Trends in Food Group Intake According to Body Size among Young Japanese Women: The 2001–2019 National Health and Nutrition Survey
Abstract
1. Introduction
2. Materials and Methods
2.1. Study Design and Participants
2.2. Dietary Survey
2.3. Physical Assessments
2.4. Statistical Analysis
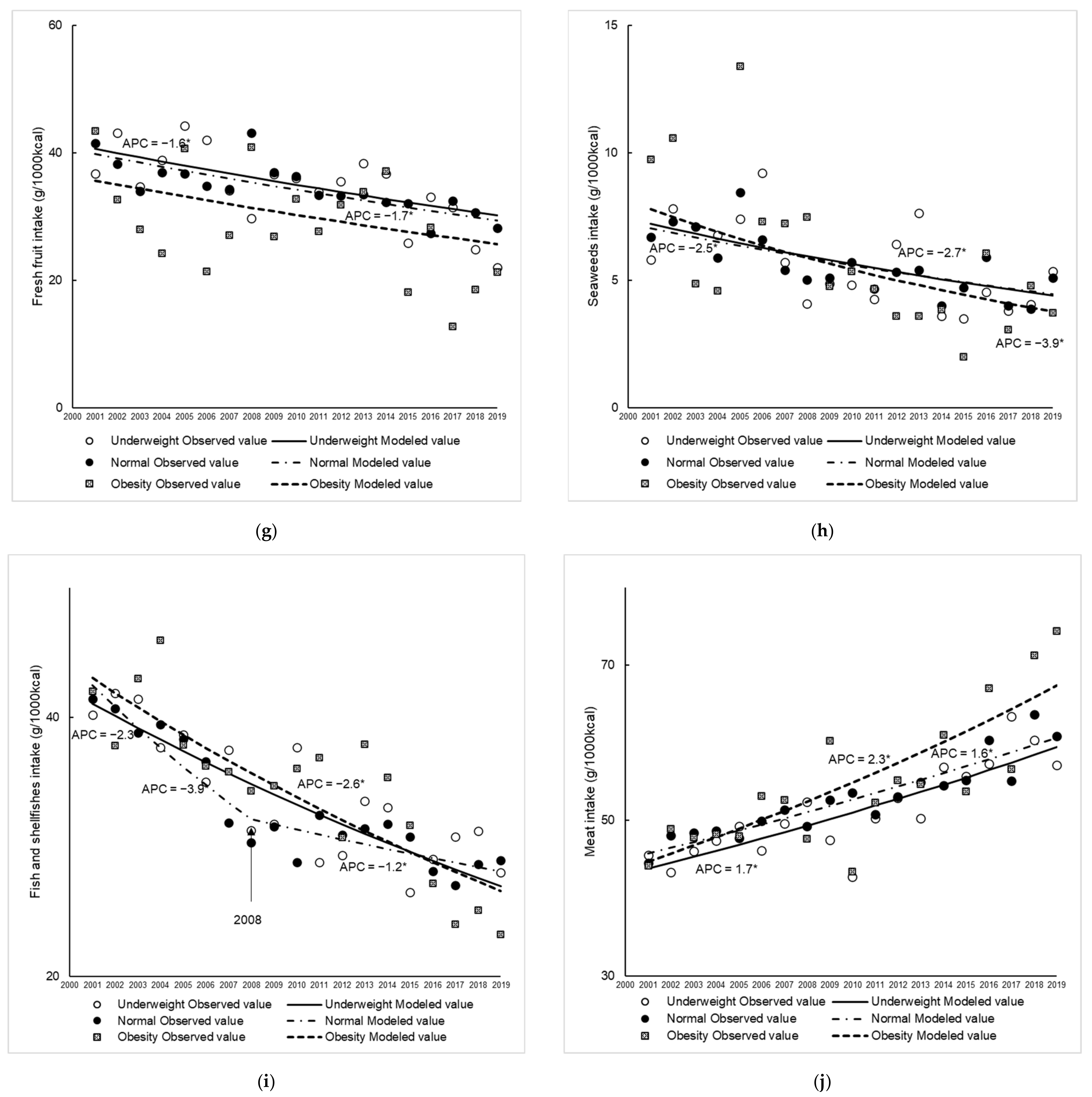
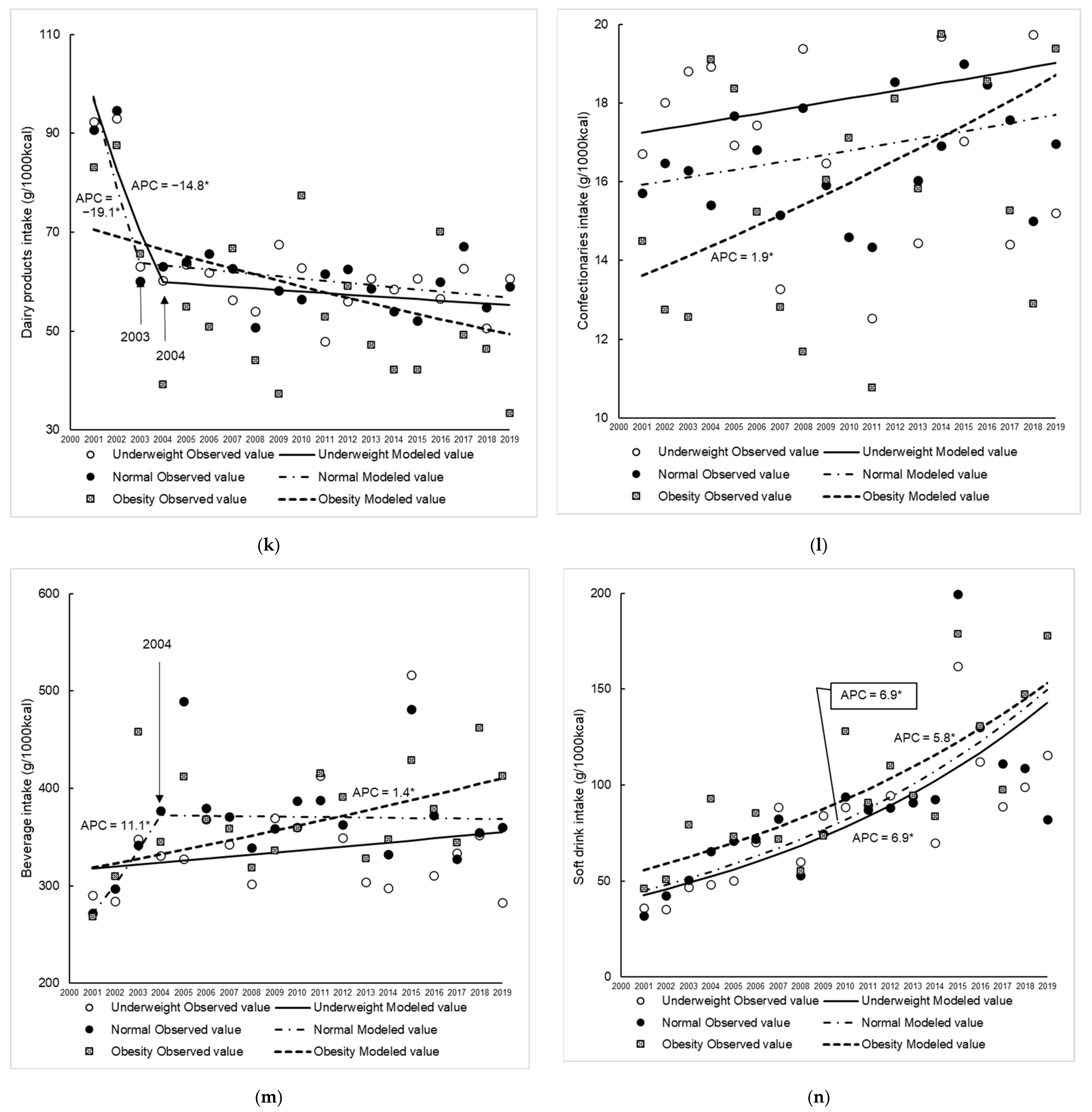
3. Results
4. Discussion
5. Conclusions
Supplementary Materials
Author Contributions
Funding
Institutional Review Board Statement
Informed Consent Statement
Data Availability Statement
Acknowledgments
Conflicts of Interest
References
- Must, A.; Spadano, J.; Coakley, E.H.; Field, A.E.; Colditz, G.; Dietz, W.H. The Disease Burden Associated With Overweight and Obesity. JAMA 1999, 282, 1523–1529. [Google Scholar] [CrossRef] [PubMed]
- World Health Organization. Fact sheet—Obesity and overweight. Available online: https://www.who.int/health-topics/obesity#tab=tab_1 (accessed on 27 August 2022).
