Dietary Fructose and Sodium Consumed during Early Mid-Life Are Associated with Hypertensive End-Organ Damage by Late Mid-Life in the CARDIA Cohort
Abstract
1. Introduction
2. Materials and Methods
2.1. Study Sample
2.2. Study Measures and Outcomes
2.3. Statistical Analysis
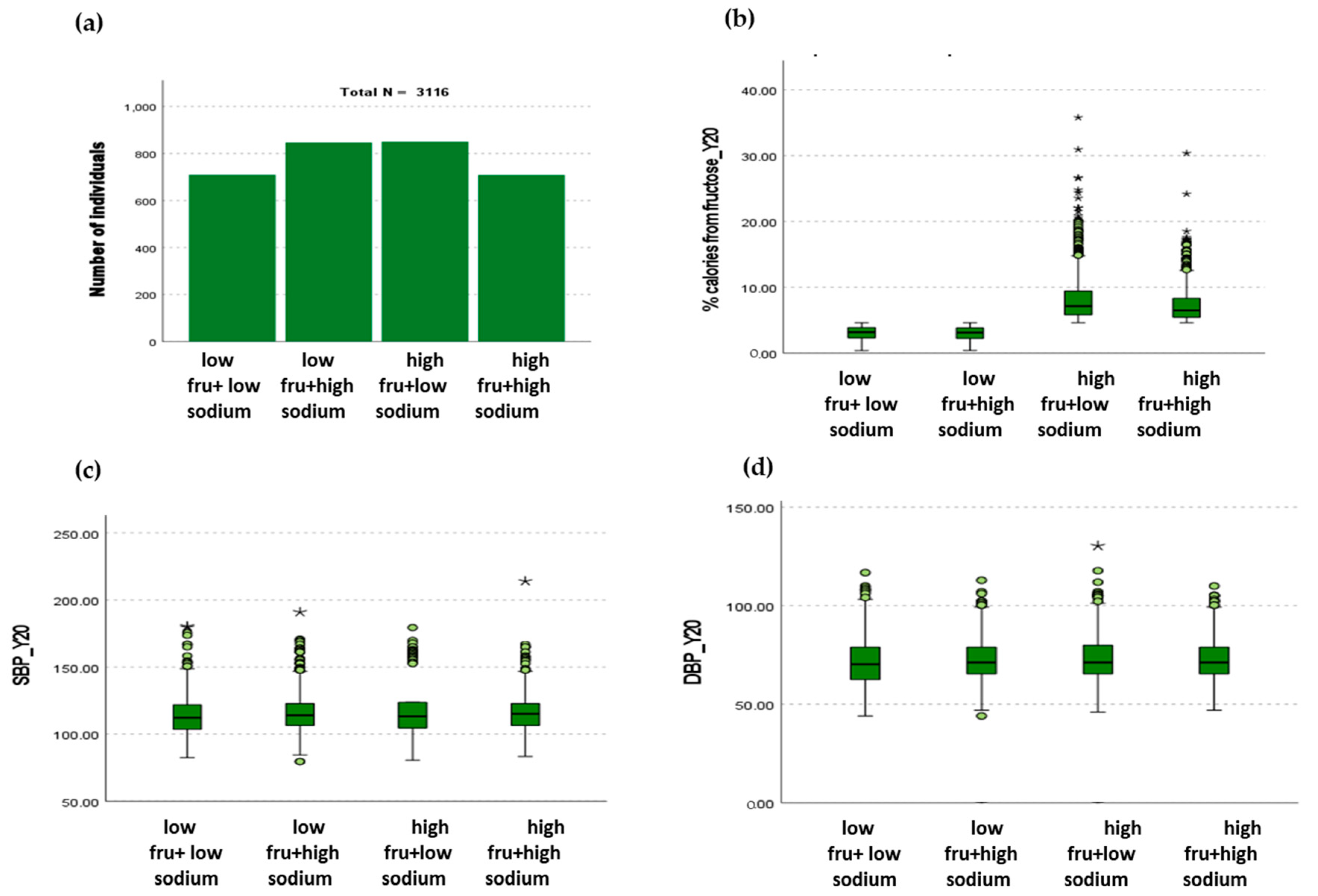
3. Results
3.1. Dietary Fructose and Sodium Associations with Systolic (SBP) and Diastolic Blood Pressure (DBP)
3.2. Characteristics of the Cohort Stratified according to Fructose and Sodium Consumption
3.3. Target Organ Damage According to Fructose and Sodium Consumption
3.3.1. Diastolic Dysfunction—Abnormal E/A
3.3.2. Coronary Calcification—Agatston Score ≥100
3.3.3. Albuminuria—UACR >30 mg/g
4. Discussion
5. Conclusions
Author Contributions
Funding
Institutional Review Board Statement
Informed Consent Statement
Data Availability Statement
Conflicts of Interest
References
- CDC. Leading Causes of Death. 2023. Available online: https://www.cdc.gov/nchs/fastats/leading-causes-of-death.htm (accessed on 16 January 2023).
