Increasing Household Diet Diversity and Food Security in Rural Rwanda Using Small-Scale Nutrition-Sensitive Agriculture: A Community-Engaged Proof-of-Concept Study
Abstract
1. Introduction
2. Materials and Methods
2.1. Study Design and Subjects
2.2. Intervention
2.3. Data Collection
2.3.1. Sociodemographics
2.3.2. Dietary Assessment
2.3.3. Household Diet Diversity Score
2.3.4. Food Security Evaluation
2.4. Data Analysis
3. Results
3.1. Characteristics of Study Groups
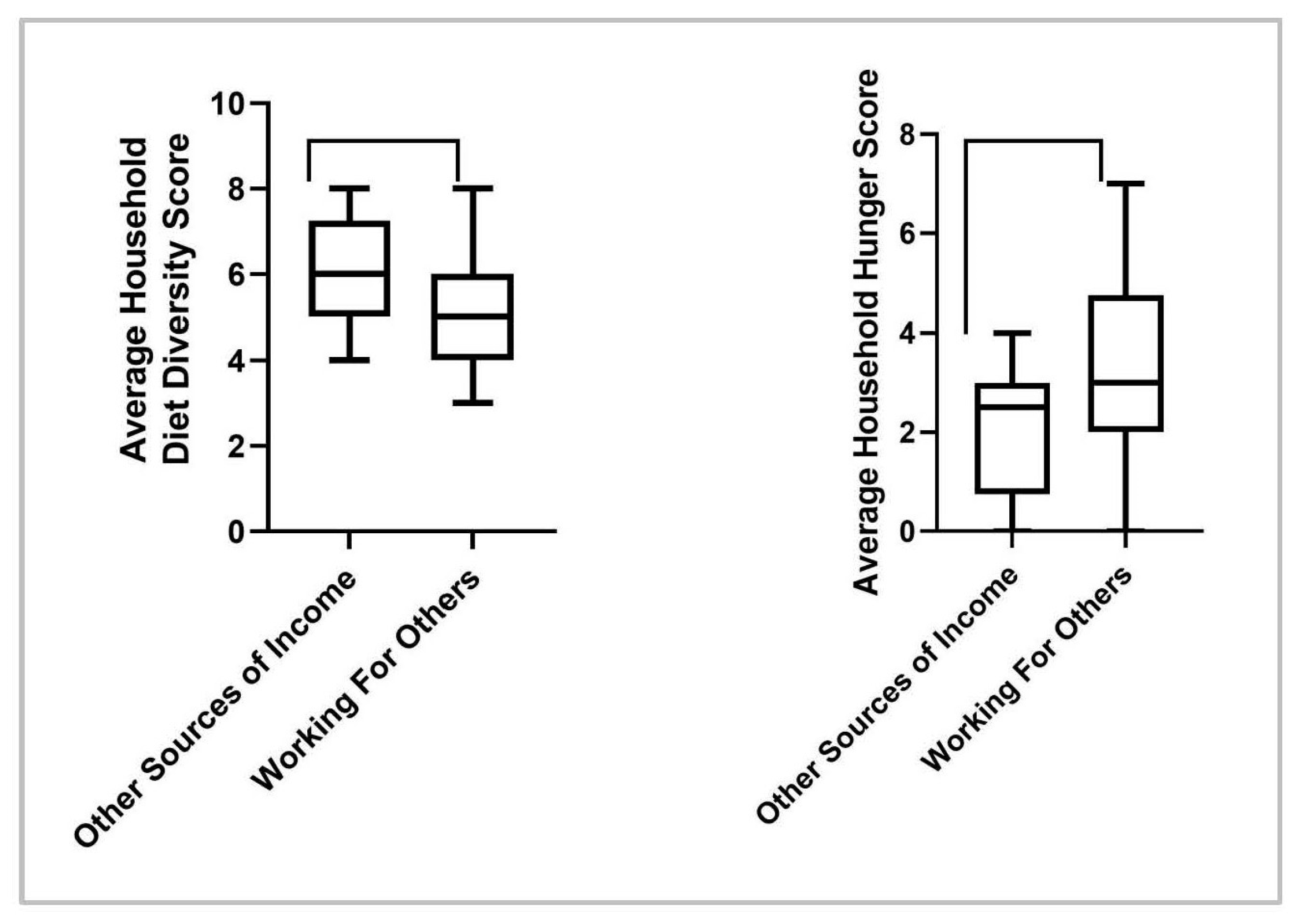
3.2. Household Dietary Diversity Measurements
3.3. Household Food Security Measurements
4. Discussion
5. Conclusions
Author Contributions
Funding
Institutional Review Board Statement
Informed Consent Statement
Data Availability Statement
Acknowledgments
Conflicts of Interest
References
- Rwanda at a Glance. FAO in Rwanda. Food and Agriculture Organization of the United Nations. Available online: http://www.fao.org/rwanda/our-office-in-rwanda/rwanda-at-a-glance/en/ (accessed on 23 March 2021).
