Cut Points of the Conicity Index and Associated Factors in Brazilian Rural Workers
Abstract
1. Introduction
2. Materials and Methods
2.1. Study Design and Population
2.2. Data Collection
2.3. Statistical Analysis
3. Results
4. Discussion
5. Conclusions
Author Contributions
Funding
Institutional Review Board Statement
Informed Consent Statement
Data Availability Statement
Conflicts of Interest
References
- Cornier, M.A.; Dabelea, D.; Hernandez, T.L.; Lindstrom, R.C.; Steig, A.J.; Stob, N.R.; Van Pelt, R.E.; Wang, H.; Eckel, R.H. The metabolic syndrome. Endocr. Rev. 2008, 7, 777–822. [Google Scholar] [CrossRef] [PubMed]
- Oliveira, L.V.; Santos, B.N.; Machdo, I.E.; Malta, D.C.; Velasquez-Melendez, G.; Felisbino-Mendes, M.S. Prevalência da Síndrome Metabólica e seus componentes na população adulta brasileira. Ciênc. Saúde Coletiva 2020, 25, 4269–4280. [Google Scholar] [CrossRef]
- Lourenço, A.E. The meaning of ‘rural’ in rural health: A review and case study from Brazil. Glob. Public Health 2012, 7, 1–13. [Google Scholar] [CrossRef] [PubMed]
- Luz, T.C.D.; Cattafesta, M.; Petarli, G.B.; Meneghetti, J.P.; Zandonade, E.; Bezerra, O.M.D.P.A.; Salaroli, L.B. Cardiovascular risk factors in a Brazilian rural population. Ciênc. Saúde Coletiva 2020, 25, 3921–3932. [Google Scholar] [CrossRef]
- Ferreira, J.R.S.; Zandonade, E.; Bezerra, O.M.P.; Salaroli, L.B. Insulin resistance by the triglyceride-glucose index in a rural Brazilian population. Arch. Endocrinol. Metab. 2022, 1–8. [Google Scholar] [CrossRef]
- Cattafesta, M.; Petarli, G.B.; da Luz, T.C.; Zandonade, E.; Bezerra, O.M.P.; Salaroli, L.B. Dietary patterns of Brazilian farmers and their relation with sociodemographic, labor, and lifestyle conditions. Nutr. J. 2020, 19, 23. [Google Scholar] [CrossRef]
- Powell-Wiley, T.M.; Poirier, P.; Burke, L.E.; Després, J.P.; Gordon-Larsen, P.; Lavie, C.J.; Lear, S.A.; Ndumele, C.E.; Neeland, I.J.; Sanders, P.; et al. Obesity and Cardiovascular Disease: A Scientific Statement from the American Heart Association. Circulation 2021, 143, e984–e1010. [Google Scholar] [CrossRef]
- Rychter, A.M.; Ratajczak, A.E.; Zawada, A.; Dobrowolska, A.; Krela-Kaźmierczak, I. Non-systematic review of diet and nutritional risk factors of cardiovascular disease in obesity. Nutrients 2020, 12, 814. [Google Scholar] [CrossRef]
- Quaye, L.; Owiredu, W.K.B.A.; Amidu, N.; Dapare, P.P.M.; Adams, Y. Comparative Abilities of Body Mass Index, Waist Circumference, Abdominal Volume Index, Body Adiposity Index, and Conicity Index as Predictive Screening Tools for Metabolic Syndrome among Apparently Healthy Ghanaian Adults. J. Obes. 2019, 2019, 8143179. [Google Scholar] [CrossRef] [PubMed]
- Koliaki, C.; Liatis, S.; Kokkinos, A. Obesity and cardiovascular disease: Revisiting an old relationship. Metabolism 2019, 92, 98–107. [Google Scholar] [CrossRef] [PubMed]
- Cattafesta, M.; Petarli, G.B.; Zandonade, E.; Bezerra, O.M.P.A.; Abreu, S.M.R.; Salaroli, L.B. Prevalence and determinants of obesity and abdominal obesity among rural workers in Southeastern Brazil. PLoS ONE 2022, 17, e0270233. [Google Scholar] [CrossRef] [PubMed]
- Su, T.T.; Amiri, M.; Mohd Hairi, F.; Thangiah, N.; Dahlui, M.; Majid, H.A. Body composition indices and predicted cardiovascular disease risk profile among urban dwellers in Malaysia. Biomed. Res. Int. 2015, 2015, 174821. [Google Scholar] [CrossRef] [PubMed]