- Ministry of Health, Labour and Welfare. The National Health and Nutrition Survey in Japan, 2019. 2020. Available online: https://www.mhlw.go.jp/stf/seisakunitsuite/bunya/kenkou_iryou/kenkou/eiyou/r1-houkoku_00002.html (accessed on 27 August 2022).
- Takimoto, H.; Yoshiike, N.; Kaneda, F.; Yoshita, K. Thinness Among Young Japanese Women. Am. J. Public Health 2004, 94, 1592–1595. [Google Scholar] [CrossRef] [PubMed]
- Sakamaki, R.; Toyama, K.; Amamoto, R.; Liu, C.-J.; Shinfuku, N. Nutritional knowledge, food habits and health attitude of Chinese university students—A cross sectional study. Nutr. J. 2005, 4, 4. [Google Scholar] [CrossRef] [PubMed]
- Wronka, I.; Suliga, E.; Pawliñska-Chmara, R. Evaluation of lifestyle of underweight, normal weight and overweight young women. Coll. Antropol. 2013, 37, 359–365. [Google Scholar]
- Bailly, M.; Boscaro, A.; Pereira, B.; Courteix, D.; Germain, N.; Galusca, B.; Boirie, Y.; Thivel, D.; Verney, J. Underweight but not underfat: Is fat-free mass a key factor in constitutionally thin women? Eur. J. Clin. Nutr. 2021, 75, 1764–1770. [Google Scholar] [CrossRef]
- Turner, J.M.; Bulsara, M.K.; McDermott, B.M.; Byrne, G.C.; Prince, R.L.; Forbes, D.A. Predictors of low bone density in young adolescent females with anorexia nervosa and other dieting disorders. Int. J. Eat. Disord. 2001, 30, 245–251. [Google Scholar] [CrossRef]
- Frederick, I.O.; Williams, M.A.; Sales, A.E.; Martin, D.P.; Killien, M. Pre-pregnancy Body Mass Index, Gestational Weight Gain, and Other Maternal Characteristics in Relation to Infant Birth Weight. Matern. Child Health J. 2008, 12, 557–567. [Google Scholar] [CrossRef]
- Fogelholm, M.; Anderssen, S.; Gunnarsdottir, I.; Lahti-Koski, M. Dietary macronutrients and food consumption as determinants of long-term weight change in adult populations: A systematic literature review. Food Nutr. Res. 2012, 56. [Google Scholar] [CrossRef]
- Newby, P.; Muller, D.; Hallfrisch, J.; Qiao, N.; Andres, R.; Tucker, K.L. Dietary patterns and changes in body mass index and waist circumference in adults. Am. J. Clin. Nutr. 2003, 77, 1417–1425. [Google Scholar] [CrossRef]
- Crovetto, M.; Valladares, M.; Espinoza, V.; Mena, F.; Oñate, G.; Fernandez, M.; Durán-Agüero, S. Effect of healthy and unhealthy habits on obesity: A multicentric study. Nutrition 2018, 54, 7–11. [Google Scholar] [CrossRef]
- Maskarinec, G.; Novotny, R.; Tasaki, K. Dietary Patterns Are Associated with Body Mass Index in Multiethnic Women. J. Nutr. 2000, 130, 3068–3072. [Google Scholar] [CrossRef] [PubMed]
- Okubo, H.; the Freshmen in Dietetic Courses Study II group; Sasaki, S.; Murakami, K.; Kim, M.K.; Takahashi, Y.; Hosoi, Y.; Itabashi, M. Three major dietary patterns are all independently related to the risk of obesity among 3760 Japanese women aged 18–20 years. Int. J. Obes. 2008, 32, 541–549. [Google Scholar] [CrossRef] [PubMed]
- Murakami, K.; Livingstone, M.B.E.; Sasaki, S. Thirteen-Year Trends in Dietary Patterns among Japanese Adults in the National Health and Nutrition Survey 2003–2015: Continuous Westernization of the Japanese Diet. Nutrients 2018, 10, 994. [Google Scholar] [CrossRef] [PubMed]
- Zhang, J.; Wang, Z.; Du, W.; Huang, F.; Jiang, H.; Bai, J.; Zhang, X.; Zhang, B.; Wang, H. Twenty-Five-Year Trends in Dietary Patterns among Chinese Adults from 1991 to 2015. Nutrients 2021, 13, 1327. [Google Scholar] [CrossRef]
- Ministry of Health, Labour and Welfare. The National Health and Nutrition Survey. Available online: https://www.mhlw.go.jp/bunya/kenkou/kenkou_eiyou_chousa.html (accessed on 27 August 2022).
