Assessing the Quality of Simulated Food Patterns with Reduced Animal Protein Using Meal Data from NHANES 2017–2018
Abstract
1. Introduction
2. Materials and Methods
2.1. Defining Food Patterns
2.2. Food Pattern Simulation Using Mixed Integer Linear Programming (MILP)
2.3. Study Population and Habitual Intakes by Age-Sex Group
2.4. Input Data from NHANES 2017–2018 Meals
2.5. Setting Optimization Constraints
2.6. The MILP Algorithm for the Generation of 7-Day Meal Plans
2.7. Validation of the MILP Approach
2.8. Diet Quality of the Modeled Patterns
2.9. Statistical Analysis
3. Results
3.1. Modeled Food Patterns
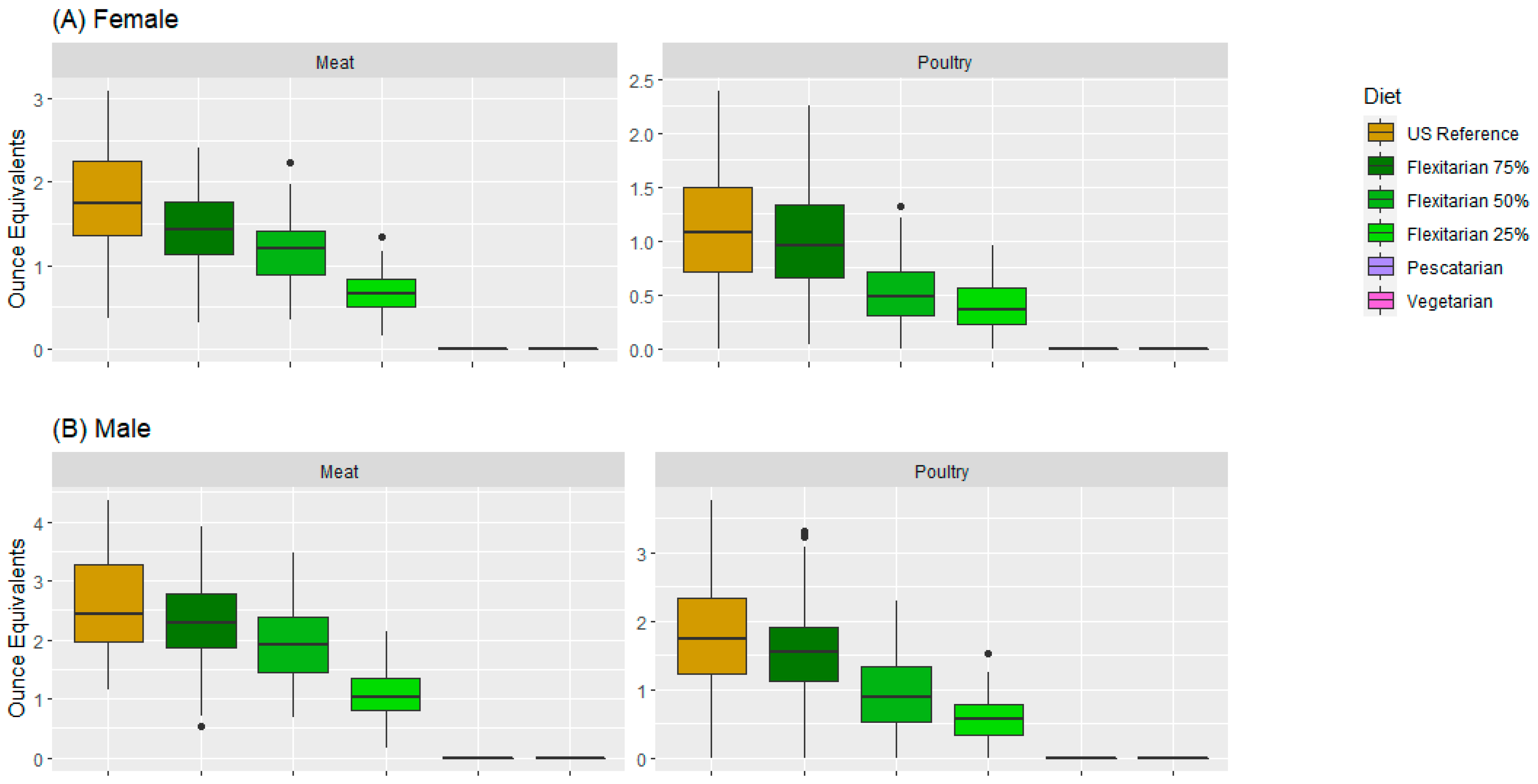
3.1.1. Contribution of Animal Protein (Meat, Poultry, Seafood, and Eggs, Excluding Dairy) in the Modeled Food Patterns
3.1.2. Contribution of Dairy in the Modeled Food Patterns
3.1.3. Contribution of Plant Protein in the Modeled Food Patterns
3.1.4. Contribution of Total Protein: Animal Protein Food (Excluding Dairy) and Plant Protein in the Modeled Food Patterns
3.1.5. Healthy Eating Index
4. Discussion
Strengths and Limitations
5. Conclusions
Supplementary Materials
Author Contributions
Funding
Institutional Review Board Statement
Informed Consent Statement
Data Availability Statement
Conflicts of Interest
Appendix A
Appendix A.1. Food Patterns Equivalents Database
| FPED Component and SAS Variable Name | Foods and Units | 
|---|---|
| Total protein foods (PF_TOTAL) | Total meat, poultry, organ meat, cured meat, seafood, eggs, soy, and nuts and seeds; excludes legumes (oz. eq.) | 
| Total meat, poultry, and seafood (PF_MPS_TOTAL) | Total of meat, poultry, seafood, organ meat, and cured meat (oz. eq.) | 
| Meat (PF_MEAT) | Beef, veal, pork, lamb, and game meat; excludes organ meat and cured meat (oz. eq.) | 
| Cured meat (PF_CUREDMEAT) | Frankfurters, sausages, corned beef, cured ham, and luncheon meat that are made from beef, pork, or poultry (oz. eq.) | 
| Organ meat (PF_ORGAN) | Organ meat from beef, veal, pork, lamb, game, and poultry (oz. eq.) | 
| Poultry (PF_POULT) | Chicken, turkey, Cornish hens, duck, goose, quail, and pheasant (game birds); excludes organ meat and cured meat (oz. eq.) | 
| Seafood high in n-3 fatty acids (PF_SEAFD_HI) | Seafood (finfish, shellfish, and other seafood) high in n-3 fatty acids (oz. eq.) | 
| Seafood Low in n-3 fatty acids (PF_SEAFD_LOW) | Seafood (finfish, shellfish, and other seafood) low in n-3 fatty acids (oz. eq.) | 
| Eggs (PF_EGGS) | Eggs (chicken, duck, goose, and quail) and egg substitutes (oz. eq.) | 
| Soy products (PF_SOY) | Soy products, excluding calcium-fortified soy milk (soymilk) and products made with raw (green) soybean (oz. eq.) | 
| Nuts and seeds (PF_NUTSDS) | Peanuts, tree nuts, and seeds; excludes coconut (oz. eq.) | 
| Beans, peas, and lentils (PF_LEGUMES) | Beans, peas, and lentils (legumes) computed as protein foods (oz. eq.) | 
