Infant Feeding Pattern Clusters Are Associated with Childhood Health Outcomes
Abstract
1. Introduction
2. Methods
2.1. Study Design and Data Source
2.2. Study Population
2.3. Feeding Pattern in Infancy
2.4. Primary Outcome
2.5. Secondary Outcome: Childhood Diseases
2.6. Additional Outcome: Overweight/Obesity at 6 Years of Age
2.7. Covariates
2.8. Statistical Analysis
3. Results
3.1. Classification of Infant Feeding Clusters
3.2. Characteristics of the Study Population
3.3. Association between All-Cause Hospitalization, ICU Care, and Feeding Patterns in Infancy
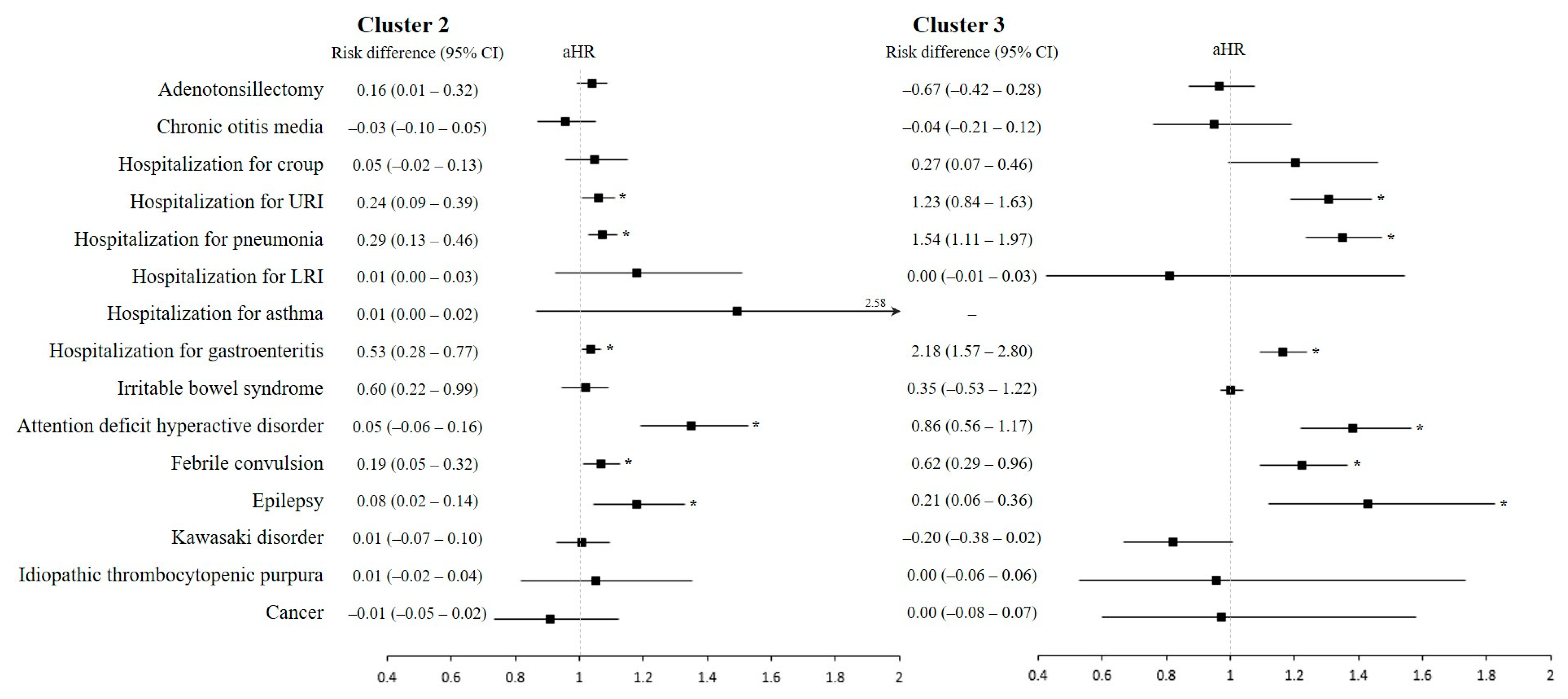
3.4. Association between Specific Childhood Diseases and Feeding Patterns in Infancy
3.5. Association of Overweight/Obesity at 6 Years of Age with the Infant Feeding Clusters
4. Discussion
Supplementary Materials
Author Contributions
Funding
Institutional Review Board Statement
Informed Consent Statement
Data Availability Statement
Conflicts of Interest
Abbreviations
| NHIS | National Health Insurance Service |
| NHSPIC | National Health Screening Program for Infants and Children |
| ICD-10 | International Classification of Diseases 10th revision |
| ICU | intensive care unit |
| URI | upper respiratory tract infection |
| LRI | lower respiratory tract infection |
| BMI | body mass index |
| poLCA | Polytomous Variable Latent Class Analysis |
| BIC | Bayesian Information Criterion |
| AIC | Akaike Information Criterion |
| HR | hazard ratio |
| CI | confidence interval |
| PY | person-years |
| RR | risk ratio |
| SD | standard deviation |
| ADHD | attention deficit hyperactivity disorder |
| ITP | idiopathic thrombocytopenic purpura |
References
- Wilson, A.C.; Forsyth, J.S.; Greene, S.A.; Irvine, L.; Hau, C.; Howie, P.W. Relation of infant diet to childhood health: Seven year follow up of cohort of children in Dundee infant feeding study. BMJ 1998, 316, 21–25. [Google Scholar] [CrossRef] [PubMed]
- Gingras, V.; Aris, I.M.; Rifas-Shiman, S.L.; Switkowski, K.M.; Oken, E.; Hivert, M.F. Timing of Complementary Feeding Introduction and Adiposity Throughout Childhood. Pediatrics 2019, 144, e20191320. [Google Scholar] [CrossRef] [PubMed]
- Pluymen, L.P.M.; Wijga, A.H.; Gehring, U.; Koppelman, G.H.; Smit, H.A.; van Rossem, L. Early introduction of complementary foods and childhood overweight in breastfed and formula-fed infants in the Netherlands: The PIAMA birth cohort study. Eur. J. Nutr. 2018, 57, 1985–1993. [Google Scholar] [CrossRef] [PubMed]
