Effect of Diet and Supplementation on Serum Vitamin C Concentration and Antioxidant Activity in Dialysis Patients
Abstract
1. Introduction
2. Materials and Methods
2.1. Characteristics of Investigated Groups
2.2. Study Design
2.3. Serum Preparation
2.4. Biochemical Analysis
2.5. Statistical Analysis
3. Results
3.1. Biochemical Measurements
3.2. Nutritional Status Assessment
3.3. Dietary Assessment and Nutritional Value of Diets
3.4. Blood Concentrations of Vitamin C
3.5. Antioxidant Activity of Patients’ Blood Serum
4. Discussion
5. Conclusions
Author Contributions
Funding
Institutional Review Board Statement
Informed Consent Statement
Data Availability Statement
Conflicts of Interest
References
- Bonomini, M.; Piscitani, L.; Di Liberato, L.; Sirolli, V. Biocompatibility of Surface-Modified Membranes for Chronic Hemodialysis Therapy. Biomedicines 2022, 10, 844. [Google Scholar] [CrossRef] [PubMed]
- Campo, S.; Lacquaniti, A.; Trombetta, D.; Smeriglio, A.; Monardo, P. Immune System Dysfunction and Inflammation in Hemodialysis Patients: Two Sides of the Same Coin. J. Clin. Med. 2022, 11, 3759. [Google Scholar] [CrossRef] [PubMed]
- Ward, R.A.; McLeish, K.R. Oxidant stress in Hemodialysis Patients: What are the determining factors? Artif. Organs. 2003, 27, 230–236. [Google Scholar] [CrossRef] [PubMed]
- Kaysen, G.A.; Eiserich, J.P. Renal Research Institute Sympositum: Characteristics and Effects of Inflammation in End-Stage Renal Disease. Semin. Dial. 2003, 16, 438–446. [Google Scholar] [CrossRef] [PubMed]
- Knerr, K.; Füth, R.; Hemsen, P.; Mohné, W.; Heinig, A.; Kleophas, W.; Scherbaum, W.A.; Martin, S. Chronic inflammation and hemodialysis reduce immune competence of peripheral blood leukocytes in end-stage renal failure patients. Cytokine 2005, 30, 132–138. [Google Scholar] [CrossRef]
- Morena, M.; Delbosc, S.; Dupuy, A.-M.; Canaud, B.; Cristol, J.-P. Overproduction of reactive oxygen species in end-stage renal disease patients: A potential component of hemodialysis-associated inflammation. Hemodial. Int. 2005, 9, 37–46. [Google Scholar] [CrossRef] [PubMed]
- Hirano, F.; Tanaka, H.; Miura, T.; Hirano, Y.; Okamoto, K.; Makino, Y.; Makino, I. Inhibition of NF-kB-dependent transcription of human immunodeficiency virus 1 promoter by a phosphodiester compound of vitamin C and vitamin E, EPC-K1. Immunopharmacology 1998, 39, 31–38. [Google Scholar] [CrossRef]
- Nagao, N.; Etoh, T.; Yamaoka, S.; Okamoto, T.; Miwa, N. Enhanced invasion of Tax-expressing fibroblasts into the basement membrane is repressed by phosphorylated ascorbate with simultaneous decreases in intracellular oxidative stress and NF-kappa B activation. Antioxid. Redox Signal. 2000, 2, 727–738. [Google Scholar] [CrossRef]