- Ikeda, N.; Takimoto, H.; Imai, S.; Miyachi, M.; Nishi, N. Data Resource Profile: The Japan National Health and Nutrition Survey (NHNS). Int. J. Epidemiology 2015, 44, 1842–1849. [Google Scholar] [CrossRef]
- Ministry of Health, Labour and Welfare. The National Health and Nutrition Survey in Japan, 2011. 2013. Available online: https://www.mhlw.go.jp/bunya/kenkou/eiyou/h23-houkoku.html (accessed on 27 August 2022).
- Ministry of Health, Labour and Welfare. The National Health and Nutrition Survey in Japan, 2016. 2017. Available online: https://www.mhlw.go.jp/bunya/kenkou/eiyou/h28-houkoku.html (accessed on 27 August 2022).
- Takimoto, H.; Yoshiike, N.; Katagiri, A.; Ishida, H.; Abe, S. Nutritional status of pregnant and lactating women in Japan: A comparison with non-pregnant/non-lactating controls in the National Nutrition Survey. J. Obstet. Gynaecol. Res. 2003, 29, 96–103. [Google Scholar] [CrossRef]
- Anonymous. Health Promotion Act Law No 103. 2002. [Google Scholar]
- Ministry of Education, Culture, Sports, Science and Technology. Standard Tables of Food Composition in Japan, 5th ed.; National Printing Bureau: Tokyo, Japan, 2000. (In Japanese) [Google Scholar]
- Ministry of Education, Culture, Sports, Science and Technology. Standard Tables of Food Composition in Japan, 5th ed.; National Printing Bureau: Tokyo, Japan, 2005. (In Japanese) [Google Scholar]
- Ministry of Education, Culture, Sports, Science and Technology. Standard Tables of Food Composition in Japan, 2010; National Printing Bureau: Tokyo, Japan, 2010. (In Japanese) [Google Scholar]
- Ministry of Education, Culture, Sports, Science and Technology. Standard Tables of Food Composition in Japan, 2015; National Printing Bureau: Tokyo, Japan, 2015. (In Japanese) [Google Scholar]
- Iwaoka, H.; Yoshiike, N.; Date, C.; Shimada, T.; Tanaka, H. A Validation Study on a Method to Estimate Nutrient Intake by Family Members through a Household-based Food-weighing Survey. J. Nutr. Sci. Vitaminol. 2001, 47, 222–227. [Google Scholar] [CrossRef]
- The Examination Committee of Criteria for ‘Obesity Disease’ in Japan, Japan Society for the Study of Obesity. New Criteria for ‘Obesity Disease’ in Japan. Circ. J. 2002, 66, 987–992. [Google Scholar] [CrossRef]
- Ministry of Health, Labour and Welfare. The National Health and Nutrition Survey in Japan, 2012. 2014. Available online: https://www.mhlw.go.jp/bunya/kenkou/eiyou/h24-houkoku.html (accessed on 27 August 2022).
