Repeated 28-Day Oral Toxicological Study and Gastroprotective Effects of Nigella sativa L. Oil (Shuhada) against Ethanol-Induced Gastric Mucosal Injury in Rats
Abstract
1. Introduction
2. Materials and Methods
2.1. Preparation of BSO
2.2. Experimental Animals
2.3. Ethanol-induced Gastric Ulceration
- 1 mL/kg body weight (BW) distilled water-treated + ethanol-treated group (control group),
- 20 mg/kg omeprazole + ethanol-treated group (positive group),
- 1 mL/kg BW of 100% BSO + ethanol-treated group (H-BSO group),
- 1 mL/kg BW of 50% BSO + ethanol-treated group (L-BSO group)
2.4. Gross Evaluations of Gastric Tissue
2.5. Measurement of Gastric Mucus Content
2.6. Histopathology of Gastric Tissue
2.7. Assessment of 28-day Repeated-Dose Oral Toxicity
2.8. Assessment of Biochemical Parameters
2.9. Assessment of Hematological Parameters
2.10. Relative Weight of Organs
2.11. H&E Staining of Vital Organs
2.12. Quantification of TQ Using High-Performance Liquid Chromatography
2.13. Statistical Analysis
3. Results
3.1. Effects of BSO on Gross Gastric Mucosal Injury
3.2. Effects of BSO on Gastric Juice pH and Gastric Wall Mucus
3.3. Gastric Ulcer Model Pretreated with BSO
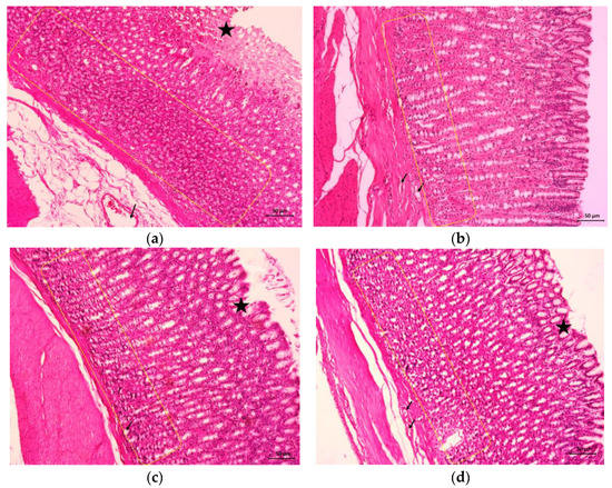
3.4. Effects of BSO on Gastric Ulcer Evaluated by Histopathology
3.5. Effects of BSO on Subacute Oral Toxicity
3.5.1. Clinical Signs and Mortality
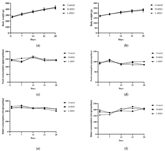
3.5.2. Body Weight, and Food and Water Consumption
3.5.3. Biochemical Analysis
3.5.4. Hematological Analysis
3.5.5. Relative Vital Organ Weight
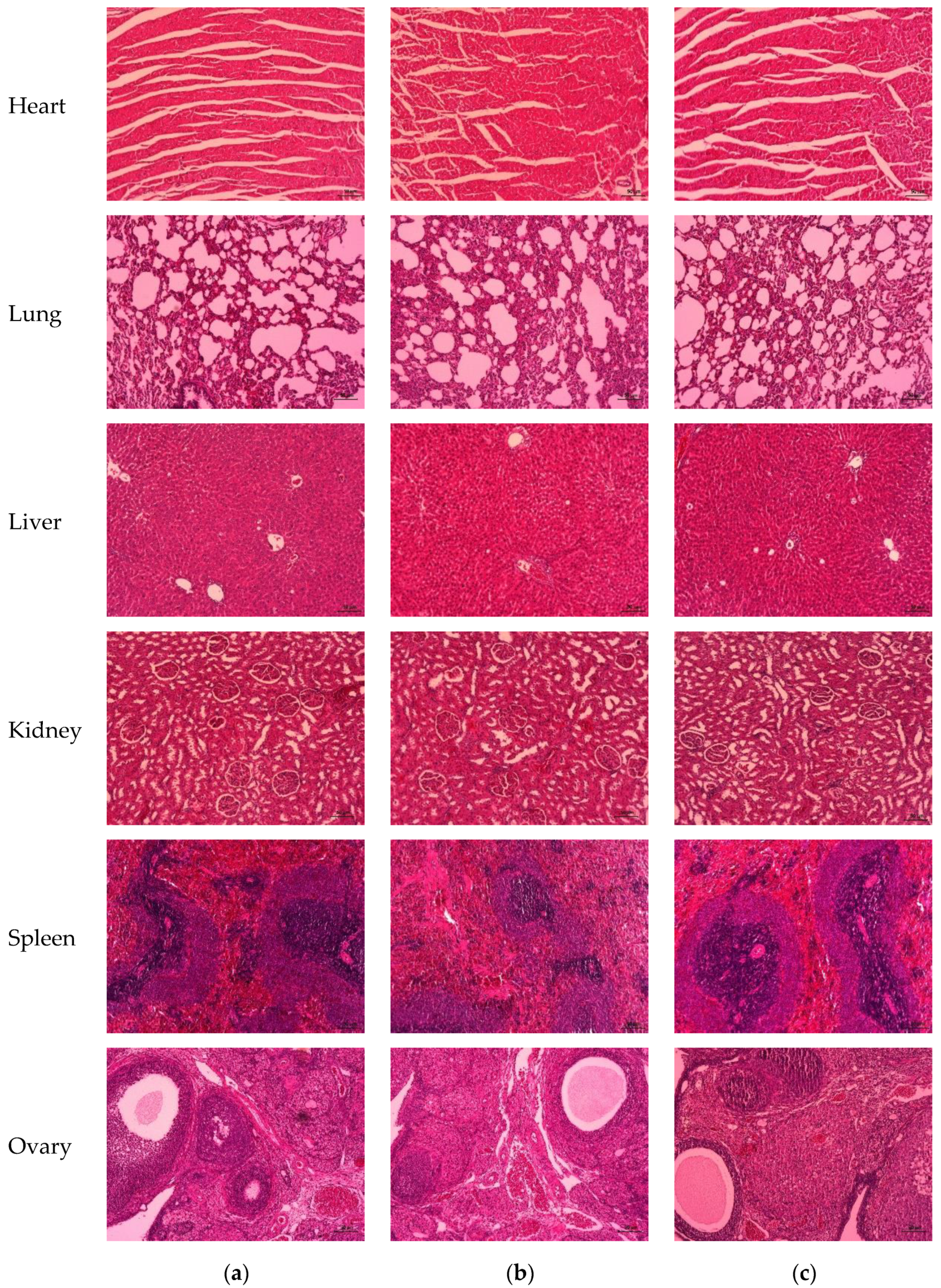
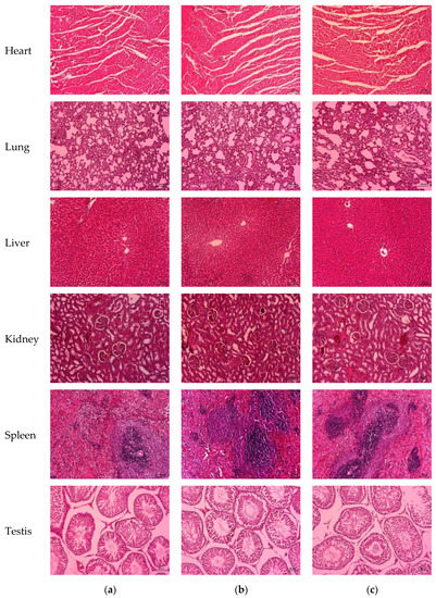
3.5.6. Histopathology of Vital Organs
3.5.7. TQ Contents in BSO
4. Discussion
5. Conclusions
Author Contributions
Funding
Institutional Review Board Statement
Informed Consent Statement
Data Availability Statement
Acknowledgments
Conflicts of Interest
References
- Alrawi, S.N.; Fetters, M.D. Traditional arabic & islamic medicine: A conceptual model for clinicians and researchers. Glob. J. Health Sci. 2012, 4, 164–169. [Google Scholar] [PubMed]
- Koshak, A.; Koshak, E.; Heinrich, M. Medicinal benefits of Nigella sativa in bronchial asthma: A literature review. Saudi Pharm. J. 2017, 25, 1130–1136. [Google Scholar] [CrossRef] [PubMed]
