No Evidence of an Association between Genetic Factors Affecting Response to Vitamin A Supplementation and Myopia: A Mendelian Randomization Study and Meta-Analysis
Abstract
1. Introduction
2. Materials and Methods
2.1. Study Design
2.2. Data Sources
2.3. Instrumental Variable (IV)
2.4. Statistical Analysis
3. Results
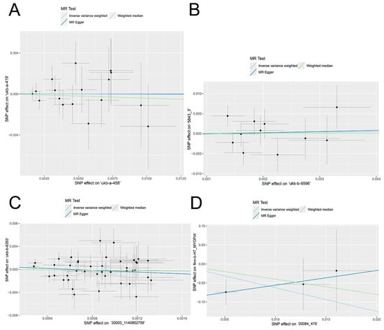
3.1. Verification of Causality
3.2. Heterogeneity Test
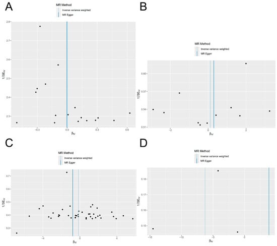
3.3. Sensitivity Analysis
4. Discussion
- Extracellular matrix metabolism changes: Scleral thinning, reduced synthesis of scleral type I collagen, increased glycosaminoglycans, and matrix metalloproteinase 2 have been demonstrated to be associated with myopia development [46]. Experimental evidence suggests that exogenous atRA can upregulate metalloproteinase-2 in the sclera and downregulate collagen I and integrin β1 through the miR-328-PAX6 axis [47]. Moreover, RA has been shown to inhibit proteoglycan/GAG synthesis in the sclera of myopic monkeys and chickens [48]. Additionally, daily RA by gavage upregulates fibulin-1 in the sclera of guinea pigs, and in vitro, treatment with RA increases levels of Fbln1 in human scleral fibroblasts [49]. Fibulin-1 is an important extracellular matrix (ECM) molecule associated with matrix remodeling in many tissues [50]. The interaction between fibulin-1 and proteoglycans may be crucial, as the regulation of proteoglycan levels may play a key part in altering the scleral creep rate [51], thereby participating in axial elongation and influencing the development of myopia.
 - Retinal level involvement: More studies have found that the rod pathway may be involved in the development of myopia. Clinically, it has been observed that peripheral defocused lenses could inhibit the development of myopia [52], while the peripheral retina was dominated by rods. Peripheral form deprivation in young monkeys could also induce FDM [53], and FDM could still be induced through the peripheral retina after laser ablation of the macula in young monkeys [54]. Knockdown of the rod pathway in mice resulted in refraction shifting toward hyperopia and failure to induce FDM [55], suggesting that the rod-dominated peripheral retina is involved in the development of myopia. Notably, vitamin A is also the material basis of the major photoreceptor pigment, rhodopsin, in rods [56]. Overexpression of rhodopsin in zebrafish promotes the development of myopia [57], whereas atropine inhibits myopia progression, likely by decreasing rhodopsin levels through increasing intraocular rhodopsin bleaching after pupil dilation. We, therefore, hypothesize that vitamin A may also be involved in myopia progression by affecting rhodopsin synthesis.
 - Compensatory protective mechanism: Elevated levels of atRA in myopic eyes may serve as a compensatory protective mechanism: atRA may enhance the barrier function of the RPE in myopia by regulating the expression of intercellular tight junction-related proteins. Disrupted atRA signaling may lead to the destruction of functional tight junctions [42]. During the progression of myopia, the RPE layer undergoes stretching, and increased atRA levels can upregulate the expression of intercellular tight junction-related proteins, such as ZO-1 and occludin, which may help enhance the barrier function to counteract the tension of RPE cells [42]. However, with further development of myopia, axial lengthening of the eye can lead to loss of epithelial integrity, ultimately resulting in degeneration of the choroid and retina. Additionally, atRA promotes the secretion of TGF-β in RPE through the phospholipase C pathway [58].
