Intrahousehold Food Intake Inequality by Family Roles and Age Groups
Abstract
1. Introduction
2. Methods
2.1. Survey Areas, Sample and Sampling Strategy
2.2. Key Variables
2.3. Statistical Analysis
3. Results
4. Discussion
5. Conclusions
Supplementary Materials
Author Contributions
Funding
Institutional Review Board Statement
Informed Consent Statement
Data Availability Statement
Acknowledgments
Conflicts of Interest
References
- Akerele, D. Intra-household food distribution patterns and calorie inadequacy in south-western Nigeria. Int. J. Consum. Stud. 2011, 35, 545–551. [Google Scholar] [CrossRef]
- Hadley, C.; Lindstrom, D.; Tessema, F.; Belachew, T. Gender bias in the food insecurity experience of Ethiopian adolescents. Soc. Sci. Med. 2008, 66, 427–438. [Google Scholar] [CrossRef] [PubMed]
- Harris-Fry, H.; Shrestha, N.; Costello, A.; Saville, N. Determinants of intra-household food allocation between adults in south Asia–A systematic review. Int. J. Equity Health 2017, 16, 1–21. [Google Scholar] [CrossRef]
- Harris-Fry, H.; Paudel, P.; Shrestha, N.; Harrisson, T.; Beard, B.; Jha, S.; Shrestha, B.; Manandhar, D.; Costello, A.; Cortina-Borja, M.; et al. Status and determinants of intra-household food allocation in rural Nepal. Eur. J. Clin. Nutr. 2018, 72, 1524–1536. [Google Scholar] [PubMed]
- Madjdian, D. Gender, intra-household food allocation and social change in two Himalayan communities in Nepal. In Diversity and Change in Food Wellbeing: Cases from Southeast Asia and Nepal; Niehof, A., Gartaula, H., Quetulio-Navarra, M., Eds.; Wageningen Academic Publishers: Wageningen, The Netherlands, 2018; pp. 153–175. [Google Scholar]
- Fadare, O.; Mavrotas, G.; Akerele, D.; Oyeyemi, M. Micronutrient-rich food consumption, intra-household food allocation and child stunting in rural Nigeria. Public Health Nutr. 2019, 22, 444–454. [Google Scholar] [CrossRef]
- Sassi, S.; Abassi, M.; Traissac, P.; Gharbia, H.; Gartner, A.; Delpeuch, F.; Ati, J. Intra-household double burden of malnutrition in a north African nutrition transition context: Magnitude and associated factors of child anaemia with mother excess adiposity. Public Health Nutr. 2019, 22, 44–54. [Google Scholar] [CrossRef]
- Hossain, M.; Asadullah, M.; Kambhampati, U. Women’s empowerment and gender-differentiated food allocation in Bangladesh. Rev. Econ. Househ. 2021, 19, 739–767. [Google Scholar] [CrossRef]
- Aurino, E. Do boys eat better than girls in India? Longitudinal evidence on dietary diversity and food consumption disparities among children and adolescents. Econ. Hum. Biol. 2017, 25, 99–111. [Google Scholar] [CrossRef]
