The Human Interference Scoring System (HISS): A New Tool for Quantifying Food Quality Based on Its Level of Processing
Highlights
- The Human Interference Scoring System (HISS) demonstrated high inter-rater reliability for unprocessed and ultra-processed food categories when used by trained nutrition professionals.
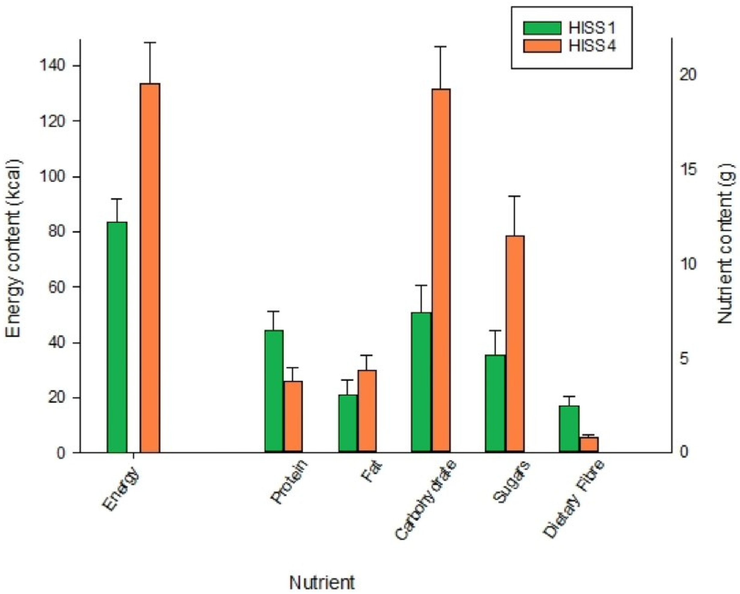
- Foods categorized as ultra-processed were significantly higher in energy, sugar, and carbohydrates and lower in dietary fiber compared to unprocessed foods.
- Digital photography of food recalls allowed for effective categorization and serving size quantification across dietary patterns.
- The findings suggest HISS is a promising tool for assessing diet quality, offering a reliable alternative to traditional nutrient-based dietary assessments.
- The integration of HISS with digital tools, such as a smartphone app, could enhance accessibility and usability for both individuals and nutrition professionals.
Abstract
1. Introduction
- Can nutrition professionals understand how to use the HISS to categorize food from digital food photography?
- Can the HISS be used to identify the degree of processing, eating patterns, and, therefore, accurately reflect the measure of food quality when analyzing digital images?
- What is the usability of the HISS and what improvements can be made to the food-classification system?
- What is the relationship between HISS categories and the nutrient composition of foods within them?
2. Materials and Methods
2.1. Design and Development of a Food Processing Classification System
2.2. HISS Pilot Testing
2.3. Reliability Study: User Testing of the HISS Classification System
2.3.1. Study Design
2.3.2. Reliability Assessment Protocol
- (1)
- What did you find easy to use?
- (2)
- What did you find difficult to use?
- (3)
- What are your suggestions for improvements?