- AHA. Life’s Essential 8. 2022. Available online: https://www.heart.org/en/healthy-living/healthy-lifestyle/lifes-essential-8 (accessed on 16 January 2023).
- Shetty, N.S.; Parcha, V.; Patel, N.; Yadav, I.; Basetty, C.; Li, C.; Pandey, A.; Kalra, R.; Li, P.; Arora, G.; et al. AHA Life’s essential 8 and ideal cardiovascular health among young adults. Am. J. Prev. Cardiol. 2023, 13, 100452. [Google Scholar] [CrossRef]
- DiNicolantonio, J.J.; O’Keefe, J.H.; Lucan, S.C. An Unsavory Truth: Sugar, More than Salt, Predisposes to Hypertension and Chronic Disease. Am. J. Cardiol. 2014, 114, 1126–1128. [Google Scholar] [CrossRef]
- Walker, R.W.; Dumke, K.A.; Goran, M.I. Fructose content in popular beverages made with and without high-fructose corn syrup. Nutrition 2014, 30, 928–935. [Google Scholar] [CrossRef]
- Soncrant, T.; Komnenov, D.; Beierwaltes, W.H.; Chen, H.; Wu, M.; Rossi, N.F. Bilateral renal cryodenervation decreases arterial pressure and improves insulin sensitivity in fructose-fed Sprague-Dawley rats. Am. J. Physiol. Regul. Integr. Comp. Physiol. 2018, 315, R529–R538. [Google Scholar] [CrossRef]
- Komnenov, D.; Levanovich, P.E.; Rossi, N.F. Hypertension Associated with Fructose and High Salt: Renal and Sympathetic Mechanisms. Nutrients 2019, 11, 569. [Google Scholar] [CrossRef] [PubMed]
- Komnenov, D.; Levanovich, P.E.; Perecki, N.; Chung, C.S.; Rossi, N.F. Aortic Stiffness and Diastolic Dysfunction in Sprague Dawley Rats Consuming Short-Term Fructose Plus High Salt Diet. Integr. Blood Press Control 2020, 13, 111–124. [Google Scholar] [CrossRef] [PubMed]
- Levanovich, P.E.; Chung, C.S.; Komnenov, D.; Rossi, N.F. Fructose plus High-Salt Diet in Early Life Results in Salt-Sensitive Cardiovascular Changes in Mature Male Sprague Dawley Rats. Nutrients 2021, 13, 3129. [Google Scholar] [CrossRef]
- Levanovich, P.E.; Daugherty, A.M.; Komnenov, D.; Rossi, N.F. Dietary fructose and high salt in young male Sprague Dawley rats induces salt-sensitive changes in renal function in later life. Physiol. Rep. 2022, 10, e15456. [Google Scholar] [CrossRef]
- Hannou, S.A.; Haslam, D.E.; McKeown, N.M.; Herman, M.A. Fructose metabolism and metabolic disease. J. Clin. Investig. 2018, 128, 545–555. [Google Scholar] [CrossRef] [PubMed]
- Osborne, M.; Bernard, A.; Falkowski, E.; Peterson, D.; Vavilikolanu, A.; Komnenov, D. Longitudinal Associations of Dietary Fructose, Sodium, and Potassium and Psychological Stress with Vascular Aging Index and Incident Cardiovascular Disease in the CARDIA Cohort. Nutrients 2023, 16, 127. [Google Scholar] [CrossRef]
- Tappy, L. Fructose-induced alterations of glucose and lipid homeostasis: Progressive organ dysfunction leading to metabolic diseases or mere adaptive changes? Am. J. Clin. Nutr. 2020, 111, 244–245. [Google Scholar] [CrossRef]
- Szűcs, G.; Sója, A.; Péter, M.; Sárközy, M.; Bruszel, B.; Siska, A.; Földesi, I.; Szabó, Z.; Janáky, T.; Vígh, L.; et al. Prediabetes Induced by Fructose-Enriched Diet Influences Cardiac Lipidome and Proteome and Leads to Deterioration of Cardiac Function prior to the Development of Excessive Oxidative Stress and Cell Damage. Oxid. Med. Cell Longev. 2019, 2019, 3218275. [Google Scholar] [CrossRef]