- Dawod, B.; Marshall, J.S.; Azad, M.B. Breastfeeding and the developmental origins of mucosal immunity: How human milk shapes the innate and adaptive mucosal immune systems. Curr. Opin. Gastroenterol. 2021, 37, 547–556. [Google Scholar] [CrossRef] [PubMed]
- Payne, S.; Quigley, M.A. Breastfeeding and infant hospitalisation: Analysis of the UK 2010 Infant Feeding Survey. Matern. Child Nutr. 2017, 13, e12263. [Google Scholar] [CrossRef]
- Fragkou, P.C.; Karaviti, D.; Zemlin, M.; Skevaki, C. Impact of Early Life Nutrition on Children’s Immune System and Noncommunicable Diseases through Its Effects on the Bacterial Microbiome, Virome and Mycobiome. Front. Immunol. 2021, 12, 644269. [Google Scholar] [CrossRef]
- Kim, J.H.; Lee, S.W.; Lee, J.E.; Ha, E.K.; Han, M.Y.; Lee, E. Breastmilk Feeding during the First 4 to 6 Months of Age and Childhood Disease Burden until 10 Years of Age. Nutrients 2021, 13, 2825. [Google Scholar] [CrossRef]
- Kuo, A.A.; Inkelas, M.; Slusser, W.M.; Maidenberg, M.; Halfon, N. Introduction of solid food to young infants. Matern. Child Health J. 2011, 15, 1185–1194. [Google Scholar] [CrossRef]
- Amazouz, H.; de Lauzon-Guillain, B.; Bourgoin-Heck, M.; Just, J.; Beydon, N.; Lezmi, G.; Ranciere, F.; Momas, I. Infant feeding clusters are associated with respiratory health and allergy at school age in the PARIS birth cohort. Allergy 2021, 76, 1223–1234. [Google Scholar] [CrossRef]
- Savage, J.S.; Fisher, J.O.; Birch, L.L. Parental influence on eating behavior: Conception to adolescence. J. Law Med. Ethics 2007, 35, 22–34. [Google Scholar] [CrossRef]
- McLachlan, G.J. Cluster analysis and related techniques in medical research. Stat. Methods Med. Res. 1992, 1, 27–48. [Google Scholar] [CrossRef]
- Bolin, J.H.; Edwards, J.M.; Finch, W.H.; Cassady, J.C. Applications of cluster analysis to the creation of perfectionism profiles: A comparison of two clustering approaches. Front. Psychol. 2014, 5, 343. [Google Scholar] [CrossRef]
- Kim, J.H.; Lee, J.E.; Shim, S.M.; Ha, E.K.; Yon, D.K.; Kim, O.H.; Baek, J.H.; Koh, H.Y.; Chae, K.Y.; Lee, S.W.; et al. Cohort profile: National Investigation of Birth Cohort in Korea study 2008 (NICKs-2008). Clin. Exp. Pediatr. 2021, 64, 480–488. [Google Scholar] [CrossRef] [PubMed]
- Murray, C.J.; Abbafati, C.; Abbas, K.M.; Abbasi, M.; Abbasi-Kangevari, M.; Abd-Allah, F.; Abdollahi, M.; Abedi, P.; Abedi, A.; Abolhassani, H. Five insights from the global burden of disease study 2019. Lancet 2020, 396, 1135–1159. [Google Scholar] [CrossRef] [PubMed]
- Hagenaars, J.A.; McCutcheon, A.L. Applied Latent Class Analysis; Cambridge University Press: Cambridge, UK, 2002. [Google Scholar]
