Relationship between Serum Ferritin Level and Dyslipidemia in US Adults Based on Data from the National Health and Nutrition Examination Surveys 2017 to 2020
Abstract
1. Introduction
2. Materials and Methods
2.1. Data Source and Study Population
2.2. Serum Ferritin and Blood Lipids
2.3. Definition of Dyslipidemia
2.4. Assessment of Covariates
2.5. Statistical Analyses
3. Results
3.1. Basic Characteristics of Individuals by Gender
3.2. Association between Serum Ferritin and Lipid Levels
3.3. Association between Quartile of Serum Ferritin Level and Dyslipidemia
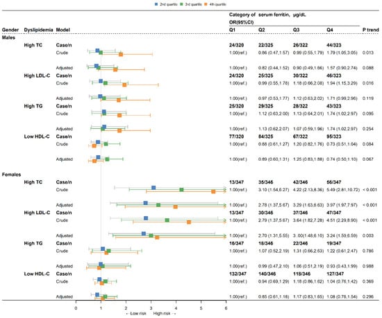
3.4. Association between Serum Ferritin Quartiles and Four Specific Types of Dyslipidemia
3.5. Association between Quartile of Total Iron Intake and Dyslipidemia by Gender
4. Discussion
Author Contributions
Funding
Institutional Review Board Statement
Informed Consent Statement
Data Availability Statement
Acknowledgments
Conflicts of Interest
References
- AlMuhaidib, S.; AlBuhairan, F.; Tamimi, W.; AlDubayee, M.; AlAqeel, A.; Babiker, A.; AlFaraidi, H.; AlJuraibah, F.; Badri, M.; Al Alwan, I. Prevalence and factors associated with dyslipidemia among adolescents in Saudi Arabia. Sci. Rep. 2022, 12, 16888. [Google Scholar] [CrossRef] [PubMed]
- Berberich, A.J.; Hegele, R.A.-O. A Modern Approach to Dyslipidemia. Endocr. Rev. 2022, 43, 611–653. [Google Scholar] [CrossRef] [PubMed]
- Hill, M.F.; Bordoni, B. Hyperlipidemia; StatPearls Publishing: Treasure Island, FL, USA, 2022; p. 8. [Google Scholar]
- Roger, V.L.; Go, A.S.; Lloyd-Jones, D.M.; Adams, R.J.; Berry, J.D.; Brown, T.M.; Wylie-Rosett, J. Heart disease and stroke statistics—2011 update: A report from the American Heart Association. Circulation 2011, 123, e18–e209. [Google Scholar] [CrossRef] [PubMed]
- Mikhailidis, D.P.; Elisaf, M.; Fau-Rizzo, M.; Rizzo, M.; Fau-Berneis, K.; Berneis, K.; Fau-Griffin, B.; Griffin, B.; Fau-Zambon, A.; Zambon, A.; et al. “European panel on low density lipoprotein (LDL) subclasses”: A statement on the pathophysiology, atherogenicity and clinical significance of LDL subclasses. Curr. Vasc. Pharmacol. 2011, 9, 533–571. [Google Scholar] [CrossRef]
- Rabizadeh, S.; Rajab, A.; Mechanick, J.I.; Moosaie, F.; Rahimi, Y.; Nakhjavani, M.; Esteghamati, A. LDL/apo B ratio predict coronary heart disease in Type 2 diabetes independent of ASCVD risk score: A case-cohort study. Nutr. Metab. Cardiovasc. Dis. 2021, 31, 1477–1485. [Google Scholar] [CrossRef]
- Blüher, M. Adipose tissue dysfunction contributes to obesity related metabolic diseases. Best Pract. Res. Clin. Endocrinol. Metab. 2013, 27, 163–177. [Google Scholar] [CrossRef]
- Tang, N.; Ma, J.; Tao, R.; Chen, Z.; Yang, Y.; He, Q.; Lv, Y.; Lan, Z.; Zhou, J. The effects of the interaction between BMI and dyslipidemia on hypertension in adults. Sci. Rep. 2022, 12, 927. [Google Scholar] [CrossRef]
- Sunil, B.; Ashraf, A.P. Dyslipidemia in Pediatric Type 2 Diabetes Mellitus. Curr. Diab. Rep. 2020, 20, 53. [Google Scholar] [CrossRef]
