Safety of Innovative Nanotechnology Oral Formulations Loaded with Bioactive Menopause Molecules: Influence of Genotoxicity and Biochemical Parameters on a Menopausal Rat Model
Abstract
:1. Introduction
2. Materials and Methods
2.1. NLC Samples Taken for Study
2.2. In Vitro Cell Culture Cytotoxicity Testing: Viability and the Micronucleus Test
2.2.1. Determination of Viability
2.2.2. Determination of Genotoxicity
2.3. In Vivo Tests on a Female Model of Menopausal Rats
2.3.1. Induced Menopause Model
2.3.2. NLC Samples Tested for Oral Administration
2.3.3. Laboratory Tests
3. Results and Discussions
3.1. In Vitro Cell Culture Cytotoxicity Testing: Viability and the Micronucleus Test
3.1.1. Viability Assay (MTT)
3.1.2. Genotoxicity Test
3.2. In Vivo Tests on a Female Model of Menopausal Rats
3.2.1. Water and Food Consumption
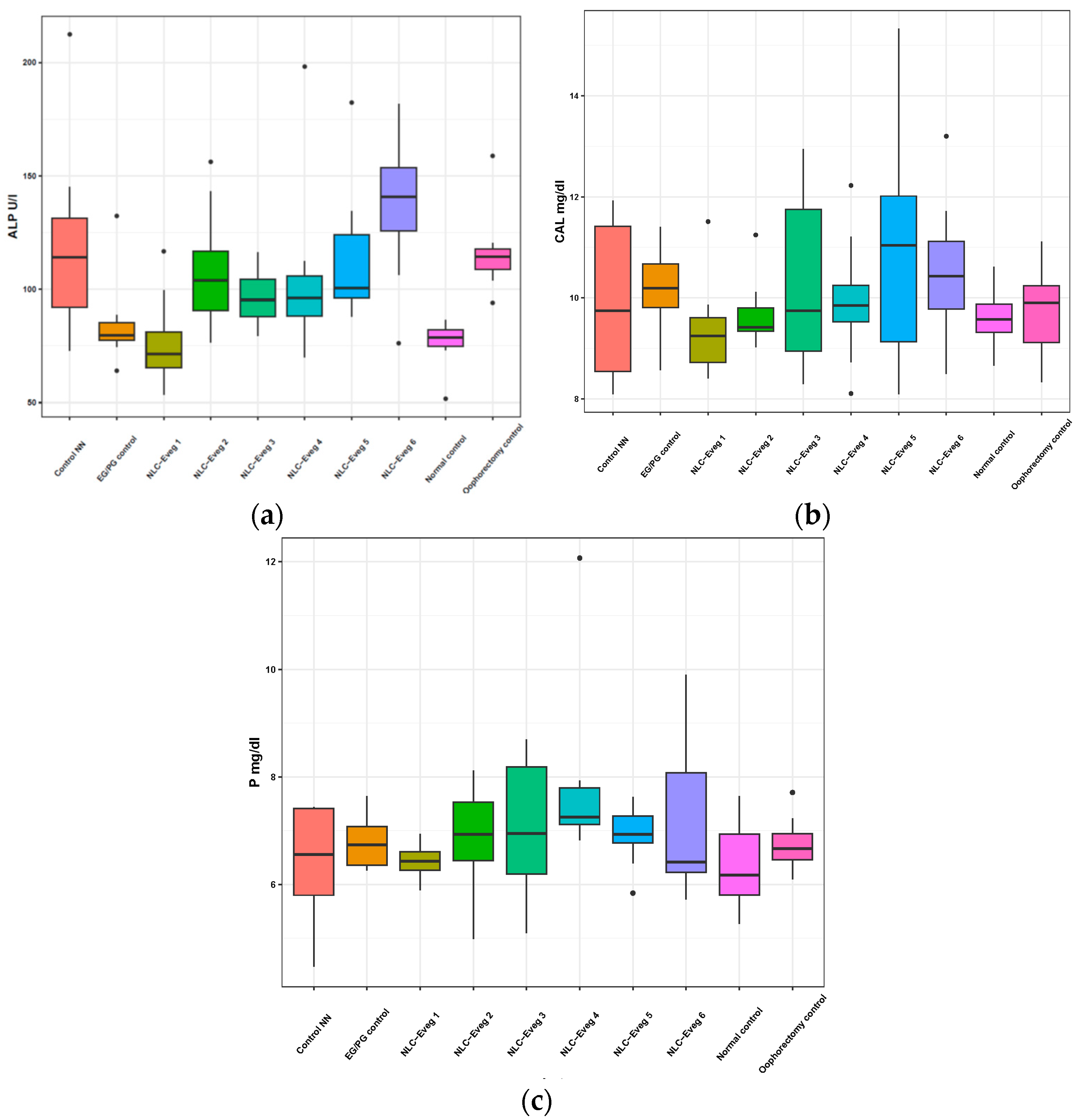
3.2.2. Markers of Bone Metabolism (Alkaline Phosphatase, Calcium, Phosphatemia)
3.2.3. Marker of Carbohydrate Metabolism—Blood Glucose
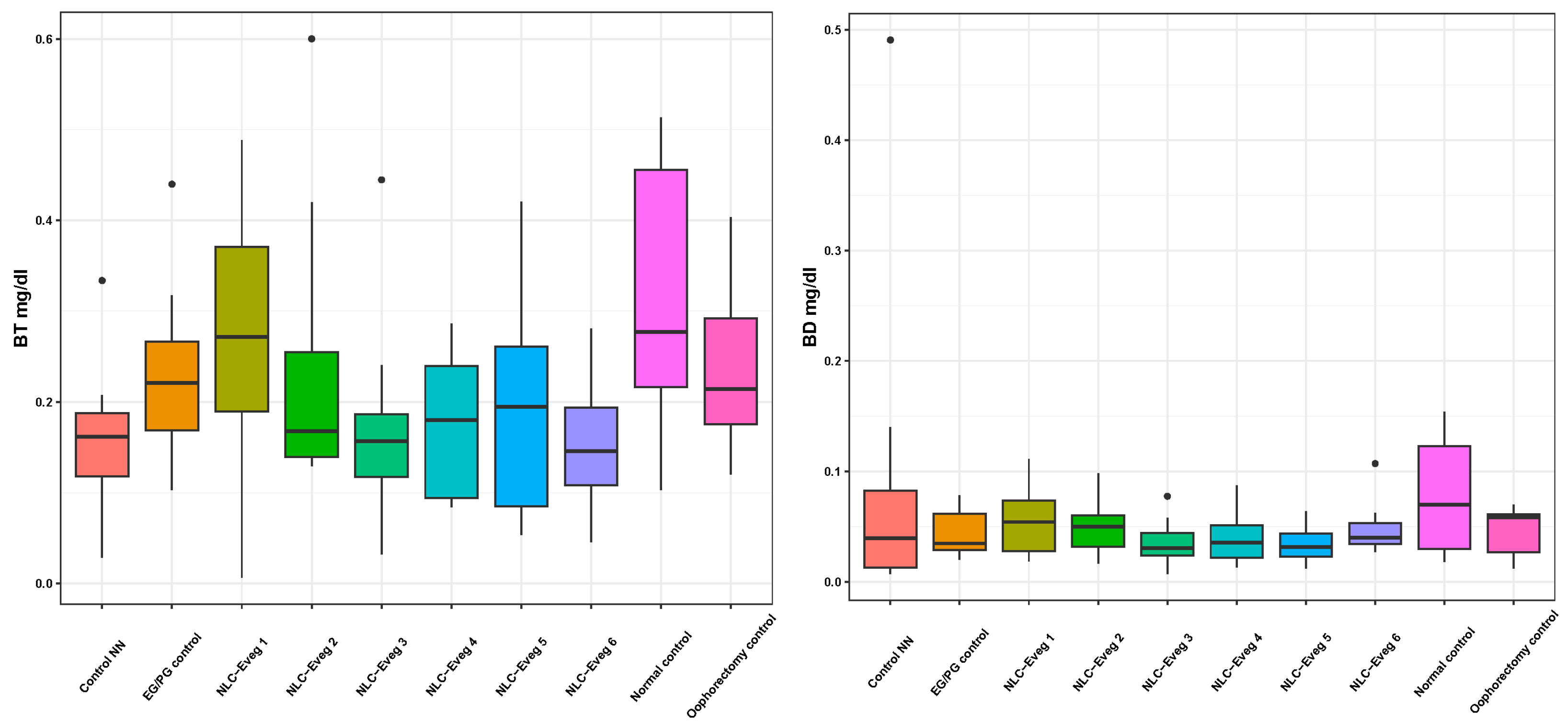
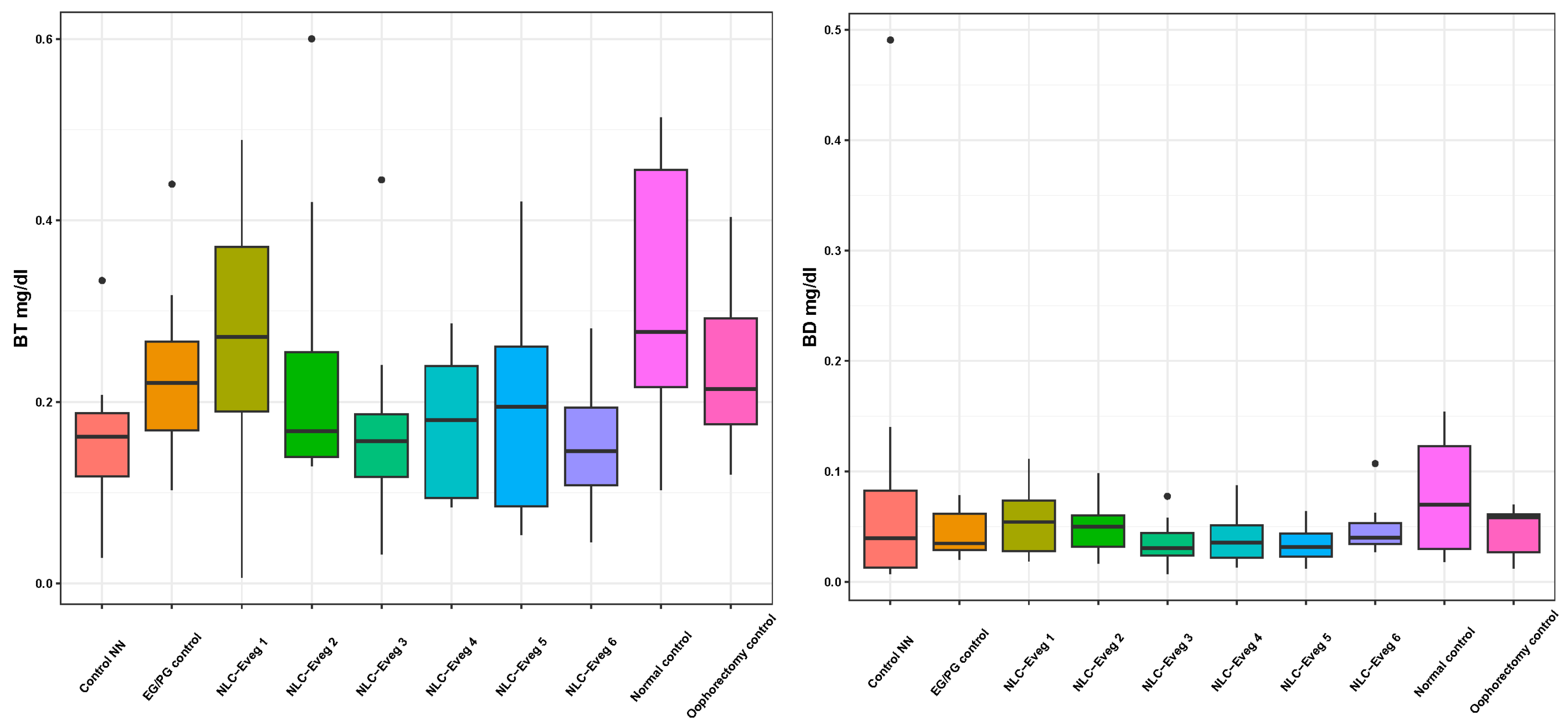
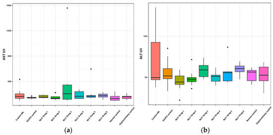
3.2.4. Markers of Liver Metabolism and Hepato-Biliary Apparatus—Transaminases, Direct Bilirubin, and Total Bilirubin
3.2.5. Markers of Lipid Profile—Triglycerides, HDL Cholesterol, Total Cholesterol
3.2.6. Markers of the Renal Function—Serum Creatinine, Serum Urea, Uricemia
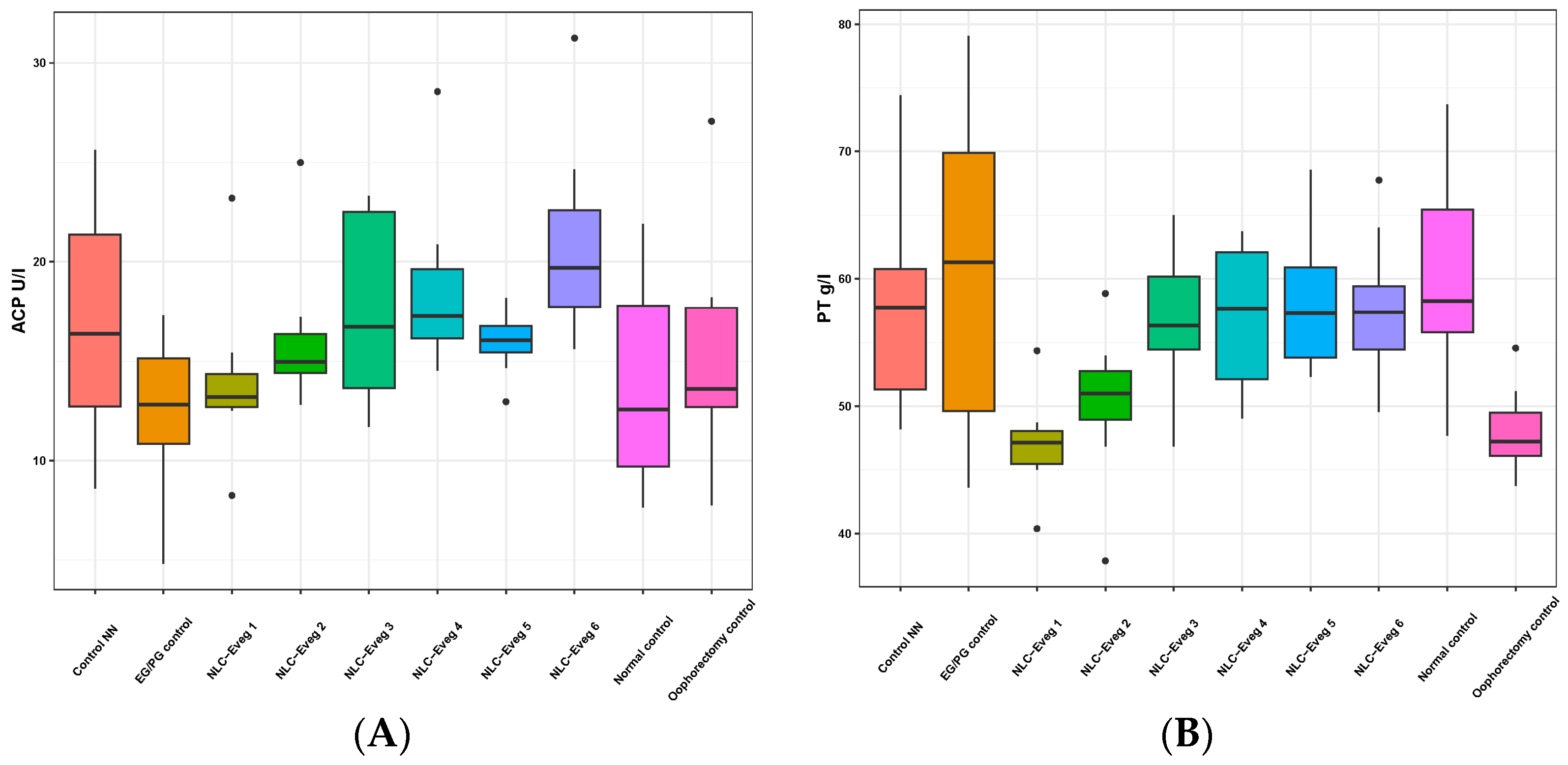
3.2.7. Other Markers—Acid Phosphatase and Total Protein
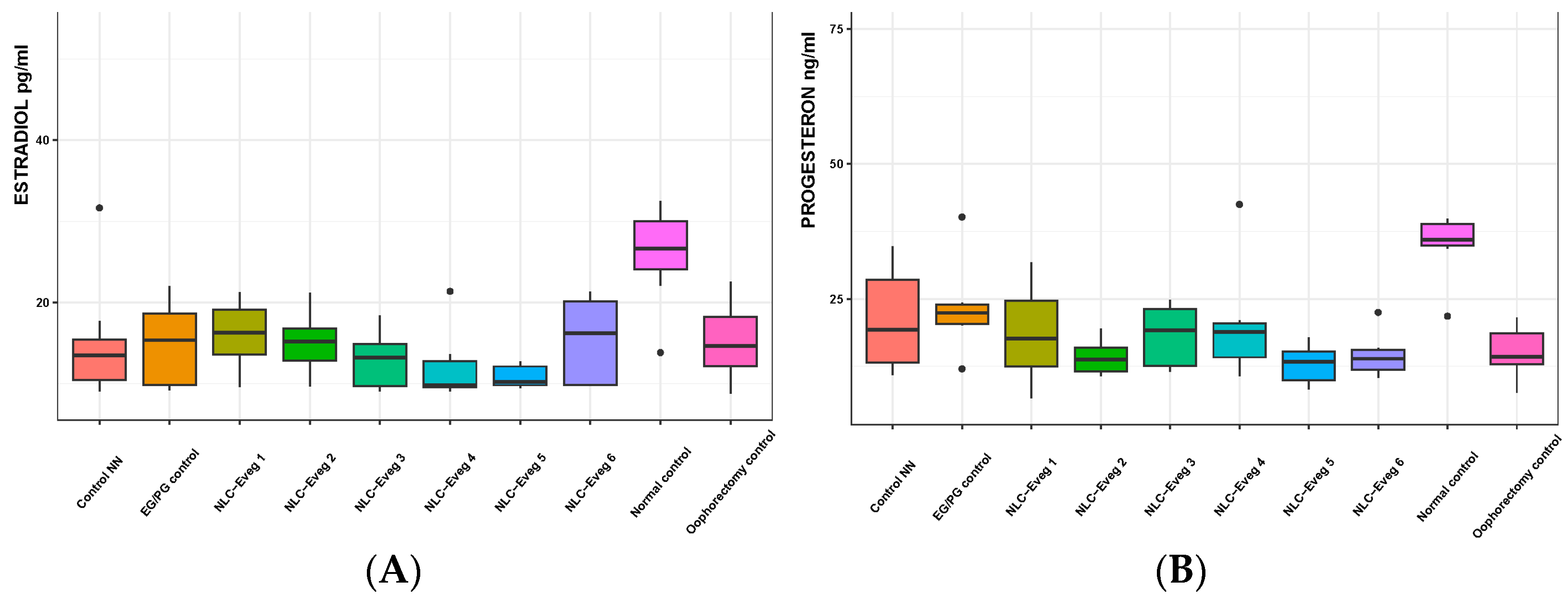
3.2.8. Hormonal Markers—Progesterone and Serum Estradiol
3.2.9. Markers of Inflammation—TNF-Alpha and C-Reactive Protein
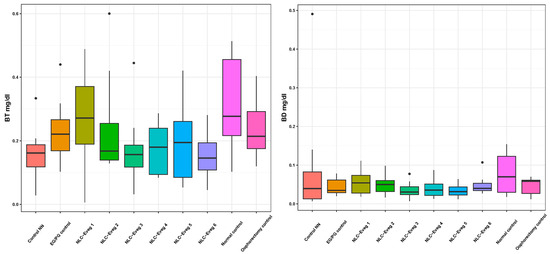
3.2.10. The Markers of Oxidative Stress
4. Discussion
Influence of the Tested NLCs on The Specific Biochemical Markers
5. Conclusions
6. Limitations
Supplementary Materials
Author Contributions
Funding
Institutional Review Board Statement
Informed Consent Statement
Data Availability Statement
Acknowledgments
Conflicts of Interest
References