- Yimer, E.M.; Tuem, K.B.; Karim, A.; Ur-Rehman, N.; Anwar, F. Nigella sativa L. (black uumin): A promising natural remedy for wide range of illnesses. Evid. Based Complement. Alternat. Med. 2019, 2019, 1528635. [Google Scholar] [CrossRef]
- Tavakkoli, A.; Mahdian, V.; Razavi, B.M.; Hosseinzadeh, H. Review on clinical trials of black seed (Nigella sativa) and it’s active constituent, thymoquinone. J. Pharmacopunct. 2017, 20, 179–193. [Google Scholar]
- El-Dakhakhny, M.; Barakat, M.; El-Halim, M.A.; Aly, S.M. Effects of Nigella sativa oil on gastric secretion and ethanol induced ulcer in rats. J. Ethnopharmacol. 2000, 72, 299–304. [Google Scholar] [CrossRef]
- Kanter, M.; Demir, H.; Karakaya, C.; Ozbek, H. Gastroprotective activity of Nigella sativa L oil and its constituent, thymoquinone against acute alcohol-induced gastric mucosal injury in rats. World J. Gastroenterol. 2005, 11, 6662–6666. [Google Scholar] [CrossRef]
- Kanter, M.; Coskun, O.; Uysal, H. The antioxidative and antihistaminic effect of Nigella sativa and its major constituent, thymoquinone on ethanol-induced gastric mucosal damage. Arch. Toxicol. 2006, 80, 217–224. [Google Scholar] [CrossRef]
- El-Masry, T.A.; Elahwel, A.M.; Emara, A.M. Study on treating ethanol-induced gastric lesions with omeprazole, Nigella sativa oil, or both. Toxicol. Environ. Chem 2010, 92, 1765–1782. [Google Scholar] [CrossRef]
- Obakiro, S.B.; Kiprop, A.; Kigondu, E.; K’owino, I.; Kiyimba, K.; Drago Kato, C.; Gavamukulya, Y. Sub-acute toxicity effects of methanolic stem bark extract of Entada abyssinica on biochemical, haematological and histopathological parameters in Wistar albino rats. Front. Pharmacol. 2021, 12, 740305. [Google Scholar] [CrossRef]
- Khan, S.A.; Khan, A.M.; Karim, S.; Kamal, M.A.; Damanhouri, G.A.; Mirza, Z. Panacea seed “Nigella”: A review focusing on regenerative effects for gastric ailments. Saudi J. Biol. Sci. 2016, 23, 542–553. [Google Scholar] [CrossRef]
- Mousa, A.M.; El-Sammad, N.M.; Hassan, S.K.; Madboli, A.E.N.A.; Hashim, A.N.; Moustafa, E.S.; Bakry, S.M.; Elsayed, E.A. Antiulcerogenic effect of Cuphea ignea extract against ethanol-induced gastric ulcer in rats. BMC Complement. Altern. Med. 2019, 19, 345. [Google Scholar] [CrossRef] [PubMed]