2.4. Data Analysis
3. Results
3.1. Relationship between HISS Categories and Nutritient Composition
3.2. Questionnaire Results
4. Discussion
5. Conclusions
Supplementary Materials
Author Contributions
Funding
Institutional Review Board Statement
Informed Consent Statement
Data Availability Statement
Acknowledgments
Conflicts of Interest
References
- FAO; WHO. Sustainable Healthy Diets—Guiding Principles; FAO: Rome, Italy, 2019. [Google Scholar]
- WHO; FAO Expert Consultation. Diet, Nutrition and the Prevention of Chronic Diseases; Report No.: 0512-3054 Contract No.: I–viii; WHO: Geneva, Switzerland, 2003. [Google Scholar]
- Pfrimer, K.; Vilela, M.; Resende, C.M.; Scagliusi, F.B.; Marchini, J.S.; Lima, N.K.; Moriguti, J.C.; Ferriolli, E. Under-reporting of food intake and body fatness in independent older people: A doubly labelled water study. Age Ageing 2014, 44, 103–108. [Google Scholar] [CrossRef] [PubMed]
- Scagliusi, F.B.; Ferriolli, E.; Pfrimer, K.; Laureano, C.; Cunha, C.S.; Gualano, B.; Lourenço, B.H.; Lancha, A.H., Jr. Underreporting of energy intake in Brazilian women varies according to dietary assessment: A cross-sectional study using doubly labeled water. J. Am. Diet. Assoc. 2008, 108, 2031–2040. [Google Scholar] [CrossRef] [PubMed]
- Monteiro, C.A.; Cannon, G.; Levy, R.; Moubarac, J.-C.; Jaime, P.; Martins, A.P.; Canella, D.; Louzada, M.; Parra, D. NOVA. The star shines bright. World Nutr. 2016, 7, 28–38. [Google Scholar]
- Monteiro, C.A.; Levy, R.B.; Claro, R.M.; Castro, I.R.R.d.; Cannon, G. A new classification of foods based on the extent and purpose of their processing. Cad. Saude Publica 2010, 26, 2039–2049. [Google Scholar] [CrossRef] [PubMed]
- Braesco, V.; Souchon, I.; Sauvant, P.; Haurogné, T.; Maillot, M.; Féart, C.; Darmon, N. Ultra-processed foods: How functional is the NOVA system? Eur. J. Clin. Nutr. 2022, 76, 1245–1253. [Google Scholar] [CrossRef]
- Apovian, C.M. The low-fat, low-carb debate and the theory of relativity. Am. J. Clin. Nutr. 2015, 102, 719–720. [Google Scholar] [CrossRef][Green Version]
- Barnard, N.D.; Leroy, F. Children and adults should avoid consuming animal products to reduce risk for chronic disease: YES. Am. J. Clin. Nutr. 2020, 112, 926–930. [Google Scholar] [CrossRef]
- Bayram, H.M.; Ozturkcan, A. Public interest in weight loss and diet-related topics in Europe: An infodemiology study of Google trends data from 2004–2022. Int. J. Food Sci. Nutr. 2023, 74, 568–579. [Google Scholar] [CrossRef]
- Krauss, R.M.; Kris-Etherton, P.M. Public health guidelines should recommend reducing saturated fat consumption as much as possible: NO. Am. J. Clin. Nutr. 2020, 112, 19–24. [Google Scholar] [CrossRef]
- Chen, X.; Zhang, Z.; Yang, H.; Qiu, P.; Wang, H.; Wang, F.; Zhao, Q.; Fang, J.; Nie, J. Consumption of ultra-processed foods and health outcomes: A systematic review of epidemiological studies. Nutr. J. 2020, 19, 86. [Google Scholar] [CrossRef] [PubMed]
- Costa, C.S.; Del-Ponte, B.; Assunção, M.C.F.; Santos, I.S. Consumption of ultra-processed foods and body fat during childhood and adolescence: A systematic review. Public Health Nutr. 2018, 21, 148–159. [Google Scholar] [CrossRef] [PubMed]
- Hall, K.D. From dearth to excess: The rise of obesity in an ultra-processed food system. Philos. Trans. R. Soc. B 2023, 378, 20220214. [Google Scholar] [CrossRef] [PubMed]
- Hall, K.D.; Ayuketah, A.; Brychta, R.; Cai, H.; Cassimatis, T.; Chen, K.Y.; Chung, S.T.; Costa, E.; Courville, A.; Darcey, V. Ultra-processed diets cause excess calorie intake and weight gain: An inpatient randomized controlled trial of ad libitum food intake. Cell Metab. 2019, 30, 67–77.e63. [Google Scholar] [CrossRef]
