Exploring the Influence of Acid-Base Status on Athletic Performance during Simulated Three-Day 400 m Race
Abstract
1. Introduction
2. Methods and Materials
2.1. Experimental Approach to the Problem
2.2. Subjects
2.3. Procedures
2.4. Dietary Intervention
2.5. Urine Analysis
2.6. The 400 m Race Test
2.7. Evaluation of Motivation and Perceived Effort
2.8. Handgrip (HG)
2.9. Squat Jump (SJ)
2.10. Blood Acid-Base Status
2.11. Statistical Analyses
3. Results
3.1. Food Consumption
3.2. Performance
3.3. Perception of Effort and Motivation
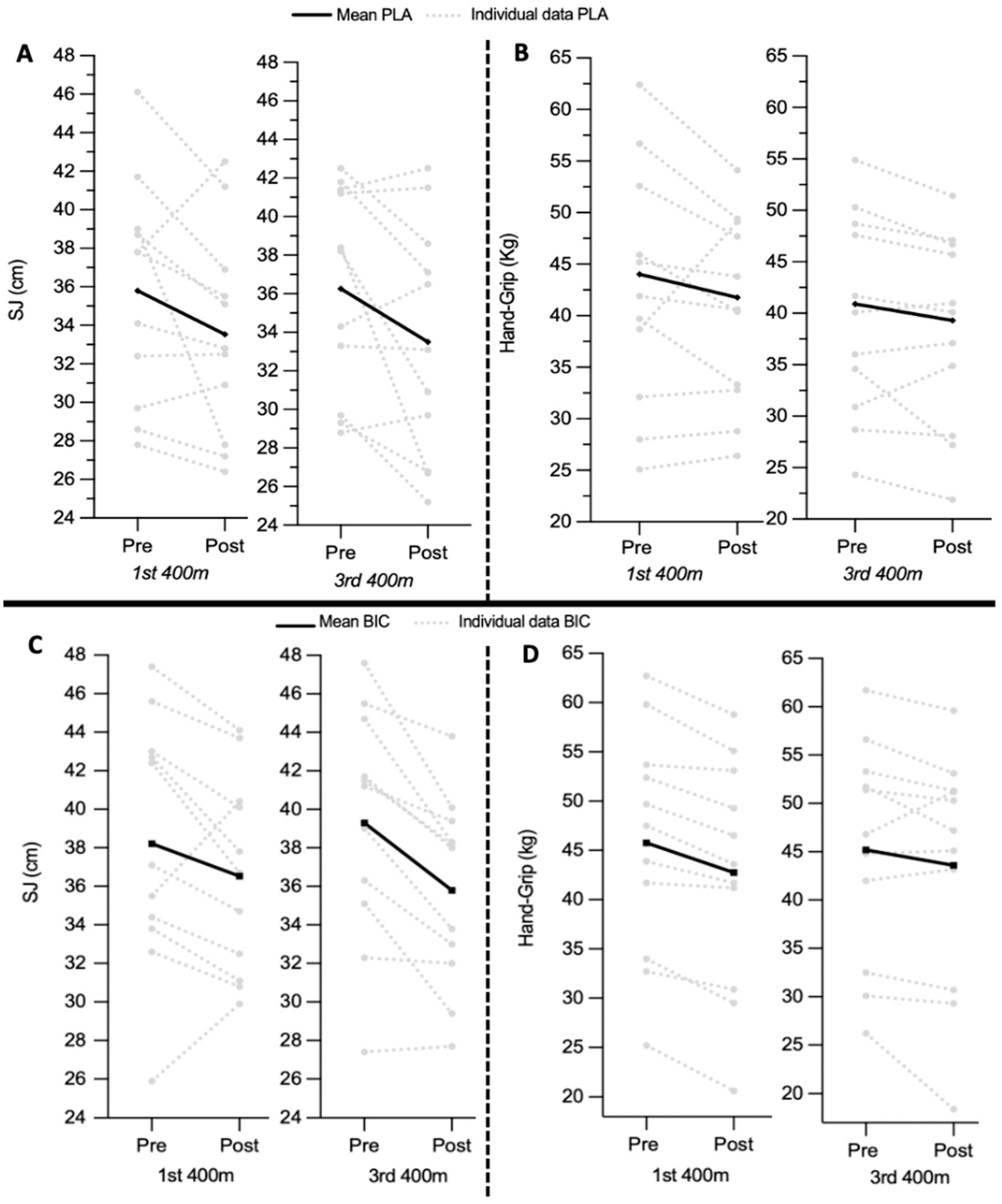
3.4. Indirect Fatigue Markers
3.5. Blood Metabolic Biomarkers
3.6. Urinary Markers
4. Discussion
5. Practical Application
6. Conclusions
Author Contributions
Funding
Institutional Review Board Statement
Informed Consent Statement
Data Availability Statement
Acknowledgments
Conflicts of Interest
References
- Hirvonen, J.; Rehunen, S.; Rusko, H.; Harkonen, M. Breakdown of high-energy phosphate compounds and lactate accumulation during short supramaximal exercise. Eur. J. Appl. Physiol. Occup. Physiol. 1987, 56, 253–259. [Google Scholar] [CrossRef] [PubMed]
- Hanon, C.; Lepretre, P.-M.; Bishop, D.; Thomas, C. Oxygen uptake and blood metabolic responses to a 400-m run. Eur. J. Appl. Physiol. 2010, 109, 233–240. [Google Scholar] [CrossRef]
- Lacour, J.R.; Bouvat, E.; Barthélémy, J.C. Post-competition blood lactate concentrations as indicators of anaerobic energy expenditure during 400 m and 800-m races. Eur. J. Appl. Physiol. Occup. Physiol. 1990, 61, 172–176. [Google Scholar] [CrossRef]
- Nielsen, H.B. pH after competitive rowing: The lower physiological range? Acta Physiol. Scand. 1999, 165, 113–114. [Google Scholar] [CrossRef]
- Thomas, C.; Delfour-Peyrethon, R.; Dorel, S.; Hanon, C. Positive Effects of Pre-exercise Metabolic Alkalosis on Perceived Exertion and Post-ehaxercise Squat Jump Performance in World-Class Cyclists. J. Strength. Cond. Res. 2022, 36, 2602–2609. [Google Scholar] [CrossRef]
- Robergs, R.; Hutchinson, K.; Hendee, S.; Madden, S.; Siegler, J. Influence of pre-exercise acidosis and alkalosis on the kinetics of acid-base recovery following intense exercise. Int. J. Sport Nutr. Exerc. Metab. 2005, 15, 59–74. [Google Scholar] [CrossRef]
- Bishop, D.; Edge, J.; Mendez-Villanueva, A.; Thomas, C.; Schneiker, K. High-intensity exercise decreases muscle buffer capacity via a decrease in protein buffering in human skeletal muscle. Pflügers Arch. Eur. J. Physiol. 2009, 458, 929–936. [Google Scholar] [CrossRef]