- Benrahou, K.; Mrabti, H.N.; Assaggaf, H.M.; Mortada, S.; Salhi, N.; Rouas, L.; El Bacha, R.; Dami, A.; Masrar, A.; Alshahrani, M.M.; et al. Acute and subacute toxicity studies of Erodium guttatum extracts by oral administration in rodents. Toxins 2022, 14, 735. [Google Scholar] [CrossRef] [PubMed]
- Shams, S.G.E.; Eissa, R.G. Amelioration of ethanol-induced gastric ulcer in rats by quercetin: Implication of Nrf2/HO1 and HMGB1/TLR4/NF-κB pathways. Heliyon 2022, 8, e11159. [Google Scholar] [CrossRef]
- Jabbar, A.A.; Abdullah, F.O.; Abdoulrahman, K.; Galali, Y.; Ibrahim, I.A.A.; Alzahrani, A.R.; Hassan, R.R. Gastroprotective, biochemical and acute toxicity effects of Papaver decaisnei against ethanol-induced gastric ulcers in rats. Processes 2022, 10, 1985. [Google Scholar] [CrossRef]
- Rahman, Z.; Dwivedi, D.K.; Jena, G.B. Ethanol-induced gastric ulcer in rats and intervention of tert-butylhydroquinone: Involvement of Nrf2/HO-1 signalling pathway. Hum. Exp. Toxicol. 2020, 39, 547–562. [Google Scholar] [CrossRef]
- Gupta, P.C.; Kar, A.; Sharma, N.; Singh, P.K.; Goswami, N.K.; Kumar, S. Protective effect of standardised fruit extract of Garcinia cowa Roxb. ex Choisy against ethanol induced gastric mucosal lesions in Wistar rats. Ann. Med. 2021, 53, 1696–1708. [Google Scholar] [CrossRef]
- Raish, M.; Shahid, M.; Bin Jardan, Y.A.; Ansari, M.A.; Alkharfy, K.M.; Ahad, A.; Abdelrahman, I.A.; Ahmad, A.; Al-Jenoobi, F.I. Gastroprotective effect of sinapic acid on ethanol-induced gastric ulcers in rats: Involvement of Nrf2/HO-1 and NF-κB signaling and antiapoptotic role. Front. Pharmacol. 2021, 12, 622815. [Google Scholar] [CrossRef]
- Sistani Karampour, N.; Arzi, A.; Rezaie, A.; Pashmforoosh, M.; Kordi, F. Gastroprotective effect of zingerone on ethanol-induced gastric ulcers in rats. Medicina (Kaunas) 2019, 55, 64. [Google Scholar] [CrossRef]
- Attia, H.N.; Ibrahim, F.M.; Maklad, Y.A.; Ahmed, K.A.; Ramadan, M.F. Characterization of antiradical and anti-inflammatory activities of some cold pressed oils in carrageenan-induced rat model of acute inflammation. Der Pharma Chem. 2016, 8, 148–158. [Google Scholar]
- Dwita, L.P.; Yati, K.; Gantini, S.N. The anti-inflammatory activity of nigella sativa balm sticks. Sci. Pharm. 2019, 87, 3. [Google Scholar] [CrossRef]
- Mohamad, N.S.; Muhamud, N.A.S.A.; Itri, S. Screening of Thymoquinone (Tq) content in Nigella sativa-based herbal medical products. J. Nat. Prod. Plant Resour. 2018, 8, 41–45. [Google Scholar]
