Simple Clinical Screening Underestimates Malnutrition in Surgical Patients with Inflammatory Bowel Disease—An ACS NSQIP Analysis
Abstract
:1. Introduction
2. Materials and Methods
2.1. Data
2.2. Cohort
2.3. Assessment of Malnutrition
2.4. Covariates and Outcomes
2.5. Statistical Analysis
3. Results
3.1. Prevalence of Malnutrition
Prevalence of Malnutrition According to Surgical Setting
3.2. Baseline Characteristics
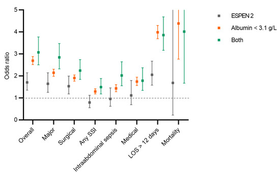
3.3. Outcomes
4. Discussion
5. Conclusions
Author Contributions
Funding
Institutional Review Board Statement
Informed Consent Statement
Conflicts of Interest
References
- Torres, J.; Mehandru, S.; Colombel, J.F.; Peyrin-Biroulet, L. Crohn’s disease. Lancet 2017, 389, 1741–1755. [Google Scholar] [CrossRef]
- Ungaro, R.; Mehandru, S.; Allen, P.B.; Peyrin-Biroulet, L.; Colombel, J.F. Ulcerative colitis. Lancet 2017, 389, 1756–1770. [Google Scholar] [CrossRef]
- Grass, F.; Pache, B.; Martin, D.; Hahnloser, D.; Demartines, N.; Hübner, M. Preoperative Nutritional Conditioning of Crohn’s Patients-Systematic Review of Current Evidence and Practice. Nutrients 2017, 9, 562. [Google Scholar] [CrossRef] [PubMed] [Green Version]
- Balestrieri, P.; Ribolsi, M.; Guarino, M.P.L.; Emerenziani, S.; Altomare, A.; Cicala, M. Nutritional Aspects in Inflammatory Bowel Diseases. Nutrients 2020, 12, 372. [Google Scholar] [CrossRef] [Green Version]
- Shah, R.S.; Bachour, S.; Jia, X.; Holubar, S.D.; Hull, T.L.; Achkar, J.P.; Philpott, J.; Qazi, T.; Rieder, F.; Cohen, B.L.; et al. Hypoalbuminaemia, Not Biologic Exposure, Is Associated with Postoperative Complications in Crohn’s Disease Patients Undergoing Ileocolic Resection. J. Crohns Colitis 2021, 15, 1142–1151. [Google Scholar] [CrossRef]
- Zhang, Z.; Pereira, S.L.; Luo, M.; Matheson, E.M. Evaluation of Blood Biomarkers Associated with Risk of Malnutrition in Older Adults: A Systematic Review and Meta-Analysis. Nutrients. 2017, 9, 829. [Google Scholar] [CrossRef]
- Cederholm, T.; Bosaeus, I.; Barazzoni, R.; Bauer, J.; Van Gossum, A.; Klek, S.; Muscaritoli, M.; Nyulasi, I.; Ockenga, J.; Schneider, S.M.; et al. Diagnostic criteria for malnutrition—An ESPEN Consensus Statement. Clin. Nutr. 2015, 34, 335–340. [Google Scholar] [CrossRef]
- Johnson, A.M.; Harmsen, W.S.; Aniwan, S.; Tremaine, W.J.; Abu Dayyeh, B.K.; Loftus Jr, E.V. Prevalence and Impact of Obesity on Disease-specific Outcomes in a Population-based Cohort of Patients with Ulcerative Colitis. J. Crohns Colitis 2021, 15, 1816–1823. [Google Scholar] [CrossRef]
- McKenna, N.P.; Bews, K.A.; Al-Refaie, W.B.; Colibaseanu, D.T.; Pemberton, J.H.; Cima, R.R.; Habermann, E.B. Assessing Malnutrition Before Major Oncologic Surgery: One Size Does Not Fit All. J. Am. Coll. Surg. 2020, 230, 451–460. [Google Scholar] [CrossRef]