| Total dairy (D_TOTAL) | Total milk, yogurt, cheese, and whey; for some foods, the total dairy values could be higher than the sum of D_MILK, D_YOGURT, and D_CHEESE because the miscellaneous dairy component composed of whey is not included in FPED as a separate variable (cup eq.) | 
| Milk (D_MILK) | Fluid milk, buttermilk, evaporated milk, dry milk, and calcium-fortified soy milk (soymilk) (cup eq.) | 
| Yogurt (D_YOGURT) | Yogurt (cup eq.) | 
| Cheese (D_CHEESE) | Cheeses (cup eq.) | 
Appendix A.2. Optimization Constraints for the Modeled Flexi75, Flexi50, Flex25, Pescatarian, and Vegetarian Patterns
| Food Pattern Component (Unit, Time Span) | Male | Female | ||
|---|---|---|---|---|
| Lower | Upper | Lower | Upper | |
| Total fruit (cups, d) | 0.3 | 1.3 | 0.4 | 1.3 | 
| Total vegetables, excl. beans and peas (cups, d) | 1.3 | 2.1 | 1.0 | 1.8 | 
| Beans and peas (cups, w) | 0.0 | 1.75 | 0.0 | 0.9 | 
| Total grains (oz, d) | 6.1 | 9.3 | 4.3 | 6.6 | 
| Total protein foods, incl. beans and peas (oz, d) | 6.8 | 10.2 | 4.4 | 6.8 | 
| Total meat, poultry, seafood, and eggs (oz, d) | 3.3 | 6.4 | 1.9 | 4.2 | 
| Total soy, nuts, and seeds (oz, w) | 4.4 | 17.5 | 3.5 | 13 | 
| Total protein from legumes (beans and peas; oz, w) | 1.75 | 7 | 0.88 | 4.38 | 
| Total dairy (cups, d) | 0.5 | 1.8 | 0.43 | 1.43 | 
| Oils (grams, d) | 18.6 | 32.3 | 13.4 | 23.2 | 
| Solid fats (grams, d) | 18 | 32.3 | 13.25 | 29.95 | 
| Sodium (mg, d) | 2734 | 3681 | 1900 | 3681 | 
| Energy from added sugars (kcal) | 216 | 336 | 180 | 270 | 
| Energy (kcal) | 2096 | 2951 | 1490 | 2069 | 
| Energy from added sugars (% daily energy) | 9 | 14 | 10 | 15 | 
| Food Pattern Component (Unit, Time Span) | Male | Female | ||
|---|---|---|---|---|
| Lower | Upper | Lower | Upper | |
| Total fruit (cups, d) | 0.3 | 1.3 | 0.4 | 1.3 | 
| Total vegetables, excl. beans and peas (cups, d) | 1.3 | 2.1 | 1.0 | 1.8 | 
| Beans and peas (cups, w) | 0.0 | 2.1 | 0.0 | 1 | 
| Total grains (oz, d) | 6.1 | 9.3 | 4.3 | 6.6 | 
| Total protein foods, incl. beans and peas (oz, d) | 6.8 | 10.2 | 4.4 | 6.8 | 
| Total meat, poultry, seafood, and eggs (oz, d) | 1.2 | 4.3 | 0.5 | 2.8 | 
| Total soy, nuts, and seeds (oz, w) | 5.25 | 21 | 4.2 | 16 | 
| Total protein from legumes (beans and peas; oz, w) | 2.1 | 8.4 | 1.1 | 5.25 | 
| Total dairy (cups, d) | 0 | 1.2 | 0 | 0.95 | 
| Oils (grams, d) | 18.6 | 32.3 | 13.4 | 23.2 | 
| Solid fats (grams, d) | 4 | 28.35 | 3.6 | 19.3 | 
| Sodium (mg, d) | 2734 | 3681 | 1900 | 3681 | 
| Energy from added sugars (kcal) | 216 | 336 | 180 | 270 | 
| Energy (kcal) | 2096 | 2951 | 1490 | 2069 | 
| Energy from added sugars (% daily energy) | 9 | 14 | 10 | 15 | 
| Food Pattern Component (Unit, Time Span) | Male | Female | ||
|---|---|---|---|---|
| Lower | Upper | Lower | Upper | |
| Total fruit (cups, d) | 0.3 | 1.3 | 0.4 | 1.3 | 
| Total vegetables, excl. beans and peas (cups, d) | 1.3 | 2.1 | 1.0 | 1.8 | 
| Beans and peas (cups, w) | 0.0 | 2.45 | 0.0 | 1.2 | 
| Total grains (oz, d) | 6.1 | 9.3 | 4.3 | 6.6 | 