- Smith, D.G. Epidemiology of dyslipidemia and economic burden on the healthcare system. Am. J. Manag. Care 2007, 13 (Suppl. 3), S68–S71. [Google Scholar]
- Na, X.; Chen, Y.; Ma, X.; Wang, D.; Wang, H.; Song, Y.; Hua, Y.; Wang, P.; Liu, A. Relations of Lifestyle Behavior Clusters to Dyslipidemia in China: A Compositional Data Analysis. Int. J. Environ. Res. Public Health 2021, 18, 7763. [Google Scholar] [CrossRef] [PubMed]
- Magriplis, E.; Marakis, G.; Kotopoulou, S.; Naska, A.; Michas, G.; Micha, R.; Panagiotakos, D.; Zampelas, A. Trans fatty acid intake increases likelihood of dyslipidemia especially among individuals with higher saturated fat consumption. Rev. Cardiovasc. Med. 2022, 23, 4. [Google Scholar] [CrossRef]
- Pan, L.; Yang, Z.; Wu, Y.; Yin, R.X.; Liao, Y.; Wang, J.; Gao, B.; Zhang, L. The prevalence, awareness, treatment and control of dyslipidemia among adults in China. Atherosclerosis 2016, 248, 2–9. [Google Scholar] [CrossRef] [PubMed]
- Zhang, K.; Zhao, Q.; Li, Y.; Zhen, Q.; Yu, Y.; Tao, Y.; Cheng, Y.; Liu, Y. Feasibility of anthropometric indices to identify dyslipidemia among adults in Jilin Province: A cross-sectional study. Lipids Health Dis. 2018, 17, 16. [Google Scholar] [CrossRef]
- Carocci, A.; Catalano, A.; Sinicropi, M.S.; Genchi, G. Oxidative stress and neurodegeneration: The involvement of iron. Biometals 2018, 31, 715–735. [Google Scholar] [CrossRef] [PubMed]
- Bertoli, S.; Paubelle, E.; Bérard, E.; Saland, E.; Thomas, X.A.-O.; Tavitian, S.; Larcher, M.V.; Vergez, F.; Delabesse, E.; Sarry, A.; et al. Ferritin heavy/light chain (FTH1/FTL) expression, serum ferritin levels, and their functional as well as prognostic roles in acute myeloid leukemia. Eur. J. Haematol. 2019, 102, 131–142. [Google Scholar] [CrossRef] [PubMed]
- Wang, W.; Knovich, M.A.; Coffman, L.G.; Torti, F.M.; Torti, S.V. Serum ferritin: Past, present and future. Biochim. Biophys. Acta 2010, 1800, 760–769. [Google Scholar] [CrossRef] [PubMed]
- Cullis, J.A.-O.; Fitzsimons, E.J.; Griffiths, W.A.-O.; Tsochatzis, E.; Thomas, D.W. Investigation and management of a raised serum ferritin. Br. J. Haematol. 2018, 181, 331–340. [Google Scholar] [CrossRef]
- Zhou, B.; Ren, H.; Zhou, X.; Yuan, G.A.-O. Associations of iron status with apolipoproteins and lipid ratios: A cross-sectional study from the China Health and Nutrition Survey. Lipids Health Dis. 2020, 19, 140. [Google Scholar] [CrossRef]
- Taghibiglou, C.; Rashid-Kolvear, F.; Van Iderstine, S.C.; Le-Tien, H.; Fantus, I.G.; Lewis, G.F.; Adeli, K. Hepatic very low density lipoprotein-ApoB overproduction is associated with attenuated hepatic insulin signaling and overexpression of protein-tyrosine phosphatase 1B in a fructose-fed hamster model of insulin resistance. J. Biol. Chem. 2002, 277, 793–803. [Google Scholar] [CrossRef]
- Zhou, B.; Liu, S.; Yuan, G. Combined Associations of Serum Ferritin and Body Size Phenotypes With Cardiovascular Risk Profiles: A Chinese Population-Based Study. Front. Public Health 2021, 9, 550011. [Google Scholar] [CrossRef]