- Singh, N. Gender, intra-household discrimination and cash transfer schemes: The case of Indian Punjab. Economies 2019, 7, 75. [Google Scholar] [CrossRef]
- Finaret, A.; Miller, L.; Joshi, N.; Mahato, S.; Lohani, M.; Drozdowsky, J.; Rogers, B. Longitudinal analysis of the intrahousehold distribution of foods in rural Nepal: Relative variability of child dietary quality across age and sex cohorts. Food Policy 2018, 79, 101–110. [Google Scholar] [CrossRef]
- Fernández-Alvira, J.; Mouratidou, T.; Bammann, K.; Hebestreit, A.; Barba, G.; Sieri, S.; Reisch, L.; Eiben, G.; Hadjigeorgiou, C.; Kovacs, E.; et al. Parental education and frequency of food consumption in European children: The IDEFICS study. Public Health Nutr. 2013, 16, 487–498. [Google Scholar] [CrossRef] [PubMed]
- Rabbani, A. Household food security in Bangladesh: Going beyond poverty measures. Bangladesh Dev. Stud. 2014, 37, 103–125. [Google Scholar]
- Bose, M.; Dey, M. Food and nutritional security in Bangladesh: Going beyond carbohydrate counts. Agric. Econ. Res. Rev. 2007, 20, 203–225. [Google Scholar]
- Ponce, X.; Ramirez, E.; Delisle, H. A more diversified diet among Mexican men may also be more atherogenic. J. Nutr. 2006, 136, 2921–2927. [Google Scholar] [CrossRef] [PubMed]
- Jayawardena, R.; Byrne, N.; Soares, M.; Katulanda, P.; Yadav, B.; Hills, A. High dietary diversity is associated with obesity in Sri Lankan adults: An evaluation of three dietary scores. BMC Public Health 2013, 13, 314. [Google Scholar] [CrossRef] [PubMed]
- Keino, S.; Plasqui, G.; Borne, B. Household food insecurity access: A predictor of overweight and underweight among Kenyan women. Agric. Food Secur. 2014, 3, 2. [Google Scholar] [CrossRef]
- Hagen, E.; Hames, R.; Craig, N.; Lauer, M.; Price, M. Parental investment and child health in a Yanomamö village suffering short-term food stress. J. Biosoc. Sci. 2001, 33, 503–528. [Google Scholar] [CrossRef]
- Asma, K.; Shahrier, S.; Kotani, K. Cooperation and cognition gaps for salinity: A field experiment of information provision in urban and rural areas of Bangladesh. J. Clean. Prod. 2021, 311, 127562. [Google Scholar] [CrossRef]
- Shahrier, S.; Kotani, K.; Saijo, T. Intergenerational sustainability dilemma and the degree of capitalism in societies: A field experiment. Sustain. Sci. 2017, 12, 957–967. [Google Scholar] [CrossRef]
- Bangladesh Bureau of Statistics. District statistics. In Technical Report; Bangladesh Bureau of Statistics: Dhaka, Bangladesh, 2018. [Google Scholar]
- Sibhatu, K.; Krishna, V.; Qaim, M. Production diversity and dietary diversity in smallholder farm households. Proc. Natl. Acad. Sci. USA 2015, 112, 10657–10662. [Google Scholar] [CrossRef]