- Habib, N.; Choudhry, S. HPLC quantification of thymoquinone extracted from Nigella sativa L. (ranunculaceae) seeds and antibacterial activity of its extracts against Bacillus species. Evid. Based Complement. Alternat. Med. 2021, 2021, 6645680. [Google Scholar] [CrossRef] [PubMed]
- Hossen, M.J.; Yang, W.S.; Kim, D.; Aravinthan, A.; Kim, J.H.; Cho, J.Y. Thymoquinone: An IRAK1 inhibitor with in vivo and in vitro anti-inflammatory activities. Sci. Rep. 2017, 7, 42995. [Google Scholar] [CrossRef]
- Aziz, N.; Son, Y.J.; Cho, J.Y. Thymoquinone suppresses irf-3-mediated expression of type i interferons via suppression of tbk1. Int. J. Mol. Sci. 2018, 19, 1355. [Google Scholar] [CrossRef]
- Mashayekhi-Sardoo, H.; Rezaee, R.; Karimi, G. Nigella sativa (black seed) safety: An overview. Asian Biomed. 2020, 14, 127–137. [Google Scholar] [CrossRef]







| Groups | pH Value | Mucin Content (μg Alcian Blue/g of Tissue) |
|---|---|---|
| Control | 2.33 ± 0.21 a | 16.95 ± 0.04 b |
| Omeprazole | 3.67 ± 0.21 *,b | 21.33 ± 2.23 *,a |
| H-BSO | 2.50 ± 0.22 *,a | 22.64 ± 1.15 *,a |
| L-BSO | 3.50 ± 0.22 *,b | 21.64 ± 0.66 *,a |
| Groups/Parameters | Control | Omeprazole | H-BSO | L-BSO |
|---|---|---|---|---|
| WBC (cells/mm3) | 6825.00 ± 832.04 b | 5875.00 ± 535.99 ab | 4250.00 ± 259.81 a | 5275.00 ± 464.35 ab |
| Neutrophils (%) | 17.00 ± 2.27 b | 11.00 ± 1.73 a | 11.25 ± 0.48 a | 15.25 ± 0.85 ab |
| Lymphocyte (%) | 86.50 ± 0.87 b | 85.75 ± 0.25 ab | 86.50 ± 0.87 b | 83.00 ± 0.41 a |
| Eosinophils (%) | 0.33 ± 0.21 a | 0.17 ± 0.10 a | 0.17 ± 0.10 a | 0.00 ± 0.00 a |
| Monocytes (%) | 0.17 ± 0.00 a | 0.00 ± 0.00 a | 0.00 ± 0.00 a | 0.00 ± 0.00 a |
| Basophils (%) | 0.00 ± 0.00 a | 0.00 ± 0.00 a | 0.00 ± 0.00 a | 0.00 ± 0.00 a |
| Groups | Total Animals | Observed Clinical Signs | Duration of Clinical Signs (Days) | Mortality |
|---|---|---|---|---|
| Male | ||||
| Control | 6 | Nil | 28 | 0/6 |
| H-BSO | 6 | Nil | 28 | 0/6 |
| L-BSO | 6 | Nil | 28 | 0/6 |
| Female | ||||
| Control | 6 | Nil | 28 | 0/6 |
| H-BSO | 6 | Nil | 28 | 0/6 |
| L-BSO | 6 | Nil | 28 | 0/6 |
| Groups/Parameters | Control | H-BSO | L-BSO |
|---|---|---|---|
| Male | |||
| Blood urea nitrogen (mg/dL) | 18.67 ± 0.33 a | 17.83 ± 0.65 a | 18.83 ± 0.82 a |
