Effectiveness of Fish Roe, Snow Fungus, and Yeast Supplementation for Cognitive Function: A Randomized, Double-Blind, Placebo-Controlled Clinical Trial
Abstract
:1. Introduction
2. Materials and Methods
2.1. Clinical Trial Design
2.2. Test Sample
2.3. Match-to-Sample Test
2.4. The Trail-Making Test
2.5. The Processing-Speed Test
2.6. Mnemonic Similarity Test (MST)
2.7. State-Trait Anxiety Inventory (STAI)
2.8. Facial-Expression-Cuing Task (FECT)
2.9. Assessment of Perceived Stress
2.10. Quality-of-Life-Assessment Scale
2.11. Statistical Analysis
3. Results
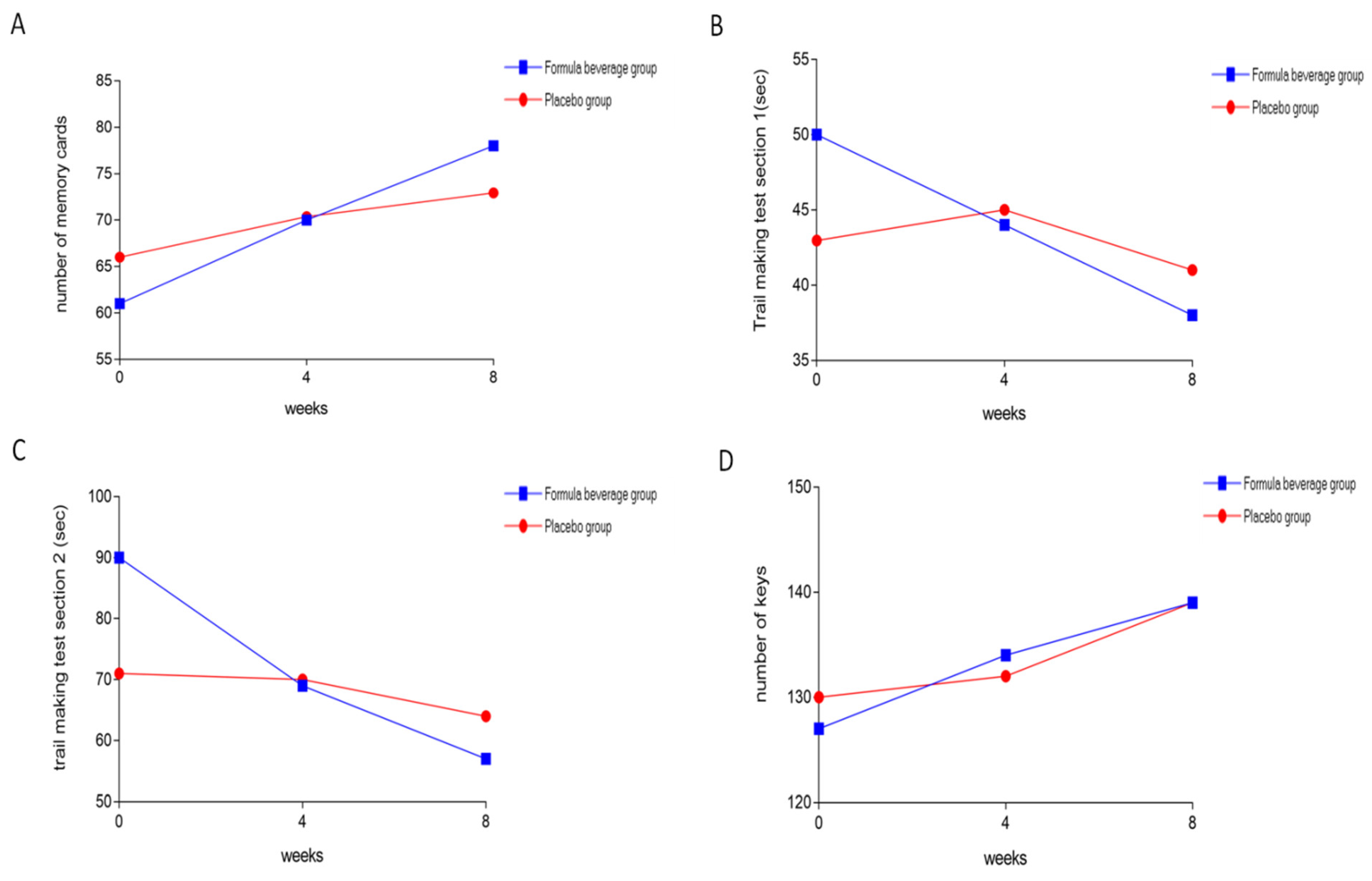
3.1. Formula Beverages Increased Cognitive Function
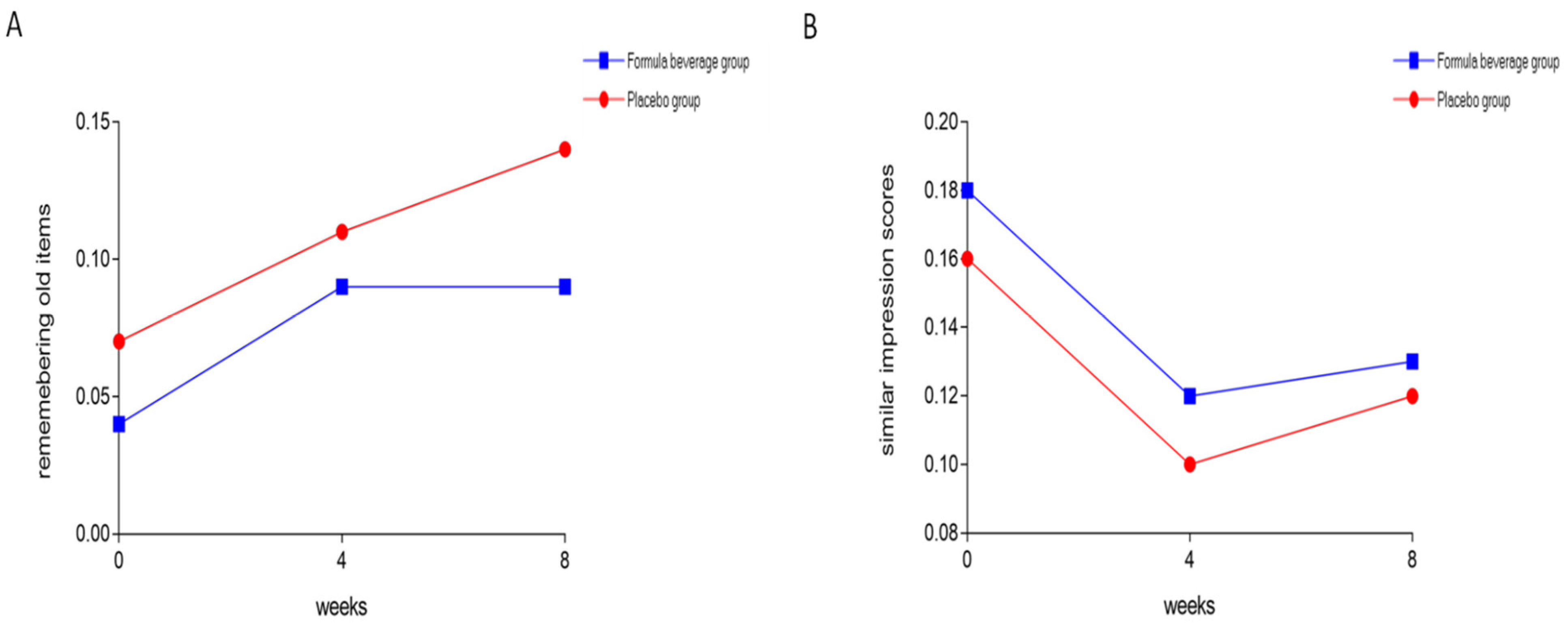
3.2. Formula Beverage Improved Memory
3.3. Formula Beverage Improved Emotions
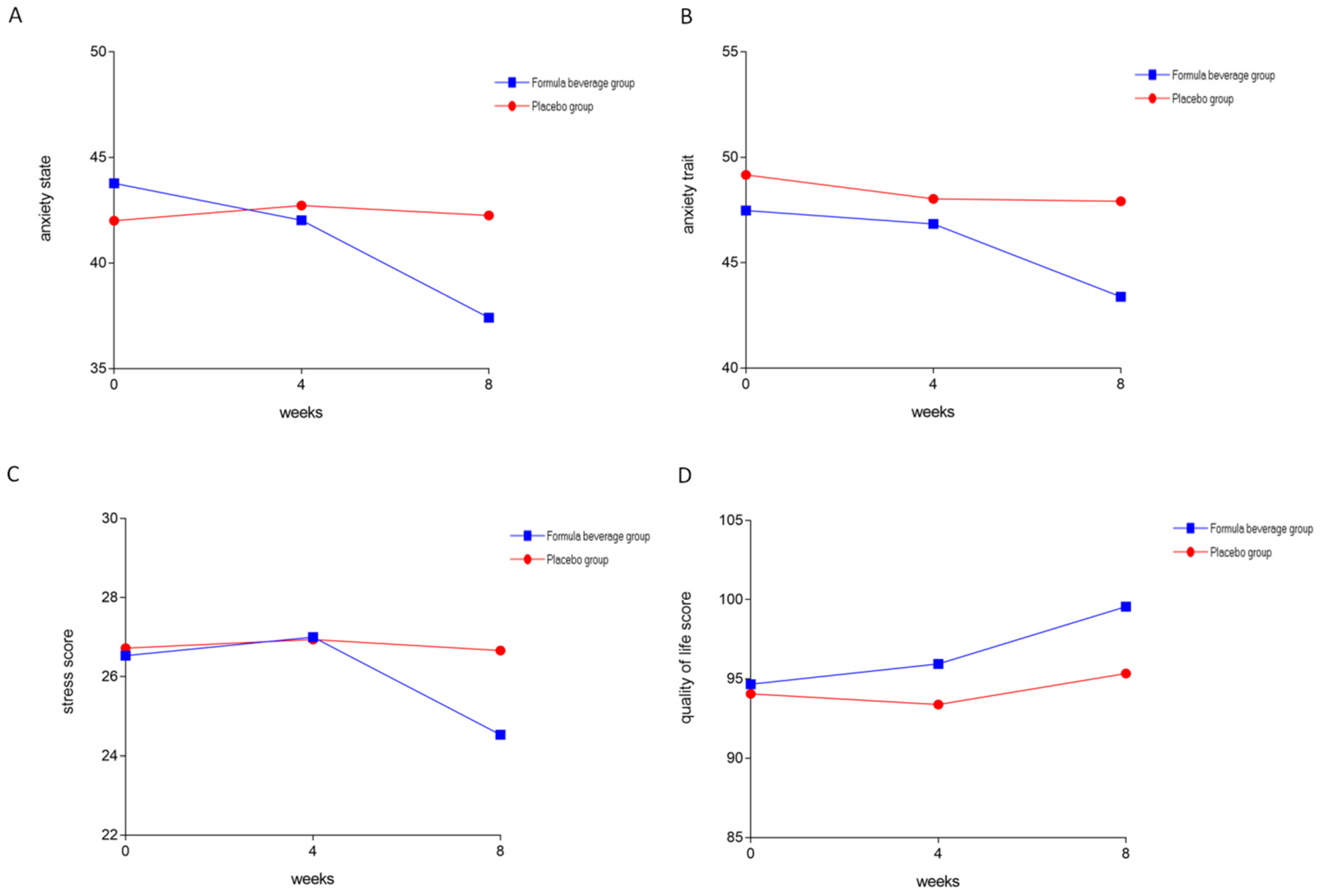
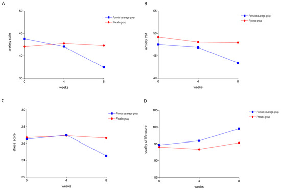
3.4. Formula Beverage Improved Anxiety and Quality of Life
4. Discussion
5. Conclusions
Author Contributions
Funding
Institutional Review Board Statement
Informed Consent Statement
Data Availability Statement
Conflicts of Interest
References
- Pickersgill, J.W.; Turco, C.V.; Ramdeo, K.; Rehsi, R.S.; Foglia, S.D.; Nelson, A.J. The Combined Influences of Exercise, Diet and Sleep on Neuroplasticity. Front. Psychol. 2022, 13, 831819. [Google Scholar] [CrossRef]
- Pereda, A.E. Electrical synapses and their functional interactions with chemical synapses. Nat. Rev. Neurosci. 2014, 15, 250–263. [Google Scholar] [CrossRef]
- Kennedy, M.B. Synaptic Signaling in Learning and Memory. Cold Spring Harb. Perspect. Biol. 2013, 8, a016824. [Google Scholar] [CrossRef]
- Teleanu, R.I.; Niculescu, A.G.; Roza, E.; Vladacenco, O.; Grumezescu, A.M.; Teleanu, D.M. Neurotransmitters-Key Factors in Neurological and Neurodegenerative Disorders of the Central Nervous System. Int. J. Mol. Sci. 2022, 23, 5954. [Google Scholar] [CrossRef]
- Awuchi, C.G.; Chukwu, C.N.; Iyiola, A.O.; Noreen, S.; Morya, S.; Adeleye, A.O.; Twinomuhwezi, H.; Leicht, K.; Mitaki, N.B.; Okpala, C.O.R. Bioactive Compounds and Therapeutics from Fish: Revisiting Their Suitability in Functional Foods to Enhance Human Wellbeing. Biomed. Res. Int. 2022, 2022, 3661866. [Google Scholar] [CrossRef] [PubMed]
- Derbyshire, E. Brain Health across the Lifespan: A Systematic Review on the Role of Omega-3 Fatty Acid Supplements. Nutrients 2018, 10, 1094. [Google Scholar] [CrossRef] [PubMed]
