Intermittent Fasting Promotes Weight Loss without Decreasing Performance in Taekwondo
Abstract
1. Introduction
2. Methods
2.1. Subjects
2.2. Experimental Design
2.3. Familiarization and Reliability
2.4. Performance Protocols
2.5. Total Body Mass Measures
2.6. Statistical Analysis
3. Results
3.1. Familiarization and Reliability
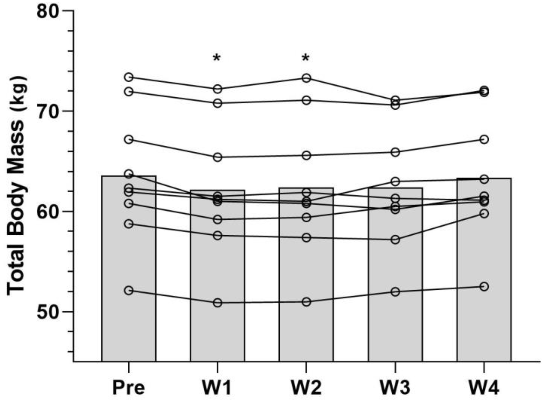
3.2. Total Body Mass
3.3. CMJ
3.4. FSKTmult
3.5. Energy Intake
4. Discussion
5. Conclusions
Author Contributions
Funding
Institutional Review Board Statement
Informed Consent Statement
Data Availability Statement
Acknowledgments
Conflicts of Interest
References
- Andreato, L.V.; Andreato, T.V.; Santos, J.F.S.; Esteves, J.V.D.C.; Moares, S.M.F.; Franchini, E. Weight loss in mixed martial arts athletes. J. Combat Sport. Martial Arts 2014, 5, 125–131. [Google Scholar] [CrossRef]
- Artioli, G.G.; Saunders, B.; Iglesias, R.T.; Franchini, E. It is time to ban rapid weight loss from combat sports. Sport. Med. 2016, 46, 1579–1584. [Google Scholar] [CrossRef] [PubMed]
- Patterson, R.E.; Sears, D.D. Metabolic effects of intermittent fasting. Annu. Rev. Nutr. 2017, 37, 371–393. [Google Scholar] [CrossRef] [PubMed]
- Janiszewska, K.; Przybylowicz, K. Pre-competition weight loss among polish Taekwondo competitors–occurrence, methods and health consequences. Arch. Budo 2015, 11, 41–45. [Google Scholar]
- Santos, J.F.S.; Takito, M.Y.; Artioli, G.G.; Franchini, E. Weight loss practices in Taekwondo athletes of different competitive levels. J. Exerc. Rehabil. 2016, 12, 202–208. [Google Scholar] [CrossRef]
- LeCheminant, J.D.; Christenson, E.D.; Bailey, B.W.; Tucker, L.A. Restricting night-time eating reduces daily energy intake in health young men: A short-term cross-over study. Br. J. Nutr. 2013, 110, 2108–2113. [Google Scholar] [CrossRef]
- Silva, R.A.D.; Szmuchrowski, L.A.; Simonini, P.; Flôr, C.A.G.; Silva, B.V.; Drummond, M.D.M. Effect of 12 hour-fasting promoted by breakfast omission on acute weight loss and physical performance of Taekwondo athletes. Arch. Budo Sci. Martial Arts Ext. Sport. 2020, 16, 29–35. [Google Scholar]
- Slater, T.; Mode, W.J.; Pinkney, M.G.; Hough, J.; James, R.M.; Sale, C. Fasting before evening exercise reduces net energy intake and increases fat oxidation, but impairs performance in healthy males and females. Int. J. Sport Nutr. Exerc. Metab. 2022, 33, 11–22. [Google Scholar] [CrossRef]
- Trabelsi, K.; Stannard, S.R.; Chtourou, H.; Moalla, W.; Ghozzi, H.; Jamoussi, K.; Hakim, A. Monitoring athletes’ hydration status and sleep patterns during Ramadan observance: Methodological and practical considerations. Biol. Rhythm Res. 2017, 49, 337–365. [Google Scholar] [CrossRef]
- Zarrouk, N.; Hug, F.; Hammouda, O.; Rebai, H.; Tabka, Z.; Dogui, M.; Bouhlel, E. Effect of Ramadan intermittent fasting on body composition and neuromuscular performance in young athletes: A pilot study. Biol. Rhythm Res. 2013, 44, 697–709. [Google Scholar] [CrossRef]
- Pérez-Rodriguez, M.; Huertas, J.R.; Villalba, J.M.; Casuso, R.A. Mitochondrial adaptations to calorie restriction and bariatric surgery in human skeletal muscle: A systematic review with meta-analysis. Metabolism 2023, 138, 155336. [Google Scholar] [CrossRef]