- Raval, M.V.; Pawlik, T.M. Practical Guide to Surgical Data Sets: National Surgical Quality Improvement Program (NSQIP) and Pediatric NSQIP. JAMA Surg. 2018, 153, 764–765. [Google Scholar] [CrossRef]
- Casanova, M.J.; Chaparro, M.; Molina, B.; Merino, O.; Batanero, R.; Dueñas-Sadornil, C.; Robledo, P.; Garcia-Albert, A.M.; Gómez-Sánchez, M.B.; Calvet, X.; et al. Prevalence of Malnutrition and Nutritional Characteristics of Patients with Inflammatory Bowel Disease. J. Crohns Colitis 2017, 11, 1430–1439. [Google Scholar] [CrossRef] [PubMed]
- Fiorindi, C.; Luceri, C.; Dragoni, G.; Piemonte, G.; Scaringi, S.; Staderini, F.; Nannoni, A.; Ficari, F.; Giudici, F. GLIM Criteria for Malnutrition in Surgical IBD Patients: A Pilot Study. Nutrients 2020, 12, 2222. [Google Scholar] [CrossRef] [PubMed]
- Forbes, A.; Escher, J.; Hébuterne, X.; Kłęk, S.; Krznaric, Z.; Schneider, S.; Shamir, R.; Stardelova, K.; Wierdsma, N.; Wiskin, A.E.; et al. ESPEN guideline: Clinical nutrition in inflammatory bowel disease. Clin. Nutr. 2017, 36, 321–347. [Google Scholar] [CrossRef] [PubMed] [Green Version]
- Ahima, R.S.; Lazar, M.A. Physiology. The health risk of obesity--better metrics imperative. Science 2013, 341, 856–858. [Google Scholar] [CrossRef]
- Tsaousi, G.; Kokkota, S.; Papakostas, P.; Stavrou, G.; Doumaki, E.; Kotzampassi, K. Body composition analysis for discrimination of prolonged hospital stay in colorectal cancer surgery patients. Eur. J. Cancer Care 2017, 26, e12491. [Google Scholar] [CrossRef]
- Allard, J.P.; Keller, H.; Jeejeebhoy, K.N.; Laporte, M.; Duerksen, D.R.; Gramlich, L.; Payette, H.; Bernier, P.; Vesnaver, E.; Davidson, B.; et al. Malnutrition at Hospital Admission-Contributors and Effect on Length of Stay: A Prospective Cohort Study From the Canadian Malnutrition Task Force. J. Parenter. Enter. Nutr. 2016, 40, 487–497. [Google Scholar] [CrossRef]
- Reber, E.; Gomes, F.; Vasiloglou, M.F.; Schuetz, P.; Stanga, Z. Nutritional Risk Screening and Assessment. J. Clin. Med. 2019, 8, 1065. [Google Scholar] [CrossRef] [Green Version]
- Yadav, D.P.; Kedia, S.; Madhusudhan, K.S.; Bopanna, S.; Goyal, S.; Jain, S.; Vikram, N.K.; Sharma, R.; Makharia, G.K.; Ahuja, V. Body Composition in Crohn’s Disease and Ulcerative Colitis: Correlation with Disease Severity and Duration. Can. J. Gastroenterol. Hepatol. 2017, 2017, 1215035. [Google Scholar] [CrossRef] [Green Version]
- Schneider, M.; Hübner, M.; Becce, F.; Koerfer, J.; Collinot, J.A.; Demartines, N.; Hahnloser, D.; Grass, F.; Martin, D. Sarcopenia and major complications in patients undergoing oncologic colon surgery. J. Cachexia Sarcopenia Muscle 2021, 12, 1757–1763. [Google Scholar] [CrossRef]