- Linzer, D.A.; Lewis, J.B. poLCA: An R package for polytomous variable latent class analysis. J. Stat. Softw. 2011, 42, 1–29. [Google Scholar] [CrossRef]
- Bandeen-Roche, K.; Miglioretti, D.L.; Zeger, S.L.; Rathouz, P.J. Latent variable regression for multiple discrete outcomes. J. Am. Stat. Assoc. 1997, 92, 1375–1386. [Google Scholar] [CrossRef]
- Nylund, K.L.; Asparouhov, T.; Muthén, B.O. Deciding on the number of classes in latent class analysis and growth mixture modeling: A Monte Carlo simulation study. Struct. Equ. Model. A Multidiscip. J. 2007, 14, 535–569. [Google Scholar] [CrossRef]
- Boehmke, B.; Greenwell, B. Hands-on Machine Learning with R; CRC Press: Boca Raton, FL, USA, 2019. [Google Scholar]
- Lezhnina, O.; Kismihók, G. Latent Class Cluster Analysis: Selecting the number of clusters. MethodsX 2022, 9, 101747. [Google Scholar] [CrossRef]
- Tran, T.; Bliuc, D.; Ho-Le, T.; Abrahamsen, B.; Van Den Bergh, J.P.; Chen, W.; Eisman, J.A.; Geusens, P.; Hansen, L.; Vestergaard, P. Association of multimorbidity and excess mortality after fractures among Danish adults. JAMA Netw. Open 2022, 5, e2235856. [Google Scholar] [CrossRef]
- Asparouhov, T.; Muthén, B. Auxiliary variables in mixture modeling: Three-step approaches using M plus. Struct. Equ. Model. A Multidiscip. J. 2014, 21, 329–341. [Google Scholar] [CrossRef]
- Shanahan, L.; Copeland, W.E.; Worthman, C.M.; Erkanli, A.; Angold, A.; Costello, E.J. Sex-differentiated changes in C-reactive protein from ages 9 to 21: The contributions of BMI and physical/sexual maturation. Psychoneuroendocrinology 2013, 38, 2209–2217. [Google Scholar] [CrossRef] [PubMed]
- Boccolini, C.S.; Carvalho, M.L.d.; Oliveira, M.I.C.d.; Boccolini, P.d.M.M. Breastfeeding can prevent hospitalization for pneumonia among children under 1 year old. J. Pediatr. 2011, 87, 399–404. [Google Scholar] [CrossRef] [PubMed]
- Victora, C.G.; Adair, L.; Fall, C.; Hallal, P.C.; Martorell, R.; Richter, L.; Sachdev, H.S. Maternal and child undernutrition: Consequences for adult health and human capital. Lancet 2008, 371, 340–357. [Google Scholar] [CrossRef]
- Chen, H.Y.; Chang, Y.H.; Ding, D.C. The Negative Association between Breastfeeding Duration and Infant Febrile Seizure: A Retrospective Case-Control Study. Int. J. Environ. Res. Public Health 2022, 19, 5495. [Google Scholar] [CrossRef] [PubMed]
- Mitsuda, N.; Hosokawa, T.; Eitoku, M.; Fujieda, M.; Suganuma, N.; Japan, E.; Children’s Study, G. Breastfeeding and risk of febrile seizures in infants: The Japan Environment and Children’s Study. Brain Dev. 2019, 41, 839–847. [Google Scholar] [CrossRef]