- Di Nicolantonio, J.J.; O’Keefe, J.H. The Importance of Marine Omega-3s for Brain Development and the Prevention and Treatment of Behavior, Mood, and Other Brain Disorders. Nutrients 2020, 12, 2333. [Google Scholar] [CrossRef] [PubMed]
- Tardy, A.L.; Pouteau, E.; Marquez, D.; Yilmaz, C.; Scholey, A. Vitamins and Minerals for Energy, Fatigue and Cognition: A Narrative Review of the Biochemical and Clinical Evidence. Nutrients 2020, 12, 228. [Google Scholar] [CrossRef]
- Kumar, K.; Mehra, R.; Guine, R.P.F.; Lima, M.J.; Kumar, N.; Kaushik, R.; Ahmed, N.; Yadav, A.N.; Kumar, H. Edible Mushrooms: A Comprehensive Review on Bioactive Compounds with Health Benefits and Processing Aspects. Foods 2021, 10, 2996. [Google Scholar] [CrossRef]
- Arunachalam, K.; Sreeja, P.S.; Yang, X. The Antioxidant Properties of Mushroom Polysaccharides can Potentially Mitigate Oxidative Stress, Beta-Cell Dysfunction and Insulin Resistance. Front. Pharmacol. 2022, 13, 874474. [Google Scholar] [CrossRef]
- Huang, S.; Mao, J.; Ding, K.; Zhou, Y.; Zeng, X.; Yang, W.; Wang, P.; Zhao, C.; Yao, J.; Xia, P.; et al. Polysaccharides from Ganoderma lucidum Promote Cognitive Function and Neural Progenitor Proliferation in Mouse Model of Alzheimer’s Disease. Stem Cell Rep. 2017, 8, 84–94. [Google Scholar] [CrossRef]
- Rufino-Palomares, E.E.; Perez-Jimenez, A.; Garcia-Salguero, L.; Mokhtari, K.; Reyes-Zurita, F.J.; Peragon-Sanchez, J.; Lupianez, J.A. Nutraceutical Role of Polyphenols and Triterpenes Present in the Extracts of Fruits and Leaves of Olea europaea as Antioxidants, Anti-Infectives and Anticancer Agents on Healthy Growth. Molecules 2022, 27, 2341. [Google Scholar] [CrossRef] [PubMed]
- Kennedy, D.O. B Vitamins and the Brain: Mechanisms, Dose and Efficacy—A Review. Nutrients 2016, 8, 68. [Google Scholar] [CrossRef] [PubMed]
- Sereno, A.B.; Amador, S.C. Attention and memory-related responses of neurons in the lateral intraparietal area during spatial and shape-delayed match-to-sample tasks. J. Neurophysiol. 2006, 95, 1078–1098. [Google Scholar] [CrossRef]
- Mahurin, R.K.; Velligan, D.I.; Hazleton, B.; Mark Davis, J.; Eckert, S.; Miller, A.L. Trail making test errors and executive function in schizophrenia and depression. Clin. Neuropsychol. 2006, 20, 271–288. [Google Scholar] [CrossRef] [PubMed]
- Wodka, E.L.; Loftis, C.; Mostofsky, S.H.; Prahme, C.; Larson, J.C.; Denckla, M.B.; Mahone, E.M. Prediction of ADHD in boys and girls using the D-KEFS. Arch. Clin. Neuropsychol. 2008, 23, 283–293. [Google Scholar] [CrossRef]