- Rahman, M.; Berenson, A.B. Accuracy of current body mass index obesity classification for white, black and Hispanic reproductive-age women. Obstet. Gynecol. 2010, 115, 982. [Google Scholar] [CrossRef] [PubMed]
- Nevill, A.M.; Stewart, A.D.; Olds, T.; Holder, R. Relationship between adiposity and body size reveals limitations of BMI. Am. J. Phys. Anthropol 2006, 129, 151–156. [Google Scholar] [CrossRef]
- Valdez, R. A simple model-based index of abdominal adiposity. J. Clin. Epidemiol. 1991, 44, 955–956. [Google Scholar] [CrossRef]
- Motamed, N.; Sohrabi, M.; Poustchi, H.; Maadi, M.; Malek, M.; Keyvani, H.; Amoli, M.S.; Zamani, F. The six obesity indices, which one is more compatible with metabolic syndrome? A population-based study. Diabetes Metab. Syndr. 2016, 11, 173–177. [Google Scholar] [CrossRef]
- Wang, H.; Liu, A.; Zhao, T.; Gong, X.; Pang, T.; Zhou, Y.; Xiao, Y.; Yan, Y.; Fan, C.; Teng, W.; et al. Comparison of anthropometric indices for predicting the risk of metabolic syndrome and its components in Chinese adults: A prospective, longitudinal study. BMJ Open 2017, 7, e016062. [Google Scholar] [CrossRef]
- Petarli, G.B.; Cattafesta, M.; Sant’Anna, M.M.; Bezerra, O.M.d.P.A.; Zandonade, E.; Salaroli, L.B. Multimorbidity and complex multimorbidity in Brazilian rural workers. PLoS ONE 2019, 14, e0225416. [Google Scholar] [CrossRef]
- Sociedade Brasileira de Cardiologia; Sociedade Brasileira de Nefrologia. VI Brazilian guidelines on hypertension. Arq. Bras. De Cardiol. 2010, 95, 1–51. [Google Scholar]
- Willett, W. Nutritional Epidemiology, 1st ed.; Oxford University Press: Oxford, UK, 2012. [Google Scholar]
- Nusser, S.M.; Carriquiry, A.L.; Fuller, W.A. A semi parametric transformation approach to estimating usual intake distributions. CARD Work. Pap. 1996, 1440–1449. [Google Scholar]
- Brasil Ministério da Saúde. Guia Alimentar Para a População Brasileira, 2nd ed.; Brasil Ministério da Saúde: Brasilia, Brazil, 2014.
- Monteiro, C.A.; Levy, R.B.; Claro, R.M.; Castro, I.R.R.D.; Cannon, G. A new classification of foods based on the extent and purpose of their processing. Cad. De Saude Publica 2010, 26, 2039–2049. [Google Scholar] [CrossRef]
- Monteiro, C.A.; Cannon, G.; Levy, R.; Moubarac, J.C.; Jaime, P.; Martins, A.P.; Canella, D.; Louzada, M.L.; Parra, D.; Ricardo, C.; et al. Classificação dos alimentos. Saúde Pública. NOVA. A estrela brilha. Word Nutr. 2016, 7, 28–40. [Google Scholar]
- Monteiro, C.; Cannon, G.; Levy, R.B.; Claro, R.; Moubarac, J.C.; Martins, A.P.; Louzada, M.L.; Baraldi, L.; Canella, D. The food system. Ultra-processing: The big issue for nutrition, disease, health, well-being. World Nutr. 2012, 3, 527–569. [Google Scholar]
- Cattafesta, M.; Petarli, G.B.; Zandonade, E.; Bezerra, O.M.P.A.; Abreu, S.M.R.; Salaroli, L.B. Energy contribution of NOVA food groups and the nutritional profile of the Brazilian rural workers’ diets. PLoS ONE 2020, 28, e0240756. [Google Scholar] [CrossRef]
- Lohman, T.G.; Roche, A.F.; Martorell, R. Anthropometric Standardization Reference Manual; Human Kinetics: Champaign, IL, USA, 1988. [Google Scholar]
- World Health Organization. Obesity: Preventing and Managing the Global Epidemic: Report of a WHO Consultation; WHO Consultation on Obesity: Geneva, Switzerland, 2000; 252p, Available online: http://www.who.int/entity/nutrition/publications/obesity/WHO_TRS_894/en/index.html (accessed on 2 October 2022).