- Mitsuda, N.; JP, N.A.; Hosokawa, T.; Eitoku, M.; Fujieda, M.; Suganuma, N.; Japan, E.; Children’s Study, G. Breastfeeding and risk of febrile seizures in the first 3 years of life: The Japan Environment and Children’s Study. Brain Dev. 2022, 44, 203–209. [Google Scholar] [CrossRef] [PubMed]
- Harder, T.; Bergmann, R.; Kallischnigg, G.; Plagemann, A. Duration of breastfeeding and risk of overweight: A meta-analysis. Am. J. Epidemiol. 2005, 162, 397–403. [Google Scholar] [CrossRef]
- Kramer, M.S.; Matush, L.; Vanilovich, I.; Platt, R.W.; Bogdanovich, N.; Sevkovskaya, Z.; Dzikovich, I.; Shishko, G.; Collet, J.-P.; Martin, R.M. Effects of prolonged and exclusive breastfeeding on child height, weight, adiposity, and blood pressure at age 6.5 y: Evidence from a large randomized trial. Am. J. Clin. Nutr. 2007, 86, 1717–1721. [Google Scholar] [CrossRef]
- Yu, C.; Binns, C.W.; Lee, A.H. The Early Introduction of Complementary (Solid) Foods: A Prospective Cohort Study of Infants in Chengdu, China. Nutrients 2019, 11, 760. [Google Scholar] [CrossRef]
- Homann, C.M.; Rossel, C.A.J.; Dizzell, S.; Bervoets, L.; Simioni, J.; Li, J.; Gunn, E.; Surette, M.G.; de Souza, R.J.; Mommers, M.; et al. Infants’ First Solid Foods: Impact on Gut Microbiota Development in Two Intercontinental Cohorts. Nutrients 2021, 13, 2639. [Google Scholar] [CrossRef]
- Laue, H.E.; Coker, M.O.; Madan, J.C. The Developing Microbiome from Birth to 3 Years: The Gut-Brain Axis and Neurodevelopmental Outcomes. Front. Pediatr. 2022, 10, 815885. [Google Scholar] [CrossRef] [PubMed]
- Ha, E.K.; Lee, S.W.; Kim, J.H.; Lee, J.E.; Jee, H.M.; Chae, K.Y.; Han, M.Y.; Rhie, S. Changes in childhood growth after adenotonsillectomy: A population-based cohort study. Sleep Med. 2022, 89, 114–121. [Google Scholar] [CrossRef] [PubMed]
- Lin, S.-C.; Lin, H.-W.; Chiang, B.-L. Association of croup with asthma in children: A cohort study. Medicine 2017, 96, e7667. [Google Scholar] [CrossRef]
- Chang, Y.P.; Yang, C.J.; Hu, K.F.; Chao, A.C.; Chang, Y.H.; Hsieh, K.P.; Tsai, J.H.; Ho, P.S.; Lim, S.Y. Risk factors for pneumonia among patients with Parkinson’s disease: A Taiwan nationwide population-based study. Neuropsychiatr. Dis. Treat. 2016, 12, 1037. [Google Scholar] [CrossRef]
- Kim, J.H.; Ha, E.K.; Lee, S.W.; Cha, H.R.; Baek, H.S.; Han, M.Y. Growth pattern during early infancy, body mass index during childhood and childhood asthma. Clin. Exp. Allergy 2022, 53, 39–51. [Google Scholar] [CrossRef]