- Daniels, L.J.; Annandale, M.; Koutsifeli, P.; Li, X.; Bussey, C.T.; van Hout, I.; Bunton, R.W.; Davis, P.J.; Coffey, S.; Katare, R.; et al. Elevated myocardial fructose and sorbitol levels are associated with diastolic dysfunction in diabetic patients, and cardiomyocyte lipid inclusions in vitro. Nutr. Diabetes 2021, 11, 8. [Google Scholar] [CrossRef]
- Kawasaki, T.; Akanuma, H.; Yamanouchi, T. Increased fructose concentrations in blood and urine in patients with diabetes. Diabetes Care 2002, 25, 353–357. [Google Scholar] [CrossRef] [PubMed]
- Bjornstad, P.; Maahs, D.M.; Rivard, C.J.; Pyle, L.; Rewers, M.; Johnson, R.J.; Snell-Bergeon, J.K. Serum uric acid predicts vascular complications in adults with type 1 diabetes: The coronary artery calcification in type 1 diabetes study. Acta Diabetol. 2014, 51, 783–791. [Google Scholar] [CrossRef]
- Nystoriak, M.A.; Bhatnagar, A. Cardiovascular Effects and Benefits of Exercise. Front. Cardiovasc. Med. 2018, 5, 135. [Google Scholar] [CrossRef]
- Stump, C.S. Physical Activity in the Prevention of Chronic Kidney Disease. Cardiorenal Med. 2011, 1, 164–173. [Google Scholar] [CrossRef]
- Gao, J.W.; Hao, Q.Y.; Zhang, H.F.; Li, X.Z.; Yuan, Z.M.; Guo, Y.; Wang, J.F.; Zhang, S.L.; Liu, P.M. Low-Carbohydrate Diet Score and Coronary Artery Calcium Progression: Results From the CARDIA Study. Arter. Thromb. Vasc. Biol. 2021, 41, 491–500. [Google Scholar] [CrossRef]
- Friedman, G.D.; Cutter, G.R.; Donahue, R.P.; Hughes, G.H.; Hulley, S.B.; Jacobs, D.R., Jr.; Liu, K.; Savage, P.J. CARDIA: Study design, recruitment, and some characteristics of the examined subjects. J. Clin. Epidemiol. 1988, 41, 1105–1116. [Google Scholar] [CrossRef]
- Linda Van Horn, R.D.; Marty Slattery, R.D.; Joan Hilner, M.P.H.; Charlotte Bragg MS, R.D.; Jacobs, D., Jr.; Niki Gernhofer MS, R.D.; Havlik, D. The CARDIA dietary history: Development, implementation, and evaluation. J. Am. Diet. Assoc. 1991, 91, 1104–1112. [Google Scholar]
- Jacobs, D.R., Jr.; Yatsuya, H.; Hearst, M.O.; Thyagarajan, B.; Kalhan, R.; Rosenberg, S.; Smith, L.J.; Barr, R.G.; Duprez, D.A. Rate of decline of forced vital capacity predicts future arterial hypertension: The Coronary Artery Risk Development in Young Adults Study. Hypertension 2012, 59, 219–225. [Google Scholar] [CrossRef]
- Whelton, P.K.; Carey, R.M. The 2017 American College of Cardiology/American Heart Association clinical practice guideline for high blood pressure in adults. JAMA Cardiol. 2018, 3, 352–353. [Google Scholar] [CrossRef] [PubMed]
- Kishi, S.; Teixido-Tura, G.; Ning, H.; Venkatesh, B.A.; Wu, C.; Almeida, A.; Choi, E.Y.; Gjesdal, O.; Jacobs, D.R.; Schreiner, P.J.; et al. Cumulative Blood Pressure in Early Adulthood and Cardiac Dysfunction in Middle Age: The CARDIA Study. J. Am. Coll. Cardiol. 2015, 65, 2679–2687. [Google Scholar] [CrossRef] [PubMed]