 
5. Conclusions
Author Contributions
Funding
Institutional Review Board Statement
Informed Consent Statement
Data Availability Statement
Acknowledgments
Conflicts of Interest
References
- Jonas, J.B.; Ang, M.; Cho, P.; Guggenheim, J.A.; He, M.G.; Jong, M.; Logan, N.S.; Liu, M.; Morgan, I.; Ohno-Matsui, K.; et al. IMI Prevention of Myopia and Its Progression. Investig. Ophthalmol. Vis. Sci. 2021, 62, 6. [Google Scholar] [CrossRef] [PubMed]
 - He, X.; Sankaridurg, P.; Wang, J.; Chen, J.; Naduvilath, T.; He, M.; Zhu, Z.; Li, W.; Morgan, I.G.; Xiong, S.; et al. Time Outdoors in Reducing Myopia: A School-Based Cluster Randomized Trial with Objective Monitoring of Outdoor Time and Light Intensity. Ophthalmology 2022, 129, 1245–1254. [Google Scholar] [CrossRef] [PubMed]
 - Baird, P.N.; Saw, S.M.; Lanca, C.; Guggenheim, J.A.; Smith Iii, E.L.; Zhou, X.; Matsui, K.O.; Wu, P.C.; Sankaridurg, P.; Chia, A.; et al. Myopia. Nat. Rev. Dis. Primers 2020, 6, 99. [Google Scholar] [CrossRef] [PubMed]
 - Lee, S.S.; Mackey, D.A. Prevalence and Risk Factors of Myopia in Young Adults: Review of Findings from the Raine Study. Front. Public. Health 2022, 10, 861044. [Google Scholar] [CrossRef] [PubMed]
 - Shi, H.; Guo, N.; Zhao, Z.; He, X.; Li, J.; Duan, J. Global prevalence of myopic macular degeneration in general population and patients with high myopia: A systematic review and meta-analysis. Eur. J. Ophthalmol. 2023, 34, 631–640. [Google Scholar] [CrossRef]
 - Lin, X.; Lei, Y.; Pan, M.; Hu, C.; Xie, B.; Wu, W.; Su, J.; Li, Y.; Tan, Y.; Wei, X.; et al. Augmentation of scleral glycolysis promotes myopia through histone lactylation. Cell Metab. 2024, 36, 511–525.e517. [Google Scholar] [CrossRef] [PubMed]
 - Pan, M.; Zhao, F.; Xie, B.; Wu, H.; Zhang, S.; Ye, C.; Guan, Z.; Kang, L.; Zhang, Y.; Zhou, X.; et al. Dietary ω-3 polyunsaturated fatty acids are protective for myopia. Proc. Natl. Acad. Sci. USA 2021, 118, e2104689118. [Google Scholar] [CrossRef]
 - Harb, E.N.; Wildsoet, C.F. Nutritional Factors and Myopia: An Analysis of National Health and Nutrition Examination Survey Data. Optom. Vis. Sci. 2021, 98, 458–468. [Google Scholar] [CrossRef] [PubMed]
 - Kim, J.M.; Choi, Y.J. Association between dietary nutrient intake and prevalence of myopia in Korean adolescents: Evidence from the 7th Korea National Health and Nutrition Examination Survey. Front. Pediatr. 2023, 11, 1285465. [Google Scholar] [CrossRef]
 - Ng, F.J.; Mackey, D.A.; O’Sullivan, T.A.; Oddy, W.H.; Yazar, S. Is Dietary Vitamin A Associated with Myopia from Adolescence to Young Adulthood? Transl. Vis. Sci. Technol. 2020, 9, 29. [Google Scholar] [CrossRef]
 - Chan, H.N.; Zhang, X.J.; Ling, X.T.; Bui, C.H.; Wang, Y.M.; Ip, P.; Chu, W.K.; Chen, L.J.; Tham, C.C.; Yam, J.C.; et al. Vitamin D and Ocular Diseases: A Systematic Review. Int. J. Mol. Sci. 2022, 23, 4226. [Google Scholar] [CrossRef] [PubMed]