- de Carvalho, M.H. I Diretriz brasileira de diagnóstico e tratamento da síndrome metabólica. Arq. Bras. De Cardiol. 2005, 84, 1–28. [Google Scholar]
- Pitanga, F.J.G.; Lessa, I. Sensibilidade e especificidade do índice de conicidade como discriminador do risco coronariano de adultos em Salvador, Brasil. Rev. Bras. Epidemiol. 2004, 7, 259–269. [Google Scholar] [CrossRef]
- Ceolin, J.; Engroff, P.; Mattiello, R.; Schwanke, C.H.A. Performance of Anthropometric Indicators in the Prediction of Metabolic Syndrome in the Elderly. Metab. Syndr. Relat. Disord. 2019, 17, 232–239. [Google Scholar] [CrossRef] [PubMed]
- Paula, H.A.A.; Ribeiro, R.C.L.; Rosado, L.E.F.P.L.; Pereira, R.S.F.; Franscechini, F.C.C. Comparação de diferentes critérios de definição para diagnóstico de síndrome metabólica em idosas. Arq. Bras. Cardiol. 2010, 95, 346–353. [Google Scholar] [CrossRef] [PubMed]
- Lovsletten, O.; Jacobsen, B.K.; Grimsgaard, S.; Njølstad, I.; Wilsgaard, T.; Løchen, M.L.; Eggen, A.E.; Hopstock, L.A. Prevalence of general and abdominal obesity in 2015–2016 and 8-year longitudinal weight and waist circumference changes in adults and elderly: The Tromsø Study. BMJ Open 2020, 10, e038465. [Google Scholar] [CrossRef]
- Monteiro, C.A.; Cannon, G.; Moubarac, J.C.; Levy, R.B.; Louzada, M.L.C.; Jaime, P.C. The UN Decade of Nutrition, the NOVA food classification and the trouble with ultra-processing. Public Health Nutr. 2018, 21, 5–17. [Google Scholar] [CrossRef]
- Martins-Silva, T.; Vaz, J.S.; Mola, C.L.; Assunção, M.C.F.; Tovo-Rodrigues, L. Prevalence of obesity in rural and urban areas in Brazil: National Health Survey, 2013. Rev. Bras. Epidemiol. 2019, 22, e190049. [Google Scholar] [CrossRef] [PubMed]
- Abeywickrama, H.M.; Wimalasiri, K.M.S.; Koyama, Y.; Uchiyama, M.; Shimizu, U.; Chandrajith, R.; Nanayakkara, N. Assessment of Nutritional Status and Dietary Pattern of a Rural Adult Population in Dry Zone, Sri Lanka. Int. J. Environ. Res. Public Health 2020, 17, 150. [Google Scholar] [CrossRef] [PubMed]
- NCD Risk Factor Collaboration (NCD-RisC). Rising rural body-mass index is the main driver of the global obesity epidemic in adults. Nature 2019, 569, 260–264. [Google Scholar] [CrossRef] [PubMed]
- Carvalho, E.O.; Da Rocha, E.F. Consumo para alimentação da população adulta residente na zona rural do município de Ibatiba (ES, Brasil). Ciênc. Saúde Coletiva 2011, 16, 179. [Google Scholar] [CrossRef]
- Canella, D.S.; Louzada, M.L.C.; Claro, R.M.; Costa, J.C.; Bandoni, D.H.; Levy, R.B.; Martins, A.P.B. Consumption of vegetables and their relation with ultra-processed foods in Brazil. Rev. Saúde Pública 2018, 52, 50. [Google Scholar] [CrossRef]
- Fernandes, M.P.; Bielemann, R.M.; Fassa, A.C.G. Factors associated with the quality of the diet of residents of a rural area in Southern Brazil. Rev. Saúde Pública 2018, 52, 6s. [Google Scholar] [CrossRef]
- Santana, G.J.; Silva, N.J.; Costa, J.O.; Vásquez, C.M.P.; Vila-Nova, T.M.S.; Vieira, D.A.S.; Pires, L.V.; Fagundes, A.A.; Barbosa, K.B.F. Contribution of minimally processed and ultra-processed foods to the cardiometabolic risk of Brazilian young adults: A cross-sectional study. Nutr. Hosp. 2021, 38, 328–336. [Google Scholar] [CrossRef]
- Salaroli, L.B.; Cattafesta, M.; Petarli, G.B.; Ribeiro, S.A.V.; Soares, A.C.O.; Zandonade, E.; Bezerra, O.M.P.A.; Mill, J.G. Prevalence and factors associated with arterial hypertension in a Brazilian rural working population. Clinics 2020, 75, e1603. [Google Scholar] [CrossRef]
- Bolte, L.A.; Vich Vila, A.; Imhann, F.; Collij, V.; Gacesa, R.; Peters, V.; Wijmenga, C.; Kurilshikov, A.; Campmans-Kuijpers, M.J.E.; Fu, J.; et al. Long-term dietary patterns are associated with pro-inflammatory and anti-inflammatory features of the gut microbiome. Gut 2021, 70, 1287–1298. [Google Scholar] [CrossRef]
- Cena, H.; Calder, P.C. Defining a healthy diet: Evidence for the role of contemporary dietary patterns in health and disease. Nutrients 2020, 12, 334. [Google Scholar] [CrossRef]
- Chiavaroli, L.; Viguiliouk, E.; Nishi, S.K.; Blanco Mejia, S.; Rahelić, D.; Kahleová, H.; Salas-Salvadó, J.; Kendall, C.W.; Sievenpiper, J.L. DASH dietary pattern and cardiometabolic outcomes: An umbrella review of systematic reviews and meta-analyses. Nutrients 2019, 11, 338. [Google Scholar] [CrossRef] [PubMed]
- Fraga, C.G.; Croft, K.D.; Kennedy, D.O.; Tomás-Barberán, F.A. The effects of polyphenols and other bioactives on human health. Food Funct. 2019, 10, 514–528. [Google Scholar] [CrossRef] [PubMed]
- Intituto Brasileiro de Geografia e Estatística. Produção Agrícola, lavoura Permanente. Santa Maria de Jetibá, Espírito Santo. 2021. Available online: https://cidades.ibge.gov.br/brasil/es/santa-maria-de-jetiba/pesquisa/15/11863 (accessed on 10 December 2021).