- Li, S.; Ney, M.; Eslamparast, T.; Vandermeer, B.; Ismond, K.P.; Kroeker, K.; Halloran, B.; Raman, M.; Tandon, P. Systematic review of nutrition screening and assessment in inflammatory bowel disease. World J. Gastroenterol. 2019, 25, 3823–3837. [Google Scholar] [CrossRef]
- Wagner, I.J.; Rombeau, J.L. Nutritional support of surgical patients with inflammatory bowel disease. Surg. Clin. N. Am. 2011, 91, 787–803. [Google Scholar] [CrossRef] [PubMed]
- Nguyen, G.C.; Du, L.; Chong, R.Y.; Jackson, T.D. Hypoalbuminaemia and Postoperative Outcomes in Inflammatory Bowel Disease: The NSQIP Surgical Cohort. J. Crohns Colitis. 2019, 13, 1433–1438. [Google Scholar] [CrossRef] [PubMed]
- Evans, D.C.; Corkins, M.R.; Malone, A.; Miller, S.; Mogensen, K.M.; Guenter, P.; Jensen, G.L.; ASPEN Malnutrition Committee. The Use of Visceral Proteins as Nutrition Markers: An ASPEN Position Paper. Nutr Clin Pract. 2021, 36, 22–28. [Google Scholar] [CrossRef] [PubMed]
- Soeters, P.B.; Wolfe, R.R.; Shenkin, A. Hypoalbuminemia: Pathogenesis and Clinical Significance. J. Parenter. Enter. Nutr. 2019, 43, 181–193. [Google Scholar] [CrossRef] [PubMed] [Green Version]
- Zangenberg, M.S.; Horesh, N.; Kopylov, U.; El-Hussuna, A. Preoperative optimization of patients with inflammatory bowel disease undergoing gastrointestinal surgery: A systematic review. Int. J. Colorectal. Dis. 2017, 32, 1663–1676. [Google Scholar] [CrossRef] [PubMed]
- Dignass, A.U.; Gasche, C.; Bettenworth, D.; Birgegård, G.; Danese, S.; Gisbert, J.P.; Gomollon, F.; Iqbal, T.; Katsanos, K.; Koutroubakis, I.; et al. European consensus on the diagnosis and management of iron deficiency and anaemia in inflammatory bowel diseases. J. Crohns Colitis 2015, 9, 211–222. [Google Scholar] [CrossRef]
- Spinelli, A.; Bonovas, S.; Burisch, J.; Kucharzik, T.; Adamina, M.; Annese, V.; Bachmann, O.; Bettenworth, D.; Chaparro-Sanchez, M.; Czuber-Dochan, W.; et al. ECCO Guidelines on Therapeutics in Ulcerative Colitis: Surgical Treatment. J. Crohns Colitis 2021. Online ahead of print. [Google Scholar] [CrossRef]
- Adamina, M.; Bonovas, S.; Raine, T.; Spinelli, A.; Warusavitarne, J.; Armuzzi, A.; Bachmann, O.; Bager, P.; Biancone, L.; Bokemeyer, B.; et al. ECCO Guidelines on Therapeutics in Crohn’s Disease: Surgical Treatment. J. Crohns Colitis 2020, 14, 155–168. [Google Scholar] [CrossRef] [Green Version]




| Both Criteria n = 671 | ESPEN 2 n = 380 | Hypoalbuminemia n = 6560 | No Malnutrition n = 17,820 | Total n = 25,431 | p Value | |
|---|---|---|---|---|---|---|
| Age ≥ 40 years | 286 (42.6%) | 113 (29.7%) | 3678 (56.1%) | 9163 (51.4%) | 13,240 (52.1%) | <0.0001 |
| BMI | 17.2 (16.2–18.3) | 17.6 (16.6–18.4) | 23.4 (20.5–27.5) | 25.2 (21.9–29.4) | 24.4 (21–28.7) | <0.0001 |
| Sex | 0.038 | |||||