- Bishop, D.; Edge, J.; Thomas, C.; Mercier, J. High-intensity exercise acutely decreases the membrane content of MCT1 and MCT4 and buffer capacity in human skeletal muscle. J. Appl. Physiol. 2007, 102, 616–621. [Google Scholar] [CrossRef] [PubMed]
- Tonouchi, M.; Hatta, H.; Bonen, A. Muscle contraction increases lactate transport while reducing sarcolemmal MCT4, but not MCT1. Am. J. Physiol. Endocrinol. Metab. 2002, 282, E1062–E1069. [Google Scholar] [CrossRef] [PubMed][Green Version]
- Dubouchaud, H.; Butterfield, G.E.; Wolfel, E.E.; Bergman, B.C.; Brooks, G.A.; Horii, N.; Hasegawa, N.; Fujie, S.; Uchida, M.; Miyamoto-Mikami, E.; et al. Endurance training, expression, and physiology of LDH, MCT1, and MCT4 in human skeletal muscle. Am. J. Physiol. Metab. 2000, 278, E571–E579. [Google Scholar] [CrossRef]
- Eydoux, N.; Py, G.; Lambert, K.; Dubouchaud, H.; Préfaut, C.; Mercier, J.; Thomas, C.; Bishop, D.J.; Brooks, G.A.; Edge, J.; et al. Training does not protect against exhaustive exercise-induced lactate transport capacity alterations. Am. J. Physiol. Metab. 2000, 278, E1045–E1052. [Google Scholar] [CrossRef] [PubMed]
- Fernström, M.; Bakkman, L.; Tonkonogi, M.; Shabalina, I.G.; Rozhdestvenskaya, Z.; Mattsson, C.M.; Enqvist, J.K.; Ekblom, B.; Sahlin, K. Reduced efficiency, but increased fat oxidation, in mitochondria from human skeletal muscle after 24-h ultraendurance exercise. J. Appl. Physiol. 2007, 102, 1844–1849. [Google Scholar] [CrossRef] [PubMed]
- Layec, G.; Blain, G.M.; Rossman, M.J.; Park, S.Y.; Hart, C.R.; Trinity, J.D.; Gifford, J.R.; Sidhu, S.K.; Weavil, J.C.; Hureau, T.J.; et al. Acute high-intensity exercise impairs skeletal muscle respiratory capacity. Med. Sci. Sports Exerc. 2018, 50, 2409–2417. [Google Scholar] [CrossRef] [PubMed]
- Hollidge-Horvat, M.G.; Parolin, M.L.; Wong, D.; Jones, N.L.; Heigenhauser, G.J.F. Effect of induced metabolic alkalosis on human skeletal muscle metabolism during exercise. Am. J. Physiol. Metab. 2000, 278, E316–E329. [Google Scholar] [CrossRef] [PubMed]
- Thomas, C.; Delfour-Peyrethon, R.; Lambert, K.; Granata, C.; Hobbs, T.; Hanon, C.; Bishop, D.J. The effect of pre-exercise alkalosis on lactate/pH regulation and mitochondrial respiration following sprint-interval exercise in humans. Front. Physiol. 2023, 14, 1073407. [Google Scholar] [CrossRef] [PubMed]
- Jubrias, S.A.; Crowther, G.J.; Shankland, E.G.; Gronka, R.K.; Conley, K.E. Acidosis inhibits oxidative phosphorylation in contracting human skeletal muscle in vivo. J. Physiol. 2003, 553, 589–599. [Google Scholar] [CrossRef] [PubMed]
- Mc Naughton, L.; Thompson, D. Acute versus chronic sodium bicarbonate ingestion and anaerobic work and power output. J. Sports Med. Phys. Fitness 2001, 41, 456–462. [Google Scholar]
