Is There a Relationship Between Physical Performance Factors and Adverse Reactions to Foodstuffs? The ALASKA Study
Highlights
- The prevalence of IgG4 AbR in the adult population varies in different age groups.
- Immune-mediated ARFs are more prevalent in adults with high physical performance, and non-immune-mediated ARFs are more prevalent in adults with low physical performance.
- Adults with high physical performance are more likely to have positive IgE-mediated food hypersensitivity.
- Both women and adults aged ≤45 y are more likely to develop positive legume IgG4-mediated food hypersensitivity.
- Maximal handgrip strength is lower in lactose-intolerant adults.
Abstract
1. Introduction
2. Materials and Methods
2.1. Study Design and Participants
2.2. Study Variables
2.3. Statistical Analysis
2.4. Ethical Considerations
3. Results
3.1. Sample Characteristics
3.2. Prevalence of Adverse Reactions to Foodstuffs According to Age Groups
3.2.1. Type 1 Food Hypersensitivity
3.2.2. Type 2 Food Hypersensitivity
3.2.3. Lactose Intolerance and Fructose Malabsorption
3.3. Physical Performance
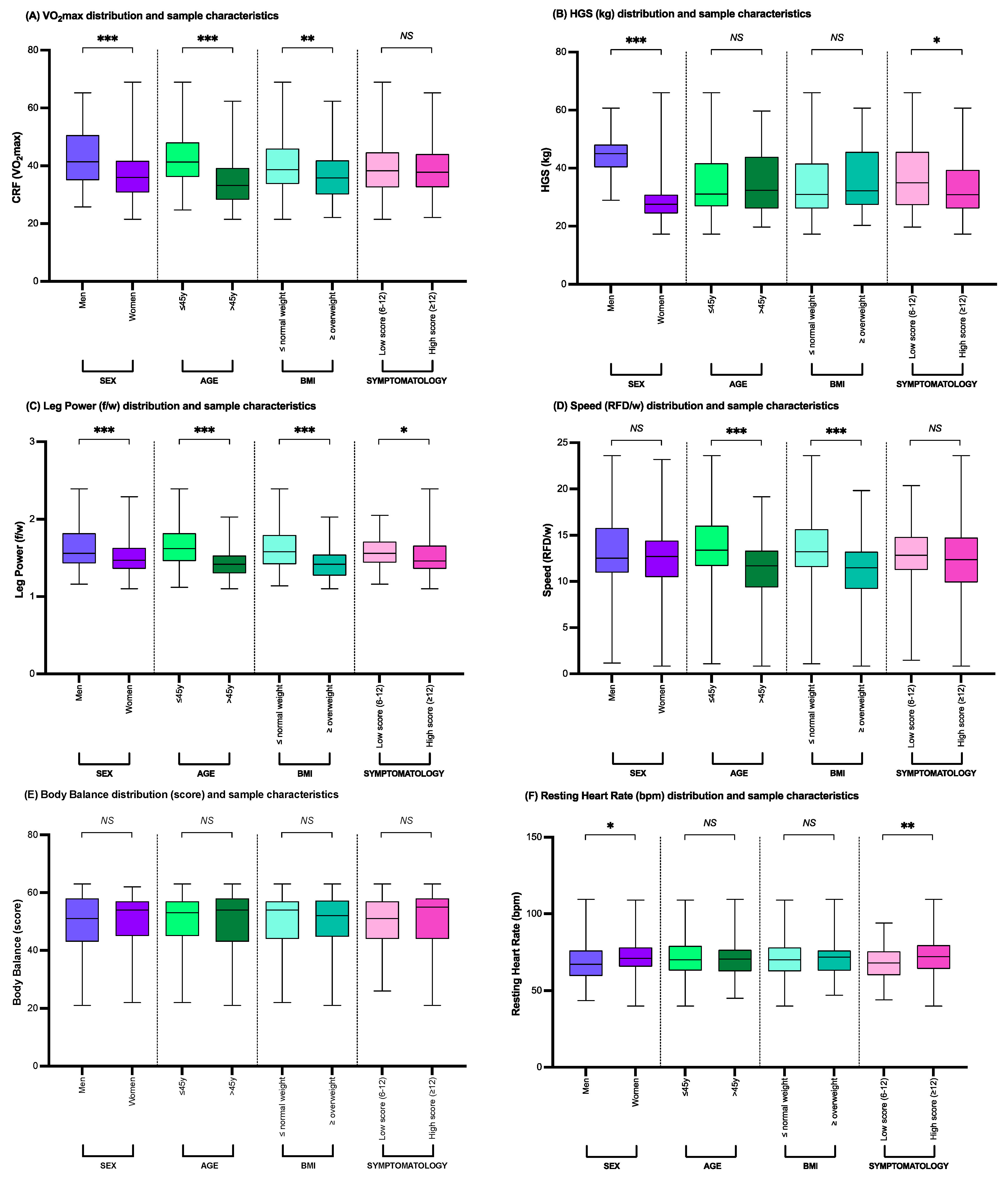
3.3.1. Physical Performance Variables and Sample Characteristics
3.3.2. Physical Performance Variables and Adverse Reactions to Foodstuffs
3.4. Physical Performance as an Associated Factor in Adverse Reactions to Foodstuffs
4. Discussion
4.1. Strengths and Limitations
4.1.1. Strengths
4.1.2. Limitations
4.2. Future Research
5. Conclusions
Supplementary Materials
Author Contributions
Funding
Institutional Review Board Statement
Informed Consent Statement
Data Availability Statement
Acknowledgments
Conflicts of Interest
References
- Tanno, L.K.; Chalmers, R.; Jacob, R.; Kostanjsek, N.; Bierrenbach, A.L.; Martin, B.; Molinari, N.; Annesi-Maesano, I.; Papadopoulos, N.G.; Sanchez-Borges, M.; et al. Global implementation of the World Health Organization’s International Classification of Diseases (ICD)-11: The allergic and hypersensitivity conditions model. Allergy 2020, 75, 2206–2218. [Google Scholar] [CrossRef] [PubMed]
- Spolidoro, G.C.I.; Amera, Y.T.; Ali, M.M.; Nyassi, S.; Lisik, D.; Ioannidou, A.; Rovner, G.; Khaleva, E.; Venter, C.; van Ree, R.; et al. Frequency of food allergy in Europe: An updated systematic review and meta-analysis. Allergy 2023, 78, 351–368. [Google Scholar] [CrossRef] [PubMed]
- Pantoja-Arévalo, L.; Gesteiro, E.; Pérez-Ruiz, M.; López-Seoane, J.; Wusterhausen, P.; Matthias, T.; Urrialde, R.; González-Gross, M. The multifactorial approach and the food allergen-specific substitutive diet as a tool to manage and ameliorate adverse reactions to foodstuffs in adulthood: Study protocol for a randomized controlled trial—The ALASKA Study. Trials 2024, 25, 494. [Google Scholar] [CrossRef] [PubMed]
