. Exosome Isolation by Ultracentrifugation and Precipitation and Techniques for Downstream Analyses. Curr. Protoc. Cell Biol. 2020, 88, e110. [Google Scholar] [CrossRef]
- Gould, T.D.; Dao, D.T.; Kovacsics, C.E. The open field test. In Mood and Anxiety Related Phenotypes in Mice: Characterization Using Behavioral Tests; Gould, T.D., Ed.; Humana Press/Springer Nature: Totowa, NJ, USA, 2009; pp. 1–20. [Google Scholar] [CrossRef]
- Sollano-Mendieta, X.C.; Escalona-Cardoso, G.N.; Cano-Europa, E.; Castro, N.P. Propuesta de un modelo de síndrome metabólico en ratones CD1 inducido con una dieta hipercalórica. BIOtecnia 2022, 25, 126–132. [Google Scholar] [CrossRef]
- Lee, K.-H.; Kim, N.H. Differential Expression of Adipocyte-Related Molecules in the Distal Epididymal Fat of Mouse during Postnatal Period. Dev. Reprod. 2019, 23, 213–221. [Google Scholar] [CrossRef]
- Maciel, L.G.; Do Carmo, M.A.V.; Azevedo, L.; Daguer, H.; Molognoni, L.; de Almeida, M.M.; Granato, D.; Rosso, N.D. Hibiscus sabdariffa anthocyanins-rich extract: Chemical stability, in vitro antioxidant and antiproliferative activities. Food Chem. Toxicol. 2018, 113, 187–197. [Google Scholar] [CrossRef]
- Nurfaradilla, S.A.; Saputri, F.C.; Harahap, Y. Pharmacokinetic Herb-Drug Interaction between Hibiscus sabdariffa Calyces Aqueous Extract and Captopril in Rats. Evid.-Based Complement. Altern. Med. 2020, 2020, 5013898. [Google Scholar] [CrossRef]
- Zhong, W.; Zhu, J.; Yi, J.; Zhao, C.; Shi, Y.; Kang, Q.; Huang, J.; Hao, L.; Lu, J. El análisis bioquímico revela la respuesta sistemática de los ratones con mareos al efecto de mejora del extracto de jengibre (Zingiber officinale). J. Ethnopharmacol. 2022, 290, 115077. [Google Scholar] [CrossRef]
- Ramirez-Rodrigues, M.M.; Plaza, M.L.; Azeredo, A.; Balaban, M.O.; Marshall, M.R. Physicochemical and phytochemical properties of cold and hot water extraction from Hibiscus sabdariffa. J. Food Sci. 2011, 76, C428–C435. [Google Scholar] [CrossRef]
- Salem, M.A.; Ezzat, S.M.; Ahmed, K.A.; Alseekh, S.; Fernie, A.R.; Essam, R.M. A Comparative Study of the Antihypertensive and Cardioprotective Potentials of Hot and Cold Aqueous Extracts of Hibiscus sabdariffa L. in Relation to Their Metabolic Profiles. Front. Pharmacol. 2022, 13, 840478. [Google Scholar] [CrossRef]
- Rizkiyah, D.N.; Putra, N.R.; Idham, Z.; Che Yunus, M.A.; Veza, I.; Harny, I.; Syahlani, N.; Abdul Aziz, A.H. Optimization of Red Pigment Anthocyanin Recovery from Hibiscus sabdariffa by Subcritical Water Extraction. Processes 2022, 10, 2635. [Google Scholar] [CrossRef]
- Jan, R.; Gani, A.; Masarat Dar, M.; Bhat, N.A. Bioactive characterization of ultrasonicated ginger (Zingiber officinale) and licorice (Glycyrrhiza Glabra) freeze dried extracts. Ultrason. Sonochem. 2022, 88, 106048. [Google Scholar] [CrossRef]
- Šturm, L.; Poklar Ulrih, N. Basic Methods for Preparation of Liposomes and Studying Their Interactions with Different Compounds, with the Emphasis on Polyphenols. Int. J. Mol. Sci. 2021, 22, 6547. [Google Scholar] [CrossRef]