- Kim, J.H.; Lee, S.W.; Kwon, Y.; Ha, E.K.; An, J.; Cha, H.R.; Jeong, S.J.; Han, M.Y. Infantile Colic and the Subsequent Development of the Irritable Bowel Syndrome. J. Neurogastroenterol. Motil. 2022, 28, 618–629. [Google Scholar] [CrossRef]
- Goff, S.L.; Feld, A.; Andrade, S.E.; Mahoney, L.; Beaton, S.J.; Boudreau, D.M.; Davis, R.L.; Goodman, M.; Hartsfield, C.L.; Platt, R.; et al. Administrative data used to identify patients with irritable bowel syndrome. J. Clin. Epidemiol. 2008, 61, 617–621. [Google Scholar] [CrossRef] [PubMed]
- Kim, J.H.; Yi, Y.Y.; Ha, E.K.; Cha, H.R.; Han, M.Y.; Baek, H.S. Neurodevelopment at 6 years of age in children with atopic dermatitis. Allergol. Int. 2022, 72, 116–127. [Google Scholar] [CrossRef]
- Chiang, K.-L.; Cheng, C.-Y. Prevalence and neuro-psychiatric comorbidities of pediatric epilepsy in Taiwan: A national population-based study. Epilepsy Res. 2014, 108, 1451–1460. [Google Scholar] [CrossRef]
- Kwak, J.H.; Ha, E.K.; Kim, J.H.; Cha, H.R.; Lee, S.W.; Han, M.Y. Association of Familial History of Diabetes, Hypertension, Dyslipidemia, Stroke, or Myocardial Infarction With Risk of Kawasaki Disease. J. Am. Heart Assoc. 2022, 11, e023840. [Google Scholar] [CrossRef]
- Hung, G.Y.; Lee, C.Y.; Yen, H.J.; Lin, L.Y.; Horng, J.L. Incidence of immune thrombocytopenia in Taiwan: A nationwide population-based study. Transfusion 2018, 58, 2712–2719. [Google Scholar] [CrossRef] [PubMed]
- Lin, H.C.; Chao, Y.H.; Wu, K.H.; Yen, T.Y.; Hsu, Y.L.; Hsieh, T.H.; Wei, H.M.; Wu, J.L.; Muo, C.H.; Hwang, K.P.; et al. Increased risk of herpes zoster in children with cancer: A nationwide population-based cohort study. Medicine 2016, 95, e4037. [Google Scholar] [CrossRef] [PubMed]




| Variables | Total | Cluster 1 | Cluster 2 | Cluster 3 | |
|---|---|---|---|---|---|
| Total number, n (%) | 236,372 (100.0) | 116,372 (49.2) | 108,189 (45.8) | 11,811 (5.0) | |
| Types of solid foods introduced 2 | Grains | 209,265 (88.4) | 113,467 (97.5) | 91,525 (84.6) | 4273 (36.2) |
| Vegetables | 223,621 (94.4) | 115,588 (99.3) | 105,421 (97.4) | 2612 (22.1) | |
| Fruits | 170,649 (72.1) | 107,780 (92.6) | 60,252 (55.7) | 2608 (22.1) | |
| Eggs | 130,266 (55.0) | 105,257 (90.4) | 23,331 (21.6) | 1678 (14.2) | |
| Fish | 129,197 (54.6) | 99,778 (85.7) | 28,270 (26.1) | 1149 (9.7) | |
| Meat | 213,764 (90.3) | 114,486 (98.4) | 98,547 (91.1) | 731 (6.2) | |
| Frequency of solid food intake per day 2 | None | 1967 (0.8) | 247 (0.2) | 327 (0.3) | 1393 (11.8) |
| 1 | 5990 (2.5) | 969 (0.8) | 3407 (3.1) | 1614 (13.7) | |
| 2 | 60,030 (25.4) | 16,427 (14.1) | 40,195 (37.2) | 3408 (28.9) | |
| 3 | 161,471 (68.3) | 94,228 (81.0) | 62,193 (57.5) | 5050 (42.8) | |