| Male | 376 (56.0%) | 203 (53.6%) | 3344 (51.0%) | 9034 (50.7%) | 12,957 (51.0%) | |
| Race | <0.0001 | |||||
| White | 473 (70.5%) | 298 (78.4%) | 5078 (77.4%) | 14,442 (81.0%) | 20,291 (79.8%) | |
| African American | 70 (10.4%) | 34 (8.9%) | 613 (9.3%) | 1251 (7.0%) | 1968 (7.7%) | |
| Asian | 20 (3.0%) | 6 (1.6%) | 94 (1.4%) | 244 (1.4%) | 364 (1.4%) | |
| Others | 4 (0.6%) | 4 (1.1%) | 18 (0.3%) | 71 (0.4%) | 97 (0.4%) | |
| Missing or unknown | 104 (15.5%) | 38 (10.0%) | 757 (11.5%) | 1812 (10.2%) | 2711 (10.7%) | |
| ASA class | <0.0001 | |||||
| ≥3 | 432 (64.4%) | 144 (38.0%) | 3900 (59.5%) | 6755 (37.9%) | 11,231 (44.2%) | |
| DM | 19 (2.8%) | 1 (0.3%) | 494 (7.5%) | 887 (5.0%) | 1401 (5.5%) | <0.0001 |
| Current smoker | 128 (19.1%) | 71 (18.7%) | 1146 (17.5%) | 3150 (17.7%) | 4495 (17.7%) | 0.720 |
| Dyspnea | 43 (6.4%) | 6 (1.6%) | 270 (4.1%) | 494 (2.8%) | 813 (3.2%) | <0.0001 |
| History of COPD | 20 (3.0%) | 4 (1.1%) | 161 (2.5%) | 278 (1.6%) | 463 (1.8%) | <0.0001 |
| Functional status | <0.0001 | |||||
| Dependent | 33 (4.9%) | 4 (1.1%) | 310 (4.7%) | 140 (0.8%) | 487 (1.9%) | |
| CHF within 30 days of surgery | 7 (1.0%) | 0 | 44 (0.7%) | 19 (0.1%) | 70 (0.3%) | <0.0001 |
| HTN requiring medications | 54 (8.0%) | 26 (6.8%) | 1292 (19.7%) | 3137 (17.6%) | 4509 (17.7%) | <0.0001 |
| Disseminated cancer | 9 (1.3%) | 1 (0.3%) | 45 (0.7%) | 50 (0.3%) | 105 (0.4%) | <0.0001 |
| Wound class | <0.0001 | |||||
| Clean or clean contaminated | 290 (43.2%) | 185 (48.7%) | 3229 (49.2%) | 12,234 (68.7%) | 15,938 (62.7%) | |
| Contaminated or dirty | 381 (56.8%) | 195 (51.3%) | 3331 (50.8%) | 5586 (31.3%) | 9493 (37.3%) | |
| > 10% loss of body weight in last 6 months | 671 (100.0%) | 380 (100.0%) | 1206 (18.4%) | 937 (5.3%) | 3194 (12.6%) | <0.0001 |
| Chronic steroid use | 468 (69.7%) | 258 (67.9%) | 4125 (62.9%) | 8945 (50.2%) | 13,796 (54.2%) | <0.0001 |
| Bleeding disorder | 49 (7.3%) | 9 (2.4%) | 449 (6.8%) | 407 (2.3%) | 914 (3.6%) | <0.0001 |
| pRBC transfusion within 72 h before surgery | 92 (13.7%) | 3 (0.8%) | 628 (9.6%) | 129 (0.7%) | 852 (3.4%) | <0.0001 |
| Underlying disease | <0.0001 | |||||
| UC | 319 (47.5%) | 109 (28.7%) | 3229 (49.2%) | 7045 (39.5%) | 10,702 (42.1%) | |
| CD | 352 (52.5%) | 271 (71.3%) | 3331 (50.8%) | 10,775 (60.5%) | 14,729 (57.9%) | |
| MIS | 306 (45.6%) | 188 (49.5%) | 2735 (41.7%) | 9145 (51.3%) | 12,374 (48.7%) | <0.0001 |
| Extent of resection | <0.0001 | |||||
| Segmental colectomy | 292 (43.5%) | 232 (61.1%) | 2946 (44.9%) | 9435 (52.9%) | 12,905 (50.7%) | |
| Total colectomy | 278 (41.4%) | 90 (23.7%) | 2494 (38.0%) | 2598 (14.6%) | 5460 (21.5%) | |
| Proctocolectomy | 87 (13.0%) | 32 (8.4%) | 895 (13.6%) | 3054 (17.1%) | 4068 (16.0%) | |
