Effects of Preoperative Oral Nutritional Supplements on Improving Postoperative Early Enteral Feeding Intolerance and Short-Term Prognosis for Gastric Cancer: A Prospective, Single-Center, Single-Blind, Randomized Controlled Trial
Abstract
:1. Introduction
2. Materials and Methods
2.1. Study Design
2.2. Patients
2.3. Randomization and Blinding
2.4. Procedures
2.5. Outcomes
2.6. Statistical Analysis
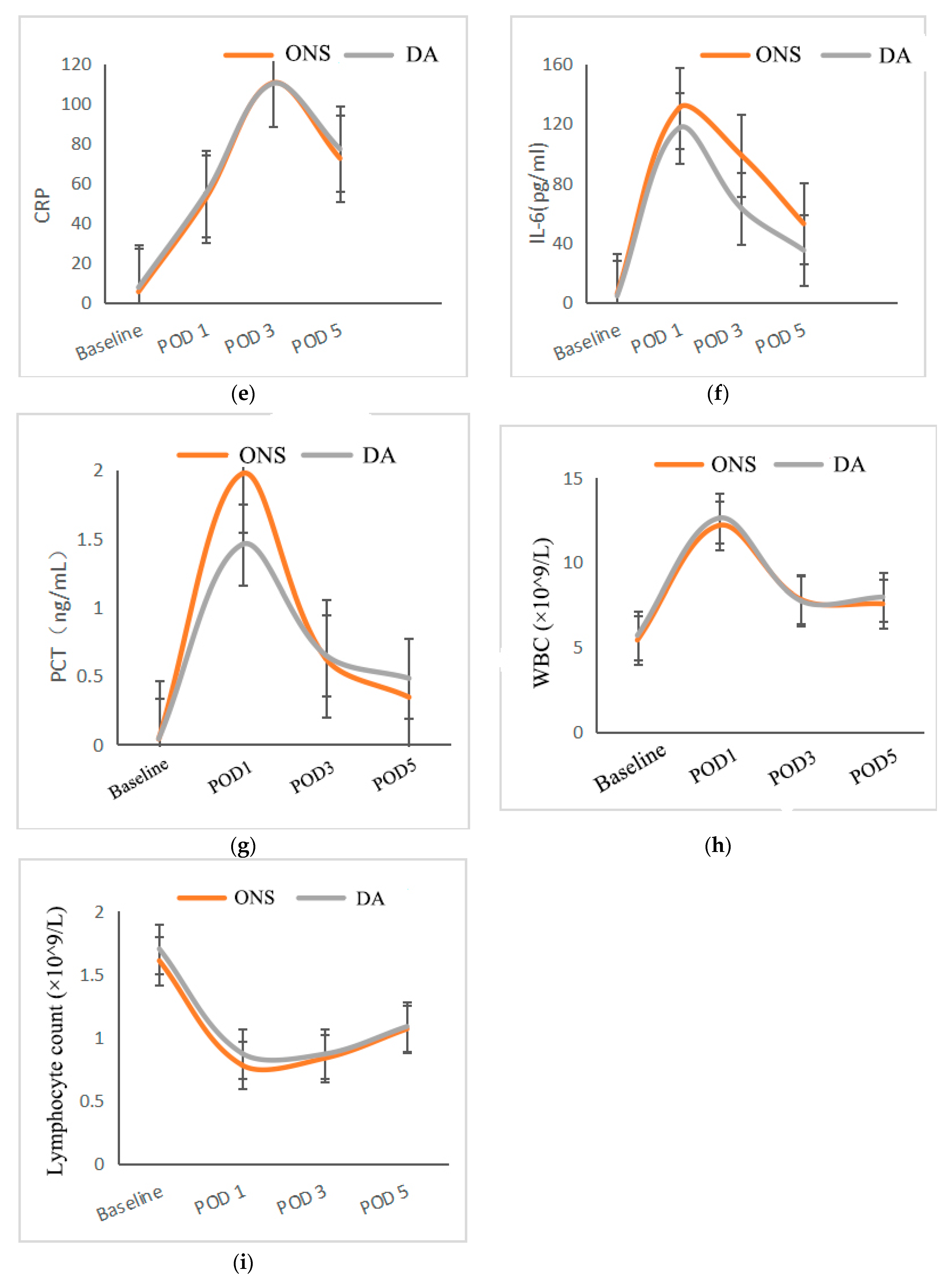
3. Results
4. Discussion
5. Conclusions
Author Contributions
Funding
Institutional Review Board Statement
Informed Consent Statement
Conflicts of Interest
References
- Abunnaja, S.; Cuviello, A.; Sanchez, J.A. Enteral and Parenteral Nutrition in the Perioperative Period: State of the Art. Nutrients 2013, 5, 608–623. [Google Scholar] [CrossRef] [PubMed] [Green Version]
- Lewis, S.J.; Andersen, H.K.; Thomas, S. Early Enteral Nutrition within 24 H of Intestinal Surgery versus Later Commencement of Feeding: A Systematic Review and Meta-Analysis. J. Gastrointest. Surg. 2009, 13, 569–575. [Google Scholar] [CrossRef] [PubMed]
- Blaser, A.R.; Starkopf, L.; Deane, A.M.; Poeze, M.; Starkopf, J. Comparison of Different Definitions of Feeding Intolerance: A Retrospective Observational Study. Clin. Nutr. 2015, 34, 956–961. [Google Scholar] [CrossRef]
- Xiaoyong, W.; Xuzhao, L.; Deliang, Y.; Pengfei, Y.; Zhenning, H.; Bin, B.; Zhengyan, L.; Fangning, P.; Shiqi, W.; Qingchuan, Z. Construction of a Model Predicting the Risk of Tube Feeding Intolerance after Gastrectomy for Gastric Cancer Based on 225 Cases from a Single Chinese Center. Oncotarget 2017, 8, 99940–99949. [Google Scholar] [CrossRef] [PubMed] [Green Version]
- Gungabissoon, U.; Hacquoil, K.; Bains, C.; Irizarry, M.; Dukes, G.; Williamson, R.; Deane, A.; Heyland, D.K. Prevalence, Risk Factors, Clinical Consequences, and Treatment of Enteral Feed Intolerance During Critical Illness. J. Parenter. Enter. Nutr. 2015, 39, 441–448. [Google Scholar] [CrossRef]
- Slim, K.; Reymond, T.; Joris, J.; Paul, S.; Pereira, B.; Cotte, E. Intolerance to Early Oral Feeding in Enhanced Recovery after Colorectal Surgery: An Early Red Flag? Color. Dis. 2020, 22, 95–101. [Google Scholar] [CrossRef] [PubMed]
- Virani, F.R.; Peery, T.; Rivas, O.; Tomasek, J.; Huerta, R.; Wade, C.E.; Lee, J.; Holcomb, J.B.; Uray, K. Incidence and Effects of Feeding Intolerance in Trauma Patients. J. Parenter. Enter. Nutr. 2019, 43, 742–749. [Google Scholar] [CrossRef] [Green Version]
- Singer, P.; Blaser, A.R.; Berger, M.M.; Alhazzani, W.; Calder, P.C.; Casaer, M.P.; Hiesmayr, M.; Mayer, K.; Montejo, J.C.; Pichard, C.; et al. ESPEN Guideline on Clinical Nutrition in the Intensive Care Unit. Clin. Nutr. 2019, 38, 48–79. [Google Scholar] [CrossRef] [Green Version]