- Carr, J.J.; Nelson, J.C.; Wong, N.D.; McNitt-Gray, M.; Arad, Y.; Jacobs, D.R., Jr.; Sidney, S.; Bild, D.E.; Williams, O.D.; Detrano, R.C. Calcified coronary artery plaque measurement with cardiac CT in population-based studies: Standardized protocol of Multi-Ethnic Study of Atherosclerosis (MESA) and Coronary Artery Risk Development in Young Adults (CARDIA) study. Radiology 2005, 234, 35–43. [Google Scholar] [CrossRef] [PubMed]
- Agatston, A.S.; Janowitz, W.R.; Hildner, F.J.; Zusmer, N.R.; Viamonte, M., Jr.; Detrano, R. Quantification of coronary artery calcium using ultrafast computed tomography. J. Am. Coll. Cardiol. 1990, 15, 827–832. [Google Scholar] [CrossRef]
- Murtaugh, M.A.; Jacobs, D.R., Jr.; Yu, X.; Gross, M.D.; Steffes, M. Correlates of urinary albumin excretion in young adult blacks and whites: The Coronary Artery Risk Development in Young Adults Study. Am. J. Epidemiol. 2003, 158, 676–686. [Google Scholar] [CrossRef]
- Jacobs, D.R.; Hahn, L.P.; Haskell, W.L.; Pirie, P.; Sidney, S. Validity and reliability of short physical activity history: CARDIA and the Minnesota Heart Health Program. J. Cardiopulm. Rehabil. Prev. 1989, 9, 448–459. [Google Scholar] [CrossRef]
- Tocci, G.; Figliuzzi, I.; Presta, V.; El Halabieh, N.A.; Citoni, B.; Coluccia, R.; Battistoni, A.; Ferrucci, A.; Volpe, M. Adding markers of organ damage to risk score models improves cardiovascular risk assessment: Prospective analysis of a large cohort of adult outpatients. Int. J. Cardiol. 2017, 248, 342–348. [Google Scholar] [CrossRef]
- Redfield, M.M.; Jacobsen, S.J.; Burnett, J.C.; Mahoney, D.W.; Bailey, K.R.; Rodeheffer, R.J. Burden of systolic and diastolic ventricular dysfunction in the community: Appreciating the scope of the heart failure epidemic. JAMA 2003, 289, 194–202. [Google Scholar] [CrossRef]
- Madhavan, M.V.; Tarigopula, M.; Mintz, G.S.; Maehara, A.; Stone, G.W.; Généreux, P. Coronary artery calcification: Pathogenesis and prognostic implications. J. Am. Coll. Cardiol. 2014, 63, 1703–1714. [Google Scholar] [CrossRef]
- Viazzi, F.; Leoncini, G.; Conti, N.; Tomolillo, C.; Giachero, G.; Vercelli, M.; Deferrari, G.; Pontremoli, R. Combined effect of albuminuria and estimated glomerular filtration rate on cardiovascular events and all-cause mortality in uncomplicated hypertensive patients. J. Hypertens. 2010, 28, 848–855. [Google Scholar] [CrossRef]
- Lang, R.M.; Badano, L.P.; Mor-Avi, V.; Afilalo, J.; Armstrong, A.; Ernande, L.; Flachskampf, F.A.; Foster, E.; Goldstein, S.A.; Kuznetsova, T.; et al. Recommendations for cardiac chamber quantification by echocardiography in adults: An update from the American Society of Echocardiography and the European Association of Cardiovascular Imaging. Eur. Heart J. Cardiovasc. Imaging 2015, 16, 233–270. [Google Scholar] [CrossRef]
- Detrano, R.; Guerci, A.D.; Carr, J.J.; Bild, D.E.; Burke, G.; Folsom, A.R.; Liu, K.; Shea, S.; Szklo, M.; Bluemke, D.A.; et al. Coronary calcium as a predictor of coronary events in four racial or ethnic groups. N. Engl. J. Med. 2008, 358, 1336–1345. [Google Scholar] [CrossRef]
- Gerstein, H.C.; Mann, J.F.; Yi, Q.; Zinman, B.; Dinneen, S.F.; Hoogwerf, B.; Hallé, J.P.; Young, J.; Rashkow, A.; Joyce, C.; et al. Albuminuria and risk of cardiovascular events, death, and heart failure in diabetic and nondiabetic individuals. JAMA 2001, 286, 421–426. [Google Scholar] [CrossRef]