| Creatinine (mg/dL) | 0.39 ± 0.02 ab | 0.43 ± 0.03 b | 0.30 ± 0.01 a |
| Cholesterol (mg/dL) | 61.67 ± 2.26 a | 60.17 ± 1.17 a | 65.83 ± 2.95 a |
| Triglyceride (mg/dL) | 266.83 ± 24.48 a | 178.83 ± 28.72 a | 214.00 ± 25.33 a |
| High-density lipoprotein (mg/dL) | 53.83 ± 17.87 a | 55.17 ± 19.62 a | 66.33 ± 26.48 a |
| Low-density lipoprotein (mg/dL) | 45.67 ± 15.19 a | 43.00 ± 16.24 a | 45.33 ± 28.49 a |
| Total protein (g/dL) | 7.17 ± 0.02 a | 7.33 ± 0.17 a | 7.23 ± 0.56 a |
| Albumin (g/dL) | 3.12 ± 0.05 a | 3.08 ± 0.05 a | 3.17 ± 0.04 a |
| Total bilirubin (mg/dL) | 0.97 ± 0.10 a | 1.15 ± 0.22 a | 1.67 ± 0.35 a |
| Aspartate aminotransferase (U/L) | 183.00 ± 5.61 a | 186.17 ± 12.84 a | 195.33 ± 10.50 a |
| Alanine aminotransferase (U/L) | 36.67 ± 1.38 a | 36.67 ± 1.52 a | 34.50 ± 1.23 a |
| Alkaline phosphatase (U/L) | 90.83 ± 7.91 a | 94.17 ± 9.60 a | 90.56 ± 4.12 a |
| Female | |||
| Blood urea nitrogen (mg/dL) | 18.17 ± 0.65 a | 18.00 ± 0.52 a | 18.67 ± 0.21 a |
| Creatinine (mg/dL) | 0.40 ± 0.04 a | 0.37 ± 0.03 a | 0.35 ± 0.02 a |
| Cholesterol (mg/dL) | 62.50 ± 1.06 b | 57.83 ± 1.25 a | 58.00 ± 1.26 a |
| Triglyceride (mg/dL) | 167.17 ± 29.19 a | 91.83 ± 8.31 a | 123.83 ± 18.63 a |
| High-density lipoprotein (mg/dL) | 41.33 ± 2.17 a | 42.67 ± 3.35 a | 41.00 ± 2.29 a |
| Low-density lipoprotein (mg/dL) | 13.33 ± 4.40 a | 9.67 ± 2.35 a | 10.17 ± 4.20 a |
| Total protein (g/dL) | 7.23 ± 0.03 a | 7.23 ± 0.02 a | 7.32 ± 0.01 a |
| Albumin (g/dL) | 2.98 ± 0.31 a | 3.43 ± 0.07 ab | 3.92 ± 0.06 b |
| Total bilirubin (mg/dL) | 0.98 ± 0.09 a | 0.83 ± 0.12 a | 1.03 ± 0.70 a |
| Aspartate aminotransferase (U/L) | 176.33 ± 6.28 a | 162.00 ± 10.15 a | 186.50 ± 11.03 a |
| Alanine aminotransferase (U/L) | 37.00 ± 1.37 a | 37.50 ± 1.54 a | 36.50 ± 1.52 a |
| Alkaline phosphatase (U/L) | 82.17 ± 7.78 a | 77.16 ± 6.88 a | 74.67 ± 6.30 a |
| Groups/Parameters | Control | H-BSO | L-BSO |
|---|---|---|---|
| Male | |||
| Red blood cells (×106/µL) | 7.42 ± 0.56 a | 7.35 ± 0.14 a | 7.34 ± 0.15 a |
| Hemoglobin (g/dL) | 15.62 ± 0.38 a | 15.38 ± 0.21 a | 15.43 ± 0.21 a |
| Hematocrit (%) | 44.67 ± 1.56 a | 44.60 ± 0.97 a | 44.60 ± 0.91 a |
| Mean corpuscular volume (fL) | 60.28 ± 0.58 a | 60.70 ± 0.86 a | 60.85 ± 0.51 a |