- Khandpur, N.; Neri, D.A.; Monteiro, C.; Mazur, A.; Frelut, M.-L.; Boyland, E.; Weghuber, D.; Thivel, D. Ultra-processed food consumption among the paediatric population: An overview and call to action from the European childhood obesity group. Ann. Nutr. Metab. 2020, 76, 109–113. [Google Scholar] [CrossRef]
- Lane, M.M.; Davis, J.A.; Beattie, S.; Gómez-Donoso, C.; Loughman, A.; O’Neil, A.; Jacka, F.; Berk, M.; Page, R.; Marx, W. Ultraprocessed food and chronic noncommunicable diseases: A systematic review and meta-analysis of 43 observational studies. Obes. Rev. 2021, 22, e13146. [Google Scholar] [CrossRef] [PubMed]
- Anderson, K. Popular fad diets: An evidence-based perspective. Prog. Cardiovasc. Dis. 2023, 77, 78–85. [Google Scholar] [CrossRef]
- Pingault, N.; Caron, P.; Kalafatic, C.; Allahoury, A.; Fresco, L.O.; Kennedy, E.; Khan, M.; Kliksberg, B.; Mei, F.; Murphy, S.; et al. Nutrition and Food Systems. A Report by the High Level Panel of Experts on Food Security and Nutrition of the Committee on World Food Security; HLPE: Rome, Italy, 2017. [Google Scholar]
- Coad, J.; Pedley, K. Nutrition in New Zealand: Can the Past Offer Lessons for the Present and Guidance for the Future? Nutrients 2020, 12, 3433. [Google Scholar] [CrossRef]
- Hobbs, M.; Mackenbach, J.D.; Wiki, J.; Marek, L.; McLeod, G.F.; Boden, J.M. Investigating change in the food environment over 10 years in urban New Zealand: A longitudinal and nationwide geospatial study. Soc. Sci. Med. 2021, 269, 113522. [Google Scholar] [CrossRef]
- Martini, D.; Godos, J.; Bonaccio, M.; Vitaglione, P.; Grosso, G. Ultra-processed foods and nutritional dietary profile: A meta-analysis of nationally representative samples. Nutrients 2021, 13, 3390. [Google Scholar] [CrossRef]
- Mendez, M.A.; Popkin, B.M. Globalization, urbanization and nutritional change in the developing world. eJADE Electron. J. Agric. Dev. Econ. 2004, 1, 220–241. [Google Scholar]
- Moubarac, J.-C.; Parra, D.C.; Cannon, G.; Monteiro, C.A. Food classification systems based on food processing: Significance and implications for policies and actions: A systematic literature review and assessment. Curr. Obes. Rep. 2014, 3, 256–272. [Google Scholar] [CrossRef]
- Petrus, R.R.; do Amaral Sobral, P.J.; Tadini, C.C.; Gonçalves, C.B. The NOVA classification system: A critical perspective in food science. Trends Food Sci. Technol. 2021, 116, 603–608. [Google Scholar] [CrossRef]
- Sadler, C.R.; Grassby, T.; Hart, K.; Raats, M.; Sokolović, M.; Timotijevic, L. Processed food classification: Conceptualisation and challenges. Trends Food Sci. Technol. 2021, 112, 149–162. [Google Scholar] [CrossRef]
- Stuckler, D.; Nestle, M. Big food, food systems, and global health. PLoS Med. 2012, 9, e1001242. [Google Scholar] [CrossRef]
- Monteiro, C.A.; Astrup, A. Does the concept of “ultra-processed foods” help inform dietary guidelines, beyond conventional classification systems? YES. Am. J. Clin. Nutr. 2022, 116, 1476–1481. [Google Scholar] [CrossRef]
- Contreras-Rodriguez, O.; Solanas, M.; Escorihuela, R.M. Dissecting ultra-processed foods and drinks: Do they have a potential to impact the brain? Rev. Endocr. Metab. Disord. 2022, 23, 697–717. [Google Scholar] [CrossRef] [PubMed]
- Dagbasi, A.; Lett, A.; Murphy, K.; Frost, G. Understanding the interplay between food structure, intestinal bacterial fermentation and appetite control. Proc. Nutr. Soc. 2020, 79, 514–530. [Google Scholar] [CrossRef] [PubMed]