- Tylicki, L.; Rutkowski, B.; Hörl, W.H. Antioxidants: A Possible Role in Kidney Protection. Kidney Blood Press. Res. 2003, 26, 303–314. [Google Scholar] [CrossRef]
- Traber, M.G.; Leonard, S.W.; Vasu, V.T.; Morrissey, B.M.; Lei, H.; Atkinson, J.; Cross, C.E. α-Tocopherol Pharmacokinetics in Adults with Cystic Fibrosis: Benefits of Supplemental Vitamin C Administration. Nutrients 2022, 14, 3717. [Google Scholar] [CrossRef]
- Melhem, M.F.; Craven, P.A.; Derubertis, F.R. Effects of Dietary Supplementation of α-Lipoic Acid on Early Glomerular Injury in Diabetes Mellitus. J. Am. Soc. Nephrol. 2001, 12, 124–133. [Google Scholar] [CrossRef] [PubMed]
- Bakaev, W.; Efremon, A.V. The excretion of ascorbic acid and its metabolites in uremia and hemodialysis. Patol. Fizjol. Eksp. Ter. 2000, 2, 22–24. [Google Scholar]
- Morena, M.; Cristol, J.P.; Bosc, J.Y.; Tetta, C.; Forret, G.; Leger, C.L.; Delcourt, C.; Papoz, L.; Descomps, B.; Canaud, B. Convective and diffusive losses of vitamin C during haemodiafiltration session: A contributive factor to oxidative stress in haemodialysis patients. Nephrol. Dial. Transpl. 2002, 17, 422–427. [Google Scholar] [CrossRef] [PubMed]
- Morena, M.; Martin-Mateo, M.; Cristol, J.P.; Canaud, B. Rationale for antioxidant supplementation in hemodialysis patients. Saudi J. Kidney Dis. Transplant. 2001, 12, 312–324. [Google Scholar]
- Gonet, B.; Domek, H. Hemodializa pozaustrojowa a status antyoksydacyjny u ludzi. Czynniki Ryzyka. 2003, 2–4, 112–118. [Google Scholar]
- Liu, Y.; Weisberg, L.S.; Langman, C.B.; Logan, A.; Hunter, K.; Prasad, D.; Avila, J.; Venkatchalam, T.; Berns, J.S.; Handelman, G.J.; et al. Plasma oxalate levels in prevalent hemodialysis patients and potential implications for ascorbic acid supplementation. Clin. Biochem. 2016, 49, 1133–1139. [Google Scholar] [CrossRef]
- Kaźmierczak-Barańska, J.; Boguszewska, K.; Adamus-Grabicka, A.; Karwowski, B.T. Two Faces of Vitamin C—Antioxidative and Pro-Oxidative Agent. Nutrients 2020, 12, 1501. [Google Scholar] [CrossRef]
- Saglimbene, V.M.; Wong, G.; Ruospo, M.; Palmer, S.C.; Garcia-Larsen, V.; Natale, P.; Teixeira-Pinto, A.; Campbell, K.L.; Carrero, J.-J.; Stenvinkel, P.; et al. Fruit and Vegetable Intake and Mortality in Adults undergoing Maintenance Hemodialysis. Clin. J. Am. Soc. Nephrol. 2019, 14, 250–260. [Google Scholar] [CrossRef]