- DeChristopher, L.R.; Auerbach, B.J.; Tucker, K.L. High fructose corn syrup, excess-free-fructose, and risk of coronary heart disease among African Americans—The Jackson Heart Study. BMC Nutr. 2020, 6, 70. [Google Scholar] [CrossRef] [PubMed]
- Thompson, F.E.; McNeel, T.S.; Dowling, E.C.; Midthune, D.; Morrissette, M.; Zeruto, C.A. Interrelationships of added sugars intake, socioeconomic status, and race/ethnicity in adults in the United States: National Health Interview Survey, 2005. J. Am. Diet Assoc. 2009, 109, 1376–1383. [Google Scholar] [CrossRef]
- Vaudin, A.; Wambogo, E.; Moshfegh, A.J.; Sahyoun, N.R. Sodium and Potassium Intake, the Sodium to Potassium Ratio, and Associated Characteristics in Older Adults, NHANES 2011–2016. J. Acad. Nutr. Diet 2022, 122, 64–77. [Google Scholar] [CrossRef]
- Huggins, C.E.; O’Reilly, S.; Brinkman, M.; Hodge, A.; Giles, G.G.; English, D.R.; Nowson, C.A. Relationship of urinary sodium and sodium-to-potassium ratio to blood pressure in older adults in Australia. Med. J. Aust. 2011, 195, 128–132. [Google Scholar] [CrossRef] [PubMed]
- Jung, S.; Kim, M.K.; Shin, J.; Choi, B.Y.; Lee, Y.H.; Shin, D.H.; Shin, M.H. High sodium intake and sodium to potassium ratio may be linked to subsequent increase in vascular damage in adults aged 40 years and older: The Korean multi-rural communities cohort (MRCohort). Eur. J. Nutr. 2019, 58, 1659–1671. [Google Scholar] [CrossRef]
- O’Donnell, M.; Mente, A.; Rangarajan, S.; McQueen, M.J.; O’Leary, N.; Yin, L.; Liu, X.; Swaminathan, S.; Khatib, R.; Rosengren, A.; et al. Joint association of urinary sodium and potassium excretion with cardiovascular events and mortality: Prospective cohort study. BMJ 2019, 364, l772. [Google Scholar] [CrossRef]
- O’Donnell, M.; Mente, A.; Rangarajan, S.; McQueen, M.J.; Wang, X.; Liu, L.; Yan, H.; Lee, S.F.; Mony, P.; Devanath, A.; et al. Urinary sodium and potassium excretion, mortality, and cardiovascular events. N. Engl. J. Med. 2014, 371, 612–623. [Google Scholar] [CrossRef]
- Iwahori, T.; Miura, K.; Ueshima, H. Time to Consider Use of the Sodium-to-Potassium Ratio for Practical Sodium Reduction and Potassium Increase. Nutrients 2017, 9, 700. [Google Scholar] [CrossRef]
- Ezekowitz, J.A.; Colin-Ramirez, E.; Ross, H.; Escobedo, J.; Macdonald, P.; Troughton, R.; Saldarriaga, C.; Alemayehu, W.; McAlister, F.A.; Arcand, J.; et al. Reduction of dietary sodium to less than 100 mmol in heart failure (SODIUM-HF): An international, open-label, randomised, controlled trial. Lancet 2022, 399, 1391–1400. [Google Scholar] [CrossRef]
- Xia, C.; Vonder, M.; Sidorenkov, G.; Den Dekker, M.; Oudkerk, M.; van Bolhuis, J.N.; Pelgrim, G.J.; Rook, M.; de Bock, G.H.; van der Harst, P.; et al. Cardiovascular Risk Factors and Coronary Calcification in a Middle-aged Dutch Population: The ImaLife Study. J. Thorac. Imaging 2021, 36, 174–180. [Google Scholar] [CrossRef] [PubMed]