| Total protein foods, incl. beans and peas (oz, d) | 6.8 | 10.2 | 4.4 | 6.8 | 
| Total meat, poultry, seafood, and eggs (oz, d) | 0 | 2.2 | 0 | 1.4 | 
| Total soy, nuts, and seeds (oz, w) | 6.1 | 23 | 4.9 | 18 | 
| Total protein from legumes (beans and peas; oz, w) | 2.45 | 9.8 | 1.2 | 6.13 | 
| Total dairy (cups, d) | 0 | 0.6 | 0 | 0.48 | 
| Oils (grams, d) | 18.6 | 32.3 | 13.4 | 23.2 | 
| Solid fats (grams, d) | 0 | 14.18 | 0 | 9.65 | 
| Sodium (mg, d) | 2734 | 3681 | 1900 | 3681 | 
| Energy from added sugars (kcal) | 216 | 336 | 180 | 270 | 
| Energy (kcal) | 2096 | 2951 | 1490 | 2069 | 
| Energy from added sugars (% daily energy) | 9 | 14 | 10 | 15 | 
| Food Pattern Component (Unit, Time Span) | Male | Female | ||
|---|---|---|---|---|
| Lower | Upper | Lower | Upper | |
| Total fruit (cups, d) | 0.3 | 1.3 | 0.4 | 1.3 | 
| Total vegetables, excl. beans and peas (cups, d) | 1.3 | 2.1 | 1.0 | 1.8 | 
| Beans and peas (cups, w) | 0.0 | 2.8 | 0.0 | 1.4 | 
| Total grains (oz, d) | 6.1 | 9.3 | 4.3 | 6.6 | 
| Total protein foods, incl. beans and peas (oz, d) | 6.8 | 10.2 | 4.4 | 6.8 | 
| Total meat, poultry, seafood, and eggs (oz, d) | 0.2 | 1.8 | 0.2 | 1.3 | 
| Total seafood (oz, w) | 1.4 | 6.3 | 1.4 | 4.9 | 
| Total soy, nuts, and seeds (oz, w) | 7 | 28 | 5.6 | 21 | 
| Total protein from legumes (beans and peas; oz, w) | 2.8 | 11.2 | 1.4 | 7 | 
| Total dairy (cups, d) | 1.1 | 2.4 | 0.9 | 1.9 | 
| Oils (grams, d) | 18.6 | 32.3 | 13.4 | 23.2 | 
| Solid fats (grams, d) | 0 | 14.175 | 0 | 9.65 | 
| Sodium (mg, d) | 2734 | 3681 | 1900 | 3681 | 
| Energy from added sugars (kcal) | 216 | 336 | 180 | 270 | 
| Energy (kcal) | 2096 | 2951 | 1490 | 2069 | 
| Energy from added sugars (% daily energy) | 9 | 14 | 10 | 15 | 
| Food Pattern Component (Unit, Time Span) | Male | Female | ||
|---|---|---|---|---|
| Lower | Upper | Lower | Upper | |
| Total fruit (cups, d) | 0.3 | 1.3 | 0.4 | 1.3 | 
| Total vegetables, excl. beans and peas (cups, d) | 1.3 | 2.1 | 1.0 | 1.8 | 
| Beans and peas (cups, w) | 0.0 | 2.8 | 0.0 | 1.4 | 
| Total grains (oz, d) | 6.1 | 9.3 | 4.3 | 6.6 | 
| Total protein foods, incl. beans and peas (oz, d) | 6.8 | 10.2 | 4.4 | 6.8 | 
| Total meat, poultry, seafood, and eggs (oz, d) | 0 | 0.9 | 0 | 0.6 | 
| Total soy, nuts, and seeds (oz, w) | 7 | 28 | 5.6 | 21 | 
| Total protein from legumes (beans and peas; oz, w) | 2.8 | 11.2 | 1.4 | 7 | 
| Total dairy (cups, d) | 1.1 | 2.4 | 0.9 | 1.9 | 
| Oils (grams, d) | 18.6 | 32.3 | 13.4 | 23.2 | 
| Solid fats (grams, d) | 0 | 14.18 | 0 | 9.65 | 
| Sodium (mg, d) | 2734 | 3681 | 1900 | 3681 | 
| Energy from added sugars (kcal) | 216 | 336 | 180 | 270 | 
| Energy (kcal) | 2096 | 2951 | 1490 | 2069 | 
| Energy from added sugars (% daily energy) | 9 | 14 | 10 | 15 | 
Appendix A.3. Results—Graphs
Appendix A.3.1. Dairy Contribution to the Modeled Food Patterns

Appendix A.3.2. Plant Protein Contribution to the Modeled Food Patterns