- Naharudin, M.N.B.; Yusof, A.; Shaw, H.; Stockton, M.; Clayton, D.J.; James, L.J. Breakfast omission reduces subsequent resistance exercise performance. J. Strength Cond. Res. 2019, 33, 1766–1772. [Google Scholar] [CrossRef]
- Aloui, A.; Chtourou, H.; Masmoudi, L.; Chaouachi, A.; Chamari, K.; Soussi, N. Effects of Ramadan fasting on male judokas performances in specific and non-specific judo tasks. Biol. Rhythm Res. 2013, 44, 645–654. [Google Scholar] [CrossRef]
- Bouhlel, H.; Latiri, I.; Zarrouk, N.; Bigard, X.; Shephard, R.; Tabka, Z.; Bouhlel, E. Effect of Ramadan observance and maximal exercise on simple and choice reaction times in trained men. Sci. Sport. 2014, 29, 131–137. [Google Scholar] [CrossRef]
- Chaouachi, A.; Coutts, A.J.; Chamari, K.; Wong, D.P.; Chaouachi, M.; Chtara, M.; Roky, R.; Amri, M. Effect of Ramadan intermittent fasting on aerobic and anaerobic performance and perception of fatigue in male elite judo athletes. J. Strength Cond. Res. 2009, 23, 2702–2709. [Google Scholar] [CrossRef]
- Issaoui, M.; Zouhal, H.; Yousfi, N.; Salhi, A.; Ali, A.; Bragazzi, N.; Hamdouni, H.; Miarka, B.; Hackney, A.C.; Abderrahman, A.B. Effect Ramadan fasting: Association with time of day on time-motion, technical aspect and psychological responses to simulated karate competition in young amateur competitors. Int. J. Sport. Sci. Coach. 2020, 15, 195–203. [Google Scholar] [CrossRef]
- Memari, A.H.; Kordi, R.; Panahi, N.; Nikookar, L.R.; Abdollahi, M.; Arkbanejad, A. Effect of Ramadan fasting in body composition and physical performance in female athletes. Asian J. Sport. Med. 2011, 2, 61–166. [Google Scholar] [CrossRef]
- Pak, I.E.; Cug, M.; Volpe, S.L.; Beaven, C.M. The effect of carbohydrate and caffeine mouth rising on kicking performance in competitive Taekwondo athletes during Ramadan. J. Sport. Sci. 2020, 38, 795–800. [Google Scholar] [CrossRef]
- Capling, L.; Beck, K.L.; Gifford, J.A.; Slater, G.; Flood, V.M.; O’connor, H. Validity of dietary assessment in athletes: A systematic review. Nutrients 2017, 9, 1313. [Google Scholar] [CrossRef]
- Lo, F.P.W.; Sun, Y.; Qiu, J.; Lo, B. Image-based food classification and volume estimation for dietary assessment: A review. IEEE J. Biomed. Health Inform. 2020, 24, 1926–1939. [Google Scholar] [CrossRef]
- Claudino, J.G.; Mezêncio, B.; Soncin, R.; Ferreira, J.C.; Couto, B.P.; Szmuchrowski, L.A. Pre Vertical Jump Performance to Regulate the Training Volume. Int. J. Sport. Med. 2012, 33, 101–107. [Google Scholar] [CrossRef] [PubMed]
- Santos, J.F.S.; Franchini, E. Frequency speed of kick test performance comparison between female Taekwondo athletes of different competitive levels. J. Strength Cond. Res. 2018, 32, 2934–2938. [Google Scholar] [CrossRef] [PubMed]
- Weir, J.P. Quantifying test-retest reliability using the intraclass correlation coefficient and the SEM. J. Strength Cond. Res. 2005, 19, 231–240. [Google Scholar] [PubMed]
- Ferguson, C.J. An effect size primer: A guide for clinicians and researchers. Prof. Psych. Res. Pract. 2009, 40, 532–538. [Google Scholar] [CrossRef]
- Lakens, D. Calculating and reporting effect sizes to facilitate cumulative science: A practical primer for t-tests and ANOVAs. Front. Psych. 2013, 4, 863. [Google Scholar] [CrossRef]