| Variables | NCEP—ATP III | IDF | ||
|---|---|---|---|---|
| Men (95% CI) | Women (95% CI) | Men (95% CI) | Women (95% CI) | |
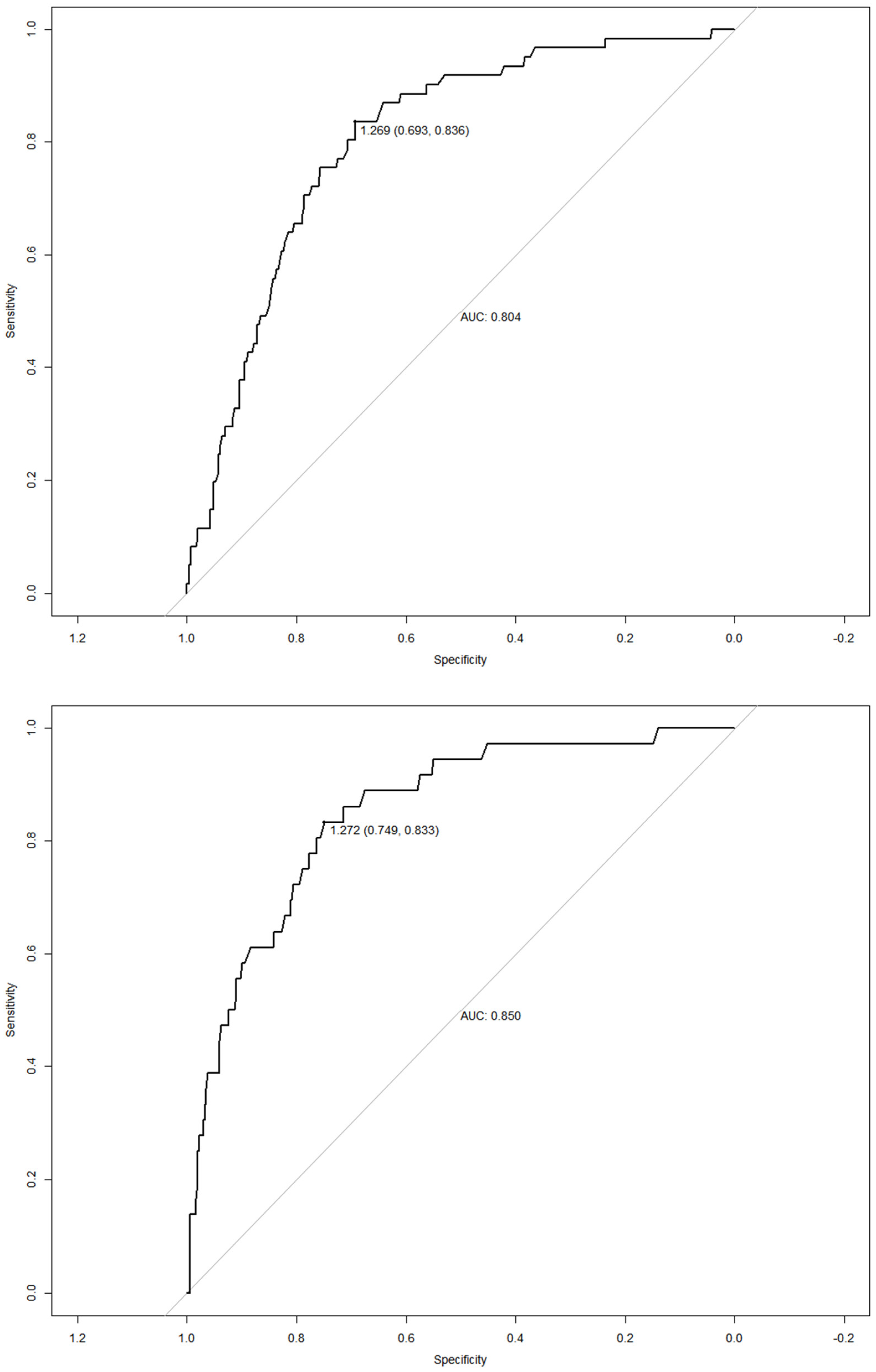
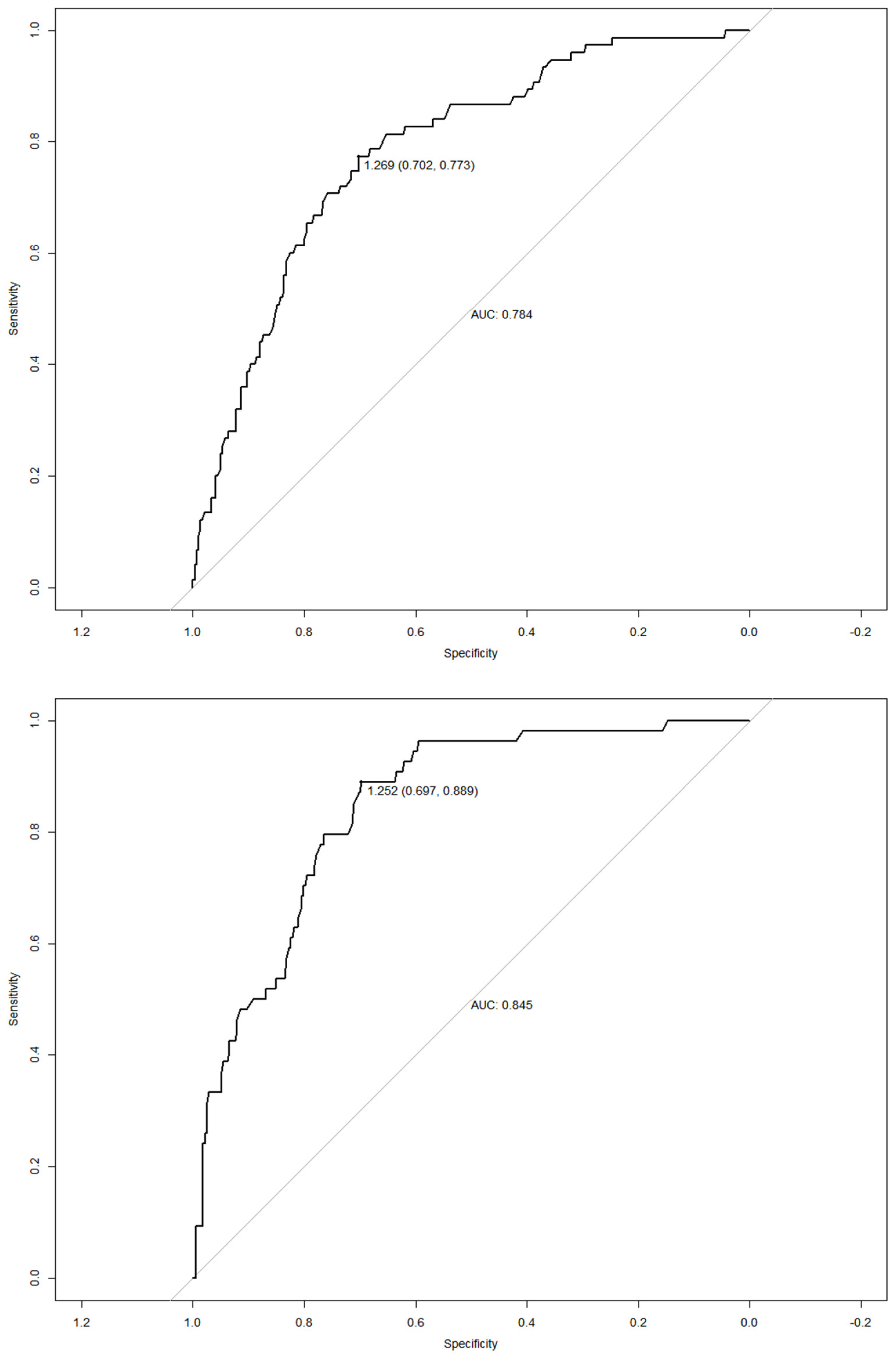
| Cut points | 1.272 | 1.269 | 1.252 | 1.269 |
| AUC 1 | 0.850 (0.787–0.913) | 0.804 (0.748–0.860) | 0.845 (0.796–0.895) | 0.784 (0.728–0.840) |
| Accuracy | 0.757 (0.756–0.758) | 0.717 (0.716–0.718) | 0.722 (0.721–0.73) | 0.717 (0.716–0.718) |
| Sensitivity | 0.833 (0.712–0.955) | 0.836 (0.743–0.929) | 0.889 (0.805–0.973) | 0.773 (0.679–0.868) |
| Specificity | 0.749(0.705–0.793) | 0.693 (0.642–0.744) | 0.697 (0.649–0.745) | 0.702 (0.651–0.754) |
| PPV 2 | 0.244(0.168–0.320) | 0.347 (0.270–0.424) | 0.310 (0.237–0.382) | 0.395 (0.316–0.474) |
| NPV 3 | 0.979(0.962–0.996) | 0.956 (0.929–0.983) | 0.976 (0.957–0.995) | 0.925 (0.891–0.959) |
| Variables | IDF | NCEP-ATP III | ||||
|---|---|---|---|---|---|---|
| CI 1 Adequate | CI Elevated | p-Value | CI Adequate | CI Elevated | p-Value | |
| Sex | 0.836 | 0.014 | ||||
| Women | 227 (29.06%) | 147 (18.82%) | 227 (29.06%) | 147 (18.83%) | ||
| Men | 251 (32.13%) | 156 (19.97%) | 282 (36.10%) | 125 (16.01%) | ||
| Age (group) | <0.001 | <0.001 | ||||
| ≤29 years | 153 (19.60%) | 23 (2.94%) | 155 (19.85%) | 21 (2.69%) | ||
| ≥30 to 39 years | 173 (22.15%) | 70 (8.96%) | 183 (23.45%) | 60 (7.68%) | ||
| ≥40 to 49 years | 98 (12.55%) | 103 (13.19%) | 108 (13.82%) | 93 (11.90%) | ||
| ≥50 years or more | 54 (6.91%) | 107 (13.70%) | 63 (8.06%) | 98 (12.55%) | ||
| Schooling (years) | <0.001 | <0.001 | ||||
| <4 years | 286 (36.62%) | 240 (30.73%) | 308 (39.44%) | 218 (27.91%) | ||
| 4 to 8 years | 129 (16.52%) | 42 (5.37%) | 132 (16.90%) | 39 (5.00%) | ||
| >8 years | 63 (8.06%) | 21 (2.70%) | 69 (8.83%) | 15 (1.92%) | ||
| Marital status | 0.010 | 0.022 | ||||
| Married or lives with partner | 401 (51.34%) | 270 (34.57%) | 430 (55.05%) | 241 (30.86%) | ||
| Divorced or widowed | 30 (3.84%) | 21 (2.68%) | 31 (3.96%) | 20 (2.57%) | ||
| Unmarried | 47 (6.02%) | 12 (1.53%) | 48 (6.15%) | 11 (1.41%) | ||
| Self-referred race/color | 0.281 | 0.324 | ||||
| No white | 59 (7.55%) | 29 (3.71%) | 62 (7.94%) | 26 (3.33%) | ||
| White | 419 (53.65%) | 274 (35.08%) | 447 (57.23%) | 246 (31.50%) | ||
| Socioeconomic class | 0.774 | 0.973 | ||||
| Class A or B | 35 (4.48%) | 23 (2.94%) | 37 (4.74%) | 21 (2.68%) | ||