 - Lingham, G.; Mackey, D.A.; Lucas, R.; Yazar, S. How does spending time outdoors protect against myopia? A review. Br. J. Ophthalmol. 2020, 104, 593–599. [Google Scholar] [CrossRef] [PubMed]
 - Huang, J.; Qu, X.M.; Chu, R.Y. Expressions of cellular retinoic acid binding proteins I and retinoic acid receptor-β in the guinea pig eyes with experimental myopia. Int. J. Ophthalmol. 2011, 4, 131–136. [Google Scholar] [CrossRef] [PubMed]
 - Mao, J.F.; Liu, S.Z.; Dou, X.Q. Retinoic acid metabolic change in retina and choroid of the guinea pig with lens-induced myopia. Int. J. Ophthalmol. 2012, 5, 670–674. [Google Scholar] [CrossRef]
 - McFadden, S.A.; Howlett, M.H.; Mertz, J.R. Retinoic acid signals the direction of ocular elongation in the guinea pig eye. Vision. Res. 2004, 44, 643–653. [Google Scholar] [CrossRef] [PubMed]
 - Tedja, M.S.; Wojciechowski, R.; Hysi, P.G.; Eriksson, N.; Furlotte, N.A.; Verhoeven, V.J.M.; Iglesias, A.I.; Meester-Smoor, M.A.; Tompson, S.W.; Fan, Q.; et al. Genome-wide association meta-analysis highlights light-induced signaling as a driver for refractive error. Nat. Genet. 2018, 50, 834–848. [Google Scholar] [CrossRef]
 - Larsson, S.C.; Butterworth, A.S.; Burgess, S. Mendelian randomization for cardiovascular diseases: Principles and applications. Eur. Heart J. 2023, 44, 4913–4924. [Google Scholar] [CrossRef] [PubMed]
 - Pingault, J.B.; O’Reilly, P.F.; Schoeler, T.; Ploubidis, G.B.; Rijsdijk, F.; Dudbridge, F. Using genetic data to strengthen causal inference in observational research. Nat. Rev. Genet. 2018, 19, 566–580. [Google Scholar] [CrossRef]
 - Skrivankova, V.W.; Richmond, R.C.; Woolf, B.A.R.; Davies, N.M.; Swanson, S.A.; VanderWeele, T.J.; Timpson, N.J.; Higgins, J.P.T.; Dimou, N.; Langenberg, C.; et al. Strengthening the reporting of observational studies in epidemiology using mendelian randomisation (STROBE-MR): Explanation and elaboration. BMJ 2021, 375, n2233. [Google Scholar] [CrossRef]
 - Duckworth, A.; Gibbons, M.A.; Allen, R.J.; Almond, H.; Beaumont, R.N.; Wood, A.R.; Lunnon, K.; Lindsay, M.A.; Wain, L.V.; Tyrrell, J.; et al. Telomere length and risk of idiopathic pulmonary fibrosis and chronic obstructive pulmonary disease: A mendelian randomisation study. Lancet Respir. Med. 2021, 9, 285–294. [Google Scholar] [CrossRef]
 - Zhang, J.; Chen, Z.; Pärna, K.; van Zon, S.K.R.; Snieder, H.; Thio, C.H.L. Mediators of the association between educational attainment and type 2 diabetes mellitus: A two-step multivariable Mendelian randomisation study. Diabetologia 2022, 65, 1364–1374. [Google Scholar] [CrossRef]
 - Clark, R.; Kneepkens, S.C.M.; Plotnikov, D.; Shah, R.L.; Huang, Y.; Tideman, J.W.L.; Klaver, C.C.W.; Atan, D.; Williams, C.; Guggenheim, J.A. Time Spent Outdoors Partly Accounts for the Effect of Education on Myopia. Investig. Ophthalmol. Vis. Sci. 2023, 64, 38. [Google Scholar] [CrossRef] [PubMed]