| Mean corpuscular hemoglobin (pg) | 21.03 ± 0.30 a | 22.55 ± 1.67 a | 20.98 ± 0.15 a |
| Mean corpuscular hemoglobin concentration (g/dL) | 34.97 ± 0.40 a | 34.50 ± 0.53 a | 34.57 ± 0.32 a |
| Red blood cell distribution width (%) | 15.58 ± 0.28 a | 15.11 ± 0.25 a | 15.42 ± 0.26 a |
| Platelets (cells/mm3) | 468,666.67 ± 9639.04 a | 503,333.33 ± 18,012.34 a | 493,000.00 ± 26,609.52 a |
| White blood cells (cells/mm3) | 4583.33 ± 791.38 a | 3650.00 ± 784.75 a | 2916.67 ± 628.98 a |
| Neutrophils (%) | 15.33 ± 1.98 a | 13.17 ± 0.95 a | 14.00 ± 0.93 a |
| Lymphocyte (%) | 84.66 ± 1.98 a | 86.67 ± 0.84 a | 86.00 ± 0.93 a |
| Eosinophils (%) | 0.00 ± 0.00 a | 0.00 ± 0.00 a | 0.00 ± 0.00 a |
| Basophils (%) | 0.00 ± 0.00 a | 0.00 ± 0.00 a | 0.00 ± 0.00 a |
| Monocytes (%) | 0.00 ± 0.00 a | 0.00 ± 0.00 a | 0.00 ± 0.00 a |
| Red blood cells (×106/µL) | 6.95 ± 0.23 a | 6.55 ± 0.17 a | 7.70 ± 0.11 a |
| Female | |||
| Hemoglobin (g/dL) | 15.18 ± 0.30 a | 14.15 ± 0.36 a | 15.02 ± 0.15 a |
| Hematocrit (%) | 42.85 ± 1.32 a | 40.25 ± 1.09 a | 43.62 ± 0.74 a |
| Mean corpuscular volume (fL) | 61.80 ± 0.60 a | 61.52 ± 0.71 a | 61.87 ± 0.84 a |
| Mean corpuscular hemoglobin (pg) | 21.85 ± 0.47 a | 21.53 ± 0.22 a | 21.27 ± 0.24 a |
| Mean corpuscular hemoglobin concentration (g/dL) | 35.47 ± 0.68 a | 35.11 ± 0.11 a | 34.30 ± 0.49 a |
| Red blood cell distribution width (%) | 14.47 ± 0.11 a | 14.90 ± 0.20 a | 14.62 ± 0.24 a |
| Platelets (cells/mm3) | 469,166.67 ± 18,120.73 a | 482,500.00 ± 10,101.98 a | 472,000.00 ± 16,194.65 a |
| White blood cells (cells/mm3) | 2933.33 ± 170.62 a | 2383.33 ± 246.87 a | 3083.33 ± 745.39 a |
| Neutrophils (%) | 14.33 ± 1.78 a | 20.00 ± 1.73 a | 16.00 ± 2.11 a |
| Lymphocyte (%) | 85.50 ± 1.64 a | 80.00 ± 1.73 a | 84.00 ± 2.11 a |
| Eosinophils (%) | 0.00 ± 0.00 a | 0.00 ± 0.00 a | 0.00 ± 0.00 a |
| Basophils (%) | 0.00 ± 0.00 a | 0.00 ± 0.00 a | 0.00 ± 0.00 a |
| Monocytes (%) | 0.00 ± 0.00 a | 0.00 ± 0.00 a | 0.00 ± 0.00 a |
| Organ | Control | H-BSO | L-BSO |
|---|---|---|---|
| Male | |||
| Heart | 0.24 ± 0.01 | 0.25 ± 0.01 | 0.26 ± 0.01 |
| Liver | 3.05 ± 0.09 | 3.49 ± 0.22 | 3.20 ± 0.10 |
| Kidney | 0.63 ± 0.01 | 0.67 ± 0.02 | 0.65 ± 0.02 |
| Lung | 0.33 ± 0.01 | 0.34 ± 0.01 | 0.36 ± 0.01 |
| Spleen | 0.18 ± 0.00 | 0.19 ± 0.00 | 0.19 ± 0.00 |
| Testis | 0.91 ± 0.03 | 0.88 ± 0.04 | 0.90 ± 0.02 |