- Pantoja-Arévalo, L.; Gesteiro, E.; Matthias, T.; Urrialde, R.; González-Gross, M. Association between food-specific immunoglobulin G4 antibodies in adults with self-reported signs and symptoms attributed to adverse reactions to foodstuffs. Biomedicines 2023, 11, 3335. [Google Scholar] [CrossRef] [PubMed]
- Santos, A.F.; Riggioni, C.; Agache, I.; Akdis, C.A.; Akdis, M.; Alvarez-Perea, A.; Alvaro-Lozano, M.; Ballmer-Weber, B.; Barni, S.; Beyer, K.; et al. EAACI guidelines on the diagnosis of IgE-mediated food allergy. Allergy 2023, 78, 3057–3076. [Google Scholar] [CrossRef]
- Misselwitz, B.; Butter, M.; Verbeke, K.; Fox, M.R. Update on lactose malabsorption and intolerance: Pathogenesis, diagnosis and clinical management. Gut 2019, 68, 2080–2091. [Google Scholar] [CrossRef]
- Aldred, S.; Love, J.A.; Tonks, L.A.; Stephens, E.; Jones, D.S.; Blannin, A.K. The effect of steady state exercise on circulating human IgE and IgG in young healthy volunteers with known allergy. J. Sci. Med. Sport. 2010, 13, 16–19. [Google Scholar] [CrossRef]
- Antunes, L.; Meirelles, M.D.L.; Moreira, D.; Menezes, Z.; Alves, D.; Vieira, N.; Batista, G.; Versiani, A.; Da-Gloria, D.; Carmona, D. Experimental food allergy leads to adipose tissue inflammation, systemic metabolic alterations and weight loss in mice. Cell Immunol. 2011, 270, 198–206. [Google Scholar] [CrossRef]
- Sicherer, S.H.; Sampson, H.A. Food allergy. J. Allergy Clin. Immunol. 2010, 125, S116–S125. [Google Scholar] [CrossRef]
- Nowak-Wegrzyn, A.; Szajewska, H.; Lack, G. Food allergy and the gut. Nat. Rev. Gastroenterol. Hepatol. 2017, 14, 241–257. [Google Scholar] [CrossRef]
- Tham, E.H.; Leung, D.Y.M. How Different Parts of the World Provide New Insights Into Food Allergy. Allergy Asthma Immunol. Res. 2018, 10, 290–299. [Google Scholar] [CrossRef] [PubMed]
- Lee, E.C.K.; Trogen, B.; Brady, K.; Ford, L.S.; Wang, J. The Natural History and Risk Factors for the Development of Food Allergies in Children and Adults. Curr. Allergy Asthma Rep. 2024, 24, 121–131. [Google Scholar] [CrossRef] [PubMed]
- Kulis, M.D.; Smeekens, J.M.; Immormino, R.M.; Moran, T.P. The airway as a route of sensitization to peanut: An update to the dual allergen exposure hypothesis. J. Allergy Clin. Immunol. 2021, 148, 689–693. [Google Scholar] [CrossRef] [PubMed]
- Pantoja-Arévalo, L.; Gesteiro, E.; Calonge-Pascual, S.; Pérez-Ruiz, M.; Urrialde, R.; González-Gross, M. Design and validity of the Spanish version of two questionnaires related to adverse reactions to foodstuffs. Nutr. Hosp. 2023, 40, 800–810. [Google Scholar] [CrossRef] [PubMed]
- Kolimechkov, S.; Petrov, L. The Body Mass Index: A systematic review. J. Exerc. Physiol. 2020, 3, 21–27. [Google Scholar]
- Weir, C.B.; Jan, A. BMI Classification Percentile and Cut off Points; StatPearls Publishing: Treasure Island, FL, USA, 2023; p. 5. [Google Scholar]