- Fenton, A.; Smart, C.; Goldschmidt, L.; Price, V.; Scott, J. Fat mass, weight and body shape changes at menopause–causes and consequences: A narrative review. Climacteric 2023, 26, 381–387. [Google Scholar] [CrossRef] [PubMed]
- Opoku, A.A.; Abushama, M.; Konje, J.C. Obesity and Menopause. Best Pract. Res. Clin. Obstet. Gynaecol. 2023, 88, 102348. [Google Scholar] [CrossRef] [PubMed]
- Nappi, R.E.; Chedraui, P.; Lambrinoudaki, I.; Simoncini, T. Menopause: A cardiometabolic transition. Lancet Diabetes Endocrinol. 2022, 10, 442–456. [Google Scholar] [CrossRef] [PubMed]
- Shieu, M.M.; Braley, T.J.; Becker, J.; Dunietz, G.L. The Interplay Among Natural Menopause, Insomnia, and Cognitive Health: A Population-Based Study. Nat. Sci. Sleep 2023, 39–48. [Google Scholar] [CrossRef] [PubMed]
- Sochocka, M.; Karska, J.; Pszczołowska, M.; Ochnik, M.; Fułek, M.; Fułek, K.; Kurpas, D.; Chojdak-Łukasiewicz, J.; Rosner-Tenerowicz, A.; Leszek, J. Cognitive decline in early and premature menopause. Int. J. Mol. Sci. 2023, 24, 6566. [Google Scholar] [CrossRef] [PubMed]
- Verdonk, P.; Bendien, E.; Appelman, Y. Menopause and work: A narrative literature review about menopause, work and health. Work 2022, 72, 483–496. [Google Scholar] [CrossRef]
- Refaei, M.; Mardanpour, S.; Masoumi, S.Z.; Parsa, P. Women’s experiences in the transition to menopause: A qualitative research. BMC Women’s Health 2022, 22, 53. [Google Scholar] [CrossRef]
- Lundberg, G.; Wu, P.; Wenger, N. Menopausal hormone therapy: A comprehensive review. Curr. Atheroscler. Rep. 2020, 22, 33. [Google Scholar] [CrossRef]
- Booyens, R.M.; Engelbrecht, A.M.; Strauss, L.; Pretorius, E. To clot, or not to clot: The dilemma of hormone treatment options for menopause. Thromb. Res. 2022, 218, 99–111. [Google Scholar] [CrossRef]
- Pop, A.L.; Nasui, B.A.; Bors, R.G.; Penes, O.N.; Prada, A.G.; Clotea, E.; Crisan, S.; Cobelschi, C.; Mehedintu, C.; Carstoiu, M.M.; et al. The Current Strategy in Hormonal and Non-Hormonal Therapies in Menopause—A Comprehensive Review. Life 2023, 13, 649. [Google Scholar] [CrossRef]