| Female | |||
| Heart | 0.27 ± 0.01 | 0.26 ± 0.00 | 0.28 ± 0.01 |
| Liver | 3.21 ± 0.06 | 3.09 ± 0.04 | 3.17 ± 0.17 |
| Kidney | 0.66 ± 0.02 | 0.63 ± 0.01 | 0.69 ± 0.01 |
| Lung | 0.40 ± 0.01 | 0.40 ± 0.02 | 0.44 ± 0.03 |
| Spleen | 0.21 ± 0.01 | 0.27 ± 0.07 | 0.19 ± 0.01 |
| Ovary and uterine tube | 0.30 ± 0.03 | 0.33 ± 0.03 | 0.30 ± 0.02 |
Disclaimer/Publisher’s Note: The statements, opinions and data contained in all publications are solely those of the individual author(s) and contributor(s) and not of MDPI and/or the editor(s). MDPI and/or the editor(s) disclaim responsibility for any injury to people or property resulting from any ideas, methods, instructions or products referred to in the content. |
© 2023 by the authors. Licensee MDPI, Basel, Switzerland. This article is an open access article distributed under the terms and conditions of the Creative Commons Attribution (CC BY) license (https://creativecommons.org/licenses/by/4.0/).
Share and Cite
Sanpinit, S.; Wetchakul, P.; Chonsut, P.; Ngamdokmai, N.; Ahmad, A.R.; Warinhomhoun, S. Repeated 28-Day Oral Toxicological Study and Gastroprotective Effects of Nigella sativa L. Oil (Shuhada) against Ethanol-Induced Gastric Mucosal Injury in Rats. Nutrients 2023, 15, 1532. https://doi.org/10.3390/nu15061532
Sanpinit S, Wetchakul P, Chonsut P, Ngamdokmai N, Ahmad AR, Warinhomhoun S. Repeated 28-Day Oral Toxicological Study and Gastroprotective Effects of Nigella sativa L. Oil (Shuhada) against Ethanol-Induced Gastric Mucosal Injury in Rats. Nutrients. 2023; 15(6):1532. https://doi.org/10.3390/nu15061532
Chicago/Turabian StyleSanpinit, Sineenart, Palika Wetchakul, Piriya Chonsut, Ngamrayu Ngamdokmai, Aktsar Roskiana Ahmad, and Sakan Warinhomhoun. 2023. "Repeated 28-Day Oral Toxicological Study and Gastroprotective Effects of Nigella sativa L. Oil (Shuhada) against Ethanol-Induced Gastric Mucosal Injury in Rats" Nutrients 15, no. 6: 1532. https://doi.org/10.3390/nu15061532
APA StyleSanpinit, S., Wetchakul, P., Chonsut, P., Ngamdokmai, N., Ahmad, A. R., & Warinhomhoun, S. (2023). Repeated 28-Day Oral Toxicological Study and Gastroprotective Effects of Nigella sativa L. Oil (Shuhada) against Ethanol-Induced Gastric Mucosal Injury in Rats. Nutrients, 15(6), 1532. https://doi.org/10.3390/nu15061532