- Gajewska, D.; Narojek, L.; Ostrowska, M.; Kuczek, B. Spożycie wybranych składników mineralnych przez pacjentów ze schyłkową niewydolnością nerek leczonych dializami. Bromat. Chem. Toksykol. 2005, 38, 57–61. [Google Scholar]
- European Dialysis and Transplantation Nurses Association/European Renal Care Association. European Guidelines for The Nutritional Care of Adult Renal Patients; EDTNA/ERCA: Rotterdam, The Netherlands, 2002. [Google Scholar]
- Jarosz, M.; Rychlik, E.; Stoś, K.; Charzewska, J. Normy Żywienia Dla Populacji Polskiej I Ich Zastosowanie; Wyd. Lek. PZWL: Warsaw, Poland, 2020. [Google Scholar]
- Moniczewski, A.; Brandys, J. Oznaczanie witaminy C w surowicy i osoczu. Probl. Ter. Monit. 2001, 12, 65–70. [Google Scholar]
- Benzie, I.F.F.; Strain, J.J. The Ferric Reducing Ability of Plasma (FRAP) as a Measure of “Antioxidant Power”: The FRAP Assay. Anal. Biochem. 1996, 239, 70–76. [Google Scholar] [CrossRef] [PubMed]
- Hong, W.-P.; Lee, Y.-J. The association of dialysis adequacy, body mass index, and mortality among hemodialysis patients. BMC Nephrol. 2019, 20, 382. [Google Scholar] [CrossRef] [PubMed]
- Stenvinkel, P.; Gillespie, I.A.; Tunks, J.; Addison, J.; Kronenberg, F.; Drueke, T.B.; Marcelli, D.; Schernthaner, G.; Eckardt, K.U.; Floege, J.; et al. Inflammation modifies the paradoxical association between body mass index and mortality in hemodialysis patients. JASN 2016, 27, 1479–1486. [Google Scholar] [CrossRef] [PubMed]
- Carrero, J.J.; Stenvinkel, P.; Cuppari, L.; Ikizler, T.A.; Kalantar-Zadeh, K.; Kaysen, G.; Mitch, W.E.; Price, S.R.; Wanner, C.; Wang, A.Y.; et al. Etiology of the protein-energy wasting syndrome in chronic kidney disease: A consensus statement from the International Society of Renal Nutrition and Metabolism (ISRNM). J. Ren. Nutr. 2013, 23, 77–90. [Google Scholar] [CrossRef] [PubMed]
- Laville, M.; Fouque, D. Nutritional aspects in hemodialysis. Kidney Int. 2000, 58, S133–S139. [Google Scholar] [CrossRef]
- Cotton, A.B. Medical nutrition therapy when kidney disease meets liver failure. Nephrol. Nurs. J. 2008, 34, 661–662. [Google Scholar]
- Bogacka, A.; Sobczak-Czynsz, A.; Kucharska, E.; Madaj, M.; Stucka, K. Analysis of nutrition and nutritional status of haemodialysis patients. Rocz. Panstw. Zakl. Hig. 2018, 69, 165–174. [Google Scholar]
- Kozłowska, L.; Rosołowska-Huszcz, D.; Rydzewski, A. Ocena sposobu żywienia i stanu odżywienia pacjentów z przewlekłą niewydolnością nerek leczonych zachowawczo. Żyw. Człow. Metab. 2004, 31, 234–238. [Google Scholar]