- Li, B.; Lin, W.; Lin, N.; Dong, X.; Liu, L. Study of the correlation between serum ferritin levels and the aggregation of metabolic disorders in non-diabetic elderly patients. Exp. Ther. Med. 2014, 7, 1671–1676. [Google Scholar] [CrossRef][Green Version]
- Li, J.; Bao, W.; Zhang, T.; Zhou, Y.; Yang, H.; Jia, H.; Wang, R.; Cao, Y.; Xiao, C. Independent relationship between serum ferritin levels and dyslipidemia in Chinese adults: A population study. PLoS ONE 2017, 12, e0190310. [Google Scholar] [CrossRef] [PubMed]
- Bouglé, D.; Brouard, J. Iron in child obesity. Relationships with inflammation and metabolic risk factors. Nutrients 2013, 5, 2222–2230. [Google Scholar] [CrossRef]
- Lee, H.J.; Jang, H.B.; Park, J.E.; Park, K.H.; Kang, J.H.; Park, S.I.; Song, J. Relationship between Serum Levels of Body Iron Parameters and Insulin Resistance and Metabolic Syndrome in Korean Children. Osong Public Health Res. Perspect. 2014, 5, 204–210. [Google Scholar] [CrossRef]
- Vinchi, F.; Porto, G.; Simmelbauer, A.; Altamura, S.; Passos, S.T.; Garbowski, M.; Silva, A.M.N.; Spaich, S.; Seide, S.E.; Sparla, R.; et al. Atherosclerosis is aggravated by iron overload and ameliorated by dietary and pharmacological iron restriction. Eur. Heart J. 2020, 41, 2681–2695. [Google Scholar] [CrossRef]
- Zhou, L.; Zhao, B.; Zhang, L.; Wang, S.; Dong, D.; Lv, H.; Shang, P. Alterations in Cellular Iron Metabolism Provide More Therapeutic Opportunities for Cancer. Int. J. Mol. Sci. 2018, 19, 1545. [Google Scholar] [CrossRef]
- Wang, X.A.-O.; Fang, X.A.-O.; Zheng, W.; Zhou, J.; Song, Z.; Xu, M.A.-O.; Min, J.A.-O.; Wang, F.A.-O. Genetic Support of A Causal Relationship Between Iron Status and Type 2 Diabetes: A Mendelian Randomization Study. J. Clin. Endocrinol. Metab. 2021, 106, e4641–e4651. [Google Scholar] [CrossRef] [PubMed]
- Etemadi, A.; Sinha, R.; Ward, M.H.; Graubard, B.I.; Inoue-Choi, M.; Dawsey, S.M.; Abnet, C.C. Mortality from different causes associated with meat, heme iron, nitrates, and nitrites in the NIH-AARP Diet and Health Study: Population based cohort study. BMJ 2017, 357, j1957. [Google Scholar] [CrossRef]
- Zhu, Y.; He, B.; Xiao, Y.; Chen, Y. Iron metabolism and its association with dyslipidemia risk in children and adolescents: A cross-sectional study. Lipids Health Dis. 2019, 18, 50. [Google Scholar] [CrossRef]
- Waheed, P.; Naveed, A.K.; Farooq, F. Levels of inflammatory markers and their correlation with dyslipidemia in diabetics. J. Coll. Physicians Surg. Pak. 2009, 19, 207–210. [Google Scholar] [PubMed]
- Johnson, C.L.; Paulose-Ram, R.; Ogden, C.L.; Carroll, M.D.; Kruszon-Moran, D.; Dohrmann, S.M.; Curtin, L.R. National health and nutrition examination survey: Analytic guidelines, 1999–2010. Vital Health Stat. Ser. 10 Data Natl. Health Surv. 2013, 161, 1–24. [Google Scholar]
- National Health and Nutrition Examination Survey. Available online: https://www.cdc.gov/nchs/nhanes/index.htm (accessed on 1 February 2023).