- Nyiraneza, L.; Wong, R.; Olu, O.; Nahimana, M.-R.; Birachi, E.; Musoni, A.; Gegout, C.; Logan, J. Risk Factors Associated with Childhood Stunting in Rwanda: A Secondary Analysis of the 2014 Nutrition, Markets and Gender (NMG) Survey. J. Manag. Strategy 2019, 10, 34. [Google Scholar] [CrossRef]
- Paridaens, A.-M.; Rammala, V. Comprehensive Food Security and Vulnerability Analysis; Commission on Social Determinants of Health, World Health Organization: Geneva, Switzerland, 2021. Available online: https://www.statistics.gov.rw/publication/comprehensive-food-security-and-vulnerability-analysis2022 (accessed on 29 April 2022).
- Vitamin A Deficiency in Children—UNICEF DATA. Available online: https://data.unicef.org/topic/nutrition/vitamin-a-deficiency/ (accessed on 10 May 2021).
- National Institute of Statistics of Rwanda; Ministry of Health; ICF. Rwanda Demographic and Health Survey 2019–20: Final Report; National Institute of Statistics of Rwanda: Kigali, Rwanda; Ministry of Health: Kigali, Rwanda; ICF: Rockville, MD, USA, 2021. Available online: https://dhsprogram.com/publications/publication-FR370-DHS-Final-Reports.cfm (accessed on 30 May 2023).
- Taruvinga, A.; Muchenje, V.; Mushunje, A. Determinants of Rural Household Dietary Diversity: The Case of Amatole and Nyandeni Districts, South Africa. Int. J. Dev. Sustain. 2013, 2, 2233–2247. [Google Scholar]
- Masset, E.; Haddad, L.; Cornelius, A.; Isaza-Castro, J. Effectiveness of Agricultural Interventions That Aim to Improve Nutritional Status of Children: Systematic Review. BMJ 2012, 344, d8222. [Google Scholar] [CrossRef] [PubMed]
- Berti, P.R.; Krasevec, J.; FitzGerald, S. A Review of the Effectiveness of Agriculture Interventions in Improving Nutrition Outcomes. Public Health Nutr. 2004, 7, 599–609. [Google Scholar] [CrossRef] [PubMed]
- Keding, G.B.; Msuya, J.M.; Maass, B.L.; Krawinkel, M.B. Relating Dietary Diversity and Food Variety Scores to Vegetable Production and Socio-Economic Status of Women in Rural Tanzania. Food Sec. 2012, 4, 129–140. [Google Scholar] [CrossRef]
- Blakstad, M.M.; Mosha, D.; Bellows, A.L.; Canavan, C.R.; Chen, J.T.; Mlalama, K.; Noor, R.A.; Kinabo, J.; Masanja, H.; Fawzi, W.W. Home Gardening Improves Dietary Diversity, a Cluster-randomized Controlled Trial among Tanzanian Women. Matern. Child Nutr. 2021, 17, e13096. [Google Scholar] [CrossRef] [PubMed]
- Pandey, V.L.; Mahendra Dev, S.; Jayachandran, U. Impact of Agricultural Interventions on the Nutritional Status in South Asia: A Review. Food Policy 2016, 62, 28–40. [Google Scholar] [CrossRef] [PubMed]
- Shetty, P. Nutrition Sensitive Agriculture to Achieve Better Nutritional Outcomes. Eur. J. Clin. Nutr. 2018, 72, 1296–1299. [Google Scholar] [CrossRef] [PubMed]
- Bezner Kerr, R.; Kangmennaang, J.; Dakishoni, L.; Nyantakyi-Frimpong, H.; Lupafya, E.; Shumba, L.; Msachi, R.; Boateng, G.O.; Snapp, S.S.; Chitaya, A.; et al. Participatory Agroecological Research on Climate Change Adaptation Improves Smallholder Farmer Household Food Security and Dietary Diversity in Malawi. Agric. Ecosyst. Environ. 2019, 279, 109–121. [Google Scholar] [CrossRef]
- Baum, F. Participatory Action Research. J. Epidemiol. Community Health 2006, 60, 854–857. [Google Scholar] [CrossRef] [PubMed]