- Varlas, V.N.; Borș, R.G.; Năsui, B.A.; Mititelu, M.; Gheorghiu, A.R.A.; Pop, A.L. Key points in fertility preservation treatment strategies during COVID-19 pandemic. An update on pharmacological therapies. Farmacia 2021, 69, 189–199. [Google Scholar] [CrossRef]
- Prabha, J.; Kumar, M.; Kumar, D.; Chopra, S.; Bhatia, A. Nano-platform Strategies of Herbal Components for the Management of Rheumatoid Arthritis: A Review on the Battle for Next-Generation Formulations. Curr. Drug Deliv. 2023, 21, 1–24. [Google Scholar]
- Pinkerton, J.V.; Faubion, S.S.; Kaunitz, A.M.; Liu, J.H.; Manson, J.E.; Santoro, N.F.; Stuenkel, C.A. The National Academies of Science, Engineering, and Medicine (NASEM) report on compounded bioidentical hormone therapy. Menopause 2020, 27, 1199–1201. [Google Scholar] [CrossRef] [PubMed]
- Behbahani, E.S.; Ghaedi, M.; Abbaspour, M.; Rostamizadeh, K.; Dashtian, K. Curcumin loaded nanostructured lipid carriers: In vitro digestion and release studies. Polyhedron. 2019, 164, 113–122. [Google Scholar] [CrossRef]
- Parama, D.; Boruah, M.; Yachna, K.; Rana, V.; Banik, K.; Harsha, C.; Kunnumakkara, A.B. Diosgenin, a steroidal saponin, and its analogs: Effective therapies against different chronic diseases. Life Sci. 2020, 260, 118182. [Google Scholar] [CrossRef]
- Ren, Q.-L.; Wang, Q.; Zhang, X.-Q.; Wang, M.; Hu, H.; Tang, J.-J.; Yang, X.-T.; Ran, Y.-H.; Liu, H.-H.; Song, Z.-X.; et al. Anticancer Activity of Diosgenin and Its Molecular Mechanism. Chin. J. Integr. Med. 2023, 29, 738–749. [Google Scholar] [CrossRef]
- Cai, B.; Zhang, Y.; Wang, Z.; Xu, D.; Jia, Y.; Guan, Y.; Liao, A.; Liu, G.; Chun, C.; Li, J. Therapeutic potential of diosgenin and its major derivatives against neurological diseases: Recent advances. Oxidative Med. Cell. Longev. 2020, 2020, 3153082. [Google Scholar] [CrossRef]
- Semwal, P.; Painuli, S.; Abu-Izneid, T.; Rauf, A.; Sharma, A.; Daştan, S.D.; Kumar, M.; Alshehri, M.M.; Taheri, Y.; Das, R.; et al. Diosgenin: An updated pharmacological review and therapeutic perspectives. Oxidative Med. Cell. Longev. 2022, 2022, 1035441. [Google Scholar] [CrossRef]
- Morrison, S.F.; Nakamura, K. Central neural pathways for thermoregulation. Front. Biosci. A J. Virtual Libr. 2011, 16, 74. [Google Scholar] [CrossRef]