- Nakamura, Y.; Walker, B.R.; Ikuta, T. Systematic review and meta-analysis reveals acutely elevated plasma cortisol following fasting but not less severe calorie restriction. Stress 2016, 19, 151–157. [Google Scholar] [CrossRef]
- Burke, L.M.; Slater, G.J.; Matthews, J.J.; Langan-Evans, C.; Horswill, C.A. ACSM Expert Consensus Statement on Weight Loss in Weight-Category Sports. Curr. Sport. Med. Rep. 2021, 20, 199–217. [Google Scholar] [CrossRef]
- Careau, V.; Halsey, L.G.; Pontzer, H.; Ainslie, P.N.; Andersen, L.F.; Anderson, L.J.; Arab, L.; Baddou, I.; Bedu-Addo, K.; Blaak, E.E.; et al. Energy compensation and adiposity in humans. Curr. Biol. 2021, 31, 4659–4666. [Google Scholar] [CrossRef]
- Queiroz, J.N.; Macedo, R.C.O.; Tinsley, G.M.; Reischak-Oliveira, A. Time-restricted eating and circadian rhythms: The biological clock is ticking. Food Sci. Nutr. 2020, 61, 2863–2875. [Google Scholar] [CrossRef]
- Shephard, R.J. Ramadan and sports: Minimizing effects upon the observant athlete. Sport. Med. 2013, 43, 1217–1241. [Google Scholar] [CrossRef]
- Hargreaves, M.; Spriet, L.L. Skeletal muscle energy metabolism during exercise. Nat. Metab. 2020, 2, 817–828. [Google Scholar] [CrossRef]
- Naderi, A.; Samanipour, M.H.; Sarshin, A.; Forbes, S.C.; Koozehchian, M.S.; Franchini, E.; Reale, R.; Berjisian, E.; Oliveira, E.P.; Miraftabi, H.; et al. Effects of two different doses of carbohydrate ingestion on Taekwondo-related performance during a simulated tournament. J. Int. Soc. Sport. Nutr. 2021, 18, 40. [Google Scholar] [CrossRef]
- Santos, J.F.S.; Wilson, V.D.; Herrera-Valenzuela, T.; Machado, F.S.M. Time-motion analysis and physiological responses to Taekwondo combat on juvenile and adult athletes: A systematic review. Strength Cond. J. 2020, 42, 103–121. [Google Scholar] [CrossRef]


| Variable | Situation | W1 | W2 | W3 | W4 |
|---|---|---|---|---|---|
| CMJ(cm) | BL | 36.93 ± 6.22 | |||
| FAST | 37.36 ± 6.77 | 36.47 ± 5.78 | 35.96 ± 5.05 | 36.91 ± 6.12 | |
| FED | 35.26 ± 7.15 *,& | 37.54 ± 5.79 | 38.24 ± 6.45 &,$ | 37.95 ± 5.61 $ | |
| MK | BL | 18.28 ± 0.98 | |||
| FAST | 18.17 ± 1.16 | 18.36 ± 1.17 | 18.60 ± 0.97 | 18.80 ± 1.23 | |
| FED | 18.23 ± 1.16 | 18.74 ± 0.84 | 18.94 ± 1.03 | 19.04 ± 0.97 | |
| TNK | BL | 274.22 ± 14.82 | |||
| FAST | 272.56 ± 15.39 | 275.44 ± 17.59 | 279.11 ± 14.66 | 282.11 ± 18.52 | |
| FED | 273. 56 ± 17.40 | 281.11 ± 12.71 | 284.11 ± 15.54 | 285.67 ± 14.58 | |
| RPE | BL | 9.22 ± 0.44 | |||
| FAST | 9.33 ± 0.50 | 9.89 ± 0.33 * | 9.89 ± 0.33 * | 10.00 ± 0.00 *,# | |
| FED | 9.56 ± 0.52 | 9.56 ± 0.52 | 9.89 ± 0.33 * | 10.00 ± 0.00 *,# | |
| KDI | BL | 8.90 ± 2.91 | |||
| FAST | 9.27 ± 3.01 | 9.27 ± 3.01 | 9.27 ± 3.01 | 9.27 ± 3.01 | |
| FED | 9.95 ± 2.64 | 9.95 ± 2.64 | 9.95 ± 2.64 | 9.95 ± 2.64 | |
| Variable | Situation | W1 | W2 | W3 | W4 |
|---|---|---|---|---|---|
| HR mean(bpm) | BL | 176.22 ± 7.13 | |||
| FAST | 176.00 ± 6.87 | 171.22 ± 12.86 | 169.89 ± 8.85 | 173.56 ± 9.35 | |
| FED | 176.33 ± 9.00 | 171.78 ± 13.67 | 173.00 ± 8.64 | 174.11 ± 7.75 | |
| HR max(bpm) | BL | 184.59 ± 4.47 | |||