- Sun, Y.; Qi, G.; Yu, X.; Zhi, Y.; Geng, S.; Li, H.; Liu, T.; Xu, K.; Tian, W. Prevalence, severity, characteristics and coronary calcified score of coronary artery plaques are different in women than men with suspected coronary artery disease. Zhonghua Yi Xue Za Zhi 2015, 95, 3337–3342. [Google Scholar] [PubMed]
- Plank, F.; Beyer, C.; Friedrich, G.; Wildauer, M.; Feuchtner, G. Sex differences in coronary artery plaque composition detected by coronary computed tomography: Quantitative and qualitative analysis. Neth. Heart J. 2019, 27, 272–280. [Google Scholar] [CrossRef] [PubMed]
- Suvila, K.; McCabe, E.L.; Lehtonen, A.; Ebinger, J.E.; Lima, J.A.; Cheng, S.; Niiranen, T.J. Early Onset Hypertension Is Associated With Hypertensive End-Organ Damage Already by MidLife. Hypertension 2019, 74, 305–312. [Google Scholar] [CrossRef] [PubMed]
- Kokkinos, P.; Faselis, C.; Samuel, I.B.H.; Pittaras, A.; Doumas, M.; Murphy, R.; Heimall, M.S.; Sui, X.; Zhang, J.; Myers, J. Cardiorespiratory Fitness and Mortality Risk Across the Spectra of Age, Race, and Sex. J. Am. Coll. Cardiol. 2022, 80, 598–609. [Google Scholar] [CrossRef] [PubMed]
- O’Donoghue, G.; Blake, C.; Cunningham, C.; Lennon, O.; Perrotta, C. What exercise prescription is optimal to improve body composition and cardiorespiratory fitness in adults living with obesity? A network meta-analysis. Obes. Rev. 2021, 22, e13137. [Google Scholar] [CrossRef] [PubMed]

| Total Cohort | Low FRU + Low SOD | Low FRU + High SOD | High FRU + Low SOD | High FRU + High SOD | p-Value | ||
|---|---|---|---|---|---|---|---|
| Examination cycle 1: baseline | |||||||
| Race | Black | 1455 (46.7) | 245 (34.5) | 297 (35.1) | 536 (63.1) | 377 (53.2) | <0.001 |
| White | 1661 (53.3) | 465 (65.5) | 550 (64.9) | 314 (36.9) | 332 (46.8) | ||
| Sex | Male | 1343 (43.1) | 213 (30.0) | 484 (57.1) | 235 (27.6) | 411 (58.0) | <0.001 |
| Female | 1773 (56.9) | 497 (70.0) | 363 (42.9) | 615 (72.4) | 298 (42.0) | ||
| Age | 25.1 (3.6) | 25.4 (3.5) | 25.0 (3.5) | 25.2 (3.7) | 24.6 (3.6) | <0.001 | |
| BMI | 24.3 (4.7) | 24.1 (4.8) | 24.5 (4.3) | 24.6 (5.1) | 24.1 (4.5) | 0.006 | |
| HBP Dx | 276 (8.9) | 62 (8.7) | 84 (9.9) | 72 (8.5) | 58 (8.2) | 0.653 | |
| High Cholesterol | 62 (2.0) | 16 (2.3) | 16 (1.9) | 15 (1.8) | 62 (2.0) | 0.895 | |
| Heart Disease | 197 (6.4) | 44 (6.3) | 46 (5.5) | 59 (7.0) | 48 (6.8) | 0.562 | |
| Diabetes | 22 (0.7) | 6 (0.8) | 7 (0.8) | 6 (0.7) | 3 (0.4) | 0.767 | |
| Kidney Disease | 122 (3.9) | 30 (4.3) | 31 (3.7) | 35 (4.1) | 26 (3.7) | 0.908 | |
| BP > 130/80 mmHg | 408 (13.1) | 74 (10.4) | 125 (14.8) | 106 (12.5) | 145 (14.5) | 0.044 | |
| Examination cycle 7: year 20 of follow-up | |||||||
| Smoking | 592 (19.0) | 117 (16.5) | 177 (20.9) | 133 (15.6) | 165 (23.3) | <0.001 | |
| BMI | 29.17 (6.8) | 28.48 (6.5) | 29.10 (6.5) | 29.93 (7.2) | 29.02 (6.7) | <0.001 | |
| SBP | 115 (15) | 113 (15) | 116 (14) | 115 (16) | 116 (14) | <0.001 | |
| DBP | 72 (11) | 71 (11) | 72 (11) | 73 (12) | 72 (11) | 0.027 | |
| Fructose (% calories) | 5.4 (3.5) | 3.0 (1.0) | 3.0 (1.0) | 8.3 (3.8) | 7.3 (2.8) | <0.001 | |
| Sodium (mg) | 3496 (1981) | 2320 (510) | 4809 (2120) | 2139 (599) | 4730 (2005) | <0.001 | |