- 2017-March 2020 Pre-Pandemic Laboratory Data-Continuous NHANES. Available online: https://wwwn.cdc.gov/nchs/nhanes/search/datapage.aspx?Component=Laboratory&Cycle=2017-2020 (accessed on 1 February 2023).
- National Cholesterol Education Program (NCEP) Expert Panel on Detection, Evaluation, and Treatment of High Blood Cholesterol in Adults (Adult Treatment Panel III). Third Report of the National Cholesterol Education Program (NCEP) Expert Panel on Detection, Evaluation, and Treatment of High Blood Cholesterol in Adults (Adult Treatment Panel III) final report. Circulation 2002, 106, 3143–3421. [Google Scholar] [CrossRef]
- Gu, T.; Zhou, W.; Sun, J.; Wang, J.; Zhu, D.; Bi, Y. Gender and Age Differences in Lipid Profile Among Chinese Adults in Nanjing: A Retrospective Study of Over 230,000 Individuals from 2009 to 2015. Exp. Clin. Endocrinol. Diabetes 2018, 126, 429–436. [Google Scholar] [CrossRef]
- Pu, J.; Romanelli, R.; Zhao, B.; Azar, K.M.; Hastings, K.G.; Nimbal, V.; Fortmann, S.P.; Palaniappan, L.P. Dyslipidemia in special ethnic populations. Cardiol. Clin. 2015, 33, 325–333. [Google Scholar] [CrossRef] [PubMed]
- Han, L.L.; Wang, Y.X.; Li, J.; Zhang, X.L.; Bian, C.; Wang, H.; Du, S.; Suo, L.N. Gender differences in associations of serum ferritin and diabetes, metabolic syndrome, and obesity in the China Health and Nutrition Survey. Mol. Nutr. Food Res. 2014, 58, 2189–2195. [Google Scholar] [CrossRef]
- Sullivan, J.L. Iron and the sex difference in heart disease risk. Lancet 1981, 1, 1293–1294. [Google Scholar] [CrossRef]
- Shipra; Gupta, B.K.; Solanki, R.; Punia, H.; Agarwal, V.; Kaur, J.; Shukla, A. Relationship of Lipid Profile and Serum Ferritin levels with Acute Myocardial Infarction. J. Clin. Diagn. Res. 2014, 8, CC10–CC13. [Google Scholar] [CrossRef]
- Adediran, A.; Uche, E.I.; Adeyemo, T.A.; Damulak, D.O.; Akinbami, A.A.; Akanmu, A.S. Iron stores in regular blood donors in Lagos, Nigeria. J. Blood Med. 2013, 4, 75–80. [Google Scholar] [CrossRef][Green Version]
- Pirillo, A.A.-O.; Casula, M.; Olmastroni, E.A.-O.X.; Norata, G.D.; Catapano, A.A.-O. Global epidemiology of dyslipidemias. Nat. Rev. Cardiol. 2021, 18, 689–700. [Google Scholar] [CrossRef]
- Al Akl, N.S.; Khalifa, O.; Errafii, K.; Arredouani, A. Association of dyslipidemia, diabetes and metabolic syndrome with serum ferritin levels: A middle eastern population-based cross-sectional study. Sci. Rep. 2021, 11, 24080. [Google Scholar] [CrossRef]
- Kim, Y.E.; Kim, D.H.; Roh, Y.K.; Ju, S.Y.; Yoon, Y.J.; Nam, G.E.; Nam, H.Y.; Choi, J.S.; Lee, J.E.; Sang, J.E.; et al. Relationship between Serum Ferritin Levels and Dyslipidemia in Korean Adolescents. PLoS ONE 2016, 11, e0153167. [Google Scholar] [CrossRef] [PubMed]