- Ong, S.G.M.; Ming, L.C.; Lee, K.S.; Yuen, K.H. Influence of the Encapsulation Efficiency and Size of Liposome on the Oral Bioavailability of Griseofulvin-Loaded Liposomes. Pharmaceutics 2016, 8, 25. [Google Scholar] [CrossRef]
- Beltrán, J.D.; Sandoval-Cuellar, C.E.; Bauer, K.; Quintanilla-Carvajal, M.X. In-vitro digestion of high-oleic palm oil nanoliposomes prepared with unpurified soy lecithin: Physical stability and nano-liposome digestibility. Colloids Surfaces A: Physicochem. Eng. Asp. 2019, 578, 123603. [Google Scholar] [CrossRef]
- Gibis, M.; Ruedt, C.; Weiss, J. In vitro release of grape-seed polyphenols encapsulated from uncoated and chitosan-coated liposomes. Food Res. Int. 2016, 88 Pt A, 105–113. [Google Scholar] [CrossRef]
- Wei, X.-Q.; Zhu, J.-F.; Wang, X.-B.; Ba, K. Improving the Stability of Liposomal Curcumin by Adjusting the Inner Aqueous Chamber pH of Liposomes. ACS Omega 2020, 5, 1120–1126. [Google Scholar] [CrossRef]
- Aguilar-Pérez, K.M.; Avilés-Castrillo, J.I.; Medina, D.I.; Parra-Saldivar, R.; Iqbal, H.M.N. Insight Into Nanoliposomes as Smart Nanocarriers for Greening the Twenty-First Century Biomedical Settings. Front. Bioeng. Biotechnol. 2020, 8, 579536. [Google Scholar] [CrossRef]
- Yu, J.Y.; Chuesiang, P.; Shin, G.H.; Park, H.J. Post-Processing Techniques for the Improvement of Liposome Stability. Pharmaceutics 2021, 13, 1023. [Google Scholar] [CrossRef]
- Guldiken, B.; Gibis, M.; Boyacioglu, D.; Capanoglu, E.; Weiss, J. Physical and chemical stability of anthocyanin-rich black carrot extract-loaded liposomes during storage. Food Res. Int. 2018, 108, 491–497. [Google Scholar] [CrossRef] [PubMed]
- Campfield, L.A.; Smith, F.J.; Burn, P. Strategies and Potential Molecular Targets for Obesity Treatment. Science 1998, 280, 1383–1387. [Google Scholar] [CrossRef] [PubMed]
- Perdomo, C.M.; Cohen, R.V.; Sumithran, P.; Clément, K.; Frühbeck, G. Contemporary medical, device, and surgical therapies for obesity in adults. Lancet 2023, 401, 1116–1130. [Google Scholar] [CrossRef] [PubMed]
- Krishna, S.; Lin, Z.; de La Serre, C.B.; Wagner, J.J.; Harn, D.H.; Pepples, L.M.; Djani, D.M.; Weber, M.T.; Srivastava, L.; Filipov, N.M. Time-dependent behavioral, neurochemical, and metabolic dysregulation in female C57BL/6 mice caused by chronic high-fat diet intake. Physiol. Behav. 2016, 157, 196–208. [Google Scholar] [CrossRef]
- Bjursell, M.; Gerdin, A.-K.; Lelliott, C.J.; Egecioglu, E.; Elmgren, A.; Törnell, J.; Oscarsson, J.; Bohlooly-Y, M. Acutely reduced locomotor activity is a major contributor to Western diet-induced obesity in mice. Am. J. Physiol. Metab. 2008, 294, E251–E260. [Google Scholar] [CrossRef]
- Lim, W.C.; Seo, J.M.; Lee, C.I.; Pyo, H.B.; Lee, B.C. Stimulative and sedative effects of essential oils upon inhalation in mice. Arch. Pharm. Res. 2005, 28, 770–774. [Google Scholar] [CrossRef]