| Potasium (mg) | 3210 (1611) | 2321 (823) | 3848 (1513) | 2429 (1036) | 4278 (1890) | <0.001 | |
| HbA1c | 5.5 (0.9) | 5.5 (0.9) | 5.6 (1.0) | 5.5 (0.8) | 5.5 (0.8) | 0.119 | |
| Examination cycle 9 (year 30 of follow-up) | |||||||
| SBP | 119 (18) | 117 (15) | 120 (15) | 120 (17) | 119 (15) | 0.004 | |
| DBP | 73 (11) | 72 (11) | 73 (10) | 73 (11) | 73 (11) | 0.194 | |
| BMI | 30.2 (6.7) | 29.4 (6.2) | 30.4 (6.5) | 31.0 (7.1) | 29.9 (6.5) | 0.001 | |
| HbA1c | 5.6 (0.6) | 5.6 (0.5) | 5.6 (0.5) | 5.7 (0.65) | 5.6 (0.4) | 0.219 | |
| Runnung | 627 (24.8) | 142 (24.7) | 175 (24.9) | 152 (21.7) | 158 (28.0) | 0.168 | |
| Racquet sport | 134 (5.3) | 29 (5.0) | 45 (6.4) | 24 (3.4) | 36 (6.4) | 0.100 | |
| Biking | 854 (33.6) | 195 (33.9) | 247 (35.2) | 223 (31.9) | 189 (33.5) | 0.633 | |
| Swimming | 423 (16.6) | 98 (17.0) | 123 (17.5) | 91 (13.0) | 111 (19.6) | 0.028 | |
| HBP Dx | 979 (37.9) | 188 (32.5) | 278 (39.0) | 296 (41.2) | 217 (38.0) | 0.012 | |
| UACR > 30 mg/g | 198 (7.7) | 35 (6.0) | 64 (9.0) | 43 (6.0) | 56 (9.8) | 0.016 | |
| Agatston score ≥100 | 230 (9.1) | 43 (7.5) | 90 (12.7) | 48 (7.0) | 49 (8.7) | <0.001 | |
| E/A abnormal | 391 (15.7) | 79 (14.0) | 92 (13.4) | 120 (17.5) | 100 (18.2) | 0.042 | |
| BP > 130/80 mmHg | 388 (14.9) | 78 (13.3) | 111 (15.5) | 117 (16.2) | 82 (14.2) | 0.474 | |
| CVD | 224 (7.2) | 45 (6.3) | 63 (7.4) | 58 (8.2) | 58 (8.2) | 0.559 | |
| ESRD | 24 (0.8) | 7 (1.0) | 5 (0.6) | 6 (0.7) | 6 (0.8) | 0.828 | |
| All-cause mortality | 168 (5.4) | 39 (5.5) | 43 (5.1) | 51 (6.0) | 35 (4.9) | 0.781 | |
| Low FRU + Low SOD | Low FRU + High SOD | High FRU + Low SOD | High FRU + High SOD | |
|---|---|---|---|---|
| E/A abnormal | ||||
| White race | 0.497 [0.292–0.846], 0.001 | 0.985 [0.607–1.598], 0.952 | 1.323 [0.860–2.034], 0.203 | 0.740 [0.462–1.185], 0.211 |
| Female sex | 1.623 [0.891–2.957], 0.114 | 1.356 [0.862–2.133], 0.188 | 0.949 [0.599–1.503], 0.822 | 0.644 [0.411–1.073], 0.095 |
| HBP Dx bsl | 0.949 [0.365–2.468], 0.915 | 0.687 [0.294–1.604], 0.386 | 0.687 [0.294–1.604], 0.386 | 1.777 [0.844–3.743], 0.130 |
| Agatston score ≥ 100 | ||||
| White race | 1.318 [0.565–3.071], 0.523 | 0.755 [0.448–1.272], 0.291 | 1.270 [0.661–2.441], 0.474 | 1.327 [0.682–2.582], 0.405 |
| Female sex | 0.149 [0.069–0.325], <0.001 | 0.207 [0.111–0.383], <0.001 | 0.381 [0.199–0.730], 0.004 | 0.356 [0.166–0.766], 0.008 |
| HBP Dx bsl | 6.520 [2.745–15.485], <0.001 | 1.956 [0.948–4.038], 0.070 | 1.274 [0.412–3.938], 0.674 | 0.523 [0.119–2.293], 0.390 |
| UACR > 30 mg/g | ||||
| White race | 0.471 [0.216–1.027], 0.058 | 0.307 [0.176–0.535], <0.001 | 0.707 [0.352–1.463], 0.350 | 0.331 [0.167–0.654], 0.001 |
| Female sex | 0.401 [0.189–0.848], 0.017 | 0.475 [0.265–0.853], 0.013 | 0.532 [0.268–1.054], 0.070 | 0.804 [0.428–1.508], 0.496 |
| HBP Dx bsl | 1.734 [0.591–5.093], 0.317 | 1.749 [0.793–3.857], 0.166 | 2.273 [0.872–5.929], 0.093 | 3.328 [1.390–7.544], 0.006 |
| Low FRU + Low SOD | Low FRU + High SOD | High FRU + Low SOD | High FRU + High SOD | |
|---|---|---|---|---|
| E/A abnormal | ||||
| White race | 0.510 [0.295–0.880], 0.016 | 1.067 [0.649–1.754], 0.798 | 1.204 [0.764–1.896], 0.424 | 0.722 [0.443–1.174], 0.189 |