- Whorwood, C.B.; Sheppard, M.C.; Stewart, P.M. Licorice inhibits 11 beta-hydroxysteroid dehydrogenase messenger ribonucleic acid levels and potentiates glucocorticoid hormone action. Endocrinology 1993, 132, 2287–2292. [Google Scholar] [CrossRef]
- Leach, M.J.; Moore, V. Black cohosh (Cimicifuga spp.) for menopausal symptoms. Cochrane Database Syst. Rev. 2012, CD007244. [Google Scholar] [CrossRef]
- Burdette, J.E.; Liu, J.; Chen, S.N.; Fabricant, D.S.; Piersen, C.E.; Barker, E.L.; Pezzuto, J.M.; Mesecar, A.; Van Breemen, R.B.; Farnsworth, N.R.; et al. Black cohosh acts as a mixed competitive ligand and partial agonist of the serotonin receptor. J. Agric. Food Chem. 2003, 51, 5661–5670. [Google Scholar] [CrossRef] [PubMed]
- Mohapatra, S.; Iqubal, A.; Ansari, M.J.; Jan, B.; Zahiruddin, S.; Mirza, M.A.; Ahmad, S.; Iqbal, Z. Benefits of Black Cohosh (Cimicifuga racemosa) for Women Health: An Up-Close and In-Depth Review. Pharmaceuticals 2022, 15, 278. [Google Scholar] [CrossRef] [PubMed]
- Bajwa, N.; Mahal, S.; Naryal, S.; Singh, P.A.; Baldi, A. Development of novel solid nanostructured lipid carriers for bioavailability enhancement using a quality by design approach. AAPS PharmSciTech 2022, 23, 253. [Google Scholar] [CrossRef]
- Nie, X.; Chen, Z.; Pang, L.; Wang, L.; Jiang, H.; Chen, Y.; Zhang, Z.; Fu, C.; Ren, B.; Zhang, J. Oral nano drug delivery systems for the treatment of type 2 diabetes mellitus: An available administration strategy for antidiabetic phytocompounds. Int. J. Nanomed. 2020, ume 15, 10215–10240. [Google Scholar] [CrossRef]
- Coc, L.M.C.; Lacatusu, I.; Badea, N.; Penes, O.; Cobelschi, C.P.; Pop, A.; Meghea, A. Curcumin co-loaded with a lipid mediator in the same nanostructured lipid delivery system. Farmacia 2022, 70, 932–943. [Google Scholar] [CrossRef]
- Malakar, A.; Kanel, S.R.; Ray, C.; Snow, D.D.; Nadagouda, M.N. Nanomaterials in the environment, human exposure pathway, and health effects: A review. Sci. Total Environ. 2021, 759, 143470. [Google Scholar] [CrossRef]