- Koppmair, S.; Kassie, M.; Qaim, M. Farm production, market access and dietary diversity in Malawi. Public Health Nutr. 2017, 20, 325–335. [Google Scholar] [CrossRef]
- Food and Agriculture Organization. Guidelines for measuring household and individual dietary diversity. In Technical Report; Food and Agriculture Organization: Rome, Italy, 2011. [Google Scholar]
- Arimond, M.; Wiesmann, D.; Becquey, E.; Carriquiry, A.; Daniels, M.; Deitchler, M.; Fanou-Fogny, N.; Joseph, M.; Kennedy, G.; Martin-Prevel, Y.; et al. Simple food group diversity indicators predict micronutrient adequacy of women’s diets in 5 diverse, resource-poor settings. J. Nutr. 2010, 140, 2059S–2069S. [Google Scholar] [CrossRef]
- Leroy, J.; Ruel, M.; Frongillo, E.; Harris, J.; Ballard, T. Measuring the food access dimension of food security: A critical review and mapping of indicators. Food Nutr. Bull. 2015, 36, 167–195. [Google Scholar] [CrossRef] [PubMed]
- Ali, N.; Tahsina, T.; Hoque, D.; Hasan, M.; Iqbal, A.; Huda, T.; Arifeen, S. Association of food security and other socio-economic factors with dietary diversity and nutritional statuses of children aged 6–59 months in rural Bangladesh. PLoS ONE 2019, 14, e0221929. [Google Scholar] [CrossRef] [PubMed]
- Chan, J.; Sobal, J. Family meals and body weight. Analysis of multiple family members in family units. Appetite 2011, 57, 517–524. [Google Scholar] [CrossRef] [PubMed]
- Household Income and Expenditure Survey. Description of the official methodology used for poverty estimation in Bangladesh for 2016/17. In Technical Report; The World Bank: Washington, DC, USA, 2017. [Google Scholar]
- Humphries, D.; Dearden, K.; Crookston, B.; Woldehanna, T.; Penny, M.; Behrman, J. Household food group expenditure patterns are associated with child anthropometry at ages 5, 8 and 12 years in Ethiopia, India, Peru and Vietnam. Econ. Hum. Biol. 2017, 26, 30–41. [Google Scholar] [CrossRef]
- Islam, M.; Nath, D. A future journey to the elderly support in Bangladesh. J. Anthropol. 2012, 2012, 6. [Google Scholar] [CrossRef]
- Mohajan, H. Child rights in Bangladesh. J. Soc. Welf. Hum. Rights 2014, 2, 207–238. [Google Scholar]
- Barikdar, A.; Ahmed, T.; Lasker, S. The situation of the elderly in Bangladesh. Bangladesh J. Bioeth. 2016, 7, 27–36. [Google Scholar] [CrossRef]
- Cameron, A.; Trivedi, P. Regression Analysis of Count Data; Cambridge University Press: Cambridge, UK, 2013. [Google Scholar]
- Wooldridge, J. Introductory Econometrics; South-Western College Publishing: Cincinnati, OH, USA, 2019. [Google Scholar]
- Goldstein, H. Multilevel Statistical Models; John Wiley and Sons: Hoboken, NJ, USA, 2011. [Google Scholar]