- Tamez, E.; Myerson, J.; Morris, L.; White, D.A.; Baum, C.; Connor, L.T. Assessing executive abilities following acute stroke with the trail making test and digit span. Behav. Neurol. 2011, 24, 177–185. [Google Scholar] [CrossRef]
- Terada, S.; Sato, S.; Nagao, S.; Ikeda, C.; Shindo, A.; Hayashi, S.; Oshima, E.; Yokota, O.; Uchitomi, Y. Trail making test B and brain perfusion imaging in mild cognitive impairment and mild Alzheimer’s disease. Psychiatry Res. 2013, 213, 249–255. [Google Scholar] [CrossRef]
- Johansson, B.; Wentzel, A.P.; Andrell, P.; Mannheimer, C.; Ronnback, L. Methylphenidate reduces mental fatigue and improves processing speed in persons suffered a traumatic brain injury. Brain Inj. 2015, 29, 758–765. [Google Scholar] [CrossRef]
- Salthouse, T.A. Aging and measures of processing speed. Biol. Psychol. 2000, 54, 35–54. [Google Scholar] [CrossRef]
- Kirwan, C.B.; Stark, C.E. Overcoming interference: An fMRI investigation of pattern separation in the medial temporal lobe. Learn. Mem. 2007, 14, 625–633. [Google Scholar] [CrossRef] [PubMed]
- Bakker, A.; Kirwan, C.B.; Miller, M.; Stark, C.E. Pattern separation in the human hippocampal CA3 and dentate gyrus. Science 2008, 319, 1640–1642. [Google Scholar] [CrossRef] [PubMed]
- Ferreira, R.; Murray, J. Spielberger’s State-Trait Anxiety Inventory: Measuring anxiety with and without an audience during performance on a stabilometer. Percept. Mot. Ski. 1983, 57, 15–18. [Google Scholar] [CrossRef] [PubMed]
- Duque, A.; Vazquez, C. Double attention bias for positive and negative emotional faces in clinical depression: Evidence from an eye-tracking study. J. Behav. Ther. Exp. Psychiatry 2015, 46, 107–114. [Google Scholar] [CrossRef]
- Cohen, S.; Kamarck, T.; Mermelstein, R. A global measure of perceived stress. J. Health Soc. Behav. 1983, 24, 385–396. [Google Scholar] [CrossRef] [PubMed]
- Pruneti, C.; Guidotti, S. Need for Multidimensional and Multidisciplinary Management of Depressed Preadolescents and Adolescents: A Review of Randomized Controlled Trials on Oral Supplementations (Omega-3, Fish Oil, Vitamin D3). Nutrients 2023, 15, 2306. [Google Scholar] [CrossRef]
- Tocher, D.R.; Betancor, M.B.; Sprague, M.; Olsen, R.E.; Napier, J.A. Omega-3 Long-Chain Polyunsaturated Fatty Acids, EPA and DHA: Bridging the Gap between Supply and Demand. Nutrients 2019, 11, 89. [Google Scholar] [CrossRef]
- Cole, G.M.; Ma, Q.L.; Frautschy, S.A. Omega-3 fatty acids and dementia. Prostaglandins Leukot. Essent. Fatty Acids 2009, 81, 213–221. [Google Scholar] [CrossRef]