- Craig, C.L.; Marshall, A.L.; Sjostrom, M.; Bauman, A.E.; Booth, M.L.; Ainsworth, B.E.; Pratt, M.; Ekelund, U.; Yngve, A.; Sallis, J.F.; et al. International physical activity questionnaire: 12-country reliability and validity. Med. Sci. Sports Exerc. 2003, 35, 1381–1395. [Google Scholar] [CrossRef]
- Roman-Viñas, B.; Serra-Majem, L.; Hagströmer, M.; Ribas-Barba, L.; Sjöström, M.; Segura-Cardona, R. International physical activity questionnaire: Reliability and validity in a Spanish population. Eur. J. Sport. Sci. 2010, 10, 297–304. [Google Scholar] [CrossRef]
- Topolski, T.D.; LoGerfo, J.; Patrick, D.L.; Williams, B.; Walwick, J.; Patrick, M.B. The Rapid Assessment of Physical Activity (RAPA) among older adults. Prev. Chronic Dis. 2006, 3, A118. [Google Scholar]
- Maud, P.J.; Foster, C. Physiological Assessment of Human Fitness; Human Kinetics: London, UK, 2006; p. 319. [Google Scholar]
- Sun, B.Q.; Zheng, P.Y.; Zhang, X.W.; Huang, H.M.; Chen, D.H.; Zeng, G.Q. Prevalence of allergen sensitization among patients with allergic diseases in Guangzhou, Southern China: A four-year observational study. Multidiscip. Respir. Med. 2014, 9, 2. [Google Scholar] [CrossRef]
- Gupta, R.S.; Warren, C.M.; Smith, B.M.; Jiang, J.; Blumenstock, J.A.; Davis, M.M.; Schleimer, R.P.; Nadeau, K.C. Prevalence and Severity of Food Allergies Among US Adults. JAMA Netw. Open 2019, 2, e185630. [Google Scholar] [CrossRef]
- Jarvis, D.; Luczynska, C.; Chinn, S.; Potts, J.; Sunyer, J.; Janson, C.; Svanes, C.; Kunzli, N.; Leynaert, B.; Heinrich, J.; et al. Change in prevalence of IgE sensitization and mean total IgE with age and cohort. J. Allergy Clin. Immunol. 2005, 116, 675–682. [Google Scholar] [CrossRef] [PubMed]
- World-Health-Organization. WHO Guidelines on Physical Activity and Sedentary Behaviour; World Health Organization: Geneva, Switzerland, 2020. [Google Scholar]
- Myers, J.; Prakash, M.; Froelicher, V.; Do, D.; Partington, S.; Atwood, J.E. Exercise capacity and mortality among men referred for exercise testing. N. Engl. J. Med. 2002, 346, 793–801. [Google Scholar] [CrossRef] [PubMed]
- Hofstee, W.K.B.; Berge, J.M.F.T.; Hendriks, A.A.J. How to score questionnaires. Personal. Individ. Differ. 1998, 25, 897–909. [Google Scholar] [CrossRef]
- Goodwin, G.; Ryu, S. Understanding The Odds: Statistics in Public Health. Front. Young Minds 2023, 11, 926624. [Google Scholar] [CrossRef]
- Szumilas, M. Explaining odds ratios. J. Can. Acad. Child. Adolesc. Psychiatry 2010, 19, 227–229. [Google Scholar]
- World Medical Association. World Medical Association Declaration of Helsinki: Ethical principles for medical research involving human subjects. JAMA 2013, 310, 2191–2194. [Google Scholar] [CrossRef]