- Bonaccio, M.; Costanzo, S.; Di Castelnuovo, A.; Persichillo, M.; Magnacca, S.; De Curtis, A.; Cerletti, C.; Donati, M.B.; de Gaetano, G.; Iacoviello, L. Ultra-processed food intake and all-cause and cause-specific mortality in individuals with cardiovascular disease: The Moli-sani Study. Eur. Heart J. 2022, 43, 213–224. [Google Scholar] [CrossRef] [PubMed]
- Astrup, A.; Monteiro, C. Does the concept of “ultra-processed foods” help inform dietary guidelines, beyond conventional classification systems? NO. Am. J. Clin. Nutr. 2022, 116, 1482–1488. [Google Scholar] [CrossRef] [PubMed]
- Drewnowski, A.; Gupta, S.; Darmon, N. An overlap between “ultraprocessed” foods and the preexisting nutrient rich foods index? Nutr. Today 2020, 55, 75–81. [Google Scholar] [CrossRef]
- Schnabel, L.; Kesse-Guyot, E.; Allès, B.; Touvier, M.; Srour, B.; Hercberg, S.; Buscail, C.; Julia, C. Association between ultraprocessed food consumption and risk of mortality among middle-aged adults in France. JAMA Intern. Med. 2019, 179, 490–498. [Google Scholar] [CrossRef]
- Monteiro, C.A.; Cannon, G.; Moubarac, J.-C.; Martins, A.P.B.; Martins, C.A.; Garzillo, J.; Canella, D.S.; Baraldi, L.G.; Barciotte, M.; da Costa Louzada, M.L. Dietary guidelines to nourish humanity and the planet in the twenty-first century. A blueprint from Brazil. Public Health Nutr. 2015, 18, 2311–2322. [Google Scholar] [CrossRef]
- Lorenzoni, G.; Benedetto, R.D.; Ocagli, H.; Gregori, D.; Silano, M. A validation study of NOVA classification for ultra-processed food on the USDA food and nutrient database. Curr. Dev. Nutr. 2021, 5, 594. [Google Scholar] [CrossRef]
- Slimani, N.; Deharveng, G.; Southgate, D.; Biessy, C.; Chajes, V.; Van Bakel, M.; Boutron-Ruault, M.; McTaggart, A.; Grioni, S.; Verkaik-Kloosterman, J. Contribution of highly industrially processed foods to the nutrient intakes and patterns of middle-aged populations in the European Prospective Investigation into Cancer and Nutrition study. Eur. J. Clin. Nutr. 2009, 63, S206–S225. [Google Scholar] [CrossRef] [PubMed]
- Martínez Steele, E.; Popkin, B.M.; Swinburn, B.; Monteiro, C.A. The share of ultra-processed foods and the overall nutritional quality of diets in the US: Evidence from a nationally representative cross-sectional study. Popul. Health Metr. 2017, 15, 6. [Google Scholar] [CrossRef] [PubMed]
- FAO. Land Use Statistics and Indicators. Global, Regional and Country Trends—2000–2020; FAOSTAT Analytical Brief, No. 48; FAO: Rome, Italy, 2022. [Google Scholar]
- Kesse-Guyot, E.; Allès, B.; Brunin, J.; Fouillet, H.; Dussiot, A.; Berthy, F.; Perraud, E.; Hercberg, S.; Julia, C.; Mariotti, F. Environmental impacts along the value chain from the consumption of ultra-processed foods. Nat. Sustain. 2023, 6, 192–202. [Google Scholar] [CrossRef]
- Rivera, X.C.S.; Orias, N.E.; Azapagic, A. Life cycle environmental impacts of convenience food: Comparison of ready and home-made meals. J. Clean. Prod. 2014, 73, 294–309. [Google Scholar] [CrossRef]
- Chakori, S.; Aziz, A.A.; Smith, C.; Dargusch, P. Untangling the underlying drivers of the use of single-use food packaging. Ecol. Econ. 2021, 185, 107063. [Google Scholar] [CrossRef]
- Kadac-Czapska, K.; Knez, E.; Gierszewska, M.; Olewnik-Kruszkowska, E.; Grembecka, M. Microplastics derived from food packaging waste—Their origin and health risks. Materials 2023, 16, 674. [Google Scholar] [CrossRef] [PubMed]
- Tobias, D.K.; Hall, K.D. Eliminate or reformulate ultra-processed foods? Biological mechanisms matter. Cell Metab. 2021, 33, 2314–2315. [Google Scholar] [CrossRef]