Appendix A.3.3. Contribution of Total Protein: Animal Protein Food (Excluding Dairy) and Plant Protein to the Modeled Food Patterns

Appendix A.3.4. Healthy Eating Index (HEI) 2015

References
- Wozniak, H.; Larpin, C.; de Mestral, C.; Guessous, I.; Reny, J.-L.; Stringhini, S. Vegetarian, Pescatarian and Flexitarian Diets: Sociodemographic Determinants and Association with Cardiovascular Risk Factors in a Swiss Urban Population. Br. J. Nutr. 2020, 124, 844–852. [Google Scholar] [CrossRef]
 - Tso, R.; Forde, C.G. Unintended Consequences: Nutritional Impact and Potential Pitfalls of Switching from Animal- to Plant-based Foods. Nutrients 2021, 13, 2527. [Google Scholar] [CrossRef] [PubMed]
 - GBD 2017 Diet Collaborators. Health Effects of Dietary Risks in 195 Countries, 1990–2017: A Systematic Analysis for the Global Burden of Disease Study 2017. Lancet 2019, 393, 1958–1972. [Google Scholar] [CrossRef] [PubMed]
 - Buttriss, J.L.; Briend, A.; Darmon, N.; Ferguson, E.L.; Maillot, M.; Lluch, A. Diet Modelling: How It Can Inform the Development of Dietary Recommendations and Public Health Policy. Nutr. Bull. 2014, 39, 115–125. [Google Scholar] [CrossRef]
 - Satija, A.; Hu, F.B. Plant-Based Diets and Cardiovascular Health. Trends Cardiovasc. Med. 2018, 28, 437–441. [Google Scholar] [CrossRef] [PubMed]
 - Glenn, A.J.; Lo, K.; Jenkins, D.J.A.; Boucher, B.A.; Hanley, A.J.; Kendall, C.W.C.; Manson, J.E.; Vitolins, M.Z.; Snetselaar, L.G.; Liu, S.; et al. Relationship Between a Plant-Based Dietary Portfolio and Risk of Cardiovascular Disease: Findings from the Women’s Health Initiative Prospective Cohort Study. J. Am. Heart. Assoc. 2021, 10, e021515. [Google Scholar] [CrossRef]
 - Kahleova, H.; Levin, S.; Barnard, N.D. Vegetarian Dietary Patterns and Cardiovascular Disease. Prog. Cardiovasc. Dis. 2018, 61, 54–61. [Google Scholar] [CrossRef]
 - Qian, F.; Liu, G.; Hu, F.B.; Bhupathiraju, S.N.; Sun, Q. Association Between Plant-Based Dietary Patterns and Risk of Type 2 Diabetes: A Systematic Review and Meta-Analysis. JAMA Intern. Med. 2019, 179, 1335–1344. [Google Scholar] [CrossRef]
 - Loeb, S.; Fu, B.C.; Bauer, S.R.; Pernar, C.H.; Chan, J.M.; van Blarigan, E.L.; Giovannucci, E.L.; Kenfield, S.A.; Mucci, L.A. Association of Plant-Based Diet Index with Prostate Cancer Risk. Am. J. Clin. Nutr. 2022, 115, 662–670. [Google Scholar] [CrossRef]
 - Castro-Quezada, I.; Román-Viñas, B.; Serra-Majem, L. The Mediterranean Diet and Nutritional Adequacy: A Review. Nutrients 2014, 6, 231–248. [Google Scholar] [CrossRef]
 - Neufingerl, N.; Eilander, A. Nutrient Intake and Status in Adults Consuming Plant-Based Diets Compared to Meat-Eaters: A Systematic Review. Nutrients 2021, 14, 29. [Google Scholar] [CrossRef] [PubMed]
 - Forestell, C.A. Flexitarian Diet and Weight Control: Healthy or Risky Eating Behavior? Front. Nutr. 2018, 5, 59. [Google Scholar] [CrossRef]
 - So Delicious Dairy Free. Clarissa Dickinson One in Three Consider Themselves to Be a Flexitarian, Study Finds. PRNewswire, 20 November 2019.