- European Parliament. Regulation (EU) 2016/679 of the European Parliament and of the Council of 27 April 2016 on the protection of natural persons with regard to the processing of personal data and on the free movement of such data, repealing Directive 95/46/EC. OJEU 2016, 4, L119/1–L119/88. [Google Scholar]
- Zar, S.; Mincher, L.; Benson, M.J.; Kumar, D. Food-specific IgG4 antibody-guided exclusion diet improves symptoms and rectal compliance in irritable bowel syndrome. Scand. J. Gastroenterol. 2005, 40, 800–807. [Google Scholar] [CrossRef]
- Bager, J.; Tedner, S.G.; Andersson, N.; Ballardini, N.; Borres, M.P.; Konradsen, J.R.; Nilsson, C.; Westman, M.; Kull, I.; Bergstrom, A.; et al. Prevalence and early-life risk factors for tree nut sensitization and allergy in young adults. Clin. Exp. Allergy 2021, 51, 1429–1437. [Google Scholar] [CrossRef]
- Spolidoro, G.C.I.; Nyassi, S.; Lisik, D.; Ioannidou, A.; Ali, M.M.; Amera, Y.T.; Rovner, G.; Khaleva, E.; Venter, C.; van Ree, R.; et al. Food allergy outside the eight big foods in Europe: A systematic review and meta-analysis. Clin. Transl. Allergy 2024, 14, e12338. [Google Scholar] [CrossRef]
- Ortega, F.B.; Lee, D.C.; Sui, X.; Ruiz, J.R.; Cheng, Y.J.; Church, T.J.; Miller, C.C.; Blair, S.N. Cardiorespiratory fitness, adiposity, and incident asthma in adults. J. Allergy Clin. Immunol. 2010, 125, 271–273.e5. [Google Scholar] [CrossRef] [PubMed][Green Version]
- Robson-Ansley, P.; Howatson, G.; Tallent, J.; Mitcheson, K.; Walshe, I.; Toms, C.; Du Toit, G.; Smith, M.; Ansley, L. Prevalence of allergy and upper respiratory tract symptoms in runners of the London marathon. Med. Sci. Sports Exerc. 2012, 44, 999–1004. [Google Scholar] [CrossRef] [PubMed]
- Kaminsky, L.A.; Arena, R.; Ellingsen, O.; Harber, M.P.; Myers, J.; Ozemek, C.; Ross, R. Cardiorespiratory fitness and cardiovascular disease—The past, present, and future. Prog. Cardiovasc. Dis. 2019, 62, 86–93. [Google Scholar] [CrossRef] [PubMed]
- Arsenault, B.J.; Cartier, A.; Cote, M.; Lemieux, I.; Tremblay, A.; Bouchard, C.; Perusse, L.; Despres, J.P. Body composition, cardiorespiratory fitness, and low-grade inflammation in middle-aged men and women. Am. J. Cardiol. 2009, 104, 240–246. [Google Scholar] [CrossRef]
- Malsagova, K.A.; Kopylov, A.T.; Stepanov, A.A.; Enikeev, D.V.; Potoldykova, N.V.; Balakin, E.I.; Pustovoyt, V.I.; Kaysheva, A.L. Molecular profiling of athletes performing high-intensity exercises in extreme environments. Sports 2023, 11, 36. [Google Scholar] [CrossRef]
- Skypala, I.J.; McKenzie, R. Nutritional issues in food allergy. Clin. Rev. Allergy Immunol. 2019, 57, 166–178. [Google Scholar] [CrossRef]
- Odell, O.J.; Wallis, G.A. The application of lactose in sports nutrition. Int. Dairy. J. 2021, 116, 104970. [Google Scholar] [CrossRef]
- Cheung, C.L.; Nguyen, U.S.; Au, E.; Tan, K.C.; Kung, A.W. Association of handgrip strength with chronic diseases and multimorbidity: A cross-sectional study. Age 2013, 35, 929–941. [Google Scholar] [CrossRef]