- Forde, C.G. Beyond ultra-processed: Considering the future role of food processing in human health. Proc. Nutr. Soc. 2023, 82, 406–418. [Google Scholar] [CrossRef] [PubMed]
- Hess, J.M.; Comeau, M.E.; Casperson, S.; Slavin, J.L.; Johnson, G.H.; Messina, M.; Raatz, S.; Scheett, A.J.; Bodensteiner, A.; Palmer, D.G. Dietary guidelines meet NOVA: Developing a menu for a healthy dietary pattern using ultra-processed foods. J. Nutr. 2023, 153, 2472–2481. [Google Scholar] [CrossRef] [PubMed]
- Luiten, C.M.; Steenhuis, I.H.; Eyles, H.; Mhurchu, C.N.; Waterlander, W.E. Ultra-processed foods have the worst nutrient profile, yet they are the most available packaged products in a sample of New Zealand supermarkets. Public Health Nutr. 2016, 19, 530–538. [Google Scholar] [CrossRef] [PubMed]
- Ares, G.; Vidal, L.; Allegue, G.; Giménez, A.; Bandeira, E.; Moratorio, X.; Molina, V.; Curutchet, M.R. Consumers’ conceptualization of ultra-processed foods. Appetite 2016, 105, 611–617. [Google Scholar] [CrossRef]


| Food Groups and Definition | Examples |
|---|---|
| 1: Unprocessed and minimally processed Raw and whole foods with little or no processing. Foods that are fresh, chilled, canned, frozen, or dried to enhance nutrients and freshness at their peak. Unprocessed foods are of plant and animal origin. Minimally processed foods are natural foods that are altered with removal of inedible or unwanted parts and preserved for storage. Foods that have not been through processing methods and are without added ingredients. | Fruit and vegetables; eggs; canned fish, meat, and legumes (beans, chickpeas, lentils) in spring water; red and white meats (beef, chicken, lamb, pork, venison); nuts and seeds; honey; herbal teas; water; soda water; herbs and spices. |
| 2: Processed I Artisanal products that were typically available for consumption in pre-industrial societies. Products that require traditional processing techniques with bacteria fermentation (cultured products), yeast strains, and natural ingredients. Foods that have been processed for preservation and safe consumption but remain as single foods. | Milk; butter; cheese; milk and coconut creams; unflavoured yoghurts; sourdough and artisan bread; coffee beans; pasta; plain oats; shredded wheat; grains such as rice and corn; couscous and polenta; fermented alcoholic beverages (beer, cider, and wine); spirits; kombucha; broths; sauerkraut and pickled vegetables. |
| 3: Processed II 3.1 Domestically assembled items, often prepared with separate ingredients including raw or whole food products with additional cooking agents to produce meals, dishes, or snacks. 3.2 Foods processed for preservation with additional flavouring and additives with no further cooking needed. Whole foods with more extensive methods of preservation such as salting, salt-pickling, smoking, and curing. Includes canning and bottling techniques using sugar or syrups, oil, or additional flavouring. | 3.1 Granola and breakfast cereals; baking and biscuits; homemade plant-based milk; soup. 3.2 Fruit preserved in syrup; canned vegetables and legumes preserved in brine; canned fish in flavouring or oil; processed and cured animal foods (ham, bacon, pastrami, beef jerky, bacon); salted or sugared nuts and seeds; hummus; pesto; aioli; nut butters; pasta sauces; fortified wine; plant-based milks. |