- Alom, J.; Quddus, M.; Islam, M. Nutritional status of under-five children in Bangladesh: A multilevel analysis. J. Biosoc. Sci. 2012, 44, 525–535. [Google Scholar] [CrossRef]
- Imam, M.; Islam, M.; Hossain, M. Factors affecting poverty in rural Bangladesh: An analysis using multilevel modelling. J. Bangladesh Agric. 2018, 16, 123–130. [Google Scholar] [CrossRef]
- Rabe-Hesketh, S.; Skrondal, A. Multilevel and Longitudinal Modeling Using Stata; STATA Press: College Station, TX, USA, 2008. [Google Scholar]
- Madjdian, D.; Bras, H. Family, gender, and women’s nutritional status: A comparison between two Himalayan communities in Nepal. Econ. Hist. Dev. Reg. 2016, 31, 198–223. [Google Scholar] [CrossRef]
- Bhattacharya, J.; Currie, J.; Haider, S. Poverty, food insecurity, and nutritional outcomes in children and adults. J. Health Econ. 2004, 23, 839–862. [Google Scholar] [CrossRef] [PubMed]
- Shariff, Z.; Khor, G. Household food insecurity and coping strategies in a poor rural community in Malaysia. Nutr. Res. Pract. 2008, 2, 26–34. [Google Scholar] [CrossRef]
- Wade, M.; Shuster, S. The evolution of parental care in the context of sexual selection: A critical reassessment of parental investment theory. Am. Nat. 2002, 160, 285–292. [Google Scholar] [CrossRef]
- Royle, N.; Hartley, I.; Parker, G. Parental investment and family dynamics: Interactions between theory and empirical tests. Popul. Ecol. 2004, 46, 231–241. [Google Scholar] [CrossRef]
- Blum, L.; Khan, R.; Sultana, M.; Soltana, N.; Siddiqua, Y.; Khondker, R.; Sultana, S.; Tumilowicz, A. Using a gender lens to understand eating behaviours of adolescent females living in low-income households in Bangladesh. Matern. Child Nutr. 2019, 15, e12841. [Google Scholar] [CrossRef]
- Dos-Santos, L. Equitable food distribution and sustainable development. In Zero Hunger. Encyclopedia of the UN Sustainable Development Goals; Leal, F., Walter, A., Azul, A., Brandli, L., Özuyar, G., Wall, T., Eds.; Springer International Publishing: Berlin/Heidelberg, Germany, 2020; pp. 1–9. [Google Scholar]
- Angeles-Agdeppa, I.; Monville-Oro, E.; Gonsalves, J.; Capanzana, M. Integrated school based nutrition programme improved the knowledge of mother and school children. Matern. Child Nutr. 2019, 15, e12794. [Google Scholar] [CrossRef]
- Moore, J.; Pawloski, L.; Rodriguez, C.; Lumbi, L.; Ailinger, R. The effect of a nutrition education program on the nutritional knowledge, hemoglobin levels, and nutritional status of Nicaraguan adolescent girls. Public Health Nurs. 2009, 26, 144–152. [Google Scholar] [CrossRef]
- Halder, S.; Kejriwal, S. Nutritional awareness of mothers in relation to nutritional status of the preschool children. Early Child Dev. Care 2016, 186, 1366–1377. [Google Scholar] [CrossRef]