- Junior, A.H.L.; Painelli, V.d.S.; Saunders, B.; Artioli, G.G. Nutritional Strategies to Modulate Intracellular and Extracellular Buffering Capacity During High-Intensity Exercise. Sports Med. 2015, 45, 71–81. [Google Scholar] [CrossRef]
- Remer, T.; Manz, F. Potential Renal Acid Load of Foods and its Influence on Urine pH. J. Am. Diet. Assoc. 1995, 95, 791–797. [Google Scholar] [CrossRef]
- Limmer, M.; Eibl, A.D.; Platen, P. Enhanced 400 m sprint performance in moderately trained participants by a 4-day alkalizing diet: A counterbalanced, randomized controlled trial. J. Int. Soc. Sports Nutr. 2018, 15, 1–9. [Google Scholar] [CrossRef]
- Ragone, L.; Vieira, J.G.; Laterza, M.C.; Leitão, L.; Novaes, J.d.S.; Vianna, J.M.; Dias, M.R. Acute Effect of Sodium Bicarbonate Supplementation on Symptoms of Gastrointestinal Discomfort, Acid-Base Balance, and Performance of Jiu-Jitsu Athletes. J. Hum. Kinet. 2020, 75, 85–93. [Google Scholar] [CrossRef] [PubMed]
- Richard, R.; Jimenez, L.; Duvallet, A.; Rieu, M. Effet d’une boisson bicarbonatée sodée sur les adaptations physiologiques à l’effort. Sci. Sports 2000, 15, 18–25. [Google Scholar] [CrossRef]
- Chiron, F.; Thomas, C.; Bardin, J.; Mullie, F.; Bennett, S.; Chéradame, J.; Caliz, L.; Hanon, C.; Tiollier, E. Influence of consumption of bicarbonate-rich water combined with an alkalizing or acidizing diet on acid-base balance and anaerobic performance. Human Kinetics 2024, 93, 105–117. [Google Scholar] [CrossRef]
- McKay, A.K.; Stellingwerff, T.; Smith, E.S.; Martin, D.T.; Mujika, I.; Goosey-Tolfrey, V.L.; Sheppard, J.; Burke, L.M. Defining Training and Performance Caliber: A Participant Classification Framework. Int. J. Sports Physiol. Perform. 2022, 17, 317–331. [Google Scholar] [CrossRef] [PubMed]
- Caciano, S.L.; Inman, C.L.; E Gockel-Blessing, E.; Weiss, E.P. Effects of dietary Acid load on exercise metabolism and anaerobic exercise performance. J. Sports Sci. Med. 2015, 14, 364–371. [Google Scholar] [PubMed]
- Nummela, A.; Vuorimaa, T.; Rusko, H. Changes in force production, blood lactate and EMG activity in the 400-m sprint. J. Sports Sci. 1995, 10, 217–228. [Google Scholar] [CrossRef] [PubMed]
- Borg, E.; Kaijser, L. A comparison between three rating scales for perceived exertion and two different work tests. Scand. J. Med. Sci. Sports 2006, 16, 57–69. [Google Scholar] [CrossRef] [PubMed]
- Gajer, B. Analyse Descriptive du 400 Meters. Dep DES Sci DU Sport Lab Biomécanique Physiol du Sport. 2002. Available online: https://insep.hal.science/hal-01924586 (accessed on 30 April 2024).