| FAST | 185.85 ± 6.73 | 181.22 ± 11.75 | 182.89 ± 7.99 | 183.89 ± 8.10 | |
| FED | 185.44 ± 5.87 | 182.78 ± 7.77 | 183.78 ± 7.79 | 185.44 ± 6.34 | |
| [BG]pre(mg/dL) | BL | 85.33 ± 9.88 & | |||
| FAST | 70.67 ± 9.06 | 69.44 ± 10.81 | 70.22 ± 7.77 | 69.00 ± 9.68 | |
| FED | 81.11 ± 20.43 & | 85.67 ± 12.18 & | 91.78 ± 14.64 & | 97.44 ± 13.93 & | |
| [BG]post(mg/dL) | BL | 120.67 ± 17.22 | |||
| FAST | 120.33 ± 13.56 * | 115.89 ± 19.21 * | 112.22 ± 13.55 * | 126.11 ± 17.58 * | |
| FED | 110.56 ± 15.15 * | 110.67 ± 18.26 * | 108.00 ± 18.20 * | 116.89 ± 14.30 * | |
| Variable | Pre | W1 | W2 | W3 | W4 | p Value | E.S(ŋp2) | Classification |
|---|---|---|---|---|---|---|---|---|
| Kcal | 2211.09 ± 1380.30 | 1409.41 ± 379.08 | 1727.69 ± 726.49 | 1908.93 ± 926.95 | 1904.00 ± 1462.04 | 0.121 | 0.10 | Small |
| Kcal/kg | 34.71 ± 19.36 | 22.83 ± 6.99 | 28.11 ± 11.87 | 31.38 ± 15.69 | 30.30 ± 22.11 | 0.411 | 0.10 | Small |
| CHO(g/kg) | 4.76 ± 4.29 | 3.52 ± 1.41 | 3.86 ± 2.15 | 3.29 ± 2.14 | 3.66 ± 2.57 | 0.540 | 0.05 | Small |
| PRO(g/kg) | 1.20 ± 0.52 | 1.28 ± 0.39 | 1.20 ± 0.37 | 1.32 ± 0.45 | 1.32 ± 0.93 | 0.444 | 0.01 | Small |
| LIP(g/kg) | 1.04 ± 0.48 | 0.95 ± 0.38 | 1.13 ± 0.28 | 1.08 ± 0.48 | 0.97 ± 0.54 | 0.829 | 0.04 | Small |
Disclaimer/Publisher’s Note: The statements, opinions and data contained in all publications are solely those of the individual author(s) and contributor(s) and not of MDPI and/or the editor(s). MDPI and/or the editor(s) disclaim responsibility for any injury to people or property resulting from any ideas, methods, instructions or products referred to in the content. |
© 2023 by the authors. Licensee MDPI, Basel, Switzerland. This article is an open access article distributed under the terms and conditions of the Creative Commons Attribution (CC BY) license (https://creativecommons.org/licenses/by/4.0/).
Share and Cite
da Silva, R.A.D.; Szmuchrowski, L.A.; Rosa, J.P.P.; Santos, M.A.P.d.; de Mello, M.T.; Savoi, L.; Porto, Y.F.; de Assis Dias Martins Júnior, F.; Drummond, M.D.M. Intermittent Fasting Promotes Weight Loss without Decreasing Performance in Taekwondo. Nutrients 2023, 15, 3131. https://doi.org/10.3390/nu15143131
da Silva RAD, Szmuchrowski LA, Rosa JPP, Santos MAPd, de Mello MT, Savoi L, Porto YF, de Assis Dias Martins Júnior F, Drummond MDM. Intermittent Fasting Promotes Weight Loss without Decreasing Performance in Taekwondo. Nutrients. 2023; 15(14):3131. https://doi.org/10.3390/nu15143131
Chicago/Turabian Styleda Silva, Ronaldo Angelo Dias, Leszek Antoni Szmuchrowski, João Paulo Pereira Rosa, Marcos Antônio Pereira dos Santos, Marco Túlio de Mello, Lucas Savoi, Yves Ferreira Porto, Francisco de Assis Dias Martins Júnior, and Marcos Daniel Motta Drummond. 2023. "Intermittent Fasting Promotes Weight Loss without Decreasing Performance in Taekwondo" Nutrients 15, no. 14: 3131. https://doi.org/10.3390/nu15143131
APA Styleda Silva, R. A. D., Szmuchrowski, L. A., Rosa, J. P. P., Santos, M. A. P. d., de Mello, M. T., Savoi, L., Porto, Y. F., de Assis Dias Martins Júnior, F., & Drummond, M. D. M. (2023). Intermittent Fasting Promotes Weight Loss without Decreasing Performance in Taekwondo. Nutrients, 15(14), 3131. https://doi.org/10.3390/nu15143131