- Domingues, C.; Santos, A.; Alvarez-Lorenzo, C.; Concheiro, A.; Jarak, I.; Veiga, F.; Figueiras, A. Where is nano today and where is it headed? A review of nanomedicine and the dilemma of nanotoxicology. ACS Nano 2022, 16, 9994–10041. [Google Scholar] [CrossRef]
- Baumgartner, N.E.; Black, K.L.; McQuillen, S.M.; Daniel, J.M. Previous estradiol treatment during midlife maintains transcriptional regulation of memory-related proteins by ERα in the hippocampus in a rat model of menopause. Neurobiol. Aging 2021, 105, 365–373. [Google Scholar] [CrossRef]
- Brinton, R.D. Minireview: Translational Animal Models of Human Menopause: Challenges and Emerging Opportunities. Endocrinology 2012, 153, 3571–3578. [Google Scholar] [CrossRef]
- Kang, E.Y.; Kim, H.K.; Jung, J.Y.; Kim, J.H.; Woo, T.K.; Choi, J.I.; Kim, J.H.; Ahn, C.; Lee, H.G.; Go, G.-W. Combined Extract of Leonurus japonicus Houtt, Eclipta prostrata L., and Pueraria lobata Ohwi Improved Hot Flashes and Depression in an Ovariectomized Rat Model of Menopause. Foods 2021, 10, 180. [Google Scholar] [CrossRef]
- Zhang, Z.; Song, C.; Fu, X.; Liu, M.; Li, Y.; Pan, J.; Liu, H.; Wang, S.; Xiang, L.; Xiao, G.G.; et al. High-dose diosgenin reduces bone loss in ovariectomized rats via attenuation of the RANKL/OPG ratio. Int. J. Mol. Sci. 2014, 15, 17130–17147. [Google Scholar] [CrossRef]
- Lacatusu, I.; Iordache, T.A.; Mihaila, M.; Mihaiescu, D.E.; Pop, A.L.; Badea, N. Multifaced Role of Dual Herbal Principles Loaded-Lipid Nanocarriers in Providing High Therapeutic Efficacity. Pharmaceutics 2021, 13, 1511. [Google Scholar] [CrossRef]
- Iordache, T.-A.; Badea, N.; Mihaila, M.; Crisan, S.; Pop, A.L.; Lacatusu, I. Challenges in Coopted Hydrophilic and Lipophilic Herbal Bioactives in the Same Nanostructured Carriers for Effective Bioavailability and Anti-Inflammatory Action. Nanomaterials 2021, 11, 3035. [Google Scholar] [CrossRef]
- Competitiveness Operational Programme 2014–2020, Contract no. 259/2020, Development of an Innovative Food Supplement for Menopausal Women’s Health, 2020–2023. Available online: https://www.fonduri-ue.ro/ (accessed on 14 November 2023).