- Swanson, D.; Block, R.; Mousa, S.A. Omega-3 fatty acids EPA and DHA: Health benefits throughout life. Adv. Nutr. 2012, 3, 1–7. [Google Scholar] [CrossRef]
- Wu, A.; Ying, Z.; Gomez-Pinilla, F. The salutary effects of DHA dietary supplementation on cognition, neuroplasticity, and membrane homeostasis after brain trauma. J. Neurotrauma 2011, 28, 2113–2122. [Google Scholar] [CrossRef]
- Countryman, R.A.; Orlowski, J.D.; Brightwell, J.J.; Oskowitz, A.Z.; Colombo, P.J. CREB phosphorylation and c-Fos expression in the hippocampus of rats during acquisition and recall of a socially transmitted food preference. Hippocampus 2005, 15, 56–67. [Google Scholar] [CrossRef] [PubMed]
- Xiao, M.; Xiang, W.; Chen, Y.; Peng, N.; Du, X.; Lu, S.; Zuo, Y.; Li, B.; Hu, Y.; Li, X. DHA Ameliorates Cognitive Ability, Reduces Amyloid Deposition, and Nerve Fiber Production in Alzheimer’s Disease. Front. Nutr. 2022, 9, 852433. [Google Scholar] [CrossRef] [PubMed]
- Cole, S.L.; Vassar, R. The role of amyloid precursor protein processing by BACE1, the beta-secretase, in Alzheimer disease pathophysiology. J. Biol. Chem. 2008, 283, 29621–29625. [Google Scholar] [CrossRef] [PubMed]
- Nakamichi, N.; Nakao, S.; Masuo, Y.; Koike, A.; Matsumura, N.; Nishiyama, M.; Al-Shammari, A.H.; Sekiguchi, H.; Sutoh, K.; Usumi, K.; et al. Hydrolyzed Salmon Milt Extract Enhances Object Recognition and Location Memory Through an Increase in Hippocampal Cytidine Nucleoside Levels in Normal Mice. J. Med. Food 2019, 22, 408–415. [Google Scholar] [CrossRef]
- Unno, K.; Taguchi, K.; Fujita, M.; Sutoh, K.; Nakamura, Y. Stress Reduction Potential in Mice Ingesting DNA from Salmon Milt. Biology 2023, 12, 978. [Google Scholar] [CrossRef]
- Xue, Y.; Li, X.; Tian, Y.; Huang, X.; Zhang, L.; Li, J.; Hou, H.; Dong, P.; Wang, J. Salmon sperm DNA prevents acute liver injury by regulating alcohol-induced steatosis and restores chronic hepatosis via alleviating inflammation and apoptosis. J. Food Biochem. 2022, 46, e14346. [Google Scholar] [CrossRef] [PubMed]
- Cao, S.; Fisher, D.W.; Yu, T.; Dong, H. The link between chronic pain and Alzheimer’s disease. J. Neuroinflammation 2019, 16, 204. [Google Scholar] [CrossRef] [PubMed]
- Basile, G.A.; Iannuzzo, F.; Xerra, F.; Genovese, G.; Pandolfo, G.; Cedro, C.; Muscatello, M.R.A.; Bruno, A. Cognitive and Mood Effect of Alpha-Lipoic Acid Supplementation in a Nonclinical Elder Sample: An Open-Label Pilot Study. Int. J. Environ. Res. Public. Health 2023, 20, 2358. [Google Scholar] [CrossRef]