- Kim, H.-J.; Fay, M.P.; Feuer, E.J.; Midthune, D.N. Permutation tests for joinpoint regression with applications to cancer rates. Stat. Med. 2000, 19, 335–351. [Google Scholar] [CrossRef]
- Lowry, R.; A Galuska, D.; E Fulton, J.; Wechsler, H.; Kann, L.; Collins, J.L. Physical activity, food choice, and weight management goals and practices among U.S. college students. Am. J. Prev. Med. 2000, 18, 18–27. [Google Scholar] [CrossRef]
- Sato, M.; Tamura, Y.; Nakagata, T.; Someya, Y.; Kaga, H.; Yamasaki, N.; Kiya, M.; Kadowaki, S.; Sugimoto, D.; Satoh, H.; et al. Prevalence and Features of Impaired Glucose Tolerance in Young Underweight Japanese Women. J. Clin. Endocrinol. Metab. 2021, 106, e2053–e2062. [Google Scholar] [CrossRef] [PubMed]
- Yoshita, K.; Arai, Y.; Nozue, M.; Komatsu, K.; Ohnishi, H.; Saitoh, S.; Miura, K. NIPPON DATA80/90 Research Group Total Energy Intake and Intake of Three Major Nutrients by Body Mass Index in Japan: NIPPON DATA80 and NIPPON DATA90. J. Epidemiol. 2010, 20 (Suppl. 3), S515–S523. [Google Scholar] [CrossRef]
- Murakami, K.; E Livingstone, M.B.; Okubo, H.; Sasaki, S. Prevalence and characteristics of misreporting of energy intake in Japanese adults: The 2012 National Health and Nutrition Survey. Asia Pac. J. Clin. Nutr. 2018, 27, 441–450. [Google Scholar] [PubMed]
- Kobayashi, S.; Asakura, K.; Suga, H.; Sasaki, S. Living status and frequency of eating out-of-home foods in relation to nutritional adequacy in 4,017 Japanese female dietetic students aged 18–20 years: A multicenter cross-sectional study. J. Epidemiol. 2017, 27, 287–293. [Google Scholar] [CrossRef] [PubMed]
- Statistics Bureau Japan. 2020 Population Census. 2021. Available online: https://www.stat.go.jp/data/kokusei/2020/kekka.html (accessed on 18 September 2022).
- Grajales, F.J., 3rd; Sheps, S.; Ho, K.; Novak-Lauscher, H.; Eysenbach, G. Social Media: A Review and Tutorial of Applications in Medicine and Health Care. J. Med. Internet. Res. 2014, 16, e13. [Google Scholar] [CrossRef] [PubMed]
- Bleich, S.N.; Vercammen, K.A.; Koma, J.W.; Li, Z. Trends in Beverage Consumption Among Children and Adults, 2003–2014. Obesity 2018, 26, 432–441. [Google Scholar] [CrossRef]
- Finkelstein, E.A.; Khavjou, O.A.; Thompson, H.; Trogdon, J.G.; Pan, L.; Sherry, B.; Dietz, W. Obesity and Severe Obesity Forecasts Through 2030. Am. J. Prev. Med. 2012, 42, 563–570. [Google Scholar] [CrossRef]
- Hales, C.M.; Carroll, M.D.; Fryar, C.D.; Ogden, C.L. Prevalence of obesity and severe obesity among adults: United States, 2017–2018. NCHS Data Brief 2020, 360, 1–8. [Google Scholar]
- Crozier, S.R.; Robinson, S.M.; Godfrey, K.M.; Cooper, C.; Inskip, H.M. Women’s Dietary Patterns Change Little from Before to During Pregnancy. J. Nutr. 2009, 139, 1956–1963. [Google Scholar] [CrossRef]
- Aljadani, H.M.; Patterson, A.; Sibbritt, D.; Hutchesson, M.J.; Jensen, M.E.; Collins, C.E. Diet Quality, Measured by Fruit and Vegetable Intake, Predicts Weight Change in Young Women. J. Obes. 2013, 2013, 525161. [Google Scholar] [CrossRef]
- Saito, A.; Okada, E.; Tarui, I.; Matsumoto, M.; Takimoto, H. The Association between Milk and Dairy Products Consumption and Nutrient Intake Adequacy among Japanese Adults: Analysis of the 2016 National Health and Nutrition Survey. Nutrients 2019, 11, 2361. [Google Scholar] [CrossRef] [PubMed]
- Rehm, C.D.; Peñalvo, J.L.; Afshin, A.; Mozaