Reduction in Serum Carotenoid Levels Following One Anastomosis Gastric Bypass
Abstract
1. Introduction
2. Methods
2.1. Study Participants
2.2. Pre- and Post-Surgical Follow-Up Measurements
2.2.1. Anthropometrics
2.2.2. Dietary Intake Assessments
2.2.3. Biochemical Tests
2.2.4. Carotenoid Analysis
2.3. Statistical Methods
Power Calculation
3. Results
3.1. Characteristics of the Study Population
3.2. Changes in Lipoprotein Levels during the Study Period
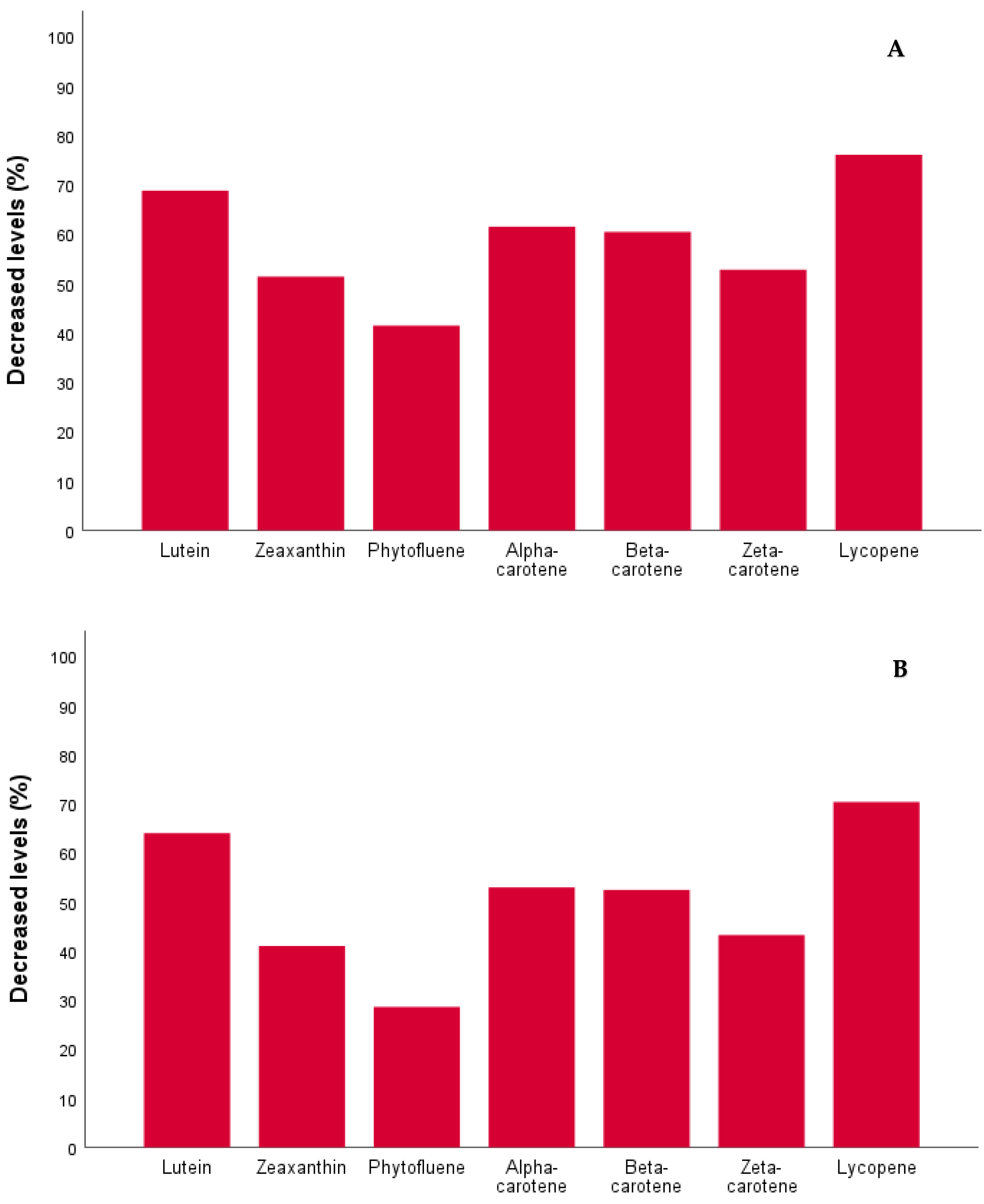
3.3. Changes in Carotenoid Levels during the Study Period
3.4. Associations between Changes in Carotenoid Levels and Clinical Parameters during the Study Period
4. Discussion
5. Conclusions
Supplementary Materials
Author Contributions
Funding
Institutional Review Board Statement
Informed Consent Statement
Data Availability Statement
Conflicts of Interest
Abbreviations
References
- Wharton, S.; Lau, D.C.; Vallis, M.; Sharma, A.M.; Biertho, L.; Campbell-Scherer, D.; Adamo, K.; Alberga, A.; Bell, R.; Boulé, N.; et al. Obesity in adults: A clinical practice guideline. Can. Med. Assoc. J. 2020, 192, E875–E891. [Google Scholar] [CrossRef] [PubMed]
- Perdomo, C.M.; Cohen, R.V.; Sumithran, P.; Clément, K.; Frühbeck, G. Contemporary medical, device, and surgical therapies for obesity in adults. Lancet 2023, 401, 1116–1130. [Google Scholar] [CrossRef] [PubMed]
- Mechanick, J.I.; Apovian, C.; Brethauer, S.; Garvey, W.T.; Joffe, A.M.; Kim, J.; Kushner, R.F.; Lindquist, R.; Pessah-Pollack, R.; Seger, J.; et al. Clinical practice guidelines for the perioperative nutrition, metabolic, and nonsurgical support of patients undergoing bariatric procedures—2019 update: Cosponsored by American Association of Clinical Endocrinologists/American College of Endocrinology, The Obesity Society, American Society for Metabolic & Bariatric Surgery, Obesity Medicine Association, and American Society of Anesthesiologists. Surg. Obes. Relat. Dis. 2020, 16, 175–247. [Google Scholar]
- Piazza, L.; Ferrara, F.; Leanza, S.; Coco, D.; Sarvà, S.; Bellia, A.; Di Stefano, C.; Basile, F.; Biondi, A. Laparoscopic mini-gastric bypass: Short-term single-institute experience. Updat. Surg. 2011, 63, 239–242. [Google Scholar] [CrossRef] [PubMed]
- Rutledge, R. The mini-gastric bypass: Experience with the first 1274 cases. Obes. Surg. 2001, 11, 276–280. [Google Scholar] [CrossRef] [PubMed]
- Mahawar, K.K.; Borg, C.-M.; Kular, K.S.; Courtney, M.J.; Sillah, K.; Carr, W.R.J.; Jennings, N.; Madhok, B.; Singhal, R.; Small, P.K. Understanding Objections to One Anastomosis (Mini) Gastric Bypass: A Survey of 417 Surgeons Not Performing this Procedure. Obes. Surg. 2017, 27, 2222–2228. [Google Scholar] [CrossRef] [PubMed]
- Bariatric Surgery Registry of the Ministry of Health, 2020. The Ministry of Health Web Site. Available online: https://www.health.gov.il/PublicationsFiles/Bariatric_2020.pdf (accessed on 29 June 2022).
- Bariatric Surgery Registry of the Ministry of Health, 2021. The Ministry of Health Web Site. Available online: https://www.gov.il/BlobFolder/reports/bariatric-2021/he/files_publications_units_ICDC_Bariatric_2021.pdf (accessed on 29 June 2022).
- Angrisani, L.; Santonicola, A.; Iovino, P.; Palma, R.; Kow, L.; Prager, G.; Ramos, A.; Shikora, S. IFSO Worldwide Survey 2020–2021: Current Trends for Bariatric and Metabolic Procedures. Obes. Surg. 2024, 34, 1075–1085. [Google Scholar] [CrossRef] [PubMed]
- Sherf-Dagan, S.; Biton, R.; Ribeiro, R.; Kessler, Y.; Raziel, A.; Rossoni, C.; Kais, H.; Bragança, R.; Santos, Z.; Goitein, D.; et al. Nutritional and Lifestyle Behaviors Reported Following One Anastomosis Gastric Bypass Based on a Multicenter Study. Nutrients 2023, 15, 1515. [Google Scholar] [CrossRef] [PubMed]
- Bruzzi, M.; Rau, C.; Voron, T.; Guenzi, M.; Berger, A.; Chevallier, J.-M. Single anastomosis or mini-gastric bypass: Long-term results and quality of life after a 5-year follow-up. Surg. Obes. Relat. Dis. 2015, 11, 321–326. [Google Scholar] [CrossRef]
- Charalampos, T.; Maria, N.; Vrakopoulou, V.G.Z.; Tania, T.; Raptis, D.; George, Z.; Emmanouil, L.; Konstantinos, A. Tailored One Anastomosis Gastric Bypass: 3-Year Outcomes of 94 Patients. Obes. Surg. 2019, 29, 542–551. [Google Scholar] [CrossRef]
- Jedamzik, J.; Eilenberg, M.; Felsenreich, D.M.; Krebs, M.; Ranzenberger-Haider, T.; Langer, F.B.; Prager, G. Impact of limb length on nutritional status in one-anastomosis gastric bypass: 3-year results. Surg. Obes. Relat. Dis. 2020, 16, 476–484. [Google Scholar] [CrossRef] [PubMed]
- Kessler, Y.; Adelson, D.; Mardy-Tilbor, L.; Ben-Porat, T.; Szold, A.; Goitein, D.; Sakran, N.; Raziel, A.; Sherf-Dagan, S. Nutritional status following One Anastomosis Gastric Bypass. Clin. Nutr. 2020, 39, 599–605. [Google Scholar] [CrossRef] [PubMed]
- Liagre, A.; Debs, T.; Kassir, R.; Ledit, A.; Juglard, G.; du Rieu, M.C.; Lazzati, A.; Martini, F.; Petrucciani, N. One Anastomosis Gastric Bypass with a Biliopancreatic Limb of 150 cm: Weight Loss, Nutritional Outcomes, Endoscopic Results, and Quality of Life at 8-Year Follow-Up. Obes. Surg. 2020, 30, 4206–4217. [Google Scholar] [CrossRef]
- Omar, I.; Sam, M.A.; Pegler, M.E.; Pearson, E.J.B.; Boyle, M.; Mahawar, K. Effect of One Anastomosis Gastric Bypass on Haematinics, Vitamin D and Parathyroid Hormone Levels: A Comparison Between 150 and 200 cm Bilio-Pancreatic Limbs. Obes. Surg. 2021, 31, 2954–2961. [Google Scholar] [CrossRef]
- Komaei, I.; Sarra, F.; Lazzara, C.; Ammendola, M.; Memeo, R.; Sammarco, G.; Navarra, G.; Currò, G. One Anastomosis Gastric Bypass–Mini Gastric Bypass with Tailored Biliopancreatic Limb Length Formula Relative to Small Bowel Length: Preliminary Results. Obes. Surg. 2019, 29, 3062–3070. [Google Scholar] [CrossRef] [PubMed]
- Elgeidie, A.; El-Magd, E.-S.A.; Elghadban, H.; Abdelgawad, M.; Hamed, H. Protein Energy Malnutrition After One-Anastomosis Gastric Bypass with a Biliopancreatic Limb ≤200 cm: A Case Series. J. Laparoendosc. Adv. Surg. Tech. 2020, 30, 1320–1328. [Google Scholar] [CrossRef] [PubMed]
- Khalaj, A.; Motamedi, M.A.K.; Mousapour, P.; Valizadeh, M.; Barzin, M. Protein-Calorie Malnutrition Requiring Revisional Surgery after One-Anastomosis-Mini-Gastric Bypass (OAGB-MGB): Case Series from the Tehran Obesity Treatment Study (TOTS). Obes. Surg. 2019, 29, 1714–1720. [Google Scholar] [CrossRef] [PubMed]
- Tasdighi, E.; Barzin, M.; Mahawar, K.K.; Hosseinpanah, F.; Ebadinejad, A.; Taraghikhah, N.; Mansoori, A.; Khalaj, A.; Niroomand, M.; Valizadeh, M.; et al. Effect of Biliopancreatic Limb Length on Weight Loss, Postoperative Complications, and Remission of Comorbidities in One Anastomosis Gastric Bypass: A Systematic Review and Meta-analysis. Obes. Surg. 2022, 32, 892–903. [Google Scholar] [CrossRef] [PubMed]
- Gentileschi, P.; Siragusa, L.; Alicata, F.; Campanelli, M.; Bellantone, C.; Musca, T.; Bianciardi, E.; Arcudi, C.; Benavoli, D.; Sensi, B. Nutritional Status after Roux-En-Y (Rygb) and One Anastomosis Gastric Bypass (Oagb) at 6-Month Follow-Up: A Comparative Study. Nutrients 2022, 14, 2823. [Google Scholar] [CrossRef]
- Granado-Lorencio, F.; Simal-Antón, A.; Blanco-Navarro, I.; González-Dominguez, T.; Pérez-Sacristán, B. Depletion of serum carotenoid and other fat-soluble vitamin concentrations following obesity surgery. Obes. Surg. 2011, 21, 1605–1611. [Google Scholar] [CrossRef]
- Böhm, V.; Lietz, G.; Olmedilla-Alonso, B.; Phelan, D.; Reboul, E.; Bánati, D.; Borel, P.; Corte-Real, J.; de Lera, A.R.; Desmarchelier, C.; et al. From carotenoid intake to carotenoid blood and tissue concentrations—Implications for dietary intake recommendations. Nutr. Rev. 2021, 79, 544–573. [Google Scholar] [CrossRef]
- Saini, R.K.; Prasad, P.; Lokesh, V.; Shang, X.; Shin, J.; Keum, Y.S.; Lee, J.-H. Carotenoids: Dietary Sources, Extraction, Encapsulation, Bioavailability, and Health Benefits-A Review of Recent Advancements. Antioxidants 2022, 11, 795. [Google Scholar] [CrossRef]
- Arscott, S.A. Food Sources of Carotenoids. In Carotenoids and Human Health; Tanumihardjo, S.A., Ed.; Humana Press: Totowa, NJ, USA, 2013; pp. 3–19. [Google Scholar]
- Harrison, E.H. Mechanisms of Transport and Delivery of Vitamin A and Carotenoids to the Retinal Pigment Epithelium. Mol. Nutr. Food Res. 2019, 63, e1801046. [Google Scholar] [CrossRef]
- Eroglu, A.; Al’abri, I.S.; Kopec, R.E.; Crook, N.; Bohn, T. Carotenoids and Their Health Benefits as Derived via Their Interactions with Gut Microbiota. Adv. Nutr. Int. Rev. J. 2023, 14, 238–255. [Google Scholar] [CrossRef] [PubMed]
- Martini, D.; Negrini, L.; Marino, M.; Riso, P.; Del Bo, C.; Porrini, M. What Is the Current Direction of the Research on Carotenoids and Human Health? An Overview of Registered Clinical Trials. Nutrients 2022, 14, 1191. [Google Scholar] [CrossRef]
- Rocha, H.R.; Coelho, M.C.; Gomes, A.M.; Pintado, M.E. Carotenoids Diet: Digestion, Gut Microbiota Modulation, and Inflammatory Diseases. Nutrients 2023, 15, 2265. [Google Scholar] [CrossRef]
- Aune, D.; Keum, N.; Giovannucci, E.; Fadnes, L.T.; Boffetta, P.; Greenwood, D.C.; Tonstad, S.; Vatten, L.J.; Riboli, E.; Norat, T. Dietary intake and blood concentrations of antioxidants and the risk of cardiovascular disease, total cancer, and all-cause mortality: A systematic review and dose-response meta-analysis of prospective studies. Am. J. Clin. Nutr. 2018, 108, 1069–1091. [Google Scholar] [CrossRef]
- Harari, A.; Coster, A.C.F.; Jenkins, A.; Xu, A.; Greenfield, J.R.; Harats, D.; Shaish, A.; Samocha-Bonet, D. Obesity and Insulin Resistance Are Inversely Associated with Serum and Adipose Tissue Carotenoid Concentrations in Adults. J. Nutr. 2020, 150, 38–46. [Google Scholar] [CrossRef]
- Peng, C.; Gao, C.; Lu, D.; Rosner, B.A.; Zeleznik, O.; Hankinson, S.E.; Kraft, P.; Eliassen, A.H.; Tamimi, R.M. Circulating carotenoids and breast cancer among high-risk individuals. Am. J. Clin. Nutr. 2021, 113, 525–533. [Google Scholar] [CrossRef]
- El-Sohemy, A.; Baylin, A.; Kabagambe, E.; Ascherio, A.; Spiegelman, D.; Campos, H. Individual carotenoid concentrations in adipose tissue and plasma as biomarkers of dietary intake. Am. J. Clin. Nutr. 2002, 76, 172–179. [Google Scholar] [CrossRef]
- Granado-Lorencio, F.; Herrero-Barbudo, C.; Olmedilla-Alonso, B.; Blanco-Navarro, I.; Pérez-Sacristán, B. Hypocarotenemia after bariatric surgery: A preliminary study. Obes. Surg. 2009, 19, 879–882. [Google Scholar] [CrossRef] [PubMed]
- Kaniel, O.; Sherf-Dagan, S.; Szold, A.; Langer, P.; Khalfin, B.; Kessler, Y.; Raziel, A.; Sakran, N.; Motro, Y.; Goitein, D.; et al. The Effects of One Anastomosis Gastric Bypass Surgery on the Gastrointestinal Tract. Nutrients 2022, 14, 304. [Google Scholar] [CrossRef] [PubMed]
- Sherf-Dagan, S.; Goldenshluger, A.; Globus, I.; Schweiger, C.; Kessler, Y.; Sandbank, G.K.; Ben-Porat, T.; Sinai, T. Nutritional Recommendations for Adult Bariatric Surgery Patients: Clinical Practice. Adv. Nutr. Int. Rev. J. 2017, 8, 382–394. [Google Scholar] [CrossRef] [PubMed]
- Bariatric Surgery Criteria of the Ministry of Health. The Ministry of Health Web Site. Available online: http://www.health.gov.il/hozer/mr33_2013.pdf (accessed on 4 September 2016).
- Brethauer, S.A.; Kim, J.; el Chaar, M.; Papasavas, P.; Eisenberg, D.; Rogers, A.; Ballem, N.; Kligman, M.; Kothari, S. Standardized outcomes reporting in metabolic and bariatric surgery. Surg. Obes. Relat. Dis. 2015, 11, 489–506. [Google Scholar] [CrossRef] [PubMed]
- Pinho, C.P.S.; Diniz, A.d.S.; de Arruda, I.K.G.; Leite, A.P.D.L.; Petribu, M.d.M.V.; Rodrigues, I.G. Waist circumference measurement sites and their association with visceral and subcutaneous fat and cardiometabolic abnormalities. Arq. Bras. de Endocrinol. Metabol. 2018, 62, 416–423. [Google Scholar] [CrossRef] [PubMed]
- Sherf-Dagan, S.; Zelber-Sagi, S.; Webb, M.; Keidar, A.; Raziel, A.; Sakran, N.; Goitein, D.; Shibolet, O. Nutritional Status Prior to Laparoscopic Sleeve Gastrectomy Surgery. Obes. Surg. 2016, 26, 2119–2126. [Google Scholar] [CrossRef] [PubMed]
- Tzameret—Israeli National Nutrient Database 2015; Ministry of Health Public Health Services Nutrition Division: Jerusalem, Israel, 2015.
- Benotti, P.N.; Wood, G.C.; Kaberi-Otarod, J.; Still, C.D.; Gerhard, G.S.; Bistrian, B.R. New concepts in the diagnosis and management approach to iron deficiency in candidates for metabolic surgery: Should we change our practice? Surg. Obes. Relat. Dis. 2020, 16, 2074–2081. [Google Scholar] [CrossRef] [PubMed]
- Borel, P.; Moussa, M.; Reboul, E.; Lyan, B.; Defoort, C.; Vincent-Baudry, S.; Maillot, M.; Gastaldi, M.; Darmon, M.; Portugal, H.; et al. Human plasma levels of vitamin E and carotenoids are associated with genetic polymorphisms in genes involved in lipid metabolism. J. Nutr. 2007, 137, 2653–2659. [Google Scholar] [CrossRef] [PubMed]
- Yeum, K.J.; Booth, S.L.; Sadowski, J.; Liu, C.; Tang, G.; Krinsky, N.; Russell, R.M. Human plasma carotenoid response to the ingestion of controlled diets high in fruits and vegetables. Am. J. Clin. Nutr. 1996, 64, 594–602. [Google Scholar] [CrossRef]
- Kim, H.-Y. Statistical notes for clinical researchers: Effect size. Restor. Dent. Endod. 2015, 40, 328–331. [Google Scholar] [CrossRef]
- Ben-Porat, T.; Elazary, R.; Goldenshluger, A.; Sherf Dagan, S.; Mintz, Y.; Weiss, R. Nutritional deficiencies four years after laparoscopic sleeve gastrectomy-are supplements required for a lifetime? Surg. Obes. Relat. Dis. 2017, 13, 1138–1144. [Google Scholar] [CrossRef] [PubMed]
- Omenn, G.S.; Goodman, G.E.; Thornquist, M.D.; Balmes, J.; Cullen, M.R.; Glass, A.; Keogh, J.P.; Meyskens, F.L.; Valanis, B.; Williams, J.H.; et al. Effects of a combination of beta carotene and vitamin A on lung cancer and cardiovascular disease. N. Engl. J. Med. 1996, 334, 1150–1155. [Google Scholar] [CrossRef] [PubMed]
- Alpha-Tocopherol Beta Carotene Cancer Prevention Study Group. The effect of vitamin E and beta carotene on the incidence of lung cancer and other cancers in male smokers. N. Engl. J. Med. 1994, 330, 1029–1035. [Google Scholar] [CrossRef] [PubMed]
- U. S. In Department of Agriculture, Agricultural Research Service, Beltsville Human Nutrition Research Center. Food Data Central. Available online: https://fdc.nal.usda.gov (accessed on 30 April 2023).
- Bonet, M.L.; Canas, J.A.; Ribot, J.; Palou, A. Carotenoids and their conversion products in the control of adipocyte function, adiposity and obesity. Arch. Biochem. Biophys. 2015, 572, 112–125. [Google Scholar] [CrossRef]





| Variable 1 | Baseline | 6 Months Post-Surgery | p Value |
|---|---|---|---|
| Anthropometrics | |||
| Height (meter) | 1.68 (1.62, 1.80) | - | - |
| Weight (kg) | 110.6 (104.6, 130.4) | 86.4 (77.4, 101.4) | <0.001 |
| BMI (kg/m²) | 39.5 (37.1, 47.2) | 31.0 (27.3, 34.0) | <0.001 |
| WC (cm) | 118.0 (113.0, 127.0) | 97 (89.0, 110.0) | <0.001 |
| %EWL | 63.9 (48.4, 81.3) | - | |
| Dietary intake | |||
| Calories (kcal/day) | 2383 (1920, 3219) | 1584 (1024, 2136) | <0.001 |
| Protein (g/day) | 123 (103, 151) | 84 (54, 113) | <0.001 |
| Carbohydrates (g/day) | 209 (164, 275) | 130 (108, 205) | <0.001 |
| Fats (g/day) | 99 (83, 137) | 68 (45, 84) | <0.001 |
| Taking multivitamins (%yes) | 44.4 | 92.6 | <0.001 |
| Biochemical tests | |||
| %Anemia <13.5 g/dL [male] <12 g/dL [female] | 11.1 | 29.6 | 0.063 |
| %Iron deficiency <49 µg/dL [male] <37 µg/dL [female] | 0 | 3.7 | 1.000 |
| %Low ferritin levels (<30 ng/mL) | 7.4 | 11.1 | 1.000 |
| %Low transferrin saturation (<20%) | 48.1 | 33.3 | 0.289 |
| %Folate deficiency (<2.76 ng/mL) | 0 | 0 | NA 2 |
| %Vitamin B12 deficiency (<239 pg/mL) | 0 | 3.7 | 1.000 |
| %Vitamin D deficiency (<20 ng/mL) | 22.2 | 18.5 | 1.000 |
| %Vitamin A deficiency (<30 µg/dL) | - | 15.4 | - |
Disclaimer/Publisher’s Note: The statements, opinions and data contained in all publications are solely those of the individual author(s) and contributor(s) and not of MDPI and/or the editor(s). MDPI and/or the editor(s) disclaim responsibility for any injury to people or property resulting from any ideas, methods, instructions or products referred to in the content. |
© 2024 by the authors. Licensee MDPI, Basel, Switzerland. This article is an open access article distributed under the terms and conditions of the Creative Commons Attribution (CC BY) license (https://creativecommons.org/licenses/by/4.0/).
Share and Cite
Harari, A.; Kaniel, O.; Keshet, R.; Shaish, A.; Kessler, Y.; Szold, A.; Langer, P.; Raziel, A.; Sakran, N.; Goitein, D.; et al. Reduction in Serum Carotenoid Levels Following One Anastomosis Gastric Bypass. Nutrients 2024, 16, 2596. https://doi.org/10.3390/nu16162596
Harari A, Kaniel O, Keshet R, Shaish A, Kessler Y, Szold A, Langer P, Raziel A, Sakran N, Goitein D, et al. Reduction in Serum Carotenoid Levels Following One Anastomosis Gastric Bypass. Nutrients. 2024; 16(16):2596. https://doi.org/10.3390/nu16162596
Chicago/Turabian StyleHarari, Ayelet, Osnat Kaniel, Rom Keshet, Aviv Shaish, Yafit Kessler, Amir Szold, Peter Langer, Asnat Raziel, Nasser Sakran, David Goitein, and et al. 2024. "Reduction in Serum Carotenoid Levels Following One Anastomosis Gastric Bypass" Nutrients 16, no. 16: 2596. https://doi.org/10.3390/nu16162596
APA StyleHarari, A., Kaniel, O., Keshet, R., Shaish, A., Kessler, Y., Szold, A., Langer, P., Raziel, A., Sakran, N., Goitein, D., Moran-Gilad, J., & Sherf-Dagan, S. (2024). Reduction in Serum Carotenoid Levels Following One Anastomosis Gastric Bypass. Nutrients, 16(16), 2596. https://doi.org/10.3390/nu16162596