- Swantz, M. Participatory Action Research as Practice. In SAGE Handbook of Action Research.; Reason, P., Bradbury, H., Eds.; SAGE Publications Ltd.: New York, NY, USA, 2008; pp. 31–48. [Google Scholar]
- Chambers, R. PRA, PLA and Pluralism: Practice and Theory. In The SAGE Handbook of Action Research; Reason, P., Bradbury, H., Eds.; SAGE Publications Ltd.: New York, NY, USA, 2008; pp. 297–318. [Google Scholar]
- Quisumbing, A.R.; Pandolfelli, L. Promising Approaches to Address the Needs of Poor Female Farmers: Resources, Constraints, and Interventions. World Dev. 2010, 38, 581–592. [Google Scholar] [CrossRef]
- Webb, P. Impact Pathways from Agricultural Research to Improved Nutrition and Health: Literature Analysis and Research Priorities; Food and Agriculture Organization: Rome, Italy; World Health Organization: Geneva, Switzerland, 2013.
- Palinkas, L.A.; Horwitz, S.M.; Green, C.A.; Wisdom, J.P.; Duan, N.; Hoagwood, K. Purposeful Sampling for Qualitative Data Collection and Analysis in Mixed Method Implementation Research. Adm. Policy Ment. Health 2015, 42, 533–544. [Google Scholar] [CrossRef] [PubMed]
- Ames, H.; Glenton, C.; Lewin, S. Purposive Sampling in a Qualitative Evidence Synthesis: A Worked Example from a Synthesis on Parental Perceptions of Vaccination Communication. BMC Med. Res. Methodol. 2019, 19, 26. [Google Scholar] [CrossRef] [PubMed]
- Sly, B. Using Participatory Action Research Methods to Create Nutrition Education That Sustainably Improves Diet Diversity Through Women’s Empowerment. Ph.D. Thesis, Colorado State University, Fort Collins, CO, USA, 2021. [Google Scholar]
- National Institute of Statistics of Rwanda; Ministry of Finance and Economic Planning; Ministry of Health. Rwanda Demographic and Health Survey, 2014–2015: Final Report; The DHS Program, ICF International: Rockville, MD, USA, 2016.
- Savy, M.; Martin-Prével, Y.; Traissac, P.; Delpeuch, F. Measuring Dietary Diversity in Rural Burkina Faso: Comparison of a 1-Day and a 3-Day Dietary Recall. Public Health Nutr. 2007, 10, 71–78. [Google Scholar] [CrossRef] [PubMed]
- Deitcher, M.; Ballard, T.; Swindale, A.; Coates, J. Validation of a Measure of Household Hunger for Cross-Cultural Use; Academy for Educational Development: Washington, DC, USA, 2010. [Google Scholar]
- Kennedy, P.G.; Ballard, T.; Dop, M. Guidelines for Measuring Household and Individual Dietary Diversity; Food and Agriculture Organization of the United Nations: Rome, Italy, 2011. [Google Scholar]
- Cordero-Ahiman, O.V.; Vanegas, J.L.; Franco-Crespo, C.; Beltrán-Romero, P.; Quinde-Lituma, M.E. Factors That Determine the Dietary Diversity Score in Rural Households: The Case of the Paute River Basin of Azuay Province, Ecuador. Int. J. Environ. Res. Public Health 2021, 18, 2059. [Google Scholar] [CrossRef] [PubMed]
- Ballard, T.; Coates, J.; Swindale, A.; Deitchler, M. Household Hunger Scale: Indicator Definition and Measurement Guide; Food and Nutrition Technical Assistance II Project: Washington, DC, USA, 2011. [Google Scholar]
- Dietary Diversity. INDDEX Project. Available online: https://inddex.nutrition.tufts.edu/data4diets/data-source/dietary-diversity (accessed on 26 March 2021).