 - Li, F.F.; Zhu, M.C.; Shao, Y.L.; Lu, F.; Yi, Q.Y.; Huang, X.F. Causal Relationships Between Glycemic Traits and Myopia. Investig. Ophthalmol. Vis. Sci. 2023, 64, 7. [Google Scholar] [CrossRef] [PubMed]
 - Dong, X.X.; Xie, J.Y.; Li, D.L.; Dong, Y.; Zhang, X.F.; Lanca, C.; Grzybowski, A.; Pan, C.W. Association of sleep traits with myopia in children and adolescents: A meta-analysis and Mendelian randomization study. Prev. Med. 2024, 180, 107893. [Google Scholar] [CrossRef]
 - Imdad, A.; Mayo-Wilson, E.; Herzer, K.; Bhutta, Z.A. Vitamin A supplementation for preventing morbidity and mortality in children from six months to five years of age. Cochrane Database Syst. Rev. 2017, 3, Cd008524. [Google Scholar] [CrossRef] [PubMed]
 - Sudlow, C.; Gallacher, J.; Allen, N.; Beral, V.; Burton, P.; Danesh, J.; Downey, P.; Elliott, P.; Green, J.; Landray, M.; et al. UK biobank: An open access resource for identifying the causes of a wide range of complex diseases of middle and old age. PLoS Med. 2015, 12, e1001779. [Google Scholar] [CrossRef] [PubMed]
 - Bycroft, C.; Freeman, C.; Petkova, D.; Band, G.; Elliott, L.T.; Sharp, K.; Motyer, A.; Vukcevic, D.; Delaneau, O.; O’Connell, J.; et al. The UK Biobank resource with deep phenotyping and genomic data. Nature 2018, 562, 203–209. [Google Scholar] [CrossRef] [PubMed]
 - Burgess, S.; Butterworth, A.; Thompson, S.G. Mendelian randomization analysis with multiple genetic variants using summarized data. Genet. Epidemiol. 2013, 37, 658–665. [Google Scholar] [CrossRef]
 - Bowden, J.; Davey Smith, G.; Haycock, P.C.; Burgess, S. Consistent Estimation in Mendelian Randomization with Some Invalid Instruments Using a Weighted Median Estimator. Genet. Epidemiol. 2016, 40, 304–314. [Google Scholar] [CrossRef]
 - Li, P.; Wang, H.; Guo, L.; Gou, X.; Chen, G.; Lin, D.; Fan, D.; Guo, X.; Liu, Z. Association between gut microbiota and preeclampsia-eclampsia: A two-sample Mendelian randomization study. BMC Med. 2022, 20, 443. [Google Scholar] [CrossRef]
 - Ferrucci, L.; Perry, J.R.; Matteini, A.; Perola, M.; Tanaka, T.; Silander, K.; Rice, N.; Melzer, D.; Murray, A.; Cluett, C.; et al. Common variation in the beta-carotene 15,15′-monooxygenase 1 gene affects circulating levels of carotenoids: A genome-wide association study. Am. J. Hum. Genet. 2009, 84, 123–133. [Google Scholar] [CrossRef] [PubMed]
 - Mondul, A.M.; Yu, K.; Wheeler, W.; Zhang, H.; Weinstein, S.J.; Major, J.M.; Cornelis, M.C.; Männistö, S.; Hazra, A.; Hsing, A.W.; et al. Genome-wide association study of circulating retinol levels. Hum. Mol. Genet. 2011, 20, 4724–4731. [Google Scholar] [CrossRef] [PubMed]
 - Zhang, R.; Dong, L.; Yang, Q.; Zhou, W.; Wu, H.; Li, Y.; Li, H.; Wei, W. Screening for novel risk factors related to high myopia using machine learning. BMC Ophthalmol. 2022, 22, 405. [Google Scholar] [CrossRef] [PubMed]