- Hirvonen, K.; Hoddinott, J.; Minten, B.; Stifel, D. Children’s diets, nutrition knowledge, and access to markets. World Dev. 2017, 95, 303–315. [Google Scholar] [CrossRef]
- Nestle, M.; Wing, R.; Birch, L.; DiSogra, L.; Drewnowski, A.; Middleton, S.; Sigman-Grant, M.; Sobal, J.; Winston, M.; Economos, C. Behavioral and social influences on food choice. Nutr. Rev. 1998, 56, S50–S64. [Google Scholar] [CrossRef] [PubMed]
- Ndiku, M.; Jaceldo-Siegl, K.; Singh, P.; Sabate, J. Gender inequality in food intake and nutritional status of children under 5 years old in rural eastern Kenya. Eur. J. Clin. Nutr. 2011, 65, 26–31. [Google Scholar] [CrossRef] [PubMed]
- Headey, D.; Ecker, O. Rethinking the measurement of food security: From first principles to best practice. Food Secur. 2013, 5, 327–343. [Google Scholar] [CrossRef]
- Alamgir, M. Some analysis of distribution of income, consumption, saving and poverty in Bangladesh. Bangladesh Dev. Stud. 1974, 2, 737–818. [Google Scholar]
- Isidoro, D. Country practices in compiling poverty statistics. In Handbook of Poverty Statistics; United Nations Statistics Division: New York, NY, USA, 2005. [Google Scholar]
- Ravallion, M.; Sen, B. When method matters: Monitoring poverty in Bangladesh. Econ. Dev. Cult. Change 1996, 44, 761–792. [Google Scholar] [CrossRef]


| Variables | Description |
|---|---|
| Dependent variable | |
| Dietary diversity score (DDS) | The dietary diversity score is defined as a count variable that takes values from 0 to 9 based on the number of food groups consumed over a 24-h period. |
| Independent variables | |
| Family role dummy variables () | |
| Mothers | Fathers 0 and Mothers 1. |
| Sons | Fathers 0 and Sons 1. |
| Daughters | Fathers 0 and Daughters 1. |
| Grandparents | Fathers 0 and Grandparents 1. |
| Age group dummy variables () | |
| Children | Adults 0 and Children 1. |
| Elderly | Adults 0 and Elderly 1. |
| Sociodemographic variables | |
| Father education | Years of schooling 0 to 14 (0 = No schooling and refused group , 1 = Class one, 2 = Class two, 3 = Class three, 4 = Class four, 5 = Class five, 6 = Class six, 7 = Class seven, 8 = Class eight, 9 = Class nine, 10 = SSC/equivalent, 11 = Eleven class/equivalent, 12 = HSC/equivalent, 13 = Graduate/equivalent, 14 = Post graduate/equivalent). |
| Mother education | Years of schooling 0 to 14 (0 = No schooling and refused group , 1 = Class one, 2 = Class two, 3 = Class three, 4 = Class four, 5 = Class five, 6 = Class six, 7 = Class seven, 8 = Class eight, 9 = Class nine, 10 = SSC/equivalent, 11 = Eleven class/equivalent, 12 = HSC/equivalent, 13 = Graduate/equivalent, 14 = Post graduate/equivalent). |