- Kindermann, W.; Keul, J. Lactate acidosis with different forms of sport activities. Can. J. Appl. Sport. Sci. 1977, 2, 177–182. [Google Scholar]
- Schnabel, A.; Kindermann, W. Assessment of anaerobic capacity in runners. Eur. J. Appl. Physiol. Occup. Physiol. 1983, 52, 42–46. [Google Scholar] [CrossRef]
- Grgic, J.; Grgic, I.; Del Coso, J.; Schoenfeld, B.J.; Pedisic, Z. Effects of sodium bicarbonate supplementation on exercise performance: An umbrella review. J. Int. Soc. Sports Nutr. 2021, 18, 1–13. [Google Scholar] [CrossRef]
- McCubbin, A.J.; Costa, R.J.S. Impact of Sodium Ingestion During Exercise On Endurance Performance: A Systematic Review. Int. J. Sports Sci. 2018, 8, 97–107. [Google Scholar]
- McCubbin, A.J.; Irwin, C. The effect of pre-exercise oral hyperhydration on endurance exercise performance, heart rate, and thermoregulation: A meta-analytical review. Appl. Physiol. Nutr. Metab. 2024, 49, 569–583. [Google Scholar] [CrossRef] [PubMed]
- Filippini, T.; Naska, A.; Kasdagli, M.; Torres, D.; Lopes, C.; Carvalho, C.; Moreira, P.; Malavolti, M.; Orsini, N.; Whelton, P.K.; et al. Potassium Intake and Blood Pressure: A Dose-Response Meta-Analysis of Randomized Controlled Trials. J. Am. Hear. Assoc. 2020, 9, e015719. [Google Scholar] [CrossRef] [PubMed]
- Gonzalez, J.T. Are all sugars equal? Role of the food source in physiological responses to sugars with an emphasis on fruit and fruit juice. Eur. J. Nutr. 2024, 1–17. [Google Scholar] [CrossRef] [PubMed]
- Bardin, J.; Maciejewski, H.; Diry, A.; Droit-Volet, S.; Thomas, C.; Ratel, S. Sex- and age-related differences in the rating of perceived exertion after high-intensity rowing exercise during childhood and adolescence. Psychophysiology 2023, 60, e14296. [Google Scholar] [CrossRef] [PubMed]
- Chycki, J.; Kurylas, A.; Maszczyk, A.; Golas, A.; Zajac, A. Alkaline water improves exercise-induced metabolic acidosis and enhances anaerobic exercise performance in combat sport athletes. PLoS ONE 2018, 13, e0205708. [Google Scholar] [CrossRef] [PubMed]
- Grgic, J.; Pedisic, Z.; Saunders, B.; Artioli, G.G.; Schoenfeld, B.J.; McKenna, M.J.; Bishop, D.J.; Kreider, R.B.; Stout, J.R.; Kalman, D.S.; et al. International Society of Sports Nutrition position stand: Sodium bicarbonate and exercise performance. J. Int. Soc. Sports Nutr. 2021, 18, 61. [Google Scholar] [CrossRef] [PubMed]
- McNaughton, L.R.; Gough, L.; Deb, S.; Bentley, D.; Sparks, S.A. Recent developments in the use of sodium bicarbonate as an ergogenic aid. Curr. Sports Med. Rep. 2016, 15, 233–244. [Google Scholar] [CrossRef]
- Nybo, L.; Nielsen, B.; Rabelo, P.C.R.; Cordeiro, L.M.S.; Aquino, N.S.S.; Fonseca, B.B.B.; Coimbra, C.C.; Wanner, S.P.; Szawka, R.E.; Soares, D.D.; et al. Hyperthermia and central fatigue during prolonged exercise in humans. J. Appl. Physiol. 2001, 91, 1055–1060. [Google Scholar] [CrossRef]