| Class C | 235 (30.09%) | 156 (19.97%) | 255 (32.65%) | 136 (17.41%) | ||
| Class D or E | 208 (26.63%) | 124 (15.87%) | 217 (27.78%) | 115 (14.72%) | ||
| Land bond | 0.179 | 0.324 | ||||
| Owner | 359 (45.96%) | 241 (30.85%) | 385 (49.30%) | 215 (27.53%) | ||
| No owner | 119 (15.23%) | 62 (7.94%) | 124 (15.87%) | 57 (7.30%) | ||
| Type of production | 0.112 | 0.268 | ||||
| Conventional | 438 (56.15%) | 267 (34.23%) | 464 (59.49%) | 241(30.90%) | ||
| No conventional | 39 (5.00%) | 36 (4.61%) | 44 (5.64%) | 31 (3.97%) | ||
| Workload | 0.057 | 0.003 | ||||
| ≤40 h/week | 87 (11.13%) | 73 (9.34%) | 88 (11.26%) | 72 (9.22%) | ||
| >40 h/week | 391 (50.06%) | 230 (29.44%) | 421 (53.90%) | 200 (25.60%) | ||
| Alcohol intake | 0.239 | 0.030 | ||||
| No | 259 (33.16%) | 178 (22.80%) | 270 (34.57%) | 167 (21.38%) | ||
| Yes | 219 (28.05%) | 125 (16.00%) | 239 (30.60%) | 105 (13.44%) | ||
| Smoking | 0.032 | 0.365 | ||||
| No smoking | 415 (53.13%) | 245 (31.37%) | 435 (55.70%) | 225 (28.80%) | ||
| Current smoking or past | 63 (8.06%) | 58 (7.42%) | 74 (9.47%) | 47 (6.02%) | ||
| Physical activity off field | 0.008 | 0.013 | ||||
| Do not practice | 373 (47.76%) | 263 (33.67%) | 400 (51.21%) | 236 (30.21%) | ||
| Below recommended | 63 (8.06%) | 23 (2.94%) | 67 (8.58%) | 19 (2.43%) | ||
| Within the recommended | 42 (5.37%) | 17 (2.17%) | 42 (5.37%) | 17 (2.17%) | ||
| Body mass index | <0.001 | <0.001 | ||||
| Low weight/eutrophy | 339 (43.40%) | 44 (5.63%) | 349 (44.68%) | 34 (4.35%) | ||
| Overweight/obesity | 139 (17.80%) | 259 (33.16%) | 160 (20.48%) | 238 (30.47%) | ||
| Consumption of minimally processed | 0.476 | 0.795 | ||||
| Lower contribution | 217 (29.68%) | 148 (20.24%) | 239 (32.01%) | 127 (17.92%) | ||
| Higher contribution | 228 (31.20%) | 138 (18.87%) | 234 (32.69%) | 131 (17.37%) | ||
| Consumption of culinary ingredients | 0.118 | 0.056 | ||||
| Lower contribution | 233 (31.87%) | 132 (18.05%) | 249 (34.06%) | 116 (15.86%) | ||
| Higher contribution | 212 (29.00%) | 154 (21.06%) | 224 (30.64%) | 142 (19.42%) | ||
| Consumption of processed | 0.198 | 0.253 | ||||
| Lower contribution | 212 (29.00%) | 151 (20.65%) | 227 (31.05%) | 136 (18.60%) | ||
| Higher contribution | 233 (31.87%) | 135 (21.20%) | 246 (33.65%) | 112 (16.68%) | ||
| Consumption of ultra-processed | 0.076 | 0.301 | ||||