- Janus, J.; Moerschel, S.K. Evaluation of anemia in children. Am. Fam. Physician 2010, 81, 1462–1471. [Google Scholar]
- Jehn, M.; Clark, J.M.; Guallar, E. Serum ferritin and risk of the metabolic syndrome in U.S. adults. Diabetes Care 2004, 27, 2422–2428. [Google Scholar] [CrossRef] [PubMed]
- Recalcati, S.; Invernizzi, P.; Fau-Arosio, P.; Arosio, P. Fau-Cairo, G.; Cairo, G. New functions for an iron storage protein: The role of ferritin in immunity and autoimmunity. J. Autoimmun. 2008, 30, 84–89. [Google Scholar] [CrossRef] [PubMed]
- Dos Santos Vieira, D.A.; Hermes Sales, C.; Galvao Cesar, C.L.; Marchioni, D.M.; Fisberg, R.M. Influence of Haem, Non-Haem, and Total Iron Intake on Metabolic Syndrome and Its Components: A Population-Based Study. Nutrients 2018, 10, 314. [Google Scholar] [CrossRef]
- Sengsuk, C.; Tangvarasittichai, O.; Chantanaskulwong, P.; Pimanprom, A.; Wantaneeyawong, S.; Choowet, A.; Tangvarasittichai, S. Association of Iron Overload with Oxidative Stress, Hepatic Damage and Dyslipidemia in Transfusion-Dependent beta-Thalassemia/HbE Patients. Indian J. Clin. Biochem. 2014, 29, 298–305. [Google Scholar] [CrossRef]
- Tran, T.N.; Eubanks, S.K.; Schaffer, K.J.; Zhou, C.Y.; Linder, M.C. Secretion of ferritin by rat hepatoma cells and its regulation by inflammatory cytokines and iron. Blood 1997, 90, 4979–4986. [Google Scholar] [CrossRef]
- Chen, L.; Li, Y.; Zhang, F.; Zhang, S.; Zhou, X.; Ji, L. Association of serum ferritin levels with metabolic syndrome and insulin resistance in a Chinese population. J. Diabetes Complicat. 2017, 31, 364–368. [Google Scholar] [CrossRef] [PubMed]



| Characteristics | Total (%) | Gender | p Value | |
|---|---|---|---|---|
| n = 2676 | Males (%) | Females (%) | ||
| n = 1290 (48.2) | n = 1386 (51.8) | |||
| Age | 0.246 | |||
| 20–44 | 1257 (47.0) | 603 (46.7) | 654 (47.2) | |
| 45–64 | 984 (36.8) | 462 (35.8) | 522 (37.7) | |
| ≥65 | 435 (16.3) | 225 (17.4) | 210 (15.2) | |
| Race/Ethnicity (%) | 0.365 | |||
| Mexican American | 352 (13.2) | 177 (13.7) | 175 (12.6) | |
| Non-Hispanic White | 880 (32.9) | 440 (34.1) | 440 (31.7) | |
| Non-Hispanic Black | 693 (25.9) | 331 (25.7) | 362 (26.1) | |
| Non-Hispanic Asian | 332 (12.4) | 147 (11.4) | 185 (13.3) | |
| Others | 419 (15.7) | 195 (15.1) | 224 (16.2) | |
| Six-month time period | 0.806 | |||
| 1 November through 30 April | 1412(52.8) | 677(52.5) | 735(53.0) | |
| 1 May through 31 October | 1264(47.2) | 613(47.5) | 651(47.0) | |
| Education level (%) | 0.004 | |||
| High school and below | 1088 (40.7) | 562 (43.6) | 526 (38.0) | |
| Above high school | 1588 (59.3) | 728 (56.4) | 860 (62.0) | |
| Marital status (%) | <0.001 | |||