- Nian, W.; Yufang, D.; Liu, L.; Jiamei, Z.; Dawu, H. Research on the characteristics of lower limb electromyography and fatigue of 400m Sprinters. Acad. J. Humanit. Soc. Sci. 2021, 4, 13–18. [Google Scholar] [CrossRef]
- White, G.E.; Rhind, S.G.; Wells, G.D. The effect of various cold-water immersion protocols on exercise-induced inflammatory response and functional recovery from high-intensity sprint exercise. Eur. J. Appl. Physiol. 2014, 114, 2353–2367. [Google Scholar] [CrossRef] [PubMed]
- Skurvydas, A.; Dudoniene, V.; Kalvėnas, A.; Zuoza, A. Skeletal muscle fatigue in long-distance runners, sprinters and untrained men after repeated drop jumps performed at maximal intensity. Scand. J. Med. Sci. Sports 2002, 12, 34–39. [Google Scholar] [CrossRef] [PubMed]
- Flanagan, E.P.; Ebben, W.P.; Jensen, R.L. Reliability of the reactive strength index and time to stabilization during depth jumps. J. Strength Cond. Res. 2008, 22, 1677–1682. [Google Scholar] [CrossRef] [PubMed]
- Juel, C. Training-induced changes in membrane transport proteins of human skeletal muscle. Eur. J. Appl. Physiol. 2006, 96, 627–635. [Google Scholar] [CrossRef] [PubMed]
- Juel, C.; Klarskov, C.; Nielsen, J.J.; Krustrup, P.; Mohr, M.; Bangsbo, J. Effect of high-intensity intermittent training on lactate and H+ release from human skeletal muscle. Am. J. Physiol. Endocrinol. Metab. 2004, 286, E245–E251. [Google Scholar] [CrossRef]
- Pilegaard, H.; Bangsbo, J.; Richter, E.A.; Lundby, C.; Robach, P.; Messonnier, L.A.; Emhoff, C.-A.W.; Fattor, J.A.; Horning, M.A.; Carlson, T.J.; et al. Lactate transport studied in sarcolemmal giant vesicles from human muscle biopsies: Relation to training status. J. Appl. Physiol. 1994, 77, 1858–1862. [Google Scholar] [CrossRef]
- Pilegaard, H.; Domino, K.; Noland, T.; Juel, C.; Hellsten, Y.; Halestrap, A.P.; Bangsbo, J. Effect of high-intensity exercise training on lactate/H+ transport capacity in human skeletal muscle. Am. J. Physiol. 1999, 276, E255–E261. [Google Scholar] [CrossRef] [PubMed]
- Freund, H.; Oyono-Enguelle, S.; Heitz, A.; Marbach, J.; Ott, C.; Zouloumian, P.; Lampert, E.; Messonnier, L.A.; Emhoff, C.-A.W.; Fattor, J.A.; et al. Work rate-dependent lactate kinetics after exercise in humans. J. Appl. Physiol. 1986, 61, 932–939. [Google Scholar] [CrossRef]
- Brun, A.; Engesgaard, P. Modelling of transport and biogeochemical processes in pollution plumes: Literature review and model development. J. Hydrol. 2002, 256, 211–227. [Google Scholar] [CrossRef]
- Thomas, C.; Perrey, S.; Lambert, K.; Hugon, G.; Mornet, D.; Mercier, J. Monocarboxylate transporters, blood lactate removal after supramaximal exercise, and fatigue indexes in humans. J. Appl. Physiol. 2005, 98, 804–809. [Google Scholar] [CrossRef]