- Somoza, M.L.; Blanca-López, N.; Alzate, D.P.; Garcimartin, M.I.; Ruano, F.J.; Antón-Laiseca, A.; Canto, G. Allergy to Legumes in Adults: Descriptive Features. J. Allergy Clin. Immunol. 2015, 135, AB254. [Google Scholar] [CrossRef]





| Variables/Assessments | Questionnaires/Instruments | References | ||
|---|---|---|---|---|
| Sample characteristics | Participant consent | Informed consent form | [3] | |
| Eligibility screening | Inclusion and exclusion criteria form | [3] | ||
| Demographics and clinical information | Demographics and clinical characteristics form | [3] | ||
| Diseases, signs, and symptoms | PSIMP-ARFSQ-10 | [14] | ||
| Height (cm) | Stadiometer | (Seca GmbH & Co. KG., model 213 1721009, Hamburg, Germany) | ||
| Waist/hip ratio (ISAK criteria) | Anthropometric tape | (Cescorf Ltd., 2 m Innovare measuring tape, Porto Alegre City, Brazil) | ||
| Weight (kg) and BIA with segmental multifrequency | BIA bascule | (Tanita, model MC-780MA-N, Tokyo, Japan) | ||
| Body mass index (kg/m2, mass in kilograms divided by height in meters squared) | Height and weight instruments | [15,16] | ||
| Physical activity | IPAQ-LF | [17,18] | ||
| RAPA | [19] | |||
| Clinical analysis | Recommended practices and requirements for participants before blood collection | Blood Sample Questionnaire | [3] | |
| T1FH, food allergen-specific sIgE AbR | In-line immunoassay analyzer | (Aesku.Diagnostics GmbH, Helia® Helmed, Wendelsheim, Germany) | ||
| T2FH, food allergen-specific sIgG4 AbR | ||||
| Lactose intolerance | Lactose hydrogen and methane breath test kit | (Cerascreen GmbH, Cerascreen® Lactose kit, Schwerin, Germany) | ||
| Fructose malabsorption | Fructose hydrogen and methane breath test kit | (Cerascreen GmbH, Cerascreen® Fructose kit, Schwerin, Germany) | ||
| Physical performance | Resting heart rate | Tensiometer | (Omron Healthcare Co. Ltd., model M3 Comfort HEM-7155-E(C), Kyoto, Japan) | |
| Handgrip (hand/upper extremity strength) | Dynamometer | (Takei, model T.K.K. 5401 Grip-D, Tokyo, Japan) | ||
| Power (leg/lower extremity strength) | Force platform | (Tanita, model BM-220 7341(0), Tokyo, Japan) | ||
| Sit-to-stand speed | ||||
| Body balance | ||||
| Cardiorespiratory fitness | Estimated VO2max | Åstrand-Ryhming Step Test | [20] | |
| Pulse rate | Pulse oximeter | (GE Healthcare, Ohmeda Tuffsat, Boston, MA, USA) | ||
| Pace/cycles | Metronome | (KORG Inc., model MA-1, Tokyo, Japan) | ||
| Mean ± SD or n (%) | |||||
|---|---|---|---|---|---|
| Total (n = 254) | Men (n = 99) | Women (n = 155) | Min-Max | p-Valuessex | |
| Education level | |||||
| Highschool | 27 (10.6) | 10 (10.1) | 17 (11.0) | -- | NS 0.275 |
| Intermediate-level professional training | 11 (4.3) | 2 (2.0) | 9 (5.8) | -- | |
| Higher-level professional training | 36 (14.2) | 16 (16.2) | 20 (12.9) | -- | |
| University education (college graduate, engineer, high degree) | 105 (41.3) | 41 (41.4) | 64 (41.3) | -- | |
| Master’s degree | 60 (23.7) | 23 (23.2) | 37 (23.9) | -- | |
| PhD/doctorate’s degree | 15 (5.9) | 7 (7.1) | 8 (5.2) | -- | |
| Job situation | |||||
| Employed or freelance | 209 (82.3) | 86 (86.9) | 123 (79.4) | -- | NS 0.140 |
| Learning period paid student | 5 (2.0) | 1 (1.0) | 4 (2.6) | -- | |
| Learning period non-paid student | 12 (4.7) | 3 (3.0) | 9 (5.8) | -- | |
| Unemployed | 7 (2.8) | 2 (2.0) | 5 (3.2) | -- | |
| Retired or on early retirement | 9 (3.5) | 4 (4.0) | 5 (3.2) | -- | |
| Permanent disability individual | 1 (0.4) | 1 (0.4) | 1 (0.6) | -- | |
| Homemaker or houseworker (housewife/husband) | 5 (2.0) | 0 (0.0) | 5 (3.2) | -- | |
| Other | 6 (2.4) | 3 (3.0) | 3 (1.9) | -- | |
| Living situation | |||||
| Number of people living with (NPLW) | 2.05 ± 1.27 | 2.03 ± 1.31 | 2.06 ± 1.24 | 0.00–6.00 | NS 0.433 |
| ≤2 NPLW | 162 (63.8) | 65 (65.7) | 97 (62.6) | -- | NS 0.620 |
| >2 NPLW | 92 (36.2) | 34 (34.3) | 58 (37.4) | -- | |
| Anthropometry | |||||
| Body mass index (kg/m2) | 24.40 ± 4.54 | 25.17 ± 3.80 | 23.90 ± 4.89 | 17.10–41.00 | <0.05 |
| Height (cm) | 168.70 ± 9.08 | 176.67 ± 6.68 | 163.60 ± 6.32 | 149.00–196.00 | <0.001 |
| Weight (kg) | 69.59 ± 14.64 | 78.65 ± 13.18 | 63.80 ± 12.46 | 41.80–124.80 | <0.001 |
| Waist circumference (cm) | 79.62 ± 12.74 | 87.19 ± 11.04 | 74.78 ± 11.35 | 38.00–126.80 | <0.001 |
| Hip circumference (cm) | 97.02 ± 12.06 | 97.95 ± 8.25 | 96.42 ± 13.96 | 63.00–192.00 | NS 0.163 |
| Waist-to-hip ratio | 0.82 ± 0.10 | 0.89 ± 0.07 | 0.78 ± 0.09 | 0.32–1.36 | <0.001 |
| Body mass index | |||||
| <18.5 underweight (%) | 5 (2.0) | 1 (1.0) | 4 (2.6) | -- | NS 0.220 |
| 18.5–24.9 normal weight (%) | 163 (64.2) | 57 (57.6) | 106 (68.4) | -- | |
| 25.0–29.9 overweight (%) | 63 (24.8) | 34 (34.3) | 29 (18.7) | -- | |
| 30.0–34.9 class I obesity (%) | 9 (3.5) | 3 (3.0) | 6 (3.9) | -- | |
| 35.0–39.9 class II obesity (%) | 14 (5.5) | 4 (4.0) | 10 (6.5) | -- | |
| Body composition | |||||
| Fat mass (%) | 25.08 ± 8.63 | 20.48 ± 6.62 | 28.02 ± 8.50 | 5.60–51.60 | <0.001 |
| Fat mass (kg) | 17.93 ± 9.07 | 16.74 ± 8.07 | 18.68 ± 9.61 | 3.90–51.00 | <0.05 |
| Fat free mass (kg) | 51.66 ± 10.12 | 61.91 ± 6.97 | 45.12 ± 5.18 | 31.20–79.30 | <0.001 |
| Muscle mass (kg) | 49.06 ± 9.64 | 58.82 ± 6.64 | 42.82 ± 4.92 | 29.60–75.40 | <0.001 |
| Bone mass (kg) | 2.60 ± 0.48 | 3.09 ± 0.33 | 2.29 ± 0.26 | 1.60–3.90 | <0.001 |
| Body water (%) | 51.89 ± 5.95 | 56.27 ± 4.13 | 49.10 ± 5.21 | 35.90–66.60 | <0.001 |
| Body water (kg) | 35.85 ± 7.38 | 43.80 ± 4.56 | 30.77 ± 3.10 | 24.30–56.90 | <0.001 |
| Visceral fat rating (VFR 1) | 5.96 ± 4.18 | 8.27 ± 4.43 | 4.48 ± 3.25 | 1.00–23.00 | <0.001 |
| Mean ±SD or n (%) | ||||||||||||||