| Female sex | 1.691 [0.911–3.141], 0.096 | 1.341 [0.842–2.137], 0.216 | 0.940 [0.590–1.498], 0.795 | 0.586 [0.355–0.967], 0.037 |
| HBP Dx bsl | 0.942 [0.361–2.461], 0.903 | 1.151 [0.564–2.351], 0.699 | 0.701 [0.297–1.656], 0.418 | 1.585 [0.739–3.396], 0.237 |
| Agatston score ≥ 100 | ||||
| White race | 1.443 [0.599–3.473], 0.414 | 0.822 [0.481–1.406], 0.475 | 1.266 [0.634–2.527], 0.503 | 1.516 [0.759–3.028], 0.238 |
| Female sex | 0.129 [0.056–0.293], <0.001 | 0.201 [0.107–0.377], <0.001 | 0.343 [0.176–0.667], 0.002 | 0.322 [0.146–0.708], 0.005 |
| HBP Dx bsl | 7.034 [2.892–17.111], <0.001 | 1.961 [0.944–4.071], 0.071 | 1.389 [0.446–4.328], 0.571 | 0.549 [0.123–2.460], 0.434 |
| UACR > 30 mg/g | ||||
| White race | 0.454 [0.200–1.033], 0.060 | 0.345 [0.196–0.608], <0.001 | 0.735 [0.341–1.585], 0.433 | 0.327 [0.163–0.656], 0.002 |
| Female sex | 0.273 [0.122–0.641], 0.002 | 0.442 [0.242–0.806], 0.008 | 0.498 [0.249–0.999], 0.050 | 0.794 [0.411–1.535], 0.493 |
| HBP Dx bsl | 1.797 [0.601–5.374], 0.294 | 1.731 [0.782–3.832], 0.176 | 2.032 [0.767–5.383], 0.154 | 3.308 [1.394–7.851], 0.007 |
Disclaimer/Publisher’s Note: The statements, opinions and data contained in all publications are solely those of the individual author(s) and contributor(s) and not of MDPI and/or the editor(s). MDPI and/or the editor(s) disclaim responsibility for any injury to people or property resulting from any ideas, methods, instructions or products referred to in the content. |
© 2024 by the authors. Licensee MDPI, Basel, Switzerland. This article is an open access article distributed under the terms and conditions of the Creative Commons Attribution (CC BY) license (https://creativecommons.org/licenses/by/4.0/).
Share and Cite
Komnenov, D.; Al-Hadidi, M.; Ali, H.; Al-Jamal, M.; Salami, K.; Shelbaya, S.; Tayeb, K.; Domin, D.; Elhamzawy, R. Dietary Fructose and Sodium Consumed during Early Mid-Life Are Associated with Hypertensive End-Organ Damage by Late Mid-Life in the CARDIA Cohort. Nutrients 2024, 16, 913. https://doi.org/10.3390/nu16070913
Komnenov D, Al-Hadidi M, Ali H, Al-Jamal M, Salami K, Shelbaya S, Tayeb K, Domin D, Elhamzawy R. Dietary Fructose and Sodium Consumed during Early Mid-Life Are Associated with Hypertensive End-Organ Damage by Late Mid-Life in the CARDIA Cohort. Nutrients. 2024; 16(7):913. https://doi.org/10.3390/nu16070913
Chicago/Turabian StyleKomnenov, Dragana, Mohammad Al-Hadidi, Hamza Ali, Malik Al-Jamal, Kassim Salami, Samy Shelbaya, Kareem Tayeb, Daniel Domin, and Rana Elhamzawy. 2024. "Dietary Fructose and Sodium Consumed during Early Mid-Life Are Associated with Hypertensive End-Organ Damage by Late Mid-Life in the CARDIA Cohort" Nutrients 16, no. 7: 913. https://doi.org/10.3390/nu16070913
APA StyleKomnenov, D., Al-Hadidi, M., Ali, H., Al-Jamal, M., Salami, K., Shelbaya, S., Tayeb, K., Domin, D., & Elhamzawy, R. (2024). Dietary Fructose and Sodium Consumed during Early Mid-Life Are Associated with Hypertensive End-Organ Damage by Late Mid-Life in the CARDIA Cohort. Nutrients, 16(7), 913. https://doi.org/10.3390/nu16070913