- Carrillo, J.A.; Arcusa, R.; Zafrilla, M.P.; Marhuenda, J. Effects of Fruit and Vegetable-Based Nutraceutical on Cognitive Function in a Healthy Population: Placebo-Controlled, Double-Blind, and Randomized Clinical Trial. Antioxidants 2021, 10, 116. [Google Scholar] [CrossRef]
- van den Brink, A.C.; Brouwer-Brolsma, E.M.; Berendsen, A.A.M.; van de Rest, O. The Mediterranean, Dietary Approaches to Stop Hypertension (DASH), and Mediterranean-DASH Intervention for Neurodegenerative Delay (MIND) Diets Are Associated with Less Cognitive Decline and a Lower Risk of Alzheimer’s Disease-A Review. Adv. Nutr. 2019, 10, 1040–1065. [Google Scholar] [CrossRef]
- Huang, T.Y.; Yang, F.L.; Chiu, H.W.; Chao, H.C.; Yang, Y.J.; Sheu, J.H.; Hua, K.F.; Wu, S.H. An Immunological Polysaccharide from Tremella fuciformis: Essential Role of Acetylation in Immunomodulation. Int. J. Mol. Sci. 2022, 23, 10392. [Google Scholar] [CrossRef] [PubMed]
- Kim, J.H.; Ha, H.-C.; Lee, M.-S.; Kang, J.-I.; Kim, H.-S.; Lee, S.-Y.; Pyun, K.-H.; Shim, I. Effect of Tremella fuciformis on the neurite outgrowth of PC12h cells and the improvement of memory in rats. Biol. Pharm. Bull. 2007, 30, 708–714. [Google Scholar] [CrossRef] [PubMed]
- Chung, Y.-C.; Jin, H.-M.; Cui, Y.; Kim, D.; Jung, J.; Park, J.-I.; Jung, E.-S.; Choi, E.-K.; Chae, S.-W. Fermented milk of Lactobacillus helveticus IDCC3801 improves cognitive functioning during cognitive fatigue tests in healthy older adults. J. Funct. Foods 2014, 10, 465–474. [Google Scholar] [CrossRef]
- Kumar, M.R.; Azizi, N.F.; Yeap, S.K.; Abdullah, J.O.; Khalid, M.; Omar, A.R.; Osman, M.A.; Leow, A.T.C.; Mortadza, S.A.S.; Alitheen, N.B. Clinical and Preclinical Studies of Fermented Foods and Their Effects on Alzheimer’s Disease. Antioxidants 2022, 11, 883. [Google Scholar] [CrossRef] [PubMed]





| Formula-Beverage Group | Placebo Group | |
|---|---|---|
| Number | 32 | 32 |
| Male | 9 | 11 |
| Female | 23 | 21 |
| Average age | 28.93 | 28.18 |
| Maximum age | 59.22 | 56.47 |
| Minimum age | 20.18 | 20.44 |
| Index | Number of Memory Cards | SD | Trail-Making Test Section 1 | SD | Trail-Making Test Section 2 | SD | Number of Keys | SD | |
|---|---|---|---|---|---|---|---|---|---|
| Formula beverage | week 0 | 61.69 | ±23.08 | 50.35 | ±17.39 | 90.54 | ±30.78 | 127.41 | ±39.63 |
| week 4 | 70.44 | ±23.85 | 44.4 | ±15.51 | 69.68 | ±21.97 | 134.88 | ±42.32 | |