- Wardak, J.; Głąbika, D.; Narojek, L.; Rojek-Trębicka, J. Analysis of the intake of protein and energy by predialysis patients with chronic renal failure receiving essential amino acid ketoanologues. Roczn. PZH 2007, 58, 153–158. [Google Scholar]
- Bossola, M.; Muscaritoli, M.; Tazza, L.; Panocchia, N.; Liberatori, M.; Giungi, S.; Tortorelli, A.; Fanelli, F.R.; Luciani, G. Variables associated with reduced dietary intake in hemodialysis patients. J. Ren. Nutr. 2005, 15, 244–252. [Google Scholar] [CrossRef]
- Raimundo, P.; Ravasco, P.; Proenca, V.; Camilo, M. Does nutrition play a role in the quality of life of patients under chronic haemodialysis? Nutr. Hosp. 2006, 21, 139–144. [Google Scholar] [PubMed]
- Alshatwi, A.A.; Alshmery, A.; Al-Khalifa, A. Nutritional Assessment of Hemodialysis Patients. J. Med. Sci. 2007, 7, 294–298. [Google Scholar] [CrossRef][Green Version]
- Chazot, C.; Vo-Van, C.; Blanc, C.; Hurot, J.M.; Jean, G.; Vanel, T.; Terrat, J.C.; Charra, B. Stability of nutritional parameters during a 5-year follow-up in patients treated with sequential long-hour hemodialysis. Hemodial. Int. 2006, 10, 389–393. [Google Scholar] [CrossRef] [PubMed]
- Kalantar-Zadeh, K. Causes and consequences of the reverse epidemiology of body mass index in dialysis patients. J. Ren. Nutr. 2005, 15, 142–147. [Google Scholar] [CrossRef]
- Morais, A.A.C.; Silva, M.A.T.; Faintuch, J.; Vidigal, E.J.; Costa, R.A.; Lyrio, D.C.; Trindade, C.R.; Pitanga, K.K. Correlation of nutritional status and food intake in hemodialysis patients. Clinics 2005, 60, 185–192. [Google Scholar] [CrossRef]
- Şanlier, N.; Demircioğlu, Y. Correlation of Dietary Intakes and Biochemical Determinates of Nutrition in Hemodialysis Patients. Ren. Fail. 2007, 29, 213–218. [Google Scholar] [CrossRef][Green Version]
- Nunes, F.T.; de Campos, G.; de Paula, S.M.X.; Merhi, V.A.L.; Portero-Mclellan, K.C.; da Motta, D.G.; de Oliveira, M.R.M. Dialysis adequacy and nutritional status of hemodialysis patients. Hemodial. Int. 2008, 12, 45–51. [Google Scholar] [CrossRef]
- Siddiqui, U.A.; Halim, A.; Hussain, T. Nutritional profile and inflammatory status of stable chronic hemodialysis patients at nephrology department, military hospital Rawalpindi. J. Ayub. Med. Coll. Abbottabad. 2007, 19, 29–31. [Google Scholar]
- Aoyagi, T.; Naka, H.; Miyaji, K.; Hayakawa, K.; Ishikawa, H.; Hata, M. Body mass index for chronic hemodialysis patients: Stable hemodialysis and mortality. Int. J. Urol. 2001, 8, S71–S75. [Google Scholar] [CrossRef]
- Louden, J.D.; Bartlett, K.; Reaich, D.; Edson, R.; Alexander, C.; Goodship, T.H.J. Effects of feeding on albumin synthesis in hypoalbuminemia hemodialysis patients. Kidney Int. 2002, 62, 266–271. [Google Scholar] [CrossRef]