 - Verhoeven, V.J.; Hysi, P.G.; Wojciechowski, R.; Fan, Q.; Guggenheim, J.A.; Höhn, R.; MacGregor, S.; Hewitt, A.W.; Nag, A.; Cheng, C.Y.; et al. Genome-wide meta-analyses of multiancestry cohorts identify multiple new susceptibility loci for refractive error and myopia. Nat. Genet. 2013, 45, 314–318. [Google Scholar] [CrossRef] [PubMed]
 - Obrochta, K.M.; Kane, M.A.; Napoli, J.L. Effects of diet and strain on mouse serum and tissue retinoid concentrations. PLoS ONE 2014, 9, e99435. [Google Scholar] [CrossRef] [PubMed]
 - Vetrugno, M.; Maino, A.; Cardia, G.; Quaranta, G.M.; Cardia, L. A randomised, double masked, clinical trial of high dose vitamin A and vitamin E supplementation after photorefractive keratectomy. Br. J. Ophthalmol. 2001, 85, 537–539. [Google Scholar] [CrossRef] [PubMed][Green Version]
 - McFadden, S.A.; Howlett, M.H.; Mertz, J.R.; Wallman, J. Acute effects of dietary retinoic acid on ocular components in the growing chick. Exp. Eye Res. 2006, 83, 949–961. [Google Scholar] [CrossRef] [PubMed]
 - Brown, D.M.; Mazade, R.; Clarkson-Townsend, D.; Hogan, K.; Datta Roy, P.M.; Pardue, M.T. Candidate pathways for retina to scleral signaling in refractive eye growth. Exp. Eye Res. 2022, 219, 109071. [Google Scholar] [CrossRef]
 - Summers, J.A.; Cano, E.M.; Kaser-Eichberger, A.; Schroedl, F. Retinoic acid synthesis by a population of choroidal stromal cells. Exp. Eye Res. 2020, 201, 108252. [Google Scholar] [CrossRef]
 - Troilo, D.; Nickla, D.L.; Mertz, J.R.; Summers Rada, J.A. Change in the synthesis rates of ocular retinoic acid and scleral glycosaminoglycan during experimentally altered eye growth in marmosets. Investig. Ophthalmol. Vis. Sci. 2006, 47, 1768–1777. [Google Scholar] [CrossRef]
 - Yu, M.; Liu, W.; Wang, B.; Dai, J. Short Wavelength (Blue) Light Is Protective for Lens-Induced Myopia in Guinea Pigs Potentially Through a Retinoic Acid-Related Mechanism. Investig. Ophthalmol. Vis. Sci. 2021, 62, 21. [Google Scholar] [CrossRef]
 - Wang, S.; Liu, S.; Mao, J.; Wen, D. Effect of retinoic acid on the tight junctions of the retinal pigment epithelium-choroid complex of guinea pigs with lens-induced myopia in vivo. Int. J. Mol. Med. 2014, 33, 825–832. [Google Scholar] [CrossRef]
 - Satoh, T.; Higuchi, Y.; Kawakami, S.; Hashida, M.; Kagechika, H.; Shudo, K.; Yokoyama, M. Encapsulation of the synthetic retinoids Am80 and LE540 into polymeric micelles and the retinoids’ release control. J. Control Release 2009, 136, 187–195. [Google Scholar] [CrossRef]
 - Rada, J.A.; Hollaway, L.R.; Lam, W.; Li, N.; Napoli, J.L. Identification of RALDH2 as a visually regulated retinoic acid synthesizing enzyme in the chick choroid. Investig. Ophthalmol. Vis. Sci. 2012, 53, 1649–1662. [Google Scholar] [CrossRef] [PubMed]
 - Bitzer, M.; Feldkaemper, M.; Schaeffel, F. Visually induced changes in components of the retinoic acid system in fundal layers of the chick. Exp. Eye Res. 2000, 70, 97–106. [Google Scholar] [CrossRef] [PubMed]
 - Wu, H.; Chen, W.; Zhao, F.; Zhou, Q.; Reinach, P.S.; Deng, L.; Ma, L.; Luo, S.; Srinivasalu, N.; Pan, M.; et al. Scleral hypoxia is a target for myopia control. Proc. Natl. Acad. Sci. USA 2018, 115, E7091–E7100. [Google Scholar] [CrossRef] [PubMed]
 - Chen, K.C.; Hsi, E.; Hu, C.Y.; Chou, W.W.; Liang, C.L.; Juo, S.H. MicroRNA-328 may influence myopia development by mediating the PAX6 gene. Investig. Ophthalmol. Vis. Sci. 2012, 53, 2732–2739. [Google Scholar] [CrossRef] [PubMed]
 - Mertz, J.R.; Wallman, J. Choroidal retinoic acid synthesis: A possible mediator between refractive error and compensatory eye growth. Exp. Eye Res. 2000, 70, 519–527. [Google Scholar] [CrossRef] [PubMed]
 - Li, C.; McFadden, S.A.; Morgan, I.; Cui, D.; Hu, J.; Wan, W.; Zeng, J. All-trans retinoic acid regulates the expression of the extracellular matrix protein fibulin-1 in the guinea pig sclera and human scleral fibroblasts. Mol. Vis. 2010, 16, 689–697. [Google Scholar] [PubMed]
 - Ito, S.; Yokoyama, U.; Nakakoji, T.; Cooley, M.A.; Sasaki, T.; Hatano, S.; Kato, Y.; Saito, J.; Nicho, N.; Iwasaki, S.; et al. Fibulin-1 Integrates Subendothelial Extracellular Matrices and Contributes to Anatomical Closure of the Ductus Arteriosus. Arterioscler. Thromb. Vasc. Biol. 2020, 40, 2212–2226. [Google Scholar] [CrossRef] [PubMed]
 - Siegwart, J.T., Jr.; Strang, C.E. Selective modulation of scleral proteoglycan mRNA levels during minus lens compensation and recovery. Mol. Vis. 2007, 13, 1878–1886. [Google Scholar] [PubMed]
 - Huang, J.; Wen, D.; Wang, Q.; McAlinden, C.; Flitcroft, I.; Chen, H.; Saw, S.M.; Chen, H.; Bao, F.; Zhao, Y.; et al. Efficacy Comparison of 16 Interventions for Myopia Control in Children: A Network Meta-analysis. Ophthalmology 2016, 123, 697–708. [Google Scholar] [CrossRef]
 - Smith, E.L., 3rd; Kee, C.S.; Ramamirtham, R.; Qiao-Grider, Y.; Hung, L.F. Peripheral vision can influence eye growth and refractive development in infant monkeys. Investig. Ophthalmol. Vis. Sci. 2005, 46, 3965–3972. [Google Scholar] [CrossRef] [PubMed]
 - Smith, E.L., 3rd; Ramamirtham, R.; Qiao-Grider, Y.; Hung, L.F.; Huang, J.; Kee, C.S.; Coats, D.; Paysse, E. Effects of foveal ablation on emmetropization and form-deprivation myopia. Investig. Ophthalmol. Vis. Sci. 2007, 48, 3914–3922. [Google Scholar] [CrossRef] [PubMed]
 - Park, H.; Jabbar, S.B.; Tan, C.C.; Sidhu, C.S.; Abey, J.; Aseem, F.; Schmid, G.; Iuvone, P.M.; Pardue, M.T. Visually-driven ocular growth in mice requires functional rod photoreceptors. Investig. Ophthalmol. Vis. Sci. 2014, 55, 6272–6279. [Google Scholar] [CrossRef] [PubMed]
 - Leung, M.; Steinman, J.; Li, D.; Lor, A.; Gruesen, A.; Sadah, A.; van Kuijk, F.J.; Montezuma, S.R.; Kondkar, A.A.; Radhakrishnan, R.; et al. The Logistical Backbone of Photoreceptor Cell Function: Complementary Mechanisms of Dietary Vitamin A Receptors and Rhodopsin Transporters. Int. J. Mol. Sci. 2024, 25, 4278. [Google Scholar] [CrossRef]
 - Shanshan, L. Assessment of Genetic-Related Myopia Due to an lrpap1 Mutation and Dark-Related Myopia Due to An Increase in Rhodopsin. Doctor Thesis, Southern Medical University, Guangzhou, China, 2023. [Google Scholar] [CrossRef]
 - Zhang, D.; Deng, Z.; Tan, J.; Liu, S.; Hu, S.; Tao, H.; Tang, R. All-trans retinoic acid stimulates the secretion of TGF-β2 via the phospholipase C but not the adenylyl cyclase signaling pathway in retinal pigment epithelium cells. BMC Ophthalmol. 2019, 19, 23. [Google Scholar] [CrossRef]
 - Qian, Y.; He, Z.; Zhao, S.S.; Liu, B.; Chen, Y.; Sun, X.; Ye, D.; Jiang, X.; Zheng, H.; Wen, C.; et al. Genetically Determined Circulating Levels of Cytokines and the Risk of Rheumatoid Arthritis. Front. Genet. 2022, 13, 802464. [Google Scholar] [CrossRef]
 




| Accession Number | Sample Size | Number of SNPs | Population Ethnicity | Gender | Comprehensive Database | 
|---|---|---|---|---|---|
| ukb-a-458 | 335,591 | 10,894,596 | European | Male and female | MRC IEU | 
| ukb-b-9596 | 460,351 | 9,851,867 | European | Male and female | MRC IEU | 
| 20003_1140852756 | 361,141 | 11,739,085 | European | Male and female | UK Biobank | 
| 20084_475 | 51,427 | 11,731,938 | European | Male and female | UK Biobank | 
| ukb-a-419 | 335,700 | 10,894,596 | European | Male and female | MRC IEU | 
| 5843_3 | 29,317 | 11,727,276 | European | Male and female | UK Biobank | 
| ukb-b-6353 | 460,536 | 9,851,867 | European | Male and female | MRC IEU | 
| finn-b-H7_MYOPIA | 398,134 | 1,048,575 | European | Male and female | FinnGen | 
| Accession Number (Exposure, Outcome)  | SNP | Method | β | OR (95%CI) | p | 
|---|---|---|---|---|---|
| ukb-a-458, ukb-a-419 | 17 | MR-Egger | −0.003 | 0.997 (0.665, 1.493) | 0.987 | 
| Weighted median | −0.041 | 0.960 (0.740, 1.245) | 0.757 | ||
| Inverse variance weighted | 0.002 | 1.002 (0.820, 1.224) | 0.987 | ||
| Simple mode | −0.078 | 0.925 (0.580, 1.475) | 0.748 | ||
| Weighted mode | −0.134 | 0.874 (0.546, 1.401) | 0.585 | ||
| ukb-b-9596, 5843_3 | 11 | MR-Egger | 0.295 | 1.344 (0.015, 119.070) | 0.900 | 
| Weighted median | 0.017 | 1.018 (0.211, 4.910) | 0.983 | ||
| Inverse variance weighted | 0.113 | 1.120 (0.363, 3.455) | 0.844 | ||
| Simple mode | 0.106 | 1.112 (0.079, 15.747) | 0.939 | ||
| Weighted mode | 0.228 | 1.256 (0.082, 19.281) | 0.873 | ||
| 20003_1140852756, ukb-b-6353 | 42 | MR-Egger | −0.778 | 0.460 (0.080, 2.646) | 0.389 | 
| Weighted median | −0.171 | 0.843 (0.287, 2.475) | 0.756 | ||
| Inverse variance weighted | −0.146 | 0.865 (0.405, 1.844) | 0.706 | ||
| Simple mode | 0.573 | 1.774 (0.150, 21.016) | 0.652 | ||
| Weighted mode | 0.313 | 1.368 (0.153, 12.247) | 0.781 | ||
| 20084_475, finn-b-H7_MYOPIA | 3 | MR-Egger | 3.875 | 48.163 (1.21 × 10−5, 1.92 × 108) | 0.705 | 
| Weighted median | −4.007 | 0.018 (1.84 × 10−6, 179.916) | 0.393 | ||
| Inverse variance weighted | −6.264 | 0.002 (1.17 × 10−6, 3.099) | 0.097 | ||
| Simple mode | −2.639 | 0.071 (1.97 × 10−6, 2591.787) | 0.671 | ||
| Weighted mode | −3.095 | 0.045 (7.76 × 10−7, 2640.854) | 0.636 | 
| Accession Number (Exposure, Outcome)  | Method | Q | p | I2 | 
|---|---|---|---|---|
| ukb-a-458, ukb-a-419 | MR-Egger | 8.048 | 0.922 | 0.864 | 
| Inverse variance weighted | 8.049 | 0.947 | 0.988 | |
| ukb-b-9596, 5843_3 | MR-Egger | 10.637 | 0.301 | 0.154 | 
| Inverse variance weighted | 10.645 | 0.386 | 0.061 | |
| 20003_1140852756, ukb-b-6353 | MR-Egger | 43.249 | 0.334 | 0.075 | 
| Inverse variance weighted | 43.916 | 0.349 | 0.066 | |
| 20084_475, finn-b-H7_MYOPIA | MR-Egger | 0.033 | 0.856 | 29.378 | 
| Inverse variance weighted | 2.209 | 0.331 | 0.095 | 
| Accession Number (Exposure, Outcome)  | Intercept | SE | p | 
|---|---|---|---|
| ukb-a-458, ukb-a-419 | 2 × 10−5 | 0.001 | 0.977 | 
| ukb-b-9596, 5843_3 | 3.6 × 10−4 | 0.004 | 0.936 | 
| 20003_1140852756, ukb-b-6353 | 4.8 × 10−4 | 0.001 | 0.437 | 
| 20084_475, finn-b-H7_MYOPIA | −0.095 | 0.064 | 0.379 | 
Disclaimer/Publisher’s Note: The statements, opinions and data contained in all publications are solely those of the individual author(s) and contributor(s) and not of MDPI and/or the editor(s). MDPI and/or the editor(s) disclaim responsibility for any injury to people or property resulting from any ideas, methods, instructions or products referred to in the content.  | 
© 2024 by the authors. Licensee MDPI, Basel, Switzerland. This article is an open access article distributed under the terms and conditions of the Creative Commons Attribution (CC BY) license (https://creativecommons.org/licenses/by/4.0/).
Share and Cite
Xu, X.; Liu, N.; Yu, W. No Evidence of an Association between Genetic Factors Affecting Response to Vitamin A Supplementation and Myopia: A Mendelian Randomization Study and Meta-Analysis. Nutrients 2024, 16, 1933. https://doi.org/10.3390/nu16121933
Xu X, Liu N, Yu W. No Evidence of an Association between Genetic Factors Affecting Response to Vitamin A Supplementation and Myopia: A Mendelian Randomization Study and Meta-Analysis. Nutrients. 2024; 16(12):1933. https://doi.org/10.3390/nu16121933
Chicago/Turabian StyleXu, Xiaotong, Nianen Liu, and Weihong Yu. 2024. "No Evidence of an Association between Genetic Factors Affecting Response to Vitamin A Supplementation and Myopia: A Mendelian Randomization Study and Meta-Analysis" Nutrients 16, no. 12: 1933. https://doi.org/10.3390/nu16121933
APA StyleXu, X., Liu, N., & Yu, W. (2024). No Evidence of an Association between Genetic Factors Affecting Response to Vitamin A Supplementation and Myopia: A Mendelian Randomization Study and Meta-Analysis. Nutrients, 16(12), 1933. https://doi.org/10.3390/nu16121933
        