 - Stuckey, B. Meteoric Rise in Flexitarian Eating and How HPP Can Play a Role. Available online: https://universalpure.com/wp-content/uploads/2017/08/2017-HPP-Summit-Presentation-BarbStuckeyMain-Mattson.pdf (accessed on 12 May 2023).
 - Wolsey, L. Integer Programming; Wiley: Hoboken, NJ, USA, 2020; ISBN 9781119606475. [Google Scholar]
 - Centers for Disease Control and Prevention (CDC); National Center for Health Statistics (NCHS). U.S. Department of Health and Human Services; Centers for Disease Control and Prevention National Health and Nutrition Examination Survey Data, 2017–2018. Available online: https://wwwn.cdc.gov/nchs/nhanes/continuousnhanes/overview.aspx?BeginYear=2017 (accessed on 16 June 2022).
 - U.S. Department of Agriculture. Food Surveys Research Group Home Page USDA Food and Nutrient Database for Dietary Studies 2011–2012. Available online: https://www.ars.usda.gov/northeast-area/beltsville-md-bhnrc/beltsville-human-nutrition-research-center/food-surveys-research-group/docs/fndds/ (accessed on 20 May 2022).
 - Bowman, S.A.; Clemens, J.C.; Friday, J.E.; Lynch, K.L.; Moshfegh, A.J. Food Patterns Equivalents Database 2017–2018: Methodology and User Guide; Food Surveys Research Group: Beltsville, MD, USA; Beltsville Human Nutrition Research Center: Beltsville, MD, USA; Agricultural Research Service: Beltsville, MD, USA; U.S. Department of Agriculture: Beltsville, MD, USA, 2021.
 - Snetselaar, L.G.; de Jesus, J.M.; DeSilva, D.M.; Stoody, E.E. Dietary Guidelines for Americans, 2020–2025. Nutr. Today 2021, 56, 287–295. [Google Scholar] [CrossRef]
 - Epidemiology and Genomics Research Program Website. National Cancer Institute Usual Dietary Intakes: Food Intakes, U.S. Population, 2007–2010. Available online: http://epi.grants.cancer.gov/diet/usualintakes/pop/2007-10/ (accessed on 15 June 2022).
 - Beltsville, M.; Moshfegh, A. Food Patterns Equivalents Database per 100 Grams of FNDDS 2017–2018 Foods; Food Surveys Research Group: Beltsville, MD, USA, 2020. [Google Scholar]
 - Krebs-Smith, S.M.; Pannucci, T.E.; Subar, A.F.; Kirkpatrick, S.I.; Lerman, J.L.; Tooze, J.A.; Wilson, M.M.; Reedy, J. Update of the Healthy Eating Index: HEI-2015. J. Acad. Nutr. Diet. 2018, 118, 1591–1602. [Google Scholar] [CrossRef] [PubMed]
 - Bertsimas, D.; Cory-Wright, R.; Pauphilet, J. A Unified Approach to Mixed-Integer Optimization Problems with Logical Constraints. SIAM J. Optim. 2021, 31, 2340–2367. [Google Scholar] [CrossRef]
 - Conrad, Z.; Kowalski, C.; Dustin, D.; Johnson, L.K.; McDowell, A.; Salesses, M.; Nance, J.; Belury, M.A. Quality of Popular Diet Patterns in the United States: Evaluating the Effect of Substitutions for Foods High in Added Sugar, Sodium, Saturated Fat, and Refined Grains. Curr. Dev. Nutr. 2022, 6, nzac119. [Google Scholar] [CrossRef]
 - Derbyshire, E.J. Flexitarian Diets and Health: A Review of the Evidence-Based Literature. Front. Nutr. 2017, 3, 55. [Google Scholar] [CrossRef]
 - Hess, J.M. Modeling Dairy-Free Vegetarian and Vegan USDA Food Patterns for Nonpregnant, Nonlactating Adults. J. Nutr. 2022, 152, 2097–2108. [Google Scholar] [CrossRef] [PubMed]
 - Basiotis, P.P.; Carlson, A.; Gerrior, S.A.; Juan, W.Y.; Lino, M. The Healthy Eating Index, 1999–2000: Charting Dietary Patterns of Americans. Fam. Econ. Nutr. Rev. 2004, 16, 39–48. [Google Scholar]
 - Parker, H.W.; Vadiveloo, M.K. Diet Quality of Vegetarian Diets Compared with Nonvegetarian Diets: A Systematic Review. Nutr. Rev. 2019, 77, 144–160. [Google Scholar] [CrossRef]