- Arab, L.R.; Dabernat, S.; Boutin, J.; Bordenave, C.; Karmani, M.; Colombiès, B.; Delmas, Y.; De-La-Faille, R.; De Précigout, V.; Rubin, S.; et al. Impact of Albumin Assays in the Diagnosis of Malnutrition in Hemodialysis Patients: A Cohort Study. J. Ren. Nutr. 2022, S1051-2276(22)00188-1, In press. [Google Scholar] [CrossRef]
- Mayer, B.; Zitta, S.; Greilberger, J.; Holzer, H.; Reibnegger, G.; Hermetter, A.; Oettl, K. Effect of hemodialysis on the antioxidative properties of serum. Biochim. Biophys. Acta 2003, 1638, 267–272. [Google Scholar] [CrossRef] [PubMed]
- Naskalski, J.W.; Bartosz, G. Oxidative modifications of protein structures. Adv. Clin. Biochem. 2000, 35, 161–254. [Google Scholar]
- Böhm, V.; Tiroke, K.; Schneider, S.; Sperschneider, H.; Stein, G.; Bitsch, R. Vitamin C status of patients with chronic renal failure, dialysis patients and patients after renal transplantation. Int. J. Vitam. Nutr. Res. 1997, 67, 262–266. [Google Scholar] [PubMed]
- Ha, T.; Sattar, N.; Talwar, D.; Cooney, J.; Simpson, K.; O’Reilly, D.; Lean, M. Abnormal antioxidant vitamin and carotenoid status in chronic renal failure. QJM Int. J. Med. 1996, 89, 765–770. [Google Scholar] [CrossRef]
- Wang, S.; Eide, T.C.; Sogn, E.M.; Berg, K.J.; Sund, R.B. Plasma ascorbic acid in patients undergoing chronic haemodialysis. Eur. J. Clin. Pharmacol. 1999, 55, 527–532. [Google Scholar] [CrossRef]
- Zwolińska, D.; Grzeszczak, W.; Szczepańska, M.; Kiliś-Pstrusińska, K.; Szprynger, K. Vitamins A, E and C as non-enzymatic antioxidants and their relation to lipid peroxidation in children with chronic renal failure. Nephron Clin. Pract. 2006, 103, 12–18. [Google Scholar] [CrossRef]
- Chao, J.C.-J.; Yuan, M.-D.; Chen, P.-Y.; Chien, S.-W. Vitamin C and E supplements improve the impaired antioxidant status and decrease plasma lipid peroxides in hemodialysis patients. J. Nutr. Biochem. 2002, 13, 653–663. [Google Scholar] [CrossRef]
- El Mashad, G.M.; ElSayed, H.M.; A Nosair, N. Effect of vitamin C supplementation on lipid profile, serum uric acid, and ascorbic acid in children on hemodialysis. Saudi J. Kidney Dis. Transpl. 2016, 27, 1148–1154. [Google Scholar] [CrossRef]
- Abdollahzad, H.; Eghtesadi, S.; Nourmohammadi, I.; Khadem-Ansari, M.; Nejad-Gashti, H.; Esmaillzadeh, A. Effect of Vitamin C Supplementation on Oxidative Stress and Lipid Profiles in Hemodialysis Patients. Int. J. Vitam. Nutr. Res. 2009, 79, 281–287. [Google Scholar] [CrossRef]