| Household poverty | Nonpoor 0 and Poor 1. |
| Area | Urban 0 and Rural 1. |
| Total household earners | Numbers. |
| Occupation of the household head | Nonagriculture 0 and Agriculture 1. |
| Religion | Nonmuslim 0 and Muslim 1. |
| Family structure | Nuclear family 0 and Extended family 1. |
| Household eating practices | Takes the value of 1 when household members eat together, otherwise 0. |
| Family Roles | Overall | p-Value | |||||
|---|---|---|---|---|---|---|---|
| Fathers | Mothers | Sons | Daughters | Grandparents | |||
| Dietary diversity score (DDS) | |||||||
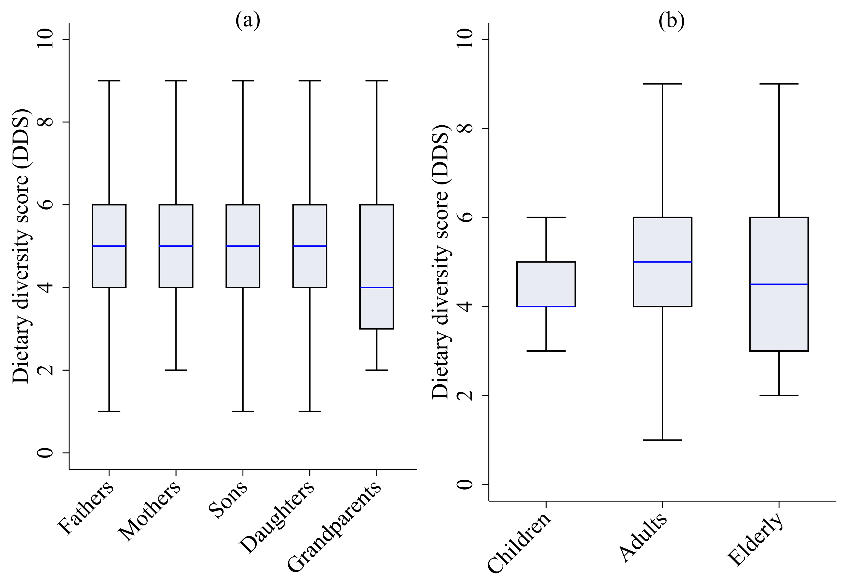
| Average (Median) | 5.00 (5.00) | 4.92 (5.00) | 4.93 (5.00) | 4.74 (5.00) | 4.44 (4.00) | 4.88 (5.00) | |
| SD | 1.62 | 1.60 | 1.54 | 1.50 | 1.48 | 1.57 | 0.01 |
| Starchy staples | |||||||
| Average (Median) | 0.99 (1.00) | 0.99 (1.00) | 0.99 (1.00) | 0.99 (1.00) | 0.98 (1.00) | 0.99 (1.00) | |
| Frequency (SD) | 795 (0.06) | 801 (0.04) | 798 (0.04) | 683 (0.07) | 161 (0.11) | 3238 (0.06) | 0.15 |
| Dark green leafy vegetables | |||||||
| Average (Median) | 0.72 (1.00) | 0.71 (1.00) | 0.69 (1.00) | 0.65 (1.00) | 0.68 (1.00) | 0.69 (1.00) | |
| Frequency (SD) | 572 (0.45) | 572 (0.45) | 550 (0.46) | 445 (0.48) | 111 (0.47) | 2250 (0.46) | 0.04 |
| Other vitamin A rich fruits and vegetables | |||||||
| Average (Median) | 0.78 (1.00) | 0.78 (1.00) | 0.77 (1.00) | 0.73 (1.00) | 0.77 (1.00) | 0.77 (1.00) | |
| Frequency (SD) | 621 (0.42) | 628 (0.41) | 615 (0.42) | 503 (0.44) | 125 (0.42) | 2492 (0.42) | 0.19 |
| Other fruits and vegetables | |||||||
| Average (Median) | 0.30 (0.00) | 0.28 (0.00) | 0.30 (0.00) | 0.29 (0.00) | 0.18 (0.00) | 0.29 (0.00) | |
| Frequency (SD) | 241 (0.46) | 227 (0.45) | 243 (0.46) | 196 (0.45) | 29 (0.38) | 936 (0.45) | 0.02 |
| Organ meat | |||||||
| Average (Median) | 0.35 (0.00) | 0.35 (0.00) | 0.34 (0.00) | 0.31 (0.00) | 0.30 (0.00) | 0.34 (0.00) | |
| Frequency (SD) | 278 (0.48) | 279 (0.48) | 271 (0.47) | 215 (0.46) | 49 (0.46) | 1092 (0.47) | 0.47 |
| Meat and fish | |||||||
| Average (Median) | 0.71 (1.00) | 0.70 (1.00) | 0.71 (1.00) | 0.65 (1.00) | 0.71 (1.00) | 0.69 (1.00) | |
| Frequency (SD) | 567 (0.45) | 558 (0.46) | 569 (0.45) | 447 (0.48) | 116 (0.45) | 2257 (0.46) | 0.08 |
| Eggs | |||||||
| Average (Median) | 0.39 (0.00) | 0.37 (0.00) | 0.36 (0.00) | 0.41 (0.00) | 0.29 (0.00) | 0.38 (0.00) | |
| Frequency (SD) | 315 (0.49) | 298 (0.48) | 284 (0.48) | 280 (0.49) | 48 (0.46) | 1225 (0.48) | 0.03 |
| Legumes, nuts and seeds | |||||||
| Average (Median) | 0.52 (1.00) | 0.51 (1.00) | 0.52 (1.00) | 0.47 (0.00) | 0.42 (0.00) | 0.50 (1.00) | |
| Frequency (SD) | 415 (0.50) | 409 (0.50) | 411 (0.50) | 325 (0.50) | 68 (0.49) | 1628 (0.50) | 0.07 |