- Totten, M.S.; Wallace, C.W.; Pierce, D.M.; Fordahl, S.C.; Erikson, K.M. The impact of a high-fat diet on physical activity and dopamine neurochemistry in the striatum is sex and strain dependent in C57BL/6J and DBA/2J mice. Nutr. Neurosci. 2022, 25, 2601–2615. [Google Scholar] [CrossRef]
- Gugliucci, A. Biomarkers of dysfunctional visceral fat. Adv. Clin. Chem. 2022, 109, 1–30. [Google Scholar] [CrossRef]
- Jung, E.; Kong, S.Y.; Ro, Y.S.; Ryu, H.H.; Shin, S.D. Serum Cholesterol Levels and Risk of Cardiovascular Death: A Systematic Review and a Dose-Response Meta-Analysis of Prospective Cohort Studies. Int. J. Environ. Res. Public Health 2022, 19, 8272. [Google Scholar] [CrossRef]
- Makover, M.E.; Shapiro, M.D.; Toth, P.P. There is urgent need to treat atherosclerotic cardiovascular disease risk earlier, more intensively, and with greater precision: A review of current practice and recommendations for improved effectiveness. Am. J. Prev. Cardiol. 2022, 12, 100371. [Google Scholar] [CrossRef]
- Stadler, J.T.; Marsche, G. Dietary Strategies to Improve Cardiovascular Health: Focus on Increasing High-Density Lipoprotein Functionality. Front. Nutr. 2021, 8, 761170. [Google Scholar] [CrossRef]
- Liu, B.; Fang, Y.; Yi, R.; Zhao, X. Preventive Effect of Blueberry Extract on Liver Injury Induced by Carbon Tetrachloride in Mice. Foods 2019, 8, 48. [Google Scholar] [CrossRef] [PubMed]
- Sher, Y.-P.; Hung, M.-C. Blood AST, ALT and UREA/BUN Level Analysis. Bio-Protocol 2013, 3, e931. [Google Scholar] [CrossRef]
- Hopkins, A.L.; Lamm, M.G.; Funk, J.L.; Ritenbaugh, C. Hibiscus sabdariffa L. in the treatment of hypertension and hyperlipidemia: A comprehensive review of animal and human studies. Fitoterapia 2013, 85, 84–94. [Google Scholar] [CrossRef]
- Jeena, K.; Liju, V.B.; Kuttan, R. A preliminary 13-week oral toxicity study of ginger oil in male and female Wistar rats. Int. J. Toxicol. 2011, 30, 662–670. [Google Scholar] [CrossRef] [PubMed]
- Shi, Q.; Wang, Y.; Hao, Q.; Vandvik, P.O.; Guyatt, G.; Li, J.; Chen, Z.; Xu, S.; Shen, Y.; Ge, L.; et al. Pharmacotherapy for adults with overweight and obesity: A systematic review and network meta-analysis of randomised controlled trials. Lancet 2024, 403, e21–e31. [Google Scholar]
- Ahad, A.; Raish, M.; Bin Jardan, Y.A.; Alam, M.A.; Al-Mohizea, A.M.; Al-Jenoobi, F.I. Effect of Hibiscus sabdariffa and Zingiber officinale on the antihypertensive activity and pharmacokinetic of losartan in hypertensive rats. Xenobiotica 2020, 50, 847–857. [Google Scholar] [CrossRef]
- Maizatul, H.O.; Norsyafawati, S.; Hussin, M.; Wan, A.; Nizam, W.A.; Mohd, I.W. Antiobesity and haematological effects of Malaysia Hibiscus sabdariffa L. aqueous extract on obese Sprague Dawley rats. Funct. Foods Health Dis. 2018, 8, 340–352. [Google Scholar]
- Morales-Luna, E.; Pérez-Ramírez, I.F.; Salgado, L.M.; Castaño-Tostado, E.; Gómez-Aldapa, C.A.; Reynoso-Camacho, R. The main beneficial effect of roselle (Hibiscus sabdariffa) on obesity is not only related to its anthocyanin content. J. Sci. Food Agric. 2019, 99, 596–605. [Google Scholar] [CrossRef]