| week 8 | 78.19 | ±26.96 | 38.89 | ±11.70 | 57.91 | ±16.09 | 139.78 | ±43.44 | |
| Placebo beverage | week 0 | 66.31 | ±19.63 | 42.97 | ±9.95 | 71.54 | ±20.71 | 130.09 | ±40.70 |
| week 4 | 70.38 | ±25.24 | 45.71 | ±11.32 | 70.74 | ±18.71 | 132.72 | ±42.35 | |
| week 8 | 72.94 | ±25.31 | 41.04 | ±10.15 | 64.64 | ±15.80 | 139.25 | ±40.12 | |
| Week 0, 4, 8 | between-group effect | – | – | – | – | ||||
| week effect | <0.001 | <0.001 | <0.001 | <0.001 | |||||
| interaction | 0.049 | <0.001 | <0.001 | – | |||||
| Week 0, 4 | between-group effect | – | – | – | – | ||||
| week effect | – | <0.001 | <0.001 | <0.001 | |||||
| interaction | – | – | <0.001 | – | |||||
| Week 4, 8 | between-group effect | – | – | – | – | ||||
| week effect | 0.01 | <0.001 | <0.001 | <0.001 | |||||
| interaction | – | – | – | – |
| Index | Accuracy of Item Categorization | SD | Accuracy of Memory Recall (New Items) | SD | Accuracy of Memory Recall (Old Items) | SD | Accuracy of Memory Recall (Similar Items) | SD | Remembering Old Items | SD | Similar Impression Scores | SD | |
|---|---|---|---|---|---|---|---|---|---|---|---|---|---|
| Formula beverage | week 0 | 0.93 | ±0.08 | 0.74 | ±0.16 | 0.65 | ±0.17 | 0.47 | ±0.19 | 0.04 | ±0.22 | 0.18 | ±0.20 |
| week 4 | 0.94 | ±0.06 | 0.72 | ±0.15 | 0.69 | ±0.18 | 0.49 | ±0.22 | 0.09 | ±0.25 | 0.12 | ±0.18 | |
| week 8 | 0.94 | ±0.05 | 0.72 | ±0.18 | 0.7 | ±0.21 | 0.49 | ±0.18 | 0.09 | ±0.29 | 0.13 | ±0.21 | |
| Placebo beverage | week 0 | 0.94 | ±0.04 | 0.72 | ±0.13 | 0.67 | ±0.15 | 0.47 | ±0.13 | 0.07 | ±0.17 | 0.16 | ±0.16 |
| week 4 | 0.94 | ±0.04 | 0.69 | ±0.11 | 0.7 | ±0.17 | 0.48 | ±0.16 | 0.11 | ±0.21 | 0.10 | ±0.14 | |
| week 8 | 0.94 | ±0.05 | 0.72 | ±0.14 | 0.73 | ±0.18 | 0.47 | ±0.15 | 0.14 | ±0.24 | 0.12 | ±0.15 | |
| Week 0, 4, 8 | between-group effect | – | – | – | – | – | – | ||||||
| week effect | – | – | <0.001 | – | 0.015 | 0.024 | |||||||
| interaction | – | – | – | – | – | – | |||||||
| Week 0, 4 | between-group effect | – | – | – | – | – | – | ||||||
| week effect | – | – | 0.005 | – | 0.036 | 0.003 | |||||||
| interaction | – | – | – | – | – | – | |||||||
| Week 4, 8 | between-group effect | – | – | – | – | – | – | ||||||
| week effect | – | – | – | – | – | – | |||||||
| interaction | – | – | – | – | – | – |
| Emotional Assessment | Cue Effect | ||||||||||||||||||||||
|---|---|---|---|---|---|---|---|---|---|---|---|---|---|---|---|---|---|---|---|---|---|---|---|