- Błaszczak, R.; Kujawski, K.; Kędziora-Kornatowska, K.; Kornatowski, T.; Kędziora, J.; Szadujkis-Szadurski, L.; Markuszewski, L.; Rysz, J.; Ertel, D.; Olszewski, R. Całkowita zdolność antyoksydacyjna oraz stężenie antyoksydantów drobnocząsteczkowych w osoczu u chorych na cukrzycę typu 2. w różnym okresie wyrównania metabolicznego oraz z towarzyszącą nefropatią cukrzycową. Pol. Merk. Lek. 2005, 18, 29–33. [Google Scholar]
- Caimi, G.; Carollo, C.; Presti, R.L. Diabetes mellitus: Oxidative stress and wine. Curr. Med. Res. Opin. 2003, 19, 581–586. [Google Scholar] [CrossRef] [PubMed]
- Padayatty, S.J.; Katz, A.; Wang, Y.; Eck, P.; Kwon, O.; Lee, J.-H.; Chen, S.; Corpe, C.; Dutta, A.; Dutta, S.K.; et al. Vitamin C as an Antioxidant: Evaluation of Its Role in Disease Prevention. J. Am. Coll. Nutr. 2003, 22, 18–35. [Google Scholar] [CrossRef] [PubMed]
- Halliwell, B. Vitamin C: Poison, prophylactic or panacea? Trends Biochem. Sci. 1999, 24, 255–259. [Google Scholar] [CrossRef]
- Lunec, J.; Holloway, K.A.; Cooke, M.S.; Faux, S.; Griffiths, H.R.; Evans, M.D. Urinary 8-oxo-2′-deoxyguanosine: Redox regulation of DNA repair in vivo? Free Radic. Biol. Med. 2002, 33, 875–885. [Google Scholar] [CrossRef]
- Elmagirbi, A.; Sulistyarti, H.; Atikah, A. Study of Ascorbic Acid as Iron(III) Reducing Agent for Spectrophotometric Iron Speciation. J. Pure App. Chem. Res. 2012, 1, 11–17. [Google Scholar] [CrossRef]
- Duarte, T.L.; Lunec, J. Review: When is an antioxidant not an antioxidant? A review of novel actions and reactions of vitamin C. Free Radic. Res. 2005, 39, 671–686. [Google Scholar] [CrossRef]
- Erdoǧan, C.; Ünlüçerçi, Y.; Türkmen, A.; Kuru, A.; Çetin, O.; Bekpınar, S. The evaluation of oxidative stress in patients with chronic renal failure. Clin. Chim. Acta 2002, 322, 157–161. [Google Scholar] [CrossRef]
- Kadkhodaee, M.; Hemmati, M.; Zahmatkesh, M.; Ghaznavi, R.; Mirershadi, F.; Mahdavi-Mazde, M.; Seifi, B.; Mahdavi-Mazdeh, M. Assessment of Plasma Antioxidant Status in Hemodialysis Patients. Ther. Apher. Dial. 2008, 12, 147–151. [Google Scholar] [CrossRef]
- Ahmadpoor, P.; Eftekhar, E.; Nourooz-Zadeh, J.; Servat, H.; Makhdoomi, K.; Ghafari, A. Glutathione, glutathione-related enzymes, and total antioxidant capacity in patients on maintenance dialysis. Iran. J. Kidney Dis. 2009, 3, 22–27. [Google Scholar]
- Hemmati, M.; Kadkhodaee, M.; Zahmatkesh, M.; Mahdavi-Mazde, M.; Ghaznavi, R.; Mirershadi, F. Blood antioxidant levels and alterations of serum calcium and pH in hemodialysis patients. Teheran Univ. Med. J. 2008, 66, 12–17. [Google Scholar]