- Pop, A.L.; Crișan, S.; Henteș, P.; Pali, M.-A.; Lacatusu, I.; Badea, N.; Ciobanu, A.M.; Penes, O.N.; Nasui, B.A.; Udeanu, D.I. Comparative dissolution study of a solid pharmaceutical form containing nanostructured lipid carrier (NLC), incorporating diosgenin—Conventional vs. biorelevant dissolution media. Farmacia 2023, 71, 116–129. [Google Scholar] [CrossRef]
- Purohit, D.K. Nano-lipid carriers for topical application: Current scenario. Asian J. Pharm. (AJP) 2016, 10, S1–S9. [Google Scholar]
- Ali, A.H.; Al-Musawi, M.T.; Shanan, Z.J. Production And Characterization Of Nanoparticles Lipid Carrier (NlCs) Loaded With Gingerols Extract And Their Effect On Serum Lipid Profile In Postmenopausal Period. Plant Arch. 2020, 20, 6755–6764. [Google Scholar]
- Coc, L.M.C.; Lacatusu, I.; Badea, N.; Barbinta-Patrascu, M.E.; Meghea, A. Effective lipid nanocarriers based on linseed oil for delivery of natural polyphenolic active. J. Nanomater. 2021, 2021, 8853941. [Google Scholar] [CrossRef]
- Radu, M. Ionizing Radiation Treatment Report no. 23/20.04.2022; The IRASM department of IFIN-HH; Horia Hulubei National Institute for Physics and Nuclear Engineering IFIN-HH: Ilfov, Romania, 2022. [Google Scholar]
- International Organization for Standardization Biological Evaluation of Medical Devices, Part 5: Tests for In Vitro Cytotoxicity. Available online: https://www.iso.org/standard/36406.html (accessed on 14 November 2023).
- Parhizkar, S.; Latiff, L.A.; Parsa, A. Effect of Nigella sativa on reproductive system in experimental menopause rat model. Avicenna J. Phytomed. 2016, 6, 95–103. [Google Scholar] [PubMed]
- Yin, W.; Borniger, J.C.; Wang, X.; Maguire, S.M.; Munselle, M.L.; Bezner, K.S.; Tesfamariam, H.M.; Garcia, A.N.; Hofmann, H.A.; Nelson, R.J.; et al. Estradiol treatment improves biological rhythms in a preclinical rat model of menopause. Neurobiol. Aging 2019, 83, 1–10. [Google Scholar] [CrossRef] [PubMed]
- ISO10993; Biological Evaluation of Medical Devices, Partea 2: Animal Welfare Requirements si 12: Sample Preparation and Reference Materials. ISO: Geneva, Switzerland, 2007.
- Order No. 122 of 2019 Amending and Supplementing the Order of the President of the National Sanitary Veterinary and Food Safety Authority no. 97 of 2015. Available online: https://www.fao.org/faolex (accessed on 14 November 2023).
- Regulation(EU) 2019/6 of the European Parliament and of the Council of 11 December 2018 on Veterinary Medicinal Products on the Protection of Animals Used for Scientific Purposes. Available online: https://eur-lex.europa.eu/legal-content/EN/TXT/PDF/?uri=CELEX:32016R0429 (accessed on 14 November 2023).
- Koebele, S.V.; Bimonte-Nelson, H.A. Modeling menopause: The utility of rodents in translational behavioral endocrinology research. Maturitas 2016, 87, 5–17. [Google Scholar] [CrossRef]
- Hsu, K.H.; Chang, C.C.; Tsai, H.D.; Tsai, F.J.; Hsieh, Y.Y. Effects of yam and diosgenin on calpain systems in skeletal muscle of ovariectomized rats. Taiwan J. Obstet. Gynecol. 2008, 47, 180–186. [Google Scholar] [CrossRef]
- Høegh-Andersen, P.; Tankó, L.B.; Andersen, T.L.; Lundberg, C.V.; Mo, J.A.; Heegaard, A.M.; Delaissé, J.M.; Christgau, S. Ovariectomized rats as a model of postmenopausal osteoarthritis: Validation and application. Arthritis. Res. Ther. 2004, 6, R169–R180. [Google Scholar] [CrossRef]
- Pop, A.L.; Lăcătușu, I.; Badea, N.; Udeanu, D.; Henteș, P.; Banciu-Popița, I.; Crișan, S. Challenges Regarding the Development of A Pharmaceutical Product Containing Nanostructured Lipid Carriers. In Proceedings of the 2nd Global Summit and Expo on Nanotechnology and Nanomaterials (GSENN2022), Copenhagen, Denmark, 13–15 June 2022. [Google Scholar]
- Bradford, M.M. A rapid and sensitive method for the quantitation of microgram quantities of protein utilizing the principle of protein-dye binding. Anal. Biochem. 1976, 72, 248–254. [Google Scholar] [CrossRef]
- Del Rio, D.; Pellegrini, N.; Colombi, B.; Bianchi, M.; Serafini, M.; Torta, F.; Tegoni, M.; Musci, M.; Brighenti, F. Rapid fluorimetric method to detect total plasma malondialdehyde with mild derivatization conditions. Clin. Chem. 2003, 49, 690–692. [Google Scholar] [CrossRef]
- Zuccari, G.; Alfei, S. Development of Phytochemical Delivery Systems by Nano-Suspension and Nano-Emulsion Techniques. Int. J. Mol. Sci. 2023, 24, 9824. [Google Scholar] [CrossRef]
- PJ, J.C.; Saigeetha, S.; Samrot, A.V.; Ponniah, P.; Chakravarthi, S. Overview on toxicity of nanoparticles, it’s mechanism, models used in toxicity studies and disposal methods—A review. Biocatal. Agric. Biotechnol. 2021, 36, 102117. [Google Scholar] [CrossRef]
- Idrees, H.; Zaidi, S.Z.J.; Sabir, A.; Khan, R.U.; Zhang, X.; Hassan, S.U. A review of biodegradable natural polymer-based nanoparticles for drug delivery applications. Nanomaterials 2020, 10, 1970. [Google Scholar] [CrossRef] [PubMed]
- Yuan, D.; He, H.; Wu, Y.; Fan, J.; Cao, Y. Physiologically based pharmacokinetic modeling of nanoparticles. J. Pharm. Sci. 2019, 108, 58–72. [Google Scholar] [CrossRef] [PubMed]