| Lower contribution | 235 (32.14%) | 131 (17.92%) | 244 (33.38%) | 122 (16.69%) | ||
| Higher contribution | 210 (28.72%) | 155 (21.20%) | 229 (31.32%) | 136 (18.60%) | ||
| Consumption products you sell | 0.341 | 0.098 | ||||
| No | 22 (2.81%) | 9 (1.15%) | 25 (3.20%) | 6 (0.76%) | ||
| Yes | 456 (58.38%) | 294 (37.64%) | 484 (61.97%) | 266 (34.05%) | ||
| Variables | Model 1 | Model 2 | Model 3 | Final Model | ||||
|---|---|---|---|---|---|---|---|---|
| p-Value | OR (CI 95%) | p-Value | OR (CI 95%) | p-Value | OR (CI 95%) | p-Value | OR (CI 95%) | |
| Age (group) | ||||||||
| ≤29 years | <0.001 | 10.06 (5.51–18.39) | <0.001 | 9.54 (5.20–17.51) | <0.001 | 11.31 (5.82–21.98) | <0.001 | 11.31 (5.82–21.98) |
| ≥30 to 39 years | <0.001 | 4.61 (2.95–7.20) | <0.001 | 4.33 (2.76–6.80) | 0.008 | 4.53 (2.80–7.34) | <0.001 | 4.53 (2.80–7.34) |
| ≥40 to 49 years | 0.005 | 1.83 (1.19–2.79) | 0.010 | 1.74 (1.13–2.67) | 0.009 | 1.82 (1.15–2.88) | 0.009 | 1.82 (1.15–2.88) |
| ≥50 years or more | 1 | 1 | 1 | 1 | ||||
| Marital status | ||||||||
| Married or lives with partner | 1 | 1 | 1 | 1 | ||||
| Unmarried | 0.523 | 1.27 (0.60–2.64) | 0.431 | 1.34 (0.64–2.82) | 0.618 | 1.21 (0.56–2.57) | 0.618 | 1.21 (0.56–2.57) |
| Divorced or widowed | 0.256 | 1.43 (0.77–2.66) | 0.186 | 1.52 (0.81–2.86) | 0.201 | 1.51 (0.80–2.85) | 0.201 | 1.51 (0.80–2.85) |
| Schooling (years) | ||||||||
| <4 years | 1 | 1 | 1 | 1 | ||||
| 4 to 8 years | 0.540 | 1.15 (0.73–1.80) | 0.465 | 1.18 (0.75–1.86) | 0.608 | 1.13 (0.70–1.82) | 0.608 | 1.13 (0.70–1.82) |
| >8 years | 0.066 | 1.81 (0.96–3.41) | 0.054 | 1.87 (0.98–3.56) | 0.053 | 1.92 (0.99–3.73) | 0.053 | 1.92 (0.99–3.73) |
| Bond with the earth | ||||||||
| No owner | 1 | 1 | 1 | 1 | ||||
| Owner | 0.636 | 0.91 (0.61–1.34) | 0.413 | 0.84 (0.56–1.26) | 0.448 | 0.84 (0.55–1.29) | 0.448 | 0.84 (0.55–1.29) |
| Workload | ||||||||
| ≤40 h/week | 1 | 1 | 1 | |||||
| >40 h/week | 0.007 | 1.72 (1.15–2.56) | 0.009 | 1.74 (1.14–2.67) | 0.009 | 1.74 (1.14–2.67) | ||
| Type of production | ||||||||
| Conventional | 1 | 1 | 1 | |||||
| No conventional | 0.537 | 0.84 (0.49–1.44) | 0.374 | 0.77 (0.44–1.35) | 0.374 | 0.77 (0.44–1.35) | ||
| Physical activity off field | ||||||||
| Do not practice | 1 | 1 | ||||||
| Below recommended | 0.282 | 1.38 (0.76–2.52) | 0.282 | 1.38 (0.76–2.52) | ||||