 - O’Malley, K.; Willits-Smith, A.; Rose, D. Popular Diets as Selected by Adults in the United States Show Wide Variation in Carbon Footprints and Diet Quality. Am. J. Clin. Nutr. 2023, 117, 701–708. [Google Scholar] [CrossRef]
 - Bruns, A.; Mueller, M.; Schneider, I.; Hahn, A. Application of a Modified Healthy Eating Index (HEI-Flex) to Compare the Diet Quality of Flexitarians, Vegans and Omnivores in Germany. Nutrients 2022, 14, 3038. [Google Scholar] [CrossRef] [PubMed]
 - Karlsen, M.C.; Rogers, G.; Miki, A.; Lichtenstein, A.H.; Folta, S.C.; Economos, C.D.; Jacques, P.F.; Livingston, K.A.; McKeown, N.M. Theoretical Food and Nutrient Composition of Whole-Food Plant-Based and Vegan Diets Compared to Current Dietary Recommendations. Nutrients 2019, 11, 625. [Google Scholar] [CrossRef]
 - Blaurock, J.; Kaiser, B.; Stelzl, T.; Weech, M.; Fallaize, R.; Franco, R.Z.; Hwang, F.; Lovegrove, J.; Finglas, P.M.; Gedrich, K. Dietary Quality in Vegetarian and Omnivorous Female Students in Germany: A Retrospective Study. Int. J. Environ. Res. Public Health 2021, 18, 1888. [Google Scholar] [CrossRef]
 - Farsi, D.N.; Uthumange, D.; Munoz Munoz, J.; Commane, D.M. The Nutritional Impact of Replacing Dietary Meat with Meat Alternatives in the UK: A Modelling Analysis Using Nationally Representative Data. Br. J. Nutr. 2022, 127, 1731–1741. [Google Scholar] [CrossRef] [PubMed]
 - Vatanparast, H.; Islam, N.; Shafiee, M.; Ramdath, D.D. Increasing Plant-Based Meat Alternatives and Decreasing Red and Processed Meat in the Diet Differentially Affect the Diet Quality and Nutrient Intakes of Canadians. Nutrients 2020, 12, 2034. [Google Scholar] [CrossRef] [PubMed]
 - Salomé, M.; Huneau, J.-F.; Le Baron, C.; Kesse-Guyot, E.; Fouillet, H.; Mariotti, F. Substituting Meat or Dairy Products with Plant-Based Substitutes Has Small and Heterogeneous Effects on Diet Quality and Nutrient Security: A Simulation Study in French Adults (INCA3). J. Nutr. 2021, 151, 2435–2445. [Google Scholar] [CrossRef]
 - Stubbendorff, A.; Sonestedt, E.; Ramne, S.; Drake, I.; Hallström, E.; Ericson, U. Development of an EAT-Lancet Index and Its Relation to Mortality in a Swedish Population. Am. J. Clin. Nutr. 2022, 115, 705–716. [Google Scholar] [CrossRef] [PubMed]
 - Cacau, L.T.; De Carli, E.; de Carvalho, A.M.; Lotufo, P.A.; Moreno, L.A.; Bensenor, I.M.; Marchioni, D.M. Development and Validation of an Index Based on EAT-Lancet Recommendations: The Planetary Health Diet Index. Nutrients 2021, 13, 1698. [Google Scholar] [CrossRef]
 - Montejano Vallejo, R.; Schulz, C.-A.; van de Locht, K.; Oluwagbemigun, K.; Alexy, U.; Nöthlings, U. Associations of Adherence to a Dietary Index Based on the EAT–Lancet Reference Diet with Nutritional, Anthropometric, and Ecological Sustainability Parameters: Results from the German DONALD Cohort Study. J. Nutr. 2022, 152, 1763–1772. [Google Scholar] [CrossRef]
 - Knuppel, A.; Papier, K.; Key, T.J.; Travis, R.C. EAT-Lancet Score and Major Health Outcomes: The EPIC-Oxford Study. Lancet 2019, 394, 213–214. [Google Scholar] [CrossRef] [PubMed]
 




| Food Patterns | Meal Inclusion Criteria for Each Modeled Food Pattern | 
|---|---|
| US reference or omnivore | Meals can contain foods of both animal and plant origin, i.e., omnivore.  Excluded food patterns components *: none.  | 
| 75% flexitarian (Flexi75)  | Meals can contain foods of both plant origin and animal origin but meals containing animal-sourced foods are limited to 75%.  Excluded food patterns components: none.  | 
| 50% flexitarian (Flexi50)  | Meals can contain foods of both plant origin and animal origin but meals containing animal-sourced foods are limited to 50%.  Excluded food patterns components: none.  | 