| Index | Accuracy of Facial Emotion Assessment | SD | Facial Emotion Assessment Feeling Degree | SD | Angry Graph Reaction Time | SD | Happy Graph Reaction Time | SD | Sad Graph Reaction Time | SD | Accuracy of Anger Graph | SD | Accuracy of Happy Graph | SD | Accuracy of Sad Graph | SD | Angry Ies | SD | Happy Ies | SD | Sad Ies | SD | |
| Formula beverage | week 0 | 0.75 | ±0.11 | 2.9 | ±0.46 | −2.45 | ±0.02 | −2.88 | ±0.03 | −1.4 | ±0.03 | 0 | ±0.05 | 6.02 | ±0.05 | −15.63 | ±0.08 | −4.97 | ±0.04 | −6.35 | ±0.04 | 10.19 | ±0.05 |
| week 4 | 0.79 | ±0.13 | 3.08 | ±0.47 | −5.54 | ±0.02 | 4.83 | ±0.02 | −1.18 | ±0.02 | −1.95 | ±0.05 | 24.41 | ±0.06 | 6.84 | ±0.04 | −4.8 | ±0.04 | −10.1 | ±0.05 | −5.54 | ±0.03 | |
| week 8 | 0.78 | ±0.11 | 3.12 | ±0.67 | 0.68 | ±0.02 | 1.51 | ±0.02 | −9.71 | ±0.02 | 5.86 | ±0.05 | −5.86 | ±0.06 | −1.95 | ±0.05 | −2.11 | ±0.04 | 5.03 | ±0.0.05 | −8.76 | ±0.04 | |
| Placebo beverage | week 0 | 0.8 | ±0.05 | 3.25 | ±0.48 | 4.59 | ±0.03 | 3.83 | ±0.02 | −1.04 | ±0.02 | 4.88 | ±0.06 | 6.84 | ±0.05 | −5.86 | ±0.05 | 1.76 | ±0.05 | 1.25 | ±0.03 | 1.75 | ±0.04 |
| week 4 | 0.8 | ±0.06 | 3.14 | ±0.57 | −1.92 | ±0.03 | −5.39 | ±0.02 | −5.65 | ±0.02 | −3.91 | ±0.05 | −2.93 | ±0.05 | 1.95 | ±0.05 | 0.29 | ±0.03 | −4.9 | ±0.03 | −6.57 | ±0.04 | |
| week 8 | 0.76 | ±0.15 | 3.05 | ±0.72 | −1.28 | ±0.03 | 5.85 | ±0.02 | −9.5 | ±.0.04 | −7.81 | ±0.04 | −2.93 | ±0.06 | −6.84 | ±0.05 | 4.15 | ±0.05 | 7.68 | ±0.03 | −7.63 | ±0.06 | |
| Week 0, 4, 8 | between-group effect | – | – | – | – | – | – | – | – | – | – | – | |||||||||||
| week effect | – | – | – | – | – | – | – | – | – | – | – | ||||||||||||
| interaction | – | 0.032 | – | – | – | – | – | – | – | – | – | ||||||||||||
| Week 0, 4 | between-group effect | – | – | – | – | – | – | – | – | – | – | – | |||||||||||
| week effect | – | – | – | – | – | – | – | – | – | – | – | ||||||||||||
| interaction | – | – | – | 0.039 | – | – | – | – | – | – | – | ||||||||||||
| Week 4, 8 | between-group effect | – | – | – | – | – | – | – | – | – | – | – | |||||||||||
| week effect | – | – | – | – | – | – | – | – | – | 0.046 | – | ||||||||||||
| interaction | – | – | – | – | – | – | – | – | – | – | – | ||||||||||||
| Index | Anxiety State | SD | Anxiety Trait | SD | Stress Score | SD | Quality of Life Score | SD | |
|---|---|---|---|---|---|---|---|---|---|
| Formula beverage | week 0 | 43.78 | ±10.74 | 47.47 | ±11.93 | 26.53 | ±9.19 | 94.66 | ±18.14 |
| week 4 | 42.03 | ±10.11 | 46.84 | ±11.96 | 27.03 | ±8.01 | 95.94 | ±15.44 | |