| Married/Living with Partner | 1534 (57.3) | 782 (60.6) | 752 (54.3) | |
| Widowed/Divorced/Separated | 530 (19.8) | 214 (16.6) | 316 (22.8) | |
| Never married | 612 (22.9) | 294 (22.8) | 318 (22.9) | |
| Drinking status (%) | <0.001 | |||
| Yes | 2446 (91.4) | 1220 (94.6) | 1226 (88.5) | |
| No | 230 (8.60) | 70 (5.40) | 160 (11.5) | |
| Smoking status (%) | <0.001 | |||
| Yes | 1095 (40.9) | 648 (50.2) | 447 (32.3) | |
| No | 1581 (59.1) | 642 (49.8) | 939 (67.7) | |
| BMI * | 29.57 ± 7.49 | 28.75 ± 6.30 | 30.33 ± 8.37 | <0.001 |
| Hypertension (%) | 0.536 | |||
| Yes | 792 (29.6) | 374 (29.0) | 418 (30.2) | |
| No | 1884 (70.4) | 916 (71.0) | 968 (69.8) | |
| Daily total energy intake (kcal) | 1989.00 (1431.00, 2694.00) | 2349.50 (1718.25, 3084.00) | 1731.00 (1273.00, 2290.50) | <0.001 |
| Daily total fat intake (gm) | 77.32 (53.44, 112.03) | 90.28 (60.41, 127.38) | 68.09 (47.97, 96.80) | <0.001 |
| SF ^ (μg/L) | 106.00 (51.05, 199.25) | 164.50 (103.00, 263.75) | 64.35 (32.23, 120.75) | <0.001 |
| TC ^ (mmol/L) | 4.76 (4.14, 5.48) | 4.73 (4.11, 5.40) | 4.81 (4.16, 5.51) | 0.114 |
| LDL-C ^ (mmol/L) | 2.87 (2.30, 3.49) | 2.90 (2.33, 3.52) | 2.85 (2.28, 3.44) | 0.042 |
| TG ^ (mmol/L) | 0.95 (0.66, 1.41) | 1.04 (0.69, 1.53) | 0.88 (0.63, 1.31) | <0.001 |
| HDL-C ^ (mmol/L) | 1.32 (1.11, 1.58) | 1.22 (1.04, 1.47) | 1.42 (1.22, 1.71) | <0.001 |
| Blood Lipid% 1 (mmol/L) | Serum Ferritin (95% CI) | |||
|---|---|---|---|---|
| Males | p-Value | Females | p-Value | |
| TC | 1.65 (0.05, 3.29) | 0.044 | 1.63 (0.39, 2.87) | 0.010 |
| LDL-C | 1.66 (−0.84, 4.22) | 0.195 | 2.72 (0.78, 4.70) | 0.006 |
| TG | 5.69 (1.48, 10.07) | 0.008 | 3.51 (0.49, 6.62) | 0.022 |
| HDL-C | −0.13 (−1.93, 1.70) | 0.887 | −1.39 (−2.87, 0.11) | 0.070 |
| Variables | Category of Daily Total Iron Intake, μg/L; OR (95% CI) | p Trend | |||||
|---|---|---|---|---|---|---|---|
| Gender (n = 2525) | Dyslipidemia Type | Model | Q1 | Q2 | Q3 | Q4 | |
| Males (n = 1307) | |||||||
| High TC | Crude | 1.00 (ref.) | 1.27 (0.73, 2.21) | 1.14 (0.65, 2.00) | 1.00 (0.56, 1.78) | 0.797 | |
| Adjusted | 1.00 (ref.) | 1.38 (0.76, 2.51) | 1.43 (0.73, 2.81) | 1.51 (0.68, 3.37) | 0.691 | ||
| High LDL-C | Crude | 1.00 (ref.) | 1.07 (0.64, 1.79) | 0.80 (0.46, 1.37) | 0.83 (0.48, 1.42) | 0.644 | |
| Adjusted | 1.00 (ref.) | 1.25 (0.72, 2.18) | 1.08 (0.56, 2.08) | 1.39 (0.65, 2.96) | 0.763 | ||
| High TG | Crude | 1.00 (ref.) | 1.19 (0.67, 2.10) | 1.62 (0.95, 2.79) | 1.18 (0.67, 2.09) | 0.336 | |
| Adjusted | 1.00 (ref.) | 1.27 (0.69, 2.34) | 1.71 (0.91, 3.22) | 1.35 (0.64, 2.86) | 0.395 | ||
| Low HDL-C | Crude | 1.00 (ref.) | 1.17 (0.81, 1.70) | 0.89 (0.62, 1.27) | 1.09 (0.76, 1.58) | 0.475 | |