| Milk and milk products | |||||||
| Average (Median) | 0.23 (0.00) | 0.22 (0.00) | 0.25 (0.00) | 0.23 (0.00) | 0.10 (0.00) | 0.23 (0.00) | |
| Frequency (SD) | 187 (0.42) | 175 (0.41) | 199 (0.43) | 158 (0.42) | 17 (0.31) | 736 (0.42) | 0.01 |
| Sample size | 798 | 802 | 799 | 686 | 163 | 3248 | |
| Area | Overall | p-Value | ||
|---|---|---|---|---|
| Urban | Rural | |||
| Dietary diversity score | ||||
| Average (Median) | 5.61 (6.00) | 4.63 (4.00) | 4.88 (5.00) | |
| SD | 1.78 | 1.40 | 1.57 | 0.01 |
| Family role dummies () | ||||
| Mothers | ||||
| Average (Median) | 0.26 (0.00) | 0.24 (0.00) | 0.25 (0.00) | |
| Frequency (SD) | 217 (0.44) | 585 (0.43) | 802 (0.43) | 0.27 |
| Sons | ||||
| Average (Median) | 0.26 (0.00) | 0.24 (0.00) | 0.25 (0.00) | |
| Frequency (SD) | 212 (0.44) | 587 (0.43) | 799 (0.43) | 0.48 |
| Daughters | ||||
| Average (Median) | 0.19 (0.00) | 0.22 (0.00) | 0.21 (0.00) | |
| Frequency (SD) | 162 (0.40) | 524 (0.41) | 686 (0.41) | 0.18 |
| Grandparents | ||||
| Average (Median) | 0.03 (0.00) | 0.06 (0.00) | 0.05 (0.00) | |
| Frequency (SD) | 24 (0.17) | 139 (0.23) | 163 (0.22) | 0.01 |
| Age group dummies () | ||||
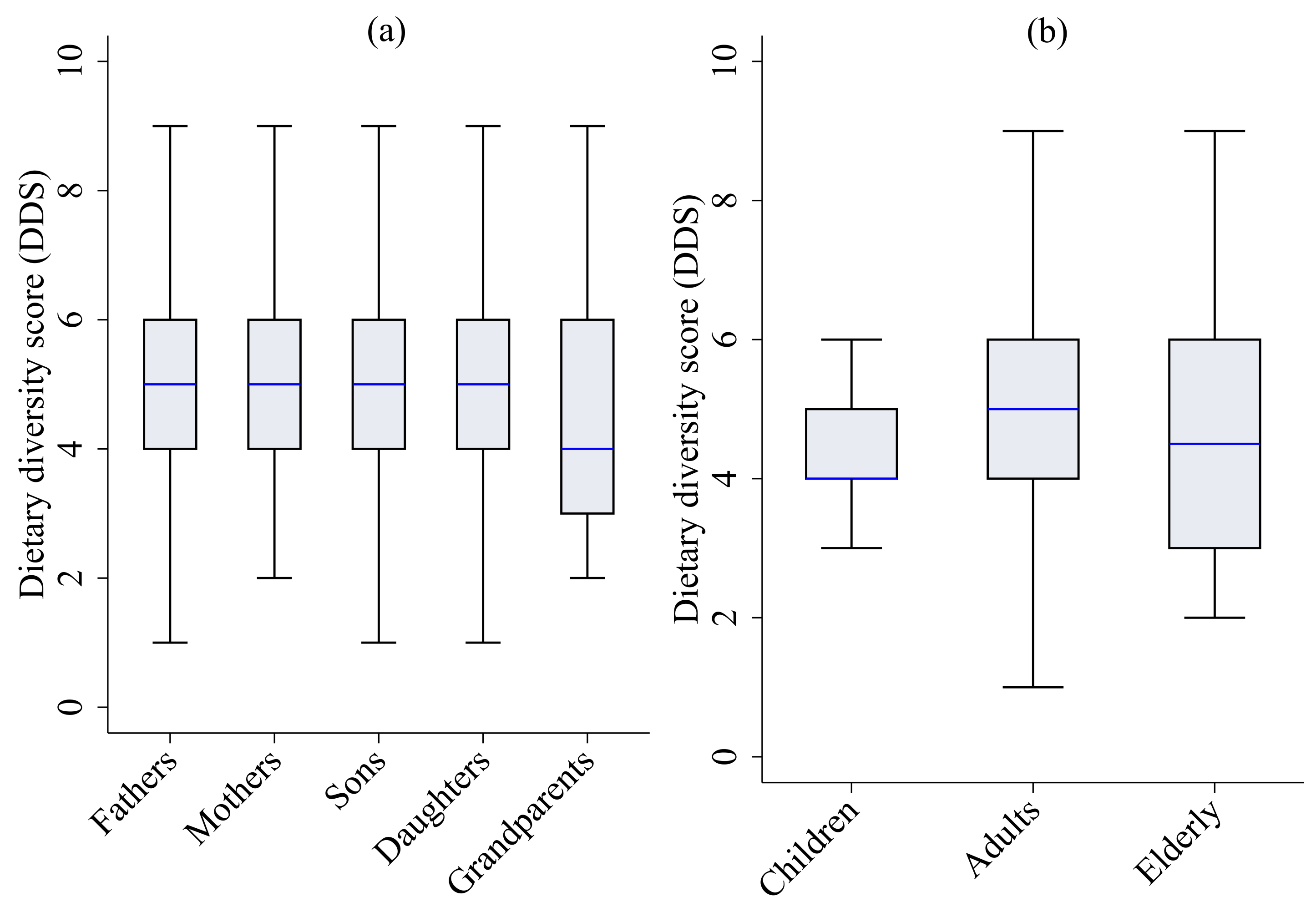
| Children | ||||
| Average (Median) | 0.17 (0.00) | 0.22 (0.00) | 0.21 (0.00) | |
| Frequency (SD) | 144 (0.38) | 526 (0.41) | 670 (0.41) | 0.01 |
| Elderly | ||||
| Average (Median) | 0.03 (0.00) | 0.05 (0.00) | 0.04 (0.00) | |
| Frequency (SD) | 23 (0.16) | 111 (0.21) | 134 (0.20) | 0.02 |
| Father education | ||||
| Average (Median) | 10.55 (12.00) | 6.04 (7.00) | 7.19 (8.00) | |
| SD | 3.96 | 4.47 | 4.77 | 0.01 |
| Mother education | ||||
| Average (Median) | 9.60 (11.00) | 5.99 (7.00) | 6.91 (8.00) | |
| SD | 4.11 | 4.01 | 4.33 | 0.01 |
| Household poverty () | ||||
| Average (Median) | 0.05 (0.00) | 0.22 (0.00) | 0.17 (0.00) | |
| Frequency (SD) | 44 (0.22) | 520 (0.41) | 564 (0.38) | 0.01 |
| Total household earners | ||||
| Average (Median) | 1.51 (1.00) | 1.40 (1.00) | 1.42 (1.00) | |
| SD | 0.66 | 0.63 | 0.64 | 0.01 |
| Occupation of the household head () | ||||
| Average (Median) | 0.00 (0.00) | 0.41 (0.00) | 0.30 (0.00) | |
| Frequency (SD) | 0.00 (0.00) | 980 (0.49) | 980 (0.46) | 0.01 |
| Religion () | ||||
| Average (Median) | 0.90 (1.00) | 0.87 (1.00) | 0.88 (1.00) | |
| Frequency (SD) | 750 (0.30) | 2093 (0.34) | 2843 (0.33) | 0.01 |
| Family structure () | ||||
| Average (Median) | 0.19 (0.00) | 0.30 (0.00) | 0.27 (0.00) | |
| Frequency (SD) | 162 (0.40) | 721 (0.46) | 883 (0.44) | 0.01 |
| Household eating practices () | ||||
| Average (Median) | 0.68 (1.00) | 0.85 (1.00) | 0.80 (1.00) | |