| Within the recommended | 0.830 | 1.07 (0.54–2.14) | 0.830 | 1.07 (0.54–2.14) | ||||
| Smoking | ||||||||
| No smoking | 1 | 1 | ||||||
| Current smoking or past | 0.382 | 1.23 (0.76–1.99) | 0.382 | 1.23 (0.76–1.99) | ||||
| Degree of processing | ||||||||
| Culinary ingredients | ||||||||
| Higher contribution | 1 | 1 | ||||||
| Lower contribution | 0.004 | 1.66 (1.17–2.35) | 0.004 | 1.66 (1.17–2.35) | ||||
| Processed | ||||||||
| Higher contribution | 1 | 1 | ||||||
| Lower contribution | 0.759 | 0.94 (0.65–1.35) | 0.759 | 0.94 (0.65–1.35) | ||||
| Ultra-processed | ||||||||
| Higher contribution | 1 | 1 | ||||||
| Lower contribution | 0.245 | 1.24 (0.86–1.79) | 0.245 | 1.24 (0.86–1.79) | ||||
| Variables | Model 1 | Model 2 | Model 3 | Final Model | ||||
|---|---|---|---|---|---|---|---|---|
| p-Value | OR (CI 95%) | p-Value | OR (CI 95%) | p-Value | OR (CI 95%) | p-Value | OR (CI 95%) | |
| Sex | ||||||||
| Women | 1 | 1 | 1 | 1 | ||||
| Men | 0.001 | 1.68 (1.21–2.33) | 0.010 | 1.55 (1.10–2.18) | 0.074 | 1.41 (0.96–2.07) | 0.074 | 1.41 (0.96–2.07) |
| Age (group) | ||||||||
| ≤29 years | <0.001 | 11.39 (6.18–20.98) | <0.001 | 10.98 (5.95–20.27) | <0.001 | 12.51 (6.46–24.25) | <0.001 | 12.51 (6.46–24.25) |
| ≥30 to 39 years | <0.001 | 4.93 (3.14–7.76) | <0.001 | 4.73 (3.00–7.46) | <0.001 | 4.75 (2.94–7.68) | <0.001 | 4.75 (2.94–7.68) |
| ≥40 to 49 years | 0.003 | 1.90 (1.24–2.92) | 0.004 | 1.85 (1.21–2.85) | 0.006 | 1.86 (1.19–2.92) | 0.006 | 1.86 (1.19–2.92) |
| ≥50 years or more | 1 | 1 | 1 | 1 | ||||
| Marital status | ||||||||
| Married or lives with partner | 1 | 1 | 1 | |||||
| Unmarried | 0.795 | 1.10 (0.52–2.34) | 0.681 | 1.17 (0.55–2.49) | 0.865 | 1.06 (0.49–2.31) | 0.865 | 1.06 (0.49–2.31) |
| Divorced or widowed | 0.147 | 1.58 (0.84–2.96) | 0.123 | 1.64 (0.87–3.07) | 0.157 | 1.58 (0.83–2.99) | 0.157 | 1.58 (0.83–2.99) |
| Schooling (years) | ||||||||
| <4 years | 1 | 1 | 1 | 1 | ||||
| 4 to 8 years | 0.645 | 1.11 (0.70–1.74) | 0.607 | 1.12 (0.71–1.77) | 0.679 | 1.10 (0.68–1.78) | 0.679 | 1.10 (0.68–1.78) |
| >8 years | 0.083 | 1.74 (0.92–3.29) | 0.079 | 1.76 (0.93–3.32) | 0.126 | 1.66 (0.86–3.19) | 0.126 | 1.66 (0.86–3.19) |
| Workload | ||||||||
| ≤40 h/week | 1 | 1 | 1 | |||||
| >40 h/week | 0.088 | 1.42 (0.94–2.13) | 0.055 | 1.53 (0.98–2.36) | 0.055 | 1.53 (1.01–2.36) | ||
| Physical activity off field | ||||||||