|---|---|---|---|---|---|---|---|---|---|---|---|---|---|---|
| Total (n = 254) | Men (n = 99) | Women (n = 155) | Min-Max | p-Valuessex | ≤45 y (n = 135) | >45 y (n = 119) | p- Valuesage | p- Valuesage-men | p- Valuesage-women | |||||
| Total ≤ 45 y | Men (n = 43) | Women (n = 92) | Total > 45 y | Men (n = 56) | Women (n = 63) | |||||||||
| Age (years) | 43.71 ± 12.61 | 46.23 ± 13.04 | 42.10 ± 12.10 | 18.00–77.00 | <0.05 | 33.77 ± 7.55 | 33.91 ± 7.94 | 33.71 ± 7.40 | 54.99 ± 5.90 | 55.70 ± 6.68 | 54.37 ± 5.08 | <0.001 | <0.001 | <0.001 |
| Symptomatology 1 | ||||||||||||||
| Digestive system | 4.87 ± 2.77 | 4.77 ± 2.71 | 4.94 ± 2.81 | 0.00–15.00 | NS 0.319 | 5.29 ± 2.56 | 4.98 ± 2.56 | 5.43 ± 2.56 | 4.40 ± 2.93 | 4.61 ± 2.83 | 4.21 ± 3.02 | <0.01 | NS 0.252 | <0.05 |
| Skin and subcutaneous tissue | 2.92 ± 2.65 | 2.64 ± 2.54 | 3.10 ± 2.71 | 0.00–14.00 | NS 0.089 | 2.84 ± 2.48 | 2.70 ± 2.19 | 2.91 ± 2.62 | 3.00 ± 2.84 | 2.59 ± 2.79 | 3.37 ± 2.85 | NS 0.321 | NS 0.417 | NS 0.155 |
| Nervous system | 3.04 ± 2.75 | 2.07 ± 2.34 | 3.66 ± 2.83 | 0.00–16.00 | <0.001 | 3.36 ± 2.76 | 2.44 ± 2.35 | 3.79 ± 2.85 | 2.67 ± 2.71 | 1.79 ± 2.31 | 3.46 ± 2.82 | <0.05 | NS 0.084 | NS 0.236 |
| Respiratory system | 1.56 ± 1.86 | 1.70 ± 1.84 | 1.47 ± 1.87 | 0.00–11.00 | NS 0.173 | 1.47 ± 1.69 | 1.77 ± 1.48 | 1.33 ± 1.77 | 1.66 ± 2.04 | 1.64 ± 2.08 | 1.68 ± 2.01 | NS 0.200 | NS 0.370 | NS 0.123 |
| Other pathologies/ diseases | 2.49 ± 2.34 | 2.14 ± 2.13 | 2.72 ± 2.45 | 0.00–10.00 | <0.05 | 1.81 ± 2.00 | 1.42 ± 1.79 | 1.99 ± 2.07 | 3.27 ± 2.47 | 2.70 ± 2.22 | 3.78 ± 2.58 | <0.001 | =0.001 | <0.001 |
| Total PSIMP-ARFSQ-10 score | 14.88 ± 7.97 | 13.31 ± 7.33 | 15.88 ± 8.21 | 6.00–44.00 | <0.05 | 14.77 ± 7.46 | 13.30 ± 6.67 | 15.46 ± 7.74 | 15.00 ± 8.53 | 13.32 ± 7.86 | 16.49 ± 8.88 | NS 0.410 | NS 0.495 | NS 0.221 |
| Physical activity | ||||||||||||||
| Meet WHO recommendations | 219 (86.2) | 85 (85.9) | 134 (86.5) | -- | NS 0.447 | 119 (88.1) | 39 (90.7) | 80 (87.0) | 100 (84.0) | 46 (82.1) | 54 (85.7) | NS 0.172 | NS 0.115 | NS 0.413 |
| Do not meet WHO recommendations | 35 (13.8) | 14 (14.1) | 21 (13.5) | -- | 16 (11.9) | 4 (9.3) | 12 (13.0) | 19 (16.0) | 10 (17.9) | 9 (14.3) | ||||
| Physical performance | ||||||||||||||
| Total maximal HGS (kg) | 34.46 ± 9.91 | 44.41 ± 6.30 | 28.11 ± 5.66 | 17.30–66.00 | <0.001 | 34.18 ± 9.96 | 45.36 ± 6.39 | 28.95 ± 6.36 | 34.78 ± 9.90 | 43.68 ± 6.18 | 26.88 ± 4.20 | NS 0.314 | NS 0.095 | <0.05 |
| Leg power (f/w) | 1.55 ± 0.24 | 1.61 ± 0.26 | 1.51 ± 0.23 | 1.10–2.39 | <0.001 | 1.65 ± 0.25 | 1.78 ± 0.22 | 1.58 ± 0.23 | 1.44 ± 1.19 | 1.47 ± 0.20 | 1.41 ± 0.17 | <0.001 | <0.001 | <0.001 |
| Sit-to-stand speed (RFD/w) | 12.61 ± 3.75 | 12.79 ± 4.10 | 12.49 ± 3.51 | 0.01–23.60 | NS 0.271 | 13.85 ± 3.58 | 15.27 ± 3.23 | 13.18 ± 3.55 | 11.20 ± 3.43 | 10.88 ± 3.66 | 11.49 ± 3.23 | <0.001 | <0.001 | =0.001 |