- Thomas, C.; Sirvent, P.; Perrey, S.; Raynaud, E.; Mercier, J. Relationships between maximal muscle oxidative capacity and blood lactate removal after supramaximal exercise and fatigue indexes in humans. J. Appl. Physiol. 2004, 97, 2132–2138. [Google Scholar] [CrossRef] [PubMed]
- Benítez-Muñoz, J.A.; Cupeiro, R.; Rubio-Arias, J.; Amigo, T.; González-Lamuño, D. Exercise Influence on Monocarboxylate Transporter 1 (MCT1) and 4 (MCT4) in the Skeletal Muscle: A Systematic Review. Acta Physiol. 2024, 240, e14083. [Google Scholar] [CrossRef] [PubMed]
- Callahan, M.J.; Parr, E.B.; Hawley, J.A.; Camera, D.M. Can High-Intensity Interval Training Promote Skeletal Muscle Anabolism? Sports Med. 2021, 51, 405–421. [Google Scholar] [CrossRef] [PubMed]




| Composition of Water | St Yorre (BIC) | Placebo (PLA) |
|---|---|---|
| Calcium (mg.L−1) | 90 | 93 |
| Magnesium (mg.L−1) | 11 | 8.1 |
| Sodium (mg.L−1) | 1708 | 8.8 |
| Potassium (mg.L−1) | 110 | 2.6 |
| Silica (mg.L−1) | 16 | 19 |
| Bicarbonate (mg.L−1) | 4368 | 306 |
| Chloride (mg.L−1) | 322 | 18 |
| Sulphate (mg.L−1) | 174 | 7.5 |
| Nitrates (mg.L−1) | 2.5 | 2 |
| Fluorine (mg.L−1) | 1 | 0.35 |
| pH | 6.6 | 5.4 |
| Sodium Bicarbonate Equivalent (mg.L−1) | 6015 | - |
| Sodium Chloride Equivalent (mg.L−1) | 528 | - |
| 2A | PLA | |||
| Variables | 1st 400 m | 2nd 400 m | 3rd 400 m | 1st vs. 3rd 400 m |
| Mean ± sd | Mean ± sd | Mean ± sd | p Value | |
| Performance (s) | 55.71 ± 4.19 | 55.55 ± 4.17 | 55.57 ± 4.34 | 0.28 |
| 1st 200 m (s) | 26.13 ± 1.86 | 26.22 ± 1.87 | 26.13 ± 1.86 | 0.97 |
| 2nd 200 m (s) | 29.58 ± 2.49 *** | 29.33 ± 2.64 *** | 29.44 ± 2.57 *** | 0.28 |
| Motivation Pre | 1.82 ± 0.75 | 2.27 ± 1.06 | 2.64 ± 1.12 | 0.01 |
| Motivation Post | 3.00 ± 1.41 ** | 3.09 ± 1.23 ** | 3.00 ± 1.10 | 1 |
| Borg Pre | 1.21 ± 1.45 | 1.18 ± 1.01 | 1.64 ± 1.16 | 0.46 |
| Borg Post | 4.54 ± 2.73 *** | 4.14 ± 2.19 *** | 5.00 ± 2.41 *** | 0.58 |
| 2B | BIC | |||
| Variables | 1st 400 m | 2nd 400 m | 3rd 400 m | 1st vs. 3rd 400 m |
| Mean ± sd | Mean ± sd | Mean ± sd | p Value | |
| Performance (s) | 54.23 ± 4.83 | 54.16 ± 5.45 | 53.66 ± 4.74 | 0.01 |
| 1st 200 m (s) | 25.27 ± 2.09 | 25.61 ± 2.29 | 25.40 ± 2.10 | 0.93 |
| 2nd 200 m (s) | 28.96 ± 2.80 *** | 28.55 ± 3.24 *** | 28.40 ± 2.75 *** | 0.01 |
| Motivation Pre | 1.91 ± 0.83 | 2.82 ± 1.89 | 2.64 ± 1.12 | 0.04 |
| Motivation Post | 2.64 ± 1.04 | 2.82 ± 1.08 | 2.36 ± 1.03 | 0.54 |
| Borg Pre | 2.59 ± 2.02 | 2.09 ± 2.22 | 2.00 ± 1.69 | 0.13 |
| Borg Post | 5.32 ± 1.98 *** | 4.77 ** ± 1.79 | 4.5 ** ± 2.38 | 0.19 |
| 3A | PLA | |||
| Variables | 1st 400 m | 2nd 400 m | 3rd 400 m | 1st vs. 3rd 400 m |
| Mean ± sd | Mean ± sd | Mean ± sd | p Value | |
| Pre HCO3− | 24.41 ± 1.55 | 23.79 ± 2.11 | 23.75 ± 1.69 | 0.31 |