| week 8 | 37.41 | ±9.16 | 43.38 | ±11.19 | 24.53 | ±8.35 | 99.56 | ±15.83 | |
| Placebo beverage | week 0 | 42.06 | ±11.35 | 49.16 | ±10.72 | 26.72 | ±6.98 | 94.06 | ±13.69 |
| week 4 | 42.72 | ±10.38 | 48.03 | ±10.48 | 26.94 | ±6.61 | 93.38 | ±15.34 | |
| week 8 | 42.25 | ±9.97 | 47.91 | ±9.79 | 26.66 | ±7.99 | 95.34 | ±12.86 | |
| Week 0, 4, 8 | between-group effect | – | – | – | – | ||||
| week effect | 0.045 | 0.047 | – | 0.044 | |||||
| interaction | 0.034 | – | – | – | |||||
| Week 0, 4 | between-group effect | – | – | – | – | ||||
| week effect | – | – | – | – | |||||
| interaction | – | – | – | – | |||||
| Week 4, 8 | between-group effect | – | – | – | – | ||||
| week effect | – | – | – | <0.001 | |||||
| interaction | – | – | – | – |
Disclaimer/Publisher’s Note: The statements, opinions and data contained in all publications are solely those of the individual author(s) and contributor(s) and not of MDPI and/or the editor(s). MDPI and/or the editor(s) disclaim responsibility for any injury to people or property resulting from any ideas, methods, instructions or products referred to in the content. |
© 2023 by the authors. Licensee MDPI, Basel, Switzerland. This article is an open access article distributed under the terms and conditions of the Creative Commons Attribution (CC BY) license (https://creativecommons.org/licenses/by/4.0/).
Share and Cite
Lin, Y.-K.; Lin, Y.-H.; Chiang, C.-F.; Jingling, L. Effectiveness of Fish Roe, Snow Fungus, and Yeast Supplementation for Cognitive Function: A Randomized, Double-Blind, Placebo-Controlled Clinical Trial. Nutrients 2023, 15, 4221. https://doi.org/10.3390/nu15194221
Lin Y-K, Lin Y-H, Chiang C-F, Jingling L. Effectiveness of Fish Roe, Snow Fungus, and Yeast Supplementation for Cognitive Function: A Randomized, Double-Blind, Placebo-Controlled Clinical Trial. Nutrients. 2023; 15(19):4221. https://doi.org/10.3390/nu15194221
Chicago/Turabian StyleLin, Yung-Kai, Yung-Hsiang Lin, Chi-Fu Chiang, and Li Jingling. 2023. "Effectiveness of Fish Roe, Snow Fungus, and Yeast Supplementation for Cognitive Function: A Randomized, Double-Blind, Placebo-Controlled Clinical Trial" Nutrients 15, no. 19: 4221. https://doi.org/10.3390/nu15194221
APA StyleLin, Y.-K., Lin, Y.-H., Chiang, C.-F., & Jingling, L. (2023). Effectiveness of Fish Roe, Snow Fungus, and Yeast Supplementation for Cognitive Function: A Randomized, Double-Blind, Placebo-Controlled Clinical Trial. Nutrients, 15(19), 4221. https://doi.org/10.3390/nu15194221