| Body balance (BP T-score) | 50.12 ± 9.42 | 49.43 ± 10.46 | 50.55 ± 8.69 | 1.00–63.00 | NS 0.178 | 50.43 ± 8.61 | 50.33 ± 8.33 | 50.48 ± 8.77 | 49.76 ± 10.28 | 48.75 ± 11.86 | 50.67 ± 8.64 | NS 0.575 | NS 0.230 | NS 0.448 |
| Estimated VO2max (ml/kg·min) | 39.25 ± 9.92 | 42.79 ± 10.06 | 36.98 ± 9.17 | 21.45–68.96 | <0.001 | 43.28 ± 9.39 | 48.80 ± 8.98 | 40.70 ± 8.44 | 34.67 ± 8.45 | 38.18 ± 8.29 | 31.55 ± 7.34 | <0.001 | <0.001 | <0.001 |
| Low CRF (%) | 46 (18.1) | 15 (15.2) | 31 (20.0) | -- | NS 0.139 | 15 (11.1) | 2 (4.7) | 13 (14.1) | 31 (26.1) | 13 (23.2) | 18 (28.6) | <0.05 | <0.05 | NS 0.092 |
| Normal CRF (%) | 68 (26.8) | 26 (26.3) | 42 (27.1) | -- | 39 (28.9) | 11 (25.6) | 28 (30.4) | 29 (24.4) | 15 (26.8) | 14 (22.2) | ||||
| Good CRF (%) | 115 (45.3) | 47 (47.5) | 68 (43.9) | -- | 66 (48.9) | 23 (53.5) | 43 (46.7) | 49 (41.2) | 24 (42.9) | 25 (39.7) | ||||
| Excellent CRF (%) | 25 (9.8) | 11 (11.1) | 14 (9.0) | -- | 15 (11.1) | 7 (16.3) | 8 (8.7) | 10 (8.4) | 4 (7.1) | 6 (9.5) | ||||
Disclaimer/Publisher’s Note: The statements, opinions and data contained in all publications are solely those of the individual author(s) and contributor(s) and not of MDPI and/or the editor(s). MDPI and/or the editor(s) disclaim responsibility for any injury to people or property resulting from any ideas, methods, instructions or products referred to in the content. |
© 2024 by the authors. Licensee MDPI, Basel, Switzerland. This article is an open access article distributed under the terms and conditions of the Creative Commons Attribution (CC BY) license (https://creativecommons.org/licenses/by/4.0/).
Share and Cite
Pantoja-Arévalo, L.; Gesteiro, E.; Pérez-Ruiz, M.; Tang, S.; Urrialde, R.; González-Gross, M. Is There a Relationship Between Physical Performance Factors and Adverse Reactions to Foodstuffs? The ALASKA Study. Nutrients 2024, 16, 4384. https://doi.org/10.3390/nu16244384
Pantoja-Arévalo L, Gesteiro E, Pérez-Ruiz M, Tang S, Urrialde R, González-Gross M. Is There a Relationship Between Physical Performance Factors and Adverse Reactions to Foodstuffs? The ALASKA Study. Nutrients. 2024; 16(24):4384. https://doi.org/10.3390/nu16244384
Chicago/Turabian StylePantoja-Arévalo, Lisset, Eva Gesteiro, Margarita Pérez-Ruiz, Songxin Tang, Rafael Urrialde, and Marcela González-Gross. 2024. "Is There a Relationship Between Physical Performance Factors and Adverse Reactions to Foodstuffs? The ALASKA Study" Nutrients 16, no. 24: 4384. https://doi.org/10.3390/nu16244384
APA StylePantoja-Arévalo, L., Gesteiro, E., Pérez-Ruiz, M., Tang, S., Urrialde, R., & González-Gross, M. (2024). Is There a Relationship Between Physical Performance Factors and Adverse Reactions to Foodstuffs? The ALASKA Study. Nutrients, 16(24), 4384. https://doi.org/10.3390/nu16244384