| Post 4′ HCO3− | 6.70 ± 1.44 *** | 7.25 ± 1.36 *** | 7.25 ± 1.62 *** | 0.27 |
| Post 8′ HCO3− | 6.42 ± 1.63 *** | 6.01 ± 1.41 *** | 6.58 ± 1.39 *** | 0.73 |
| Post 1 h HCO3− | 20.67 ± 2.20 *** | 21.72 ± 2.32 * | 21.05 ± 2.50 *** | 0.48 # |
| HCO3− max | 24.41 ± 1.55 | 23.79 ± 2.11 | 23.75 ± 1.69 | 0.31 |
| HCO3− min | 6.42 ± 1.63 *** | 6.01 ± 1.41 *** | 6.58 ± 1.39 *** | 0.73 |
| pH Pre | 7.32 ± 0.05 | 7.33 ± 0.04 | 7.30 ± 0.02 | 0.31 |
| pH Post 4′ | 6.97 ± 0.05 *** | 6.97 ± 0.04 *** | 6.97 ± 0.06 *** | 0.72 |
| Post 8′ pH | 6.95 ± 0.06 *** | 6.93 ± 0.05 *** | 6.95 ± 0.04 *** | 0.33 |
| pH Post 1 h | 7.28 ± 0.03 | 7.31± 0.06 | 7.29 ± 0.04 | 0.56 |
| pH min | 6.42 ± 1.63 *** | 6.01 ± 1.41 *** | 6.58 ± 1.39 *** | 0.73 |
| pH max | 6.95 ± 0.06 *** | 6.93 ± 0.05 *** | 6.95 ± 0.04 *** | 0.33 |
| Pre BCef | −1.20 ± 2.25 | −2.18 ± 2.33 | −2.64 ± 1.86 | 0.15 |
| Post 4′ BCef | −24.70 ± 2.06 *** | −24.82 ± 1.94 *** | −24.46 ± 2.21 *** | 0.74 |
| Post 8′ BCef | −25.40 ± 2.55 *** | −26.5 ± 2.14 *** | −25.40 ± 1.78 *** | 0.85 |
| Post 1 h BCef | −5.65 ± 3.17 *** | −4.45 ± 2.92 * | −5.64 ± 2.80 *** | 0.80 |
| BCef min | −25.40 ± 2.55 *** | −26.5 ± 2.14 *** | −25.40 ± 1.78 *** | 0.85 |
| BCef max | −1.20 ± 2.25 | −2.18 ± 2.33 | −2.64 ± 1.86 | 0.15 |
| Lactate Pre | 1.65 ± 0.47 | 1.74 ± 0.56 | 1.66 ± 0.36 | 0.93 |
| Lactate Post 4′ | 20.49 ± 3.92 *** | 19.81 ± 2.40 *** | 19.71 ± 1.43 *** | 0.46 |
| Lactate Post 8′ | 19.09 ± 2.68 *** | 19.04 ± 0.70 *** | 18.75 ± 2.23 *** | 0.73 |
| Lactate Post 20′ | 15.99 ± 3.54 *** | 13.93 ± 3.09 *** | 12.92 ± 2.34 *** | 0.03 |
| Lactate Post 1 h | 4.91 ± 1.72 *** | 3.77 ± 1.31 *** | 4.56 ± 1.35 *** | 0.5 |
| Lactate max | 20.49 ± 3.92 *** | 19.81 ± 2.40 *** | 19.71 ± 1.43 *** | 0.46 |
| Lactate min | 1.65 ± 0.47 | 1.74 ± 0.56 | 1.66 ± 0.36 | 0.93 |
| 3B | BIC | |||
| Variables | 1st 400 m | 2nd 400 m | 3rd 400 m | 1st vs. 3rd 400 m |
| Mean ± sd | Mean ± sd | Mean ± sd | p Value | |
| Pre HCO3− | 27.47 ± 1.94 # | 24.79 ± 4.75 | 24.95 ± 2.15 | 0.001 |
| Post 4′ HCO3− | 7.61 ± 0.71 *** | 7.79 ± 1.50 *** | 7.67 ± 1.56 *** | 0.73 |
| Post 8′ HCO3− | 6.83 ± 0.87 *** | 7.05 ± 1.10 ***# | 6.51 ± 1.11 *** | 0.12 |
| Post 1 h HCO3− | 24.01 ± 2.45 ***# | 23.77 ± 2.82 | 23.26 ± 2.94 | 0.48 |
| HCO3− max | 27.47 ± 1.94 # | 24.79 ± 4.75 | 24.95 ± 2.15 # | 0.001 |
| HCO3− min | 6.83 ± 0.87 *** | 7.05 ± 1.10 *** | 6.51 ± 1.11 *** | 0.12 |
| pH Pre | 7.37 ± 0.05 # | 7.34 ± 0.05 | 7.33 ± 0.04 # | 0.03 |
| pH Post 4′ | 6.96 ± 0.04 *** | 6.98 ± 0.07 *** | 6.94 ± 0.04 *** | 0.16 |
| Post 8′ pH | 6.97 ± 0.06 *** | 6.97 ± 0.05 ***# | 6.94 ± 0.02 *** | 0.18 |
| pH Post 1 h | 7.32 ± 0.05 *# | 7.31 ± 0.04 * | 7.31 ± 0.03 | 0.56 |
| pH min | 6.96 ± 0.04 *** | 6.97 ± 0.05 *** | 6.94 ± 0.04 *** | 0.16 |
| pH max | 7.37 ± 0.05 # | 7.34 ± 0.05 | 7.33 ± 0.04 | 0.03 |