| 4: Ultra-processed Industrially prepared items that are largely manufactured and packaged which are ready to eat at home or at fast food outlets. Undergone high degrees of processing entirely from substances that are derived from foods, with little or no whole foods present. Formulations of ingredients with industrial techniques and processes. Contain additives to prolong product duration, including varieties of sugars (corn syrup, maltodextrin, dextrose, lactose), modified oils, and sources of protein (hydrolysed proteins, soya protein isolate, gluten, casein, whey protein). Contain large amounts of additives, preservatives, stabilisers, emulsifiers, bulkers, artificial sweeteners, thickeners, colors, and flavours. | 4.1 Ready-to-consume products: mass-produced packaged breads, buns, and wraps; biscuits; baked beans or spaghetti; cakes; confectionery (chocolate, candy); instant coffee sachets; milo and hot chocolate; rice cakes; ice cream; breakfast cereals; packaged snack products (e.g., chips); fizzy and energy drinks; sweetened milk drinks; sweetened fruit yoghurt; juice; powdered and packaged soups and desserts; noodles; muesli bars; protein supplements and bars; instant dressings and sauces; spreads; margarine; baby formulas; ready-to-drink alcoholic beverages; tonic water. Pre-prepared ready-to-heat products: poultry and fish ‘nuggets’ and ‘sticks;’ sausages, burgers, hot dogs, and other reconstituted meats; packaged foods (pizza, burgers etc); fries; pies. |
| % Overall Servings in Unprocessed Category | Difference | % Overall Servings in Processed I Category | Difference | % Overall Servings in Processed II Category | Difference | % Overall Servings in Ultra-Processed Category | Difference | Total Servings | Difference | |
|---|---|---|---|---|---|---|---|---|---|---|
| Research team | 36 | 16 | 1 | 47 | 94.5 | |||||
| Participant 1 | 36 | 0 | 13 | 3 | 0 | 1 | 51 | −4 | 83.0 | 11.5 |
| Participant 2 | 37 | −1 | 20 | −4 | 6 | −5 | 38 | 9 | 90.2 | 4.3 |
| Participant 3 | 33 | 3 | 21 | −5 | 0 | 1 | 46 | 1 | 87.0 | 7.5 |
| Participant 4 | 34 | 2 | 14 | 2 | 5 | −4 | 47 | 0 | 100.5 | −6.0 |
| Participant 5 | 39 | −3 | 8 | 8 | 2 | −1 | 51 | −4 | 106.0 | −11.5 |
| Participant 6 | 32 | 3 | 9 | 7 | 10 | −9 | 49 | −2 | 89.3 | 5.3 |
| Participant 7 | 34 | 2 | 10 | 5 | 5 | −4 | 50 | −3 | 106.0 | −11.5 |
| Participant 8 | 18 | 18 | 20 | −4 | 15 | −14 | 48 | −1 | 88.0 | 6.5 |
| Participant 9 | 31 | 5 | 12 | 4 | 4 | −3 | 53 | −6 | 101.7 | −7.2 |
| Participant 10 | 33 | 3 | 10 | 6 | 9 | −8 | 47 | 0 | 99.0 | −4.5 |
| Participant 11 | 30 | 6 | 14 | 2 | 18 | −17 | 38 | 9 | 103.0 | −8.5 |
| Participant 12 | 33 | 3 | 11 | 4 | 5 | −4 | 51 | −3 | 92.0 | 2.5 |
| Participant 13 | 37 | −1 | 20 | −4 | 6 | −5 | 37 | 10 | 99.8 | −5.3 |
| Mean | 33.8 (SD 5.1) | 13 | 7 | 47 | 95.8 (SD 7.8) |
| Food Records | Total Energy (Kcal) | Total Sugar (g) | Dietary Fiber (g) | Carbohydrate (g) |
|---|---|---|---|---|
| 1 | 2602 | 90 | 41 | 346 |
| 2 | 3271 | 230 | 6 | 330 |
| 3 | 1179 | 43 | 10 | 109 |
| 4 | 2617 | 166 | 18 | 331 |
| 5 | 2002 | 97 | 50 | 162 |
| Theme/Sub-Theme | Quotes from Transcript |
|---|---|
| HISS categories | My main issue was categorising the food items in their correct classification, as I got a little confused. For example, you have “artisan breads” on Processed 1 but also “homemade bread” on Processed 2. For me, these two items would be categorised the same. If the desired outcome is a tool for ‘quality’ some of the categories may be incongruous. For example, brought pasta sauces should (according to my reading of your list) be ultra-processed but if these include minimal added ingredients (esp. sugar) they would be considered