- Bogacka, A.; Balejko, E.; Bober, J.; Seidler, T.; Balejko, J.; Sobczak, A.; Kucharska, E.; Ciechanowski, K. Clinical immunology Effect of diet on selected parameters of antioxidative system and inflammatory processes in patients dialyzed due to diabetic kidney disease. Central Eur. J. Immunol. 2013, 2, 243–250. [Google Scholar] [CrossRef]





| Biochemical Parameters | ||||||
|---|---|---|---|---|---|---|
| Group | 1 | 2 | 3 | 4 | 5 | |
| Age (years) | 66.2 ± 12.7 | 57.1 ± 11.3 | 55.5 ± 12.5 | 63.4 ± 10.0 | 71.6 ± 3.1 | |
| Sex ratio Female/Male | 3/3 | 9/8 | 12/13 | 4/5 | 5/6 | |
| Hematocrit (%) | 35.1 ± 3.2 | 36.3 ± 2.5 | 37.1 ± 2.0 | 36.5 ± 5.1 | 36.8 ± 3.1 | |
| Red Blood Cells (×1012/L) | 14.0 ± 1.6 | 11.8 ± 2.1 | 16.2 ± 1.5 | 13 ± 1.1 | 17.7 ± 1.5 | |
| Uric acid (mg/dL) | 6.1 ± 1.1 | 6.6 ± 1.0 | 6.5 ± 1.1 | 6.1 ± 0.8 | 6.7 ± 0.7 | |
| Urea (mg/dL) | Pre-HD | 119.7 ± 24.7 | 149.0 ± 40.0 | 119.4 ± 27.2 | 151.1 ± 28.5 | 134.6 ± 26.1 |
| Post-HD | 48.0 ± 8.4 | 44.3 ± 7.2 | 41.3 ± 12.1 | 47.4 ± 20 | 46.3 ± 15.1 | |
| Creatinine (mg/dL) | 9.0 ± 0.6 | 9.1 ± 0.5 | 7.0 ± 1.2 | 8.6 ± 1.0 | 7.6 ± 0.3 | |
| BMI (kg dry weight/m2) | |||
|---|---|---|---|
| Months | 0 | 3 | 6 |
| Group | |||
| 1 | 23.3 ± 3.8 * | 23.3 ± 3.9 | 22.8 ± 4.3 * |
| 2 | 24.8 ± 4.1 * | 24.9 ± 4.0 | 25.1 ± 4.0 * |
| 3 | 25.4 ± 3.8 | 24.8 ± 3.9 | 25.4 ± 3.7 |
| 4 | 24.3 ± 5.3 | 24.2 ± 5.2 | 24.0 ± 5.3 |
| 5 | 21.6 ± 1.3 * | 22.1 ± 1.1 | 22.6 ± 0.8 * |
| Types of Diets | A | B | C | |||
|---|---|---|---|---|---|---|
| Components | Mean ± SD | % Norm Realization | Mean ± SD | % Norm Realization | Mean ± SD | % Norm Realization |
| Energy (kcal) | 1440.2 ± 480.2 * | 61.6 | 2413.4 ± 106.5 * | 102.9 | 2484.90 ± 63.9 * | 106.0 |
| Protein (g) | 51.8 ± 18.4 * | 64.5 | 77.7 ± 3.9 * | 96.6 | 78.7 ± 3.8 * | 97.8 |
| Sodium (mg) | 1782.5 ± 741.3 * | 89.2 | 2418 ± 236 * | 120.9 | 2435.6 ± 181.1 | 121.8 |
| Potassium (mg) | 1703.3 ± 718.4 * | 85.2 | 1934.7 ± 145.5 * | 96.8 | 2072.6 ± 204.5 * | 103.7 |
| Calcium (mg) | 342.2 ± 210.8 * | 22.8 | 1338 ± 102.4 * | 89.2 | 1343.9 ± 214.4 * | 89.6 |
| Phosphorus (mg) | 775 ± 295.9 * | 70.5 | 1069.2 ± 118.8 * | 97.2 | 1107.4 ± 52.7 * | 100.7 |
| Vitamin C (mg) | 24.9 ± 24.6 * | 31.2 | 71.8 ± 6.75 * | 89.8 | 110.3 ± 10.8 * | 137.8 |
| Vitamin C (mg/L) | ||||||
|---|---|---|---|---|---|---|
| Months | 0 | 3 | 6 | |||
| Group | Before HD | After HD | Before HD | After HD | Before HD | After HD |
| 1 | 13.6 ± 1.3 | 10.4 ± 1.4 | 10.8 ± 1.5 | 8.5 ± 1.3 | 8.5 ± 1.3 | 7.5 ± 1.3 |
| 2 | 14.8 ± 3.3 | 12.3 ± 3.1 | 14 ± 3 | 11.6 ± 2.1 | 14.4 ± 2.7 | 11.6 ± 2.2 |