| 25% flexitarian (Flexi25)  | Meals can contain foods of both plant origin and animal origin but meals containing animal-sourced foods are limited to 25% Excluded food patterns components: none.  | 
| Pescatarian | Meals cannot contain meat, poultry, cured meat, or organ meat.  Excluded food pattern components: total protein foods (incl. meat, poultry, cured meat, organ meat).  | 
| Vegetarian or ovo-lacto-vegetarian | Meals cannot contain meat, poultry, cured meat, organ meat, or seafood.  Excluded food pattern components: total animal protein foods (incl. meat, poultry, cured meat, organ meat, seafood low in n-3, seafood high in n-3).  | 
| Total Meals | Breakfast | Lunch | Dinner | Snack | |
|---|---|---|---|---|---|
| Omnivore | 28,802 | 7527 | 6963 | 8395 | 5917 | 
| Flexitarian | 28,802 | 7527 | 6963 | 8395 | 5917 | 
| Pescatarian | 15,305 | 5663 | 2269 | 2183 | 5190 | 
| Vegetarian | 13,956 | 5587 | 1818 | 1489 | 5062 | 
| Vegan | 1842 | 511 | 365 | 206 | 760 | 
| Nutrient and Food Pattern Component (Unit, Time Span) | Male | Female | ||
|---|---|---|---|---|
| Lower | Upper | Lower | Upper | |
| Total fruit (cups, d) | 0.3 | 1.3 | 0.4 | 1.3 | 
| Total vegetables, excl. beans and peas (cups, d) | 1.3 | 2.1 | 1.0 | 1.8 | 
| Beans and peas (cups, w) | 0.0 | 1.4 | 0.0 | 0.7 | 
| Total grains (oz, d) | 6.1 | 9.3 | 4.3 | 6.6 | 
| Total protein foods, incl. beans and peas (oz, d) | 6.8 | 10.2 | 4.4 | 6.8 | 
| Total meat, poultry, seafood, and eggs (oz, d) | 5.4 | 8.5 | 3.3 | 5.6 | 
| Total soy, nuts, and seeds (oz, w) | 3.5 | 14.0 | 2.8 | 10.5 | 
| Total protein from legumes (beans and peas; oz, w) | 1.4 | 5.6 | 0.7 | 3.5 | 
| Total dairy (cups, d) | 1.1 | 2.4 | 0.9 | 1.9 | 
| Oils (grams, d) | 18.6 | 32.3 | 13.4 | 23.2 | 
| Solid fats (grams, d) | 32.9 | 56.7 | 22.9 | 38.6 | 
| Sodium (mg, d) | 2734 | 3681 | 1900 | 3681 | 
| Energy from added sugars (kcal) | 216 | 336 | 180 | 270 | 
| Energy (kcal) | 2096 | 2951 | 1490 | 2069 | 
| Energy from added sugars (% daily energy) | 9 | 14 | 10 | 15 | 
| Food Pattern Components of the Healthy Eating Index 2015 for Modeled Female Data (Max Points) | US  Reference  | Flexitarian 75% | Flexitarian 50% | Flexitarian 25% | Pescatarian | Vegetarian | panova | 
|---|---|---|---|---|---|---|---|
| Total fruit (5) | 2.9 ± 0.3 | 3.0 ± 0.4 | 3.0 ± 0.3 | 4.3 ± 0.6 | 4.2 ± 0.7 | 4.1 ± 0.5 | <0.001 | 
| Whole fruit (5) | 4.3 ± 0.7 | 4.4 ± 0.7 | 4.5 ± 0.7 | 4.8 ± 0.6 | 5.0 ± 0.2 | 5.0 ± 0.2 | <0.001 | 
| Total vegetable (5) | 3.6 ± 0.2 | 3.7 ± 0.2 | 3.8 ± 0.3 | 4.4 ± 0.4 | 4.0 ± 0.6 | 4.1 ± 0.5 | <0.001 | 
| Greens and beans (5) | 3 ± 1 | 3 ± 1 | 3 ± 1 | 3 ± 2 | 2 ± 2 | 3 ± 2 | <0.001 | 
| Whole grains (10) | 4 ± 2 | 4 ± 2 | 4 ± 2 | 6 ± 2 | 7 ± 2 | 7 ± 2 | <0.001 | 
| Dairy (10) | 5.8 ± 0.5 | 3.6 ± 0.4 | 2.0 ± 0.5 | 1.3 ± 0.5 | 6.0 ± 0.9 | 6.6 ± 0.7 | <0.001 | 
| Total protein foods (5) | 5 ± 0 | 5 ± 0 | 5 ± 0 | 5 ± 0 | 5 ± 0 | 5 ± 0 | 1 | 
| Seafood and plant proteins (5) | 4.0 ± 0.8 | 4.6 ± 0.5 | 5 ± 0 | 5 ± 0 | 5 ± 0 | 5 ± 0 | <0.001 | 
| Fatty acids ratio (10) | 2.9 ± 0.7 | 5 ± 1 | 8 ± 1 | 9.9 ± 0.2 | 9.7 ± 0.5 | 9.9 ± 0.3 | <0.001 | 
| Refined grains (10) | 7 ± 1 | 7 ± 1 | 7 ± 1 | 5 ± 2 | 6 ± 2 | 8 ± 1 | <0.001 | 
| Sodium (10) | 4.7 ± 0.9 | 6 ± 1 | 6 ± 1 | 6 ± 2 | 7 ± 1 | 7.1 ± 0.9 | <0.001 | 
| Added sugars (10) | 6.9 ± 0.3 | 6.8 ± 0.3 | 6.7 ± 0.3 | 6.5 ± 0.3 | 6.6 ± 0.6 | 6.7 ± 0.3 | <0.001 | 
| Saturated fats (10) | 5.2 ± 0.7 | 8.3 ± 0.9 | 10.0 ± 0.1 | 10 ± 0 | 10 ± 0 | 10 ± 0 | <0.001 | 