- Cabrera, A.G.; Sanz-Lorente, M.; Sanz-Valero, J.; López-Pintor, E. Compliance and Adherence to Enteral Nutrition Treatment in Adults: A Systematic Review. Nutrients 2019, 11, 2627. [Google Scholar] [CrossRef] [Green Version]
- Carmody, R.N.; Gerber, G.K.; Luevano, J.M., Jr.; Gatti, D.M.; Somes, L.; Svenson, K.L.; Turnbaugh, P.J. Diet Dominates Host Genotype in Shaping the Murine Gut Microbiota. Cell Host Microbe 2015, 17, 72–84. [Google Scholar] [CrossRef] [Green Version]
- Azcarate-Peril, M.A.; Ritter, A.J.; Savaiano, D.; Monteagudo-Mera, A.; Anderson, C.; Magness, S.T.; Klaenhammer, T.R. Impact of Short-Chain Galactooligosaccharides on the Gut Microbiome of Lactose-Intolerant Individuals. Proc. Natl. Acad. Sci. USA 2017, 114, E367–E375. [Google Scholar] [CrossRef] [PubMed] [Green Version]
- Cox, S.R.; Lindsay, J.O.; Fromentin, S.; Stagg, A.J.; McCarthy, N.E.; Galleron, N.; Ibraim, S.B.; Roume, H.; Levenez, F.; Pons, N.; et al. Effects of Low FODMAP Diet on Symptoms, Fecal Microbiome, and Markers of Inflammation in Patients with Quiescent Inflammatory Bowel Disease in a Randomized Trial. Gastroenterology 2020, 158, 176–188. [Google Scholar] [CrossRef] [PubMed] [Green Version]
- Santiago, J.M.R.; Sasako, M.; Osorio, J. TNM-7th edition 2009 (UICC/AJCC) and Japanese Classification 2010 in Gastric Cancer. Towards Simplicity and Standardisation in the Management of Gastric Cancer. Cir. Esp. 2011, 89, 275–281. [Google Scholar] [CrossRef]
- Sano, T.; Aiko, T. New Japanese Classifications and Treatment Guidelines for Gastric Cancer: Revision Concepts and Major Revised Points. Gastric Cancer 2011, 14, 97–100. [Google Scholar] [CrossRef] [PubMed] [Green Version]
- Reignier, J.; Mercier, E.; Le Gouge, A.; Boulain, T.; Desachy, A.; Bellec, F.; Clavel, M.; Frat, J.-P.; Plantefeve, G.; Quenot, J.-P.; et al. Effect of Not Monitoring Residual Gastric Volume on Risk of Ventilator-Associated Pneumonia in Adults Receiving Mechanical Ventilation and Early Enteral Feeding. J. Am. Med. Assoc. 2013, 309, 249–256. [Google Scholar] [CrossRef] [PubMed]
- McClave, S.A.; Taylor, B.E.; Martindale, R.G.; Warren, M.M.; Johnson, D.R.; Braunschweig, C.; McCarthy, M.S.; Davanos, E.; Rice, T.W.; Cresci, G.A.; et al. Guidelines for the Provision and Assessment of Nutrition Support Therapy in the Adult Critically Ill Patient: Society of Critical Care Medicine (SCCM) and American Society for Parenteral and Enteral Nutrition (A.S.P.E.N.). J. Parenter. Enter. Nutr. 2016, 40, 159–211. [Google Scholar] [CrossRef]