| 3 | 15.7 ± 3 | 12.7 ± 2.2 | 16.4 ± 3.4 | 13.4 ± 2.4 | 17 ± 3 | 14.1 ± 2.9 |
| 4 | 14 ± 1.6 | 11.8 ± 2.1 | 16.2 ± 1.5 | 13 ± 1.1 | 17.7 ± 1.5 | 14.2 ± 1.7 |
| 5 | 13 ± 1.7 | 10.6 ± 1.9 | 11.2 ± 2.5 | 9.3 ± 2.3 | 12.8 ± 2.9 | 10 ± 2.2 |
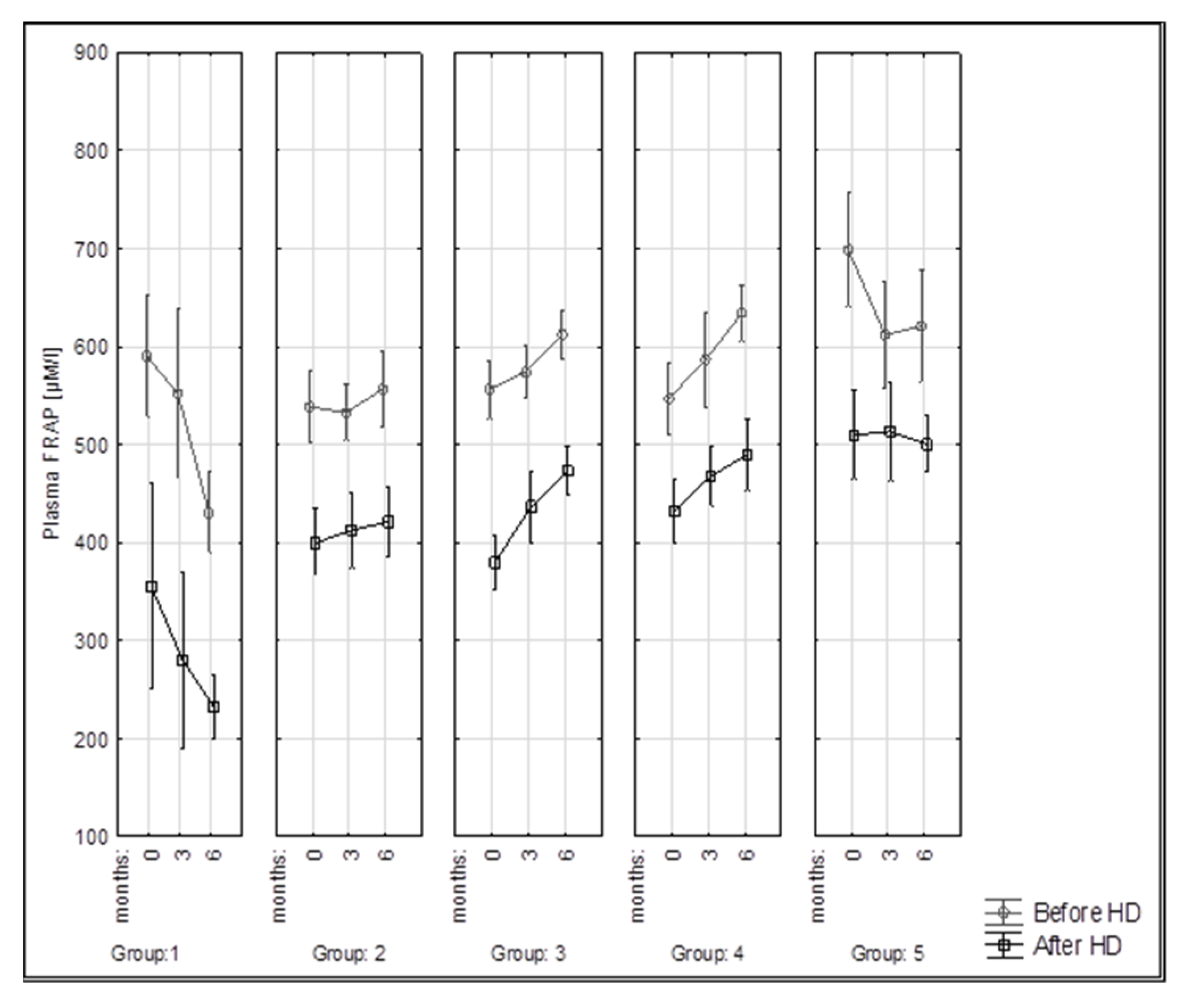
| FRAP (µM/L) | ||||||
|---|---|---|---|---|---|---|
| Months | 0 | 3 | 6 | |||
| Group | Before HD | After HD | Before HD | After HD | Before HD | After HD |
| 1 | 590.2 ± 59.8 | 355.2 ± 99.8 | 552 ± 82.1 | 280.1 ± 86 | 431.1 ± 39.8 | 232.4 ± 31.3 |
| 2 | 538.6 ± 69.5 | 399.6 ± 67.4 | 532.7 ± 55 | 412.8 ± 75.6 | 556.7 ± 73.2 | 421.3 ± 70.8 |
| 3 | 556.2 ± 72.4 | 379.4 ± 65.5 | 574.1 ± 64.6 | 436.8 ± 88.7 | 612.2 ± 59.1 | 473.3 ± 60 |
| 4 | 547.1 ± 47.3 | 432.2 ± 43.2 | 586.2 ± 63.6 | 467.7 ± 40.7 | 633.8 ± 36.8 | 489.8 ± 47.6 |
| 5 | 698.4 ± 86.2 | 509.9 ± 67.7 | 611.1 ± 82.2 | 513.5 ± 75.2 | 620.6 ± 85.4 | 500.5 ± 42.5 |
Disclaimer/Publisher’s Note: The statements, opinions and data contained in all publications are solely those of the individual author(s) and contributor(s) and not of MDPI and/or the editor(s). MDPI and/or the editor(s) disclaim responsibility for any injury to people or property resulting from any ideas, methods, instructions or products referred to in the content. |
© 2022 by the authors. Licensee MDPI, Basel, Switzerland. This article is an open access article distributed under the terms and conditions of the Creative Commons Attribution (CC BY) license (https://creativecommons.org/licenses/by/4.0/).
Share and Cite
Bogacka, A.; Sobczak-Czynsz, A.; Balejko, E.; Heberlej, A.; Ciechanowski, K. Effect of Diet and Supplementation on Serum Vitamin C Concentration and Antioxidant Activity in Dialysis Patients. Nutrients 2023, 15, 78. https://doi.org/10.3390/nu15010078
Bogacka A, Sobczak-Czynsz A, Balejko E, Heberlej A, Ciechanowski K. Effect of Diet and Supplementation on Serum Vitamin C Concentration and Antioxidant Activity in Dialysis Patients. Nutrients. 2023; 15(1):78. https://doi.org/10.3390/nu15010078
Chicago/Turabian StyleBogacka, Anna, Anna Sobczak-Czynsz, Edyta Balejko, Angelika Heberlej, and Kazimierz Ciechanowski. 2023. "Effect of Diet and Supplementation on Serum Vitamin C Concentration and Antioxidant Activity in Dialysis Patients" Nutrients 15, no. 1: 78. https://doi.org/10.3390/nu15010078
APA StyleBogacka, A., Sobczak-Czynsz, A., Balejko, E., Heberlej, A., & Ciechanowski, K. (2023). Effect of Diet and Supplementation on Serum Vitamin C Concentration and Antioxidant Activity in Dialysis Patients. Nutrients, 15(1), 78. https://doi.org/10.3390/nu15010078