| Ostomy/others | 1 (0.1%) | 7 (1.8%) | 66 (1.0%) | 266 (1.5%) | 340 (1.3%) | |
| Proctectomy | 13 (1.9%) | 19 (5.0%) | 159 (2.4%) | 2467 (13.8%) | 2658 (10.5%) | |
| Diversion at time of index surgery | 445 (66.3%) | 164 (43.2%) | 4268 (65.1%) | 8666 (48.6%) | 13,543 (53.3%) | <0.0001 |
| Urgency of surgery | <0.0001 | |||||
| Emergent | 107 (15.9%) | 25 (6.6%) | 1053 (16.1%) | 720 (4.0%) | 1905 (7.5%) | |
| Sepsis or septic shock at time of surgery | <0.0001 | |||||
| Yes | 46 (6.9%) | 11 (2.9%) | 382 (5.8%) | 264 (1.5%) | 703 (2.8%) | |
| Missing | 143 (21.3%) | 83 (21.8%) | 1477 (22.5%) | 3870 (21.7%) | 5573 (21.9%) | |
| Organ space infection at time of surgery | <0.0001 | |||||
| Yes | 42 (6.3%) | 8 (2.1%) | 267 (4.1%) | 216 (1.2%) | 533 (2.1%) | |
| Missing | 136 (20.3%) | 79 (20.8%) | 1439 (21.9%) | 3810 (21.4%) | 5464 (21.5%) | |
| Operation time | 155 (117–292) | 150 (108–208) | 177 (129–241) | 181 (129–252) | 179 (128–248) | <0.0001 |
| Days between albumin measurement and operation | 2 (0–5) | 4 (1–8) | 2 (0–5) | 6 (2–11) | 4 (1–9) | <0.0001 |
| Preoperative hematocrit | 30 (27–33) | 35 (31–39) | 31 (28–35) | 39 (35–42) | 37 (32–41) | <0.0001 |
| Preoperative platelets | 363 (278–468) | 343 (273–456) | 341 (255–441) | 299 (239–374) | 310 (243–394) | <0.0001 |
| Preoperative SGOT | 14 (11–22) | 15 (12–22) | 15 (11–22) | 19 (14–25) | 18 (13–24) | <0.0001 |
| Preoperative INR | 1.1 (1.01–1.23) | 1.1 (1–1.2) | 1.1 (1.02–1.22) | 1.01 (1–1.1) | 1.1 (1–1.2) | <0.0001 |
| Both Criteria n = 671 | ESPEN 2 n = 380 | Hypoalbuminemia n = 6560 | No Malnutrition n = 17,820 | Total n = 25,431 | p Value | |
|---|---|---|---|---|---|---|
| Overall complications | 484 (72.1%) | 188 (49.5%) | 4308 (65.7%) | 5996 (33.6%) | 10,976 (43.2%) | <0.0001 |
| Minor complications | 46 (6.9%) | 25 (6.6%) | 623 (9.5%) | 1362 (7.6%) | 2056 (8.1%) | <0.0001 |
| Major complications | 319 (47.5%) | 100 (26.3%) | 2668 (40.7%) | 3260 (18.3%) | 6347 (25.0%) | <0.0001 |
| Surgical complications | 296 (44.1%) | 105 (27.6%) | 2568 (39.1%) | 3528 (19.8%) | 6497 (25.5%) | <0.0001 |
| Any SSI | 139 (20.7%) | 40 (10.5%) | 1213 (18.5%) | 2322 (13.0%) | 3714 (14.6%) | <0.0001 |
| Superficial | 27 (4.0%) | 15 (3.9%) | 413 (6.3%) | 998 (5.6%) | 1453 (5.7%) | 0.013 |
| Deep | 9 (1.3%) | 3 (0.8%) | 116 (1.8%) | 238 (1.3%) | 366 (1.4%) | 0.059 |
| Organ/Space | 109 (16.2%) | 27 (7.1%) | 762 (11.6%) | 1210 (6.8%) | 2108 (8.3%) | <0.0001 |
| Wound disruption | 9 (1.3%) | 4 (1.1%) | 129 (2.0%) | 140 (0.8%) | 282 (1.1%) | <0.0001 |
| Systemic sepsis | 89 (13.3%) | 31 (8.2%) | 731 (11.1%) | 980 (5.5%) | 1831 (7.2%) | <0.0001 |
| Sepsis | 89 (13.3%) | 31 (8.2%) | 731 (11.1%) | 980 (5.5%) | 1831 (7.2%) | <0.0001 |
| Septic shock | 23 (3.4%) | 4 (1.1%) | 280 (4.3%) | 161 (0.9%) | 468 (1.8%) | <0.0001 |