- Svedlund, J.; Sjodin, I.; Dotevall, G. GSRS—A Clinical Rating Scale for Gastrointestinal Symptoms in Patients with Irritable Bowel Syndrome and Peptic Ulcer Disease. Dig. Dis. Sci. 1988, 33, 129–134. [Google Scholar] [CrossRef]
- Svolos, V.; Hansen, R.; Nichols, B.; Quince, C.; Ijaz, U.Z.; Papadopoulou, R.T.; Edwards, C.A.; Watson, D.; Alghamdi, A.; Brejnrod, A.; et al. Treatment of Active Crohn’s Disease with an Ordinary Food-Based Diet That Replicates Exclusive Enteral Nutrition. Gastroenterology 2019, 156, 1354–1367. [Google Scholar] [CrossRef] [Green Version]
- Dag, A.; Colak, T.; Turkmenoglu, O.; Gundogdu, R.; Aydin, S. A Randomized Controlled Trial Evaluating Early versus Traditional Oral Feeding after Colorectal Surgery. Clinics 2011, 66, 2001–2005. [Google Scholar] [CrossRef] [Green Version]
- Deloose, E.; Janssen, P.; Lannoo, M.; Van der Schueren, B.; Depoortere, I.; Tack, J. Higher Plasma Motilin Levels in Obese Patients Decrease after Roux-En-Y Gastric Bypass Surgery and Regulate Hunger. Gut 2016, 65, 1110–1118. [Google Scholar] [CrossRef]
- Warren, J.; Bhalla, V.; Cresci, G. Invited Review: Postoperative Diet Advancement: Surgical Dogma vs Evidence-Based Medicine. Nutr. Clin. Pract. 2011, 26, 115–125. [Google Scholar] [CrossRef] [PubMed]
- Bevan, M.G.; Asrani, V.M.; Pendharkar, S.A.; Goodger, R.L.; Windsor, J.A.; Petrov, M.S. Nomogram for Predicting Oral Feeding Intolerance in Patients with Acute Pancreatitis. Nutrition 2017, 36, 41–45. [Google Scholar] [CrossRef] [PubMed]
- Melissas, J.; Leventi, A.; Klinaki, I.; Perisinakis, K.; Koukouraki, S.; de Bree, E.; Karkavitsas, N. Alterations of Global Gastrointestinal Motility After Sleeve Gastrectomy: A Prospective Study. Ann. Surg. 2013, 258, 976–982. [Google Scholar] [CrossRef] [PubMed]
- Blaser, A.R.; Jakob, S.M.; Starkopf, J. Gastrointestinal Failure in the ICU. Curr. Opin. Crit. Care. 2016, 22, 128–141. [Google Scholar]
- Wilmore, D.W.; Smith, R.J.; O’Dwyer, S.T.; Jacobs, D.O.; Ziegler, T.R.; Wang, X.D. The Gut: A Central Organ after Surgical Stress. Surgery 1988, 104, 917–923. [Google Scholar]
- Revicki, D.A.; Rentz, A.M.; Dubois, D.; Kahrilas, P.; Stanghellini, V.; Talley, N.J.; Tack, J. Gastroparesis Cardinal Symptom Index (GCSI): Development and Validation of a Patient Reported Assessment of Severity of Gastroparesis Symptoms. Qual. Life Res. 2004, 13, 833–844. [Google Scholar] [CrossRef]
- Greenway, F.L. Food as Medicine for Chronic Disease: A Strategy to Address Non-Compliance. J. Med. Food 2020, 23, 903–904. [Google Scholar] [CrossRef]
- Sonnenburg, E.D.; Sonnenburg, J.L. A personal forecast. Nature 2015, 528, 484–486. [Google Scholar] [CrossRef]
- Catry, E.; Bindels, L.B.; Tailleux, A.; Lestavel, S.; Neyrinck, A.M.; Goossens, J.-F.; Lobysheva, I.; Plovier, H.; Essaghir, A.; Demoulin, J.-B.; et al. Targeting the Gut Microbiota with Inulin-Type Fructans: Preclinical Demonstration of a Novel Approach in the Management of Endothelial Dysfunction. Gut 2018, 67, 271–283. [Google Scholar] [CrossRef]
- Allingstrup, M.J.; Kondrup, J.; Wiis, J.; Claudius, C.; Pedersen, U.G.; Hein-Rasmussen, R.; Bjerregaard, M.R.; Steensen, M.; Jensen, T.H.; Lange, T.; et al. Early Goal-Directed Nutrition versus Standard of Care in Adult Intensive Care Patients: The Single-Centre, Randomised, Outcome Assessor-Blinded EAT-ICU Trial. Intensive Care Med. 2017, 43, 1637–1647. [Google Scholar] [CrossRef]
- Boelens, P.G.; Heesakkers, F.F.B.M.; Luyer, M.D.P.; van Barneveld, K.; De Hingh, I.; Nieuwenhuijzen, G.A.P.; Roos, A.N.; Rutten, H.J.T. Reduction of Postoperative Ileus by Early Enteral Nutrition in Patients Undergoing Major Rectal Surgery: Prospective, Randomized, Controlled Trial. Ann. Surg. 2014, 259, 649–655. [Google Scholar] [CrossRef] [PubMed]
- Moher, D.; Hopewell, S.; Schulz, K.F.; Montori, V.; Gøtzsche, P.C.; Devereaux, P.J.; Elbourne, D.; Egger, M.; Altman, D.G.; Consolidated Standards of Reporting Trials Group. CONSORT 2010 Explanation and Elaboration: Updated Guidelines for Reporting Parallel Group Randomised Trials. J. Clin. Epidemiol. 2010, 63, e1–e37. [Google Scholar] [CrossRef] [PubMed] [Green Version]





| Patient Characteristics | ONS (n = 31) | DA (n = 35) | p |
|---|---|---|---|
| Sex (Male vs Female) | 24 vs. 7 | 23 vs. 12 | 0.295 |
| Age ∆ (y) | 63.2 ± 12.0 | 60.5 ± 9.4 | 0.266 |
| Weight loss ∆ (Kg) | 3.5 ± 3.1 | 2.4 ± 2.9 | 0.07 |
| BMI ∆ (Kg/m2) | 22.00 ± 3.0 | 23.13 ± 2.4 | 0.087 |
| NRS2002 Score ∆ | 3.55 ± 1 | 3.44 ± 1 | 0.709 |
| ONS days | 7.6 | - | - |
| Mean total oral intake (mL) | 3822.58 | - | - |
| Mean daily oral intake (Kcal) | 452.67 | - | - |
| Hypertension (n, %) | 3 (9.7) | 9 (24.3) | 0.092 |
| Diabetes mellitus (n, %) | 3 (9.7) | 9 (24.3) | 0.092 |
| Smoke (n, %) | 8 (25.8) | 9 (24.3) | 0.499 |
| Drink (n, %) | 9 (29.0) | 11 (29.7) | 0.967 |
| Tumor location (n, %) | 0.771 | ||
| Esophagogastric junction | 5 (16.1) | 5 (14.3) | |
| Gastric body | 11 (35.5) | 10 (28.6) | |
| Antrum | 15 (48.4) | 20 (57.1) | |
| Meanmaximum diameter of tumor (cm) | 4.7 ± 2.8 | 4.3 ± 2.6 | 0.389 |
| Gastrectomy | 0.375 | ||
| Distal subtotal gastrectomy | 17 (54.8) | 24 (65.7) | |
| Proximal subtotal gastrectomy | 2 (6.4) | 1 (2.9) | |
| Total gastrectomy | 12 (38.7) | 10 (28.6) | |
| The operation time ∆ (min) | 206.97 ± 33.1 | 203.30 ± 41.1 | 0.516 |
| Intraoperative infusion volume ∆ (mL) | 1959.68 ± 411.2 | 2021.05 ± 537.2 | 0.619 |
| ASA | 0.378 | ||
| II | 28 (90.0) | 29 (82.9) | |
| III | 3 (10.0) | 6 (17.1) | |
| pTNM | 0.57 | ||
| IA | 2 | 6 | |
| IB | 2 | 6 | |
| IIA | 4 | 3 | |
| IIB | 5 | 6 | |
| IIIA | 6 | 4 | |
| IIIB | 10 | 9 | |
| IIIC | 2 | 1 |
| Enteral Nutrition and Feeding Intolerance Outcomes | ONS (n = 31) | DA (n = 35) | p |
|---|---|---|---|
| Feeding intolerance (n,%) | 8 (25.8) | 11 (31.4) | 0.615 |
| Severe gastrointestinal reactions (n,%) | 6 (19.4) | 8 (22.9) | 0.366 |
| Nasointesinal tube intolerance or unplanned extubation (n,%) | 2 (6.5) | 3 (8.6) | 0.886 |
| Symptoms of feeding intolerance (n,%) | |||
| Abdominal distension (n,%) | 14 (45.2) | 22 (62.9) | 0.150 |
| Abdominal pain (n,%) | 9 (29.0) | 16 (45.7) | 0.163 |
| Nausea/vomiting (n,%) | 7 (22.6) | 4 (11.4) | 0.225 |
| Heartburn/gastroesophageal reflux (n,%) | 3 (9.7) | 5 (14.3) | 0.567 |
| Hiccup (n,%) | 3 (9.7) | 2 (5.7) | 0.544 |
| Diarrhea (n,%) | 0 (0) | 1 (2.9) | 0.343 |
| Incidence of symptoms of feeding intolerance (n,%) | 18 (58.1) | 24 (68.6) | 0.436 |
| Time of feeding decrement ∆ (POD days) | 2.95 ± 1 | 2.93 ± 0.8 | 0.943 |
| Anal exsufflation time ∆ (d) | 3.1 ± 0.8 | 3.2 ± 0.7 | 0.839 |
| Time of energy reaching standard ∆ (day) | 3.59 ± 0.8 | 3.94 ± 0.8 | 0.214 |
| 50% energy compliance rate (%) | 17 (54.8) | 17 (48.6) | 0.611 |
| Total energy intake ∆ (Kcal) | 2260 ± 982 | 2365 ± 934 | 0.657 |
| Total protein intake ∆ (g/day) | 58.58 ± 11.8 | 60.5 ± 9.5 | 0.450 |
| Postoperative Complications | ONS (n = 31) | DA (n = 35) | p |
|---|---|---|---|
| Complications (n,%) | 2 (6.5) | 4 (11.4) | 0.615 |
| Pulmonary infection | 0 (0) | 1 (2.9) | |
| Gastroparesis | 1 (3.2) | 1 (2.9) | |
| Anastomotic fistula | 1 (3.2) | 0 (0) | |
| Allergy | 0 (0) | 1 (2.9) | |
| Posttraumatic stress disorder | 0 (0) | 1 (2.9) | |
| Unplanned readmission (%) | 0 (0) | 1 (0) | |
| Clavien-Dindo Classification | |||
| II | 2 (6.5) | 4 (11.4) | |
| ONS Group | DG | TG | p |
|---|---|---|---|
| Sex (Male vs Female) | 14:3 | 9:3 | 0.630 |
| Age ∆ (y) | 61.6 ± 14.7 | 65.5 ± 8.3 | 0.421 |
| BMI ∆ (Kg/m2) | 22.6 ± 3.3 | 21.3 ± 2.7 | 0.312 |
| ONS days (d) | 7.8 ± 2.3 | 7.9 ± 2.8 | 0.924 |
| NRS2002 Score Δ | 3.4 ± 1 | 3.7 ± 1 | 0.491 |
| Hypertension (n, %) | 3/17 | 1/12 | 0.124 |
| Diabetes mellitus (n, %) | 1/17 | 1/12 | 0.226 |
| Smoke (n, %) | 3/17 | 4/12 | 0.284 |
| Drink (n, %) | 5/17 | 4/12 | 0.822 |
| Time of energy reaching standard Δ (day) | 3.1 ± 0.7 | 4.0 ± 0.7 | 0.029 * |
| Time of feeding decrement Δ (days) | 2.5 ± 0.9 | 3.17 ± 1.2 | 0.199 |
| Symptoms of feeding intolerance (n,%) | |||
| Abdominal distension (n,%) | 11/17 (64.7) | 2/12 (16.7) | 0.010 * |
| Nausea/vomiting (n,%) | 4/17 (23.5) | 3/12 (25) | 0.927 |
| Heartburn/gastroesophageal reflux (n,%) | 1/17 (5.9) | 2/12 (16.7) | 0.348 |
| Hiccup (n,%) | 2/17 (11.8) | 1/12 (8.3) | 0.765 |
| Abdominal pain (n,%) | 7/17 (41.2) | 2/12 (16.7) | 0.160 |
| Feeding intolerance (n,%) | 7/17 (41.2) | 1/12 (8.3) | 0.026 * |
| 50% energy compliance rate(%) | 7/17 (41.2) | 9/12 (75) | 0.071 |
| Anus exhausting time | 3.06 ± 0.6 | 3.08 ± 0.9 | 0.933 |
Publisher’s Note: MDPI stays neutral with regard to jurisdictional claims in published maps and institutional affiliations. |
© 2022 by the authors. Licensee MDPI, Basel, Switzerland. This article is an open access article distributed under the terms and conditions of the Creative Commons Attribution (CC BY) license (https://creativecommons.org/licenses/by/4.0/).
Share and Cite
He, F.-J.; Wang, M.-J.; Yang, K.; Chen, X.-L.; Jin, T.; Zhu, L.-L.; Zhuang, W. Effects of Preoperative Oral Nutritional Supplements on Improving Postoperative Early Enteral Feeding Intolerance and Short-Term Prognosis for Gastric Cancer: A Prospective, Single-Center, Single-Blind, Randomized Controlled Trial. Nutrients 2022, 14, 1472. https://doi.org/10.3390/nu14071472
He F-J, Wang M-J, Yang K, Chen X-L, Jin T, Zhu L-L, Zhuang W. Effects of Preoperative Oral Nutritional Supplements on Improving Postoperative Early Enteral Feeding Intolerance and Short-Term Prognosis for Gastric Cancer: A Prospective, Single-Center, Single-Blind, Randomized Controlled Trial. Nutrients. 2022; 14(7):1472. https://doi.org/10.3390/nu14071472
Chicago/Turabian StyleHe, Feng-Jun, Mo-Jin Wang, Kun Yang, Xiao-Long Chen, Tao Jin, Li-Li Zhu, and Wen Zhuang. 2022. "Effects of Preoperative Oral Nutritional Supplements on Improving Postoperative Early Enteral Feeding Intolerance and Short-Term Prognosis for Gastric Cancer: A Prospective, Single-Center, Single-Blind, Randomized Controlled Trial" Nutrients 14, no. 7: 1472. https://doi.org/10.3390/nu14071472
APA StyleHe, F.-J., Wang, M.-J., Yang, K., Chen, X.-L., Jin, T., Zhu, L.-L., & Zhuang, W. (2022). Effects of Preoperative Oral Nutritional Supplements on Improving Postoperative Early Enteral Feeding Intolerance and Short-Term Prognosis for Gastric Cancer: A Prospective, Single-Center, Single-Blind, Randomized Controlled Trial. Nutrients, 14(7), 1472. https://doi.org/10.3390/nu14071472