| Overall HEI score (100) | 59 ± 3 | 64 ± 4 | 68 ± 4 | 71 ± 5 | 77 ± 6 | 82 ± 4 | <0.001 | 
| Food Pattern Components of the Healthy Eating Index 2015 for Modeled Male Data (Max Points) | US  Reference  | Flexitarian 75% | Flexitarian 50% | Flexitarian 25% | Pescatarian | Vegetarian | panova | 
|---|---|---|---|---|---|---|---|
| Total fruit (5) | 2.0 ± 0.3 | 2.2 ± 0.3 | 2.3 ± 0.3 | 3.5 ± 0.7 | 3.5 ± 0.8 | 3.3 ± 0.5 | <0.001 | 
| Whole fruit (5) | 3.2 ± 0.7 | 3.0 ± 0.7 | 3.6 ± 0.8 | 4.5 ± 0.8 | 4.6 ± 0.8 | 4.5 ± 0.8 | <0.001 | 
| Total vegetable (5) | 3.4 ± 0.2 | 3.5 ± 0.2 | 3.7 ± 0.2 | 4.1 ± 0.4 | 3.7 ± 0.4 | 4.1 ± 0.5 | <0.001 | 
| Greens and beans (5) | 3 ± 1 | 3 ± 1 | 4 ± 1 | 4 ± 1 | 3 ± 1 | 4 ± 1 | <0.001 | 
| Whole grains (10) | 3 ± 1 | 4 ± 2 | 4 ± 2 | 5 ± 2 | 6 ± 2 | 8 ± 2 | <0.001 | 
| Dairy (10) | 5.3 ± 0.5 | 3.8 ± 0.5 | 2.1 ± 0.4 | 1.4 ± 0.4 | 5.3 ± 0.9 | 5.6 ± 0.7 | <0.001 | 
| Total protein foods (5) | 5 ± 0 | 5 ± 0 | 5 ± 0 | 5 ± 0 | 5 ± 0 | 5 ± 0 | 1 | 
| Seafood and plant proteins (5) | 4.0 ± 0.9 | 4.8 ± 0.4 | 5 ± 0 | 5 ± 0 | 5 ± 0 | 5 ± 0 | <0.001 | 
| Fatty acids ratio (10) | 3.0 ± 0.8 | 4.7 ± 0.9 | 8 ± 1 | 9.9 ± 0.4 | 9 ± 1 | 10 ± 0.4 | <0.001 | 
| Refined grains (10) | 6 ± 1 | 6 ± 1 | 6 ± 1 | 4 ± 2 | 5 ± 2 | 6 ± 2 | <0.001 | 
| Sodium (10) | 4 ± 1 | 5 ± 1 | 5 ± 1 | 5 ± 1 | 6 ± 1 | 6 ± 1 | <0.001 | 
| Added sugars (10) | 7.4 ± 0.3 | 7.3 ± 0.3 | 7.2 ± 0.3 | 7.2 ± 0.3 | 7.5 ± 0.6 | 7.4 ± 0.3 | <0.001 | 
| Saturated fats (10) | 4.0 ± 0.9 | 7.2 ± 0.7 | 9.8 ± 0.3 | 10 ± 0 | 10.0 ± 0.1 | 10 ± 0 | <0.001 | 
| Overall HEI score (100) | 53 ± 3 | 59 ± 4 | 65 ± 4 | 69 ± 4 | 73 ± 5 | 78 ± 5 | <0.001 | 
Disclaimer/Publisher’s Note: The statements, opinions and data contained in all publications are solely those of the individual author(s) and contributor(s) and not of MDPI and/or the editor(s). MDPI and/or the editor(s) disclaim responsibility for any injury to people or property resulting from any ideas, methods, instructions or products referred to in the content.  | 
© 2023 by the authors. Licensee MDPI, Basel, Switzerland. This article is an open access article distributed under the terms and conditions of the Creative Commons Attribution (CC BY) license (https://creativecommons.org/licenses/by/4.0/).
Share and Cite
Vasiloglou, M.F.; Elortegui Pascual, P.; Scuccimarra, E.A.; Plestina, R.; Mainardi, F.; Mak, T.-N.; Ronga, F.; Drewnowski, A. Assessing the Quality of Simulated Food Patterns with Reduced Animal Protein Using Meal Data from NHANES 2017–2018. Nutrients 2023, 15, 2572. https://doi.org/10.3390/nu15112572
Vasiloglou MF, Elortegui Pascual P, Scuccimarra EA, Plestina R, Mainardi F, Mak T-N, Ronga F, Drewnowski A. Assessing the Quality of Simulated Food Patterns with Reduced Animal Protein Using Meal Data from NHANES 2017–2018. Nutrients. 2023; 15(11):2572. https://doi.org/10.3390/nu15112572
Chicago/Turabian StyleVasiloglou, Maria F., Paloma Elortegui Pascual, Eric A. Scuccimarra, Roko Plestina, Fabio Mainardi, Tsz-Ning Mak, Frédéric Ronga, and Adam Drewnowski. 2023. "Assessing the Quality of Simulated Food Patterns with Reduced Animal Protein Using Meal Data from NHANES 2017–2018" Nutrients 15, no. 11: 2572. https://doi.org/10.3390/nu15112572
APA StyleVasiloglou, M. F., Elortegui Pascual, P., Scuccimarra, E. A., Plestina, R., Mainardi, F., Mak, T.-N., Ronga, F., & Drewnowski, A. (2023). Assessing the Quality of Simulated Food Patterns with Reduced Animal Protein Using Meal Data from NHANES 2017–2018. Nutrients, 15(11), 2572. https://doi.org/10.3390/nu15112572
        