- Janson, B.; Prasomthong, J.; Malakul, W.; Boonsong, T.; Tunsophon, S. Hibiscus sabdariffa L. calyx extract prevents the adipogenesis of 3T3-L1 adipocytes, and obesity-related insulin resistance in high-fat diet-induced obese rats. Biomed. Pharmacother. 2021, 138, 111438. [Google Scholar] [CrossRef]










| Macronutrients | Standard Diet STD | Hypercaloric Diet HCD |
|---|---|---|
| Proteins | 0.909 cal/g (28.6%) | 0.841 cal/g (17.5%) |
| Carbohydrates | 1.844 cal/g (58%) | 0.409 cal/g (40.9%) |
| Lipids | 42.61 cal/g (13.4%) | 2 cal/g (41.6%) |
| Total energy content | 3.18 cal/g | 4.81 cal/g |
| Ingredients | Concentration (g/kg) |
|---|---|
| Sucrose | 340 |
| Butter | 210 |
| Casein | 195 |
| Corn starch | 140.5 |
| Cellulose | 50 |
| Mineral mix (AIN-93 G-MX) | 43 |
| Vitamin mix (AIN-9-VX) | 15 |
| DL—methionine | 3 |
| Choline | 2 |
| Cholesterol | 1.5 |
| Group | Diet | Treatment |
|---|---|---|
| STD | Standard | Water |
| HCD + V | HCD | Vehicle (liposomes in water) |
| HCD + E | HCD | H. sabdariffa. + Z. officinale extract (1:1 for 8 days, after 2:1 for 45 days) in aqueous medium |
| HCD + L | HCD | Liposomal suspension (H. sabdariffa. + Z. officinale extract, 1:1 for 8 days, after 2:1 for 45 days) |
| ESI Mode | Measured m/z | mDa | Molecular Formula | Putative Annotation | Subclass |
|---|---|---|---|---|---|
| − | 371.07382 | −9.526 | C15H14O11 | 2-O-Caffeoylglucarate | Phenolic acid |
| + | 296.09862 | −22.142 | C13H13NO7 | Caffeoylaspartic Acid | Phenolic acid |
| + | 409.18447 | −0.73 | C21H18NO4 | Chelerythrine | Phenolic acid |
| + | 355.10342 | −1.061 | C16H18O9 | Chlorogenic Acid | Phenolic acid |
| + | 303.04859 | −35.046 | C14H6O8 | Ellagic acid | Phenolic acid |
| − | 321.04839 | −24.282 | C7H6O5 | Gallic acid | Phenolic acid |
| − | 135.00717 | 0.5 | C7H6O4 | Gentisic Acid | Phenolic acid |
| − | 337.09506 | −3.266 | C16H18O8 | P-Coumaroylquinic Acid | Phenolic acid |
| − | 315.07377 | −2.712 | C13H16O9 | Protocatechuic Acid 4-O-Glucoside | Phenolic acid |
| + | 199.05286 | 7.24 | C9H10O5 | Syringic acid | Phenolic acid |
| + | 338.07286 | 26.759 | C16H17O8 | Trans-5-O-(4-Coumaroyl)-d-Quinate | Phenolic acid |
| + | 295.0512 | 39.8 | C16H16O4 | 1,3-Cis-Tetrahydroxyphenylindan | Phenolic compound |
| + | 433.40475 | −0.743 | C29H52O2 | 5-Tricosylresorcinol | Phenolic compound |
| + | 133.06143 | 3.361 | C9H8O | Cinnamaldehyde | Phenolic compound |
| + | 349.12725 | 1.356 | C16H24NO5 | Sinapine | Phenolic compound |
| − | 207.01611 | 12.69 | C10H8O5 | Fraxetin | Cumarin |
| − | 321.04839 | 12.104 | C15H14O8 | (2R,3S,4S)-Leucodelphinidin | Flavonoid |
| + | 317.0512 | −22.006 | C15H8O8 | 2,3,8-Trihydroxy-7-Methoxychromeno[5,4,3-Cde]Chromene-5,10-Dione | Flavonoid |
| + | 433.14811 | 1.199 | C22H24O9 | 3-Methoxynobiletin | Flavonoid |
| + | 333.05927 | 1.224 | C16H12O8 | 7-O-Methylmyricetin | Flavonoid |