- Iordache, T.A.; Badea, N.; Mihaila, M.; Crisan, S.; Pop, A.L.; Lacatusu, I. Polygonum cuspidatum Loaded Nanostructured Lipid Carriers for Dual Inhibition of TNF-α-and IL-6 Cytokines and Free Radical Species. Materials 2023, 16, 3492. [Google Scholar] [CrossRef] [PubMed]
- Komori, H.; Fujita, D.; Shirasaki, Y.; Zhu, Q.; Iwamoto, Y.; Nakanishi, T.; Nakajima, M.; Tamai, I. MicroRNAs in Apple-Derived Nanoparticles Modulate Intestinal Expression of Organic Anion–Transporting Peptide 2B1/SLCO2B1 in Caco-2 Cells. Drug Metab. Dispos. 2021, 49, 803–809. [Google Scholar] [CrossRef] [PubMed]
- Kundu, M.; Sadhukhan, P.; Ghosh, N.; Chatterjee, S.; Manna, P.; Das, J.; Sil, P.C. pH-responsive and targeted delivery of curcumin via phenylboronic acid-functionalized ZnO nanoparticles for breast cancer therapy. J. Adv. Res. 2019, 18, 161–172. [Google Scholar] [CrossRef] [PubMed]
- Sahoo, M.; Panigrahi, C.; Vishwakarma, S.; Kumar, J. A review on nanotechnology: Applications in food industry, future opportunities, challenges and potential risks. J. Nanotechnol. Nanomater. 2022, 3, 28–33. [Google Scholar]
- Franz, P.; Bürkle, A.; Wick, P.; Hirsch, C. Exploring flow cytometry-based micronucleus scoring for reliable nanomaterial genotoxicity assessment. Chem. Res. Toxicol. 2020, 33, 2538–2549. [Google Scholar] [CrossRef]
- Ventura, C.; Pinto, F.; Lourenço, A.F.; Pedrosa, J.F.S.; Fernandes, S.N.; da Rosa, R.R.; Godinho, M.H.; Ferreira, P.J.T.; Louro, H.; Silva, M.J. Assessing the Genotoxicity of Cellulose Nanomaterials in a Co-Culture of Human Lung Epithelial Cells and Monocyte-Derived Macrophages. Bioengineering 2023, 10, 986. [Google Scholar] [CrossRef]
- García-Rodríguez, A.; Kazantseva, L.; Vila, L.; Rubio, L.; Velázquez, A.; Ramírez, M.J.; Marcos, R.; Hernández, A. Micronuclei detection by flow cytometry as a high-throughput approach for the genotoxicity testing of nanomaterials. Nanomaterials 2019, 9, 1677. [Google Scholar] [CrossRef]
- Thapa, S.; Nandy, A.; Rendina-Ruedy, E. Endocrinal metabolic regulation on the skeletal system in post-menopausal women. Front. Physiol. 2022, 13, 1052429. [Google Scholar] [CrossRef]
- Liu, D.; Hu, Z.; Tang, Z.; Li, P.; Yuan, W.; Li, F.; Chen, Q. Identification of biomarkers associated with oxidative stress-related genes in postmenopausal osteoporosis. Cell. Mol. Biol. 2023, 69, 186–192. [Google Scholar]
- McAnuff, M.A.; Harding, W.W.; Omoruyi, F.O.; Jacobs, H.; Morrison, E.Y.; Asemota, H.N. Hypoglycemic effects of steroidal sapogenins isolated from Jamaican bitter yam, Dioscorea polygonoides. Food Chem. Toxicol. 2005, 43, 1667–1672. [Google Scholar] [CrossRef]
- Aziakpono, O.M.; Ukamaka, M.N.; Ikechukwu, O.D.; Uyovwiesevwa, A.J.; Ofili, C.C.; Chisom, M.U. Anti-malaria and hypoglycaemic activities of Diosgenin on alloxan-induced, diabetic Wistar rats. GSC Biol. Pharm. Sci. 2021, 15, 073–079. [Google Scholar] [CrossRef]
- Uemura, T.; Hirai, S.; Mizoguchi, N.; Goto, T.; Lee, J.; Taketani, K.; Nakano, Y.; Shono, J.; Hoshino, S.; Tsuge, N.; et al. Diosgenin present in fenugreek improves glucose metabolism by promoting adipocyte differentiation and inhibiting inflammation in adipose tissues. Mol. Nutr. Food Res. 2010, 54, 1596–1608. [Google Scholar] [CrossRef]
- Raju, J.; Gupta, D.; Rao, A.R.; Yadava, P.K.; Baquer, N.Z. Trigonella foenum graecum (fenugreek) seed powder improves glucose homeostasis in alloxan diabetic rat tissues by reversing the altered glycolytic, gluconeogenic and lipogenic enzymes. Mol. Cell. Biochem. 2001, 224, 45–51. [Google Scholar] [CrossRef]
- Liu, K.; Zhao, W.; Gao, X.; Huang, F.; Kou, J.; Liu, B. Diosgenin ameliorates palmitate-induced endothelial dysfunction and insulin resistance via blocking IKKβ and IRS-1 pathways. Atherosclerosis 2012, 223, 350–358. [Google Scholar] [CrossRef]
- Jin, C.; Miao, X.; Zhong, Y.; Han, J.; Liu, Q.; Zhu, J.; Peng, X. The renoprotective effect of diosgenin on aristolochic acid I-induced renal injury in rats: Impact on apoptosis, mitochondrial dynamics and autophagy. Food Funct. 2020, 11, 7456–7467. [Google Scholar] [CrossRef]
- Zhong, Y.; Sun, D.; Yao, Y.; Liu, Q.; Guo, T.; Wang, X.; Peng, X. Autophagy and mitochondrial dynamics contribute to the protective effect of diosgenin against 3-MCPD induced kidney injury. Chem.-Biol. Interact. 2022, 355, 109850. [Google Scholar] [CrossRef]
- Farag, M.A.; Reda, A.; Nabil, M.; Elimam, D.M.; Zayed, A. Evening primrose oil: A comprehensive review of its bioactives, extraction, analysis, oil quality, therapeutic merits, and safety. Food Funct. 2023, 14, 8049–8070. [Google Scholar] [CrossRef]
- Khorshidi, M.; Zarezadeh, M.; Moghaddam, O.M.; Emami, M.R.; Kord-Varkaneh, H.; Mousavi, S.M.; Alizadeh, S.; Heshmati, J.; Olang, B.; Aryaeian, N. Effect of evening primrose oil supplementation on lipid profile: A systematic review and meta-analysis of randomized clinical trials. Phytother. Res. 2020, 34, 2628–2638. [Google Scholar] [CrossRef]
- Farag, M.A.; Mohamed, Z.G. Omega-9 fatty acids: Potential roles in inflammation and cancer management. J. Genet. Eng. Biotechnol. 2022, 20, 48. [Google Scholar] [CrossRef]