| Frequency (SD) | 566 (0.47) | 2047 (0.36) | 2613 (0.40) | 0.01 |
| Sample size | 831 | 2417 | 3248 | |
| Ordinary Poisson Regression | Two-Level Random Intercept Poisson Regression | |||||
|---|---|---|---|---|---|---|
| Model 1-1 | Model 1-2 | Model 1-3 | Model 2-1 | Model 2-2 | Model 2-3 | |
| Family role dummies () | ||||||
| Mothers | ||||||
| Sons | 0.03 | 0.01 | ||||
| Daughters | ** | 0.01 | * | 0.003 | ||
| Grandfathers | ** | ** | * | ** | ||
| Grandmothers | ** | ** | ** | ** | ||
| Age group dummies () | ||||||
| Children | *** | *** | ** | ** | ||
| Elderly | 0.07 | 0.05 | ||||
| Sociodemographic variables | ||||||
| Father education | 0.007 *** | 0.007 *** | ||||
| Mother education | 0.01 *** | 0.01 *** | ||||
| Household poverty () | *** | *** | ||||
| Area () | *** | *** | ||||
| Total household earners | 0.05 *** | 0.05 *** | ||||
| Occupation of the household head () | 0.03 | 0.03 | ||||
| Religion () | 0.003 | |||||
| Family structure () | 0.01 | 0.01 | ||||
| Household eating practices () | 0.02 | 0.02 | ||||
| Observations | 3248 | 3248 | 3248 | 3248 | 3248 | 3248 |
| Groups: Household | - | - | - | 811 | 811 | 811 |
| Random effect (SD ): Household | - | - | - | 0.20 *** | 0.20 *** | 0.16 *** |
| Likelihood-Ratio/Wald | 12.51 ** | 14.04 *** | 258.02 *** | 7.98 | 6.58 ** | 172.80 *** |
| AIC | 12,686.37 | 12,678.85 | 12,464.45 | 12,511.65 | 12,507.10 | 12,384.42 |
Disclaimer/Publisher’s Note: The statements, opinions and data contained in all publications are solely those of the individual author(s) and contributor(s) and not of MDPI and/or the editor(s). MDPI and/or the editor(s) disclaim responsibility for any injury to people or property resulting from any ideas, methods, instructions or products referred to in the content. |
© 2023 by the authors. Licensee MDPI, Basel, Switzerland. This article is an open access article distributed under the terms and conditions of the Creative Commons Attribution (CC BY) license (https://creativecommons.org/licenses/by/4.0/).
Share and Cite
Asma, K.M.; Kotani, K. Intrahousehold Food Intake Inequality by Family Roles and Age Groups. Nutrients 2023, 15, 2126. https://doi.org/10.3390/nu15092126
Asma KM, Kotani K. Intrahousehold Food Intake Inequality by Family Roles and Age Groups. Nutrients. 2023; 15(9):2126. https://doi.org/10.3390/nu15092126
Chicago/Turabian StyleAsma, Khatun Mst, and Koji Kotani. 2023. "Intrahousehold Food Intake Inequality by Family Roles and Age Groups" Nutrients 15, no. 9: 2126. https://doi.org/10.3390/nu15092126
APA StyleAsma, K. M., & Kotani, K. (2023). Intrahousehold Food Intake Inequality by Family Roles and Age Groups. Nutrients, 15(9), 2126. https://doi.org/10.3390/nu15092126