| − | 281.05333 | −8.88 | C16H12O6 | Diosmetin | Flavonoid |
| + | 451.96385 | 1.735 | C17H13O8 | Syringetin | Flavonoid |
| − | 208.01927 | 4.82 | C9H7NO5 | Betalamate | Phenolic pigment |
| ESI Mode | Measured m/z | mDa | Molecular Formula | Putative Annotation | Subclass |
|---|---|---|---|---|---|
| + | 347.200029 | 9.081 | C17H20NO3 | (S)-Coclaurine | Benzylisoquinoline alkaloid |
| + | 317.17328 | −11.68 | C18H22NO4 | (S)-Norreticuline | Benzylisoquinoline alkaloid |
| + | 343.09096 | −9.731 | C18H14O7 | (S)-Usnate | Phenolic lactone |
| + | 387.14257 | −13.997 | C17H22O10 | 1-O-Sinapoyl-Beta-d-Glucose | Phenolic glycoside |
| − | 296.168 | 22.683 | C17H28O4 | 6-Gingerdiol | Diarylheptanoid |
| − | 299.23392 | −3.024 | C17H26O4 | 6-Gingerol | Alkylphenols (diarylpropane) |
| + | 459.14236 | −13.787 | C23H22O10 | 6-O-Acetyldaidzin | Isoflavone glycoside |
| − | 277.15738 | 22.441 | C17H26O3 | 6-Paradol | Diarylheptanoid |
| + | 375.15594 | −7.65 | C20H22O7 | 7-Hydroxymatairesinol | Lignan |
| + | 373.16335 | 1.215 | C21H24O6 | Arctigenin | Lignan |
| + | 111.0517 | −7.644 | C6H6O2 | Catechol | Simple phenolic compound |
| + | 369.13163 | 1.635 | C21H20O6 | Curcumin | Curcuminoid |
| − | 269.08959 | −8.755 | C16H14O4 | Echinatin | Chalcone |
| + | 357.16865 | −13.72 | C21H24O5 | Gingerenonea | Simple phenol |
| + | 357.18337 | 7.01 | C13H18O7 | Guaiacol O-Beta-d-Glucopyranoside | Phenolic glycoside |
| + | 361.17836 | −13.795 | C21H30O5 | Humulone | Phenolic acid |
| + | 389.15827 | 1.21 | C21H24O7 | Medioresinol | Lignan |
| + | 403.13751 | 1.234 | C21H22O8 | Nobiletin | Flavonoid |
| + | 387.16163 | 22.383 | C15H18O8 | P-Coumaric Acid 4-O-Glucoside | Glycosylated phenolic acid |
| + | 247.05878 | 1.32 | C13H10O5 | Pimpinellin | Furanochromone |
| + | 391.15222 | −13.476 | C20H22O8 | Resveratrol 3-O-Glucoside | Glycosylated stilbene |
| + | 471.14238 | 5.91 | C28H22O7 | Scirpusina | Lignan |
| + | 275.14872 | 15.451 | C17H24O3 | Shogaol | Alkylphenols (diarylpropane) |
| + | 371.14754 | 1.375 | C21H22O6 | Xanthohumol B | Flavonoid |
| Total phenols (mg GAE/g dry sample) | 18.44 ± 0.083 |
| Particle size (nm) | 153.46 ± 0.35 |
| Polydispersity index | 0.34 ± 0.02 |
| Zeta potential (mV) | ±0.62 |
| Encapsulation efficiency of phenolic compounds (%) | 64.4 ± 2.1 |
| Concentration (particles/mL) | 14,800 × 108 |
| Group | 8 Days of Treatment | 45 Days of Treatment | ||||
|---|---|---|---|---|---|---|
| Initial Weight | Final Weight | Gain or Loss Weight | Initial Weight | Final Weight | Gain or Loss Weight | |
| STD | 29.63 ± 2.57 | 31.52 ± 4.93 | 1.89 ± 2.35 | 36.34 ± 4.34 | 37.17 ± 4.78 | 0.82 ± 3.35 |
| HCD + V | 31.34 ± 2.86 | 34.75 ± 3.92 | 3.41 ± 1.05 | 38.17 ± 3.43 | 38.93 ± 4.43 | 0.75 ± 2.52 |
| HCD + E | 33.21 ± 3.1 | 25.54 ± 4.87 | −7.66 ± 1.76 | 38.14 ± 3.49 | 33.15 ± 5.91 | −4.98 ± 4.21 |
| HCD + L | 31.9 ± 2.75 | 26.99 ± 5.67 | −4.91 ± 2.91 | 39.6 ± 3.41 | 38.43 ± 3.4 | −1.15 ± 2.92 |