- Addressing the Challenge of Iodine Deficiency in Developing Countries—MedCrave Online. Available online: https://medcraveonline.com/MOJPH/addressing-the-challenge-of-iodine-deficiency-in-developing-countries.html (accessed on 26 March 2021).
- Norton, G.; Alwang, J.; Masters, W. Economics of Agricultural Development: World Food Systems and Resource Use, 3rd ed.; Routledge: New York, NY, USA, 2015. [Google Scholar]
- National Institute of Statistics of Rwanda; Ministry of Health. Demographic and Health Survey RDHS 2014–2015, District Profile Chart Book, Northern Province; ICF International: Rockville, MD, USA, 2015; ISBN 978-99977-43-19-0. Available online: www.statistics.gov.rw (accessed on 29 April 2022).
- Republic of Rwanda: National Itorero Commission. Available online: https://www.nic.gov.rw/index.php?id=2 (accessed on 26 March 2021).
- Rwanda’s National Cleanup Day Eliminates Trash—But Raises Some Concerns : Goats and Soda: NPR. Available online: https://www.npr.org/sections/goatsandsoda/2018/07/18/628364015/how-rwanda-tidied-up-its-streets-and-the-rest-of-the-country-too (accessed on 26 March 2021).
- When Empathy Informs Politics: A Rwandan Paradigm. Available online: https://berkleycenter.georgetown.edu/posts/when-empathy-informs-politics-a-rwandan-paradigm (accessed on 26 March 2021).
- Brander, M.; Bernauer, T.; Huss, M. Improved On-Farm Storage Reduces Seasonal Food Insecurity of Smallholder Farmer Households—Evidence from a Randomized Control Trial in Tanzania. Food Policy 2021, 98, 101891. [Google Scholar] [CrossRef]
- Kansiime, M.K.; Tambo, J.A.; Mugambi, I.; Bundi, M.; Kara, A.; Owuor, C. COVID-19 Implications on Household Income and Food Security in Kenya and Uganda: Findings from a Rapid Assessment. World Dev. 2021, 137, 105199. [Google Scholar] [CrossRef] [PubMed]
- FAO. Nutrition-Sensitive Agriculture; FAO: Rome, Italy, 2014. [Google Scholar]





| Week | Learning Topic |
|---|---|
| 1 | Introduction to basic nutrition and home gardens |
| 2 | Trench garden design |
| 3 | Keyhole garden design |
| 4 | Work week |
| 5 | Water management and the nutritional needs of various household members (part 1) |
| 6 | Composting and different nutrients in food |
| 7 | Work week |
| 8 | Pest and weed management and the nutritional needs of various household members (part 2) |
| 9 | Seed saving and household meal planning |
| 10 | Work week |
| 11 | Perennial crops, fruit trees, and nutritional deficiencies |
| 12 | Food safety and preservation and ensuring household food security |
| 13 | Cooking and planning balanced meals |
| 14 | Work week |
| 15 | Question-and-answer session |
| 16 | Large group reflection and celebration |
| Food Groups | Foods within the Food Group |
|---|---|
| Cereals | maize, rice, wheat, sorghum, millet, or any other grains or foods made from these (e.g., bread, noodles, ugali) |
| White Roots and Tubers | white potatoes, white yams, or white cassava |
| Vegetables | Vitamin A-Rich Vegetables and Tubers: pumpkin, carrot, squash, or sweet potatoes that are orange inside, ibihaza, tomato Dark-Green Leafy Vegetables: dark-green leafy vegetables including spinach, kale and wild forms and/or locally available vitamin A-rich leaves such as from amaranth (dodo), cassava (isombe) Other Vegetables: any other vegetables (e.g., tomato, onion, eggplant, cabbage, onion, lettuce, celery) |