| ≥4 | 6914 (2.9) | 4501 (3.9) | 2067 (1.9) | 346 (2.9) | |
| Types of feeding during the first 4 months of age 3 | Only breastfeeding | 112,277 (47.5) | 60,376 (51.9) | 46,931 (43.4) | 4970 (42.1) |
| Only formula milk feeding | 76,992 (32.6) | 31,850 (27.4) | 40,319 (39.3) | 4823 (40.8) | |
| Mixed feeding | 46,146 (19.5) | 23,678 (20.3) | 20,549 (19.0) | 1919 (16.2) | |
| Total (n = 236,372) | Cluster 1 | Cluster 2 | Cluster 3 | |
|---|---|---|---|---|
| Sex, n (%) | ||||
| Boy | 120,066 (50.8) | 59,131 (50.8) | 55,086 (50.9) | 5849 (49.5) |
| Girl | 116,306 (48.2) | 57,241 (49.2) | 53,103 (49.1) | 5962 (50.5) |
| Regions at birth, n (%) | ||||
| Seoul | 58,815 (25.1) | 30,234 (26.2) | 26,422 (24.6) | 2159 (18.5) |
| Metropolitan | 55,217 (23.6) | 26,854 (23.3) | 25,716 (24.0) | 2656 (22.7) |
| City | 94,680 (40.4) | 45,976 (39.9) | 43,494 (40.6) | 5210 (44.5) |
| Rural | 25,559 (10.9) | 12,299 (10.7) | 11,590 (10.8) | 1670 (14.3) |
| Socioeconomic status 2, n (%) | ||||
| First quintile (lowest) | 17,863 (7.8) | 8571 (7.6) | 8172 (7.8) | 1120 (9.9) |
| Second quintile | 34,190 (15.0) | 16,462 (14.6) | 15,462 (14.8) | 2266 (19.9) |
| Third quintile | 63,557 (27.8) | 30,819 (27.4) | 29,348 (28.0) | 3390 (29.8) |
| Fourth quintile | 75,499 (33.1) | 37,467 (33.3) | 34,847 (33.3) | 3185 (28.0) |
| Fifth quintile (highest) | 37,271 (16.3) | 19,073 (17.0) | 16,800 (16.1) | 1398 (12.3) |
| Birth weight 3, mean (SD), kg | 3.2 (0.3) | 3.2 (0.3) | 3.2 (0.3) | 3.2 (0.3) |
| Body weight at 4–6 months of age 3, mean (SD), kg | 8.1 (1.0) | 8.1 (1.0) | 8.1 (1.0) | 8.1 (1.0) |
| Body weight at 9–12 months of age 4, mean (SD), kg | 9.8 (1.1) | 9.9 (1.1) | 9.8 (1.1) | 9.8 (1.1) |
| Head circumference at 4–6 months of age 3, mean (SD), cm | 42,750 (1.5) | 42,768 (1.5) | 42,741 (1.5) | 42,656 (1.5) |
| Perinatal comorbidities 5, n (%) | ||||
| Birth trauma | 2045 (0.9) | 1049 (0.9) | 908 (0.8) | 88 (0.7) |
| Respiratory and cardiovascular disorders | 9836 (4.2) | 4778 (4.1) | 4639 (4.3) | 419 (3.5) |
| Infections | 32,876 (13.9) | 15,994 (13.7) | 15,211 (14.1) | 1671 (14.1) |
| Hemorrhagic and hematological disorders | 74,439 (31.5) | 36,632 (31.5) | 34,246 (31.7) | 3561 (30.1) |
| Transitory endocrine and metabolic disorders | 5629 (2.4) | 2830 (2.4) | 2553 (2.4) | 246 (2.1) |
| Digestive system disorders | 6748 (2.9) | 3186 (2.7) | 3241 (3.0) | 321 (2.7) |
| Integument and temperature regulation | 8793 (3.7) | 4200 (3.6) | 4121 (3.8) | 472 (4.0) |
| Comorbidities 5, n (%) | ||||
| Hospitalization due to wheezing | 9476 (4.0) | 4314 (3.7) | 4493 (4.2) | 669 (5.7) |