| Variable | STD | HCD + V | HCD + E | HCD + L |
|---|---|---|---|---|
| Glucose (mg/dL) | 85.2 ± 9.7 a | 104.5 ± 9.6 b | 115.6 ± 6.3 | 124.8 ± 5.1 b |
| Tg (mg/dL) | 63.17 ± 6.3 | 52.52 ± 7.4 | 69.66 ± 19 | 60.77 ± 8.2 |
| TC (mg/dL) | 101.86 ± 10.72 a | 158.69 ± 10.47 b | 132.13 ± 10.17 | 170.79 ± 8.4 b |
| HDL-C (mg/dL) | 20.23 ± 2.03 a | 17.88 ± 3.38 b | 25.61 ± 3.15 | 36.75 ± 3.93 c |
| LDL/VLDL-C (mg/dL) | 25.54 ± 4.95 a | 68.13 ± 7.35 b | 62.47 ± 7.49 b | 56.51 ± 7.67 b |
| Atherogenic index | 6.04 ± 2.71 a | 13.59 ± 4.16 b | 5.57 ± 1.54 a | 5 ± 1.37 a |
| AST (mg/dL) | 56.74 ± 2.54 a | 55.2 ± 4.38 | 51.6 ± 3.37 | 42.76 ± 3.82 b |
| ALT (mg/dL) | 12.32 ± 2.21 | 11.5 ± 2.49 | 11.81 ± 2.58 | 12.73 ± 1.05 |
| RFPW(%) | 1.34 ± 0.70 a | 3.03 ± 1.01 b | 2.33 ± 1.2 | 2.51 ± 0.62 |
Disclaimer/Publisher’s Note: The statements, opinions and data contained in all publications are solely those of the individual author(s) and contributor(s) and not of MDPI and/or the editor(s). MDPI and/or the editor(s) disclaim responsibility for any injury to people or property resulting from any ideas, methods, instructions or products referred to in the content. |
© 2025 by the authors. Licensee MDPI, Basel, Switzerland. This article is an open access article distributed under the terms and conditions of the Creative Commons Attribution (CC BY) license (https://creativecommons.org/licenses/by/4.0/).
Share and Cite
Palomo-Martínez, L.E.; Paniagua-Castro, N.; Escalona-Cardoso, G.N.; Leyva-Daniel, D.E.; Ibañez-Hernández, M.A.A.; Cruz-Narvaez, Y.; Alamilla-Beltrán, L. Anti-Obesity Effect of Liposomal Suspension and Extracts of Hibiscus sabdariffa and Zingiber officinale in a Murine Model Fed a Hypercaloric Diet. Nutrients 2025, 17, 2275. https://doi.org/10.3390/nu17142275
Palomo-Martínez LE, Paniagua-Castro N, Escalona-Cardoso GN, Leyva-Daniel DE, Ibañez-Hernández MAA, Cruz-Narvaez Y, Alamilla-Beltrán L. Anti-Obesity Effect of Liposomal Suspension and Extracts of Hibiscus sabdariffa and Zingiber officinale in a Murine Model Fed a Hypercaloric Diet. Nutrients. 2025; 17(14):2275. https://doi.org/10.3390/nu17142275
Chicago/Turabian StylePalomo-Martínez, Luis Edwardo, Norma Paniagua-Castro, Gerardo Norberto Escalona-Cardoso, Diana E. Leyva-Daniel, Miguel A. A. Ibañez-Hernández, Yair Cruz-Narvaez, and Liliana Alamilla-Beltrán. 2025. "Anti-Obesity Effect of Liposomal Suspension and Extracts of Hibiscus sabdariffa and Zingiber officinale in a Murine Model Fed a Hypercaloric Diet" Nutrients 17, no. 14: 2275. https://doi.org/10.3390/nu17142275
APA StylePalomo-Martínez, L. E., Paniagua-Castro, N., Escalona-Cardoso, G. N., Leyva-Daniel, D. E., Ibañez-Hernández, M. A. A., Cruz-Narvaez, Y., & Alamilla-Beltrán, L. (2025). Anti-Obesity Effect of Liposomal Suspension and Extracts of Hibiscus sabdariffa and Zingiber officinale in a Murine Model Fed a Hypercaloric Diet. Nutrients, 17(14), 2275. https://doi.org/10.3390/nu17142275