- Kapoor, R.; Huang, Y.S. Gamma linolenic acid: An antiinflammatory omega-6 fatty acid. Curr. Pharm. Biotechnol. 2006, 7, 531–534. [Google Scholar] [CrossRef]




















| NLC Sample Qualitative Composition | Pharmaceutical Formula Function |
|---|---|
| Cetyl palmitate, glyceryl monostearate | Lipid mixture (fatty phase) |
| Liquid oil phase: (EPO/SBO/SMO/FSO) | |
| Cocoa butter, Tween 20, Span 80, Poloxamer 188, Phosphatidylcholine | Surfactants and Co-surfactants (aqueous phase) |
| Wild yam extract and licorice extract or black cohosh extract or resveratrol | Standardized plant extracts |
| No. | Sample Code * | Encapsulated Active Principles | Liquid Oil Phase |
|---|---|---|---|
| 1 | NLC-Eveg 1 | DSG | EPO |
| GA | |||
| 2 | NLC-Eveg 2 | DSG | SBO |
| GA | |||
| 3 | NLC-Eveg 3 | DSG | SMO |
| TTG | |||
| 4 | NLC-Eveg 4 | DSG | FSO |
| TTG | |||
| 5 | NLC-Eveg 5 | DSG | FSO |
| PP | |||
| 6 | NLC-Eveg 6 | DSG | SMO |
| PP |
| Batch No. | Batch Description | Description of the Batch |
|---|---|---|
| 1 | Normal control | Healthy, untreated, unoperated rat females; |
| 2 | Oophorectomy control | Oophorectomised rat females without treatment; |
| 3 | EG/PG control | Oophorectomised female rats treated with progesterone/estrogen according to standard treatment in menopause; |
| 4 | Control NN | Oophorectomised female rats treated with unloaded NLC pharmaceutical formula (with DSG active substances); |
| 5 | NLC-Eveg 1 | Female oophorectomised rats treated with lipid nanoparticles with an active substance corresponding to NLC formula 1; |
| 6 | NLC-Eveg 2 | Oophorectomised female rats treated with lipid nanoparticles with active substance corresponding to NLC formula 2; |
| 7 | NLC-Eveg 3 | Oophorectomised female rats treated with lipid nanoparticles with active substance corresponding to pharmaceutical formula 3; |
| 8 | NLC-Eveg 4 | Oophorectomised female rats treated with lipid nanoparticles with active substance corresponding to pharmaceutical formula 4; |
| 9 | NLC-Eveg 5 | Oophorectomised female rats treated with lipid nanoparticles with active substance corresponding to pharmaceutical formula 5; |
| 10 | NLC-Eveg 6 | Oophorectomised female rats treated with lipid nanoparticles with active substance corresponding to pharmaceutical formula 6. |
| Compound/Exposure Time | 4 h | 24 h | ||
|---|---|---|---|---|
| Binucleated Cells (%) | Micronuclei (%) | Binucleated Cells (%) | Micronuclei (%) | |
| Control (untreated) | 72.1 | 2.2 | 68.1 | 1.8 |
| Control (DMSO 0.1%) | 75.0 | 2.4 | 67.8 | 2.3 |
| Control NN | 77.0 | 1.7 | 72.3 | 1.9 |
| NLC-Eveg 1 | 68.8 | 2.3 | 69.3 | 2.3 |
| NLC-Eveg 2 | 66.2 | 2.5 | 66.2 | 2.9 |
| NLC-Eveg 3 | 71.0 | 1.9 | 69.9 | 2.2 |
| NLC-Eveg 4 | 63.3 | 1.6 | 70.3 | 3.2 |
| NLC-Eveg 5 | 71.1 | 2.5 | 66.9 | 3.0 |
| NLC-Eveg 6 | 68.0 | 2.2 | 75.5 | 2.6 |
| C positive (MMS 5 µg/mL) 4 h/24 h | 52.3 | 17.3 | 50.8 | 18.6 |
| C positive (MMS 10 µg/mL) 4 h/24 h | 48.6 | 19.1 | 49.3 | 22.6 |
Disclaimer/Publisher’s Note: The statements, opinions and data contained in all publications are solely those of the individual author(s) and contributor(s) and not of MDPI and/or the editor(s). MDPI and/or the editor(s) disclaim responsibility for any injury to people or property resulting from any ideas, methods, instructions or products referred to in the content. |
© 2023 by the authors. Licensee MDPI, Basel, Switzerland. This article is an open access article distributed under the terms and conditions of the Creative Commons Attribution (CC BY) license (https://creativecommons.org/licenses/by/4.0/).
Share and Cite
Crișan, S.; Pop, A.L.; Lacatusu, I.; Badea, N.; Mustaciosu, C.; Radu, M.; Varlas, V.N.; Peneş, O.N.; Ciobanu, A.M.; Ghica, M.; et al. Safety of Innovative Nanotechnology Oral Formulations Loaded with Bioactive Menopause Molecules: Influence of Genotoxicity and Biochemical Parameters on a Menopausal Rat Model. Nutrients 2023, 15, 4951. https://doi.org/10.3390/nu15234951
Crișan S, Pop AL, Lacatusu I, Badea N, Mustaciosu C, Radu M, Varlas VN, Peneş ON, Ciobanu AM, Ghica M, et al. Safety of Innovative Nanotechnology Oral Formulations Loaded with Bioactive Menopause Molecules: Influence of Genotoxicity and Biochemical Parameters on a Menopausal Rat Model. Nutrients. 2023; 15(23):4951. https://doi.org/10.3390/nu15234951
Chicago/Turabian StyleCrișan, Simona, Anca Lucia Pop, Ioana Lacatusu, Nicoleta Badea, Cosmin Mustaciosu, Mihai Radu, Valentin Nicolae Varlas, Ovidiu Nicolae Peneş, Anne Marie Ciobanu, Manuela Ghica, and et al. 2023. "Safety of Innovative Nanotechnology Oral Formulations Loaded with Bioactive Menopause Molecules: Influence of Genotoxicity and Biochemical Parameters on a Menopausal Rat Model" Nutrients 15, no. 23: 4951. https://doi.org/10.3390/nu15234951
APA StyleCrișan, S., Pop, A. L., Lacatusu, I., Badea, N., Mustaciosu, C., Radu, M., Varlas, V. N., Peneş, O. N., Ciobanu, A. M., Ghica, M., Voicu, S. N., & Udeanu, D. I. (2023). Safety of Innovative Nanotechnology Oral Formulations Loaded with Bioactive Menopause Molecules: Influence of Genotoxicity and Biochemical Parameters on a Menopausal Rat Model. Nutrients, 15(23), 4951. https://doi.org/10.3390/nu15234951