| Pre BCef | 2.33 ± 2.74 # | −0.09 ± 3.24 | −1 ± 2.41 | 0.03 |
| Post 4′ BCef | −24.67 ± 0.50 *** | −23.8 ± 2.44 *** | −24.64 ± 2.01 *** | 0.63 |
| Post 8′ BCef | −25.13 ± 1.81 *** | −24.8 ± 1.87 *** | −25.89 ± 1.36 *** | 0.85 |
| Post 1 h BCef | −2.3 ± 3.09 ***# | −2.45 ± 3.17 *** | −2.91 ± 3.45 # | 0.94 |
| BCef min | −25.13 ± 1.81 *** | −24.8 ± 1.87 *** | −25.89 ± 1.36 *** | 0.85 |
| BCef max | 2.33 ± 2.74 | −0.09 ± 3.24 | −1 ± 2.41 | 0.03 |
| Lactate Pre | 1.5 ± 0.32 | 1.75 ± 0.46 | 1.42 ± 0.36 | 0.44 |
| Lactate Post 4′ | 21.69 ± 1.45 *** | 21.27 ± 2.17 *** | 21.45 ± 2.98 ***# | 0.78 |
| Lactate Post 8′ | 20.31 ± 2.28 *** | 20.37 ± 2.38 *** | 20.63 ± 2.94 *** | 0.75 |
| Lactate Post 20′ | 16.48 ± 1.92 *** | 15.51 ± 2.46 *** | 14.26 ± 2.71 *** | 0.05 |
| Lactate Post 1 h | 3.62 ± 1.14 ***# | 3.18 ± 0.80 *** | 3.39 ± 1.32 ***# | 0.64 |
| Lactate max | 21.69 ± 1.45 *** | 21.27 ± 2.17 *** | 21.45 ± 2.98 *** | 0.78 |
| Lactate min | 1.5 ± 0.32 # | 1.75 ± 0.46 | 1.42 ± 0.36 # | 0.44 |
Disclaimer/Publisher’s Note: The statements, opinions and data contained in all publications are solely those of the individual author(s) and contributor(s) and not of MDPI and/or the editor(s). MDPI and/or the editor(s) disclaim responsibility for any injury to people or property resulting from any ideas, methods, instructions or products referred to in the content. |
© 2024 by the authors. Licensee MDPI, Basel, Switzerland. This article is an open access article distributed under the terms and conditions of the Creative Commons Attribution (CC BY) license (https://creativecommons.org/licenses/by/4.0/).
Share and Cite
Chiron, F.; Erblang, M.; Gulören, B.; Bredariol, F.; Hamri, I.; Leger, D.; Hanon, C.; Tiollier, E.; Thomas, C. Exploring the Influence of Acid-Base Status on Athletic Performance during Simulated Three-Day 400 m Race. Nutrients 2024, 16, 1987. https://doi.org/10.3390/nu16131987
Chiron F, Erblang M, Gulören B, Bredariol F, Hamri I, Leger D, Hanon C, Tiollier E, Thomas C. Exploring the Influence of Acid-Base Status on Athletic Performance during Simulated Three-Day 400 m Race. Nutrients. 2024; 16(13):1987. https://doi.org/10.3390/nu16131987
Chicago/Turabian StyleChiron, François, Mégane Erblang, Bora Gulören, Federica Bredariol, Imad Hamri, Damien Leger, Christine Hanon, Eve Tiollier, and Claire Thomas. 2024. "Exploring the Influence of Acid-Base Status on Athletic Performance during Simulated Three-Day 400 m Race" Nutrients 16, no. 13: 1987. https://doi.org/10.3390/nu16131987
APA StyleChiron, F., Erblang, M., Gulören, B., Bredariol, F., Hamri, I., Leger, D., Hanon, C., Tiollier, E., & Thomas, C. (2024). Exploring the Influence of Acid-Base Status on Athletic Performance during Simulated Three-Day 400 m Race. Nutrients, 16(13), 1987. https://doi.org/10.3390/nu16131987