| Do not practice | 1 | 1 | ||||||
| Below recommended | 0.302 | 1.37 (0.75–2.50) | 0.302 | 1.37 (0.75–2.50) | ||||
| Within the recommended | 0.848 | 1.06 (0.53–2.13) | 0.848 | 1.06 (0.53–2.13) | ||||
| Alcohol intake | ||||||||
| No | 1 | 1 | ||||||
| Yes | 0.679 | 1.08 (0.74–1.56) | 0.679 | 1.08 (0.74–1.56) | ||||
| Degree of processing | ||||||||
| Culinary ingredients | ||||||||
| Higher contribution | 1 | 1 | ||||||
| Lower contribution | 0.008 | 1.57 (1.12–2.22) | 0.008 | 1.57 (1.12–2.22) | ||||
| Consumption products you sell | ||||||||
| No | 1 | 1 | ||||||
| Yes | 0.040 | 0.36 (0.13–0.95) | 0.040 | 0.36 (0.13–0.95) | ||||
Publisher’s Note: MDPI stays neutral with regard to jurisdictional claims in published maps and institutional affiliations. |
© 2022 by the authors. Licensee MDPI, Basel, Switzerland. This article is an open access article distributed under the terms and conditions of the Creative Commons Attribution (CC BY) license (https://creativecommons.org/licenses/by/4.0/).
Share and Cite
do Prado, C.B.; Martins, C.A.; Cremonini, A.C.P.; Ferreira, J.R.S.; Cattafesta, M.; Almeida-de-Souza, J.; Zandonade, E.; Bezerra, O.M.d.P.A.; Salaroli, L.B. Cut Points of the Conicity Index and Associated Factors in Brazilian Rural Workers. Nutrients 2022, 14, 4487. https://doi.org/10.3390/nu14214487
do Prado CB, Martins CA, Cremonini ACP, Ferreira JRS, Cattafesta M, Almeida-de-Souza J, Zandonade E, Bezerra OMdPA, Salaroli LB. Cut Points of the Conicity Index and Associated Factors in Brazilian Rural Workers. Nutrients. 2022; 14(21):4487. https://doi.org/10.3390/nu14214487
Chicago/Turabian Styledo Prado, Camila Bruneli, Cleodice Alves Martins, Ana Clara Petersen Cremonini, Júlia Rabelo Santos Ferreira, Monica Cattafesta, Juliana Almeida-de-Souza, Eliana Zandonade, Olívia Maria de Paula Alves Bezerra, and Luciane Bresciani Salaroli. 2022. "Cut Points of the Conicity Index and Associated Factors in Brazilian Rural Workers" Nutrients 14, no. 21: 4487. https://doi.org/10.3390/nu14214487
APA Styledo Prado, C. B., Martins, C. A., Cremonini, A. C. P., Ferreira, J. R. S., Cattafesta, M., Almeida-de-Souza, J., Zandonade, E., Bezerra, O. M. d. P. A., & Salaroli, L. B. (2022). Cut Points of the Conicity Index and Associated Factors in Brazilian Rural Workers. Nutrients, 14(21), 4487. https://doi.org/10.3390/nu14214487