| Adjusted | 1.00 (ref.) | 1.03 (0.68, 1.55) | 0.86 (0.55, 1.32) | 0.97 (0.59, 1.61) | 0.808 | ||
| Females (n = 1218) | |||||||
| High TC | Crude | 1.00 (ref.) | 0.94 (0.58, 1.53) | 0.98 (0.6, 1.58) | 0.63 (0.37, 1.06) | 0.261 | |
| Adjusted | 1.00 (ref.) | 0.97 (0.57, 1.65) | 0.93 (0.52, 1.67) | 0.65 (0.32, 1.31) | 0.560 | ||
| High LDL-C | Crude | 1.00 (ref.) | 0.87 (0.52, 1.46) | 0.94 (0.57, 1.57) | 0.68 (0.39, 1.17) | 0.526 | |
| Adjusted | 1.00 (ref.) | 0.98 (0.56, 1.71) | 1.10 (0.60, 2.03) | 0.87 (0.42, 1.77) | 0.884 | ||
| High TG | Crude | 1.00 (ref.) | 1.39 (0.63, 3.06) | 2.60 (1.27, 5.34) | 1.37 (0.62, 3.03) | 0.037 | |
| Adjusted | 1.00 (ref.) | 1.56 (0.67, 3.64) | 3.16 (1.38, 7.23) | 1.53 (0.57, 4.12) | 0.020 | ||
| Low HDL-C | Crude | 1.00 (ref.) | 1.21 (0.88, 1.66) | 1.17 (0.85, 1.61) | 0.98 (0.72, 1.35) | 0.454 | |
| Adjusted | 1.00 (ref.) | 1.11 (0.78, 1.58) | 0.99 (0.68, 1.46) | 0.81 (0.53, 1.25) | 0.427 | ||
Disclaimer/Publisher’s Note: The statements, opinions and data contained in all publications are solely those of the individual author(s) and contributor(s) and not of MDPI and/or the editor(s). MDPI and/or the editor(s) disclaim responsibility for any injury to people or property resulting from any ideas, methods, instructions or products referred to in the content. |
© 2023 by the authors. Licensee MDPI, Basel, Switzerland. This article is an open access article distributed under the terms and conditions of the Creative Commons Attribution (CC BY) license (https://creativecommons.org/licenses/by/4.0/).
Share and Cite
Li, G.; Yu, W.; Yang, H.; Wang, X.; Ma, T.; Luo, X. Relationship between Serum Ferritin Level and Dyslipidemia in US Adults Based on Data from the National Health and Nutrition Examination Surveys 2017 to 2020. Nutrients 2023, 15, 1878. https://doi.org/10.3390/nu15081878
Li G, Yu W, Yang H, Wang X, Ma T, Luo X. Relationship between Serum Ferritin Level and Dyslipidemia in US Adults Based on Data from the National Health and Nutrition Examination Surveys 2017 to 2020. Nutrients. 2023; 15(8):1878. https://doi.org/10.3390/nu15081878
Chicago/Turabian StyleLi, Guohua, Wenlu Yu, Hexiang Yang, Xinyue Wang, Tianyou Ma, and Xiaoqin Luo. 2023. "Relationship between Serum Ferritin Level and Dyslipidemia in US Adults Based on Data from the National Health and Nutrition Examination Surveys 2017 to 2020" Nutrients 15, no. 8: 1878. https://doi.org/10.3390/nu15081878
APA StyleLi, G., Yu, W., Yang, H., Wang, X., Ma, T., & Luo, X. (2023). Relationship between Serum Ferritin Level and Dyslipidemia in US Adults Based on Data from the National Health and Nutrition Examination Surveys 2017 to 2020. Nutrients, 15(8), 1878. https://doi.org/10.3390/nu15081878