| Atopic dermatitis | 36,093 (15.3) | 16,058 (13.8) | 17,991 (16.6) | 2044 (17.3) |
| Food allergy | 3721 (1.6) | 1690 (1.5) | 1819 (1.7) | 212 (1.8) |
| Cluster 1 (Reference) n = 116,372 | Cluster 2 n = 108,189 | Cluster 3 n = 11,811 | |||||||||||
|---|---|---|---|---|---|---|---|---|---|---|---|---|---|
| Diseases | n of Event | Accumulated n, 1000 PY | IR/1000 PY | n of Event | Accumulated n, 1000 PY | IR/1000 PY | RD 2 (95% CI) | aHR 3 (95% CI) | n of Event | Accumulated n, 1000 PY | IR/1000 PY | RD 2 (95% CI) | aHR 3 (95% CI) |
| All-cause hospitalization | 44,572 | 942.6 | 47.29 | 43,578 | 963.8 | 50.45 | 3.16 (2.52 to 3.81) | 1.042 (1.028 to 1.057) | 5043 | 91.8 | 54.92 | 7.63 (6.05 to 9.21) | 1.076 (1.046 to 1.109) |
| All-cause ICU admission | 541 | 1169.7 | 0.46 | 500 | 1087.5 | 0.46 | 0.00 (−0.01 to 0.00) | 0.975 (0.861 to 1.104) | 62 | 118.7 | 0.52 | 0.06 (−0.16 to 0.15) | 1.119 (0.853 to 1.469) |
Disclaimer/Publisher’s Note: The statements, opinions and data contained in all publications are solely those of the individual author(s) and contributor(s) and not of MDPI and/or the editor(s). MDPI and/or the editor(s) disclaim responsibility for any injury to people or property resulting from any ideas, methods, instructions or products referred to in the content. |
© 2023 by the authors. Licensee MDPI, Basel, Switzerland. This article is an open access article distributed under the terms and conditions of the Creative Commons Attribution (CC BY) license (https://creativecommons.org/licenses/by/4.0/).
Share and Cite
Kim, J.H.; Lee, E.; Ha, E.K.; Lee, G.C.; Shin, J.; Baek, H.-S.; Choi, S.-H.; Shin, Y.H.; Han, M.Y. Infant Feeding Pattern Clusters Are Associated with Childhood Health Outcomes. Nutrients 2023, 15, 3065. https://doi.org/10.3390/nu15133065
Kim JH, Lee E, Ha EK, Lee GC, Shin J, Baek H-S, Choi S-H, Shin YH, Han MY. Infant Feeding Pattern Clusters Are Associated with Childhood Health Outcomes. Nutrients. 2023; 15(13):3065. https://doi.org/10.3390/nu15133065
Chicago/Turabian StyleKim, Ju Hee, Eun Lee, Eun Kyo Ha, Gi Chun Lee, Jeewon Shin, Hey-Sung Baek, Sun-Hee Choi, Youn Ho Shin, and Man Yong Han. 2023. "Infant Feeding Pattern Clusters Are Associated with Childhood Health Outcomes" Nutrients 15, no. 13: 3065. https://doi.org/10.3390/nu15133065
APA StyleKim, J. H., Lee, E., Ha, E. K., Lee, G. C., Shin, J., Baek, H.-S., Choi, S.-H., Shin, Y. H., & Han, M. Y. (2023). Infant Feeding Pattern Clusters Are Associated with Childhood Health Outcomes. Nutrients, 15(13), 3065. https://doi.org/10.3390/nu15133065