| Fruits | Vitamin A-Rich Fruits: mango, cantaloupe, apricot, papaya, peach, and 100% fruit juice made from these fruits Other Fruits: matoke (banana variety), passion fruit, avocado, plantain, pineapple, and other fruits, including 100% fruit juices made from these fruits |
| Organ and Flesh Meats | liver, kidney, heart, or other organ meats, and beef, pork, lamb, goat, rabbit, chicken, duck, other birds, insects, and wild game |
| Eggs | eggs from chicken, duck, or guinea fowl |
| Fish and Seafood | fresh or dried fish and seafood |
| Legumes, Nuts, and Seeds | dried beans, dried peans, lentils, nuts, seeds, or foods made from these foods (e.g., peanut butter, ikinyiga) |
| Milk and Milk Products | milk, cheese, yogurt, or other milk products |
| Oils and Fats | oil, butter, margarine added to food or used for cooking |
| Sweets | sugar, honey, sweetened beverages, sugary foods such as candies, cookies, cakes, sweet bread foods |
| Spices, Condiments, and Beverages | spices (salt and black pepper), condiments (ketchup sauce, mayonnaise), coffee, tea, alcoholic beverages |
| Age (Years), Mean (SD) | 41.9 (12.3) |
|---|---|
| Marital status, percentage | |
| Married | 81.0% |
| Widowed | 16.7% |
| Separated/Divorced | 2.4% |
| Number of people in household, mean (SD) | 6.0 (2.2) |
| Number of children in household under the age of 5, mean (SD) | 1.0 (0.9) |
| Grow staple crops (potatoes, maize, beans, sorghum and sweet potatoes), percentage | 62% |
| Main income source, percentage | |
| Retailer | 11.9% |
| Work for Other Farmers | 66.7% |
| Employed | 4.8% |
| Other | 4.8% |
| No Income Source | 11.8% |
Disclaimer/Publisher’s Note: The statements, opinions and data contained in all publications are solely those of the individual author(s) and contributor(s) and not of MDPI and/or the editor(s). MDPI and/or the editor(s) disclaim responsibility for any injury to people or property resulting from any ideas, methods, instructions or products referred to in the content. |
© 2023 by the authors. Licensee MDPI, Basel, Switzerland. This article is an open access article distributed under the terms and conditions of the Creative Commons Attribution (CC BY) license (https://creativecommons.org/licenses/by/4.0/).
Share and Cite
Sly, B.C.; Weir, T.L.; Cunningham-Sabo, L.; Leisz, S.J.; Stull, V.J.; Melby, C.L. Increasing Household Diet Diversity and Food Security in Rural Rwanda Using Small-Scale Nutrition-Sensitive Agriculture: A Community-Engaged Proof-of-Concept Study. Nutrients 2023, 15, 3137. https://doi.org/10.3390/nu15143137
Sly BC, Weir TL, Cunningham-Sabo L, Leisz SJ, Stull VJ, Melby CL. Increasing Household Diet Diversity and Food Security in Rural Rwanda Using Small-Scale Nutrition-Sensitive Agriculture: A Community-Engaged Proof-of-Concept Study. Nutrients. 2023; 15(14):3137. https://doi.org/10.3390/nu15143137
Chicago/Turabian StyleSly, Brittney C., Tiffany L. Weir, Leslie Cunningham-Sabo, Stephen J. Leisz, Valerie J. Stull, and Christopher L. Melby. 2023. "Increasing Household Diet Diversity and Food Security in Rural Rwanda Using Small-Scale Nutrition-Sensitive Agriculture: A Community-Engaged Proof-of-Concept Study" Nutrients 15, no. 14: 3137. https://doi.org/10.3390/nu15143137
APA StyleSly, B. C., Weir, T. L., Cunningham-Sabo, L., Leisz, S. J., Stull, V. J., & Melby, C. L. (2023). Increasing Household Diet Diversity and Food Security in Rural Rwanda Using Small-Scale Nutrition-Sensitive Agriculture: A Community-Engaged Proof-of-Concept Study. Nutrients, 15(14), 3137. https://doi.org/10.3390/nu15143137