a highly nutrient-dense food and one associated with improved outcomes. For example, spread (such as peanut butter and jams, or even salad dressing and hummus) could easily fall in different categories, depending on how they are made. For example, shop-brought jams usually contain only fruit and sugar, plus some preservatives as pectin, which according to NOVA is not an ultra-processed type of additive. Some nut butters are 100% nuts and maybe salt, whereas more processed ones will contain emulsifiers, which is a type of additive that only appears in ultra-processed foods according to NOVA. I did not find it easy to use, and to me it seems a bit arbitrary. “Like beer processed 1, but health wise I’d put it in ultra-processed”. |
| Potential areas of improvement | You could note what items what people put where/serving size per items to check exactly how people are using the system. On the Classification sheet, perhaps place the Serving Size column in a separate box, or underneath the classification, to make it easier to read the document. Right at the start, when looking for an item’s classification, I spotted the same item on the serving size column and automatically looked for the category in that row, but then realised they were two sections apart, (1). Classification + Examples; and (2). Serving Sizes. |
| Positive comments | It uses a nutrient-density focus rather than energy intake approach which resonates well with me. Useful to see it laid out in the end and what meal components added up to for a days’ worth of food.The photographs give a really easy way to identify what’s eaten in a day and how processed the food item is. I found it easy to have the picture and text to verify what the food was. For example, I could see who clearly had half a chicken for lunch and could visually estimate how many servings of chicken that might be. With text only, chickens vary in size. |
Disclaimer/Publisher’s Note: The statements, opinions and data contained in all publications are solely those of the individual author(s) and contributor(s) and not of MDPI and/or the editor(s). MDPI and/or the editor(s) disclaim responsibility for any injury to people or property resulting from any ideas, methods, instructions or products referred to in the content. |
© 2024 by the authors. Licensee MDPI, Basel, Switzerland. This article is an open access article distributed under the terms and conditions of the Creative Commons Attribution (CC BY) license (https://creativecommons.org/licenses/by/4.0/).
Share and Cite
Malamatenios, O.; Campbell, J.L.; Schofield, G.; Zinn, C. The Human Interference Scoring System (HISS): A New Tool for Quantifying Food Quality Based on Its Level of Processing. Nutrients 2024, 16, 536. https://doi.org/10.3390/nu16040536
Malamatenios O, Campbell JL, Schofield G, Zinn C. The Human Interference Scoring System (HISS): A New Tool for Quantifying Food Quality Based on Its Level of Processing. Nutrients. 2024; 16(4):536. https://doi.org/10.3390/nu16040536
Chicago/Turabian StyleMalamatenios, Olivia, Jessica L. Campbell, Grant Schofield, and Caryn Zinn. 2024. "The Human Interference Scoring System (HISS): A New Tool for Quantifying Food Quality Based on Its Level of Processing" Nutrients 16, no. 4: 536. https://doi.org/10.3390/nu16040536
APA StyleMalamatenios, O., Campbell, J. L., Schofield, G., & Zinn, C. (2024). The Human Interference Scoring System (HISS): A New Tool for Quantifying Food Quality Based on Its Level of Processing. Nutrients, 16(4), 536. https://doi.org/10.3390/nu16040536