| Need for blood transfusion | 187 (27.9%) | 52 (13.7%) | 1506 (23.0%) | 1105 (6.2%) | 2850 (11.2%) | <0.0001 |
| Medical complications | 89 (13.3%) | 21 (5.5%) | 1007 (15.4%) | 1178 (6.6%) | 2295 (9.0%) | <0.0001 |
| UTI | 19 (2.8%) | 10 (2.6%) | 243 (3.7%) | 423 (2.4%) | 695 (2.7%) | <0.0001 |
| Respiratory complications | 42 (6.3%) | 8 (2.1%) | 464 (7.1%) | 324 (1.8%) | 838 (3.3%) | <0.0001 |
| Renal complications | 4 (0.6%) | 2 (0.5%) | 114 (1.7%) | 159 (0.9%) | 279 (1.1%) | <0.0001 |
| MACE | 9 (1.3%) | 2 (0.5%) | 87 (1.3%) | 54 (0.3%) | 152 (0.6%) | <0.0001 |
| VTE | 32 (4.8%) | 2 (0.5%) | 356 (5.4%) | 376 (2.1%) | 766 (3.0%) | <0.0001 |
| LOS, Median (IQR), days | 13 (8–20) | 8 (5–14) | 12 (7–19) | 6 (4–9) | 7 (4–12) | <0.0001 |
| LOS > 12 day (Q3) | 330 (49.7%) | 98 (25.8%) | 2943 (45.2%) | 2078 (11.7%) | 5449 (21.5%) | <0.0001 |
| Unplanned readmission related to the principle procedure * | 88 (16.7%) | 50 (16.8%) | 769 (15.1%) | 1875 (13.4%) | 2782 (14.0%) | 0.003 |
| Unplanned reoperation related to the principle procedure * | 58 (11.0%) | 17 (5.7%) | 379 (7.5%) | 647 (4.6%) | 1101 (5.5%) | <0.0001 |
| Thirty day mortality | 11 (1.6%) | 1 (0.3%) | 125 (1.9%) | 29 (0.2%) | 166 (0.7%) | <0.0001 |
Publisher’s Note: MDPI stays neutral with regard to jurisdictional claims in published maps and institutional affiliations. |
© 2022 by the authors. Licensee MDPI, Basel, Switzerland. This article is an open access article distributed under the terms and conditions of the Creative Commons Attribution (CC BY) license (https://creativecommons.org/licenses/by/4.0/).
Share and Cite
Abd-El-Aziz, M.A.; Hübner, M.; Demartines, N.; Larson, D.W.; Grass, F. Simple Clinical Screening Underestimates Malnutrition in Surgical Patients with Inflammatory Bowel Disease—An ACS NSQIP Analysis. Nutrients 2022, 14, 932. https://doi.org/10.3390/nu14050932
Abd-El-Aziz MA, Hübner M, Demartines N, Larson DW, Grass F. Simple Clinical Screening Underestimates Malnutrition in Surgical Patients with Inflammatory Bowel Disease—An ACS NSQIP Analysis. Nutrients. 2022; 14(5):932. https://doi.org/10.3390/nu14050932
Chicago/Turabian StyleAbd-El-Aziz, Mohamed A., Martin Hübner, Nicolas Demartines, David W. Larson, and Fabian Grass. 2022. "Simple Clinical Screening Underestimates Malnutrition in Surgical Patients with Inflammatory Bowel Disease—An ACS NSQIP Analysis" Nutrients 14, no. 5: 932. https://doi.org/10.3390/nu14050932
APA StyleAbd-El-Aziz, M. A., Hübner, M., Demartines, N., Larson, D. W., & Grass, F. (2022). Simple Clinical Screening Underestimates Malnutrition in Surgical Patients with Inflammatory Bowel Disease—An ACS NSQIP Analysis. Nutrients, 14(5), 932. https://doi.org/10.3390/nu14050932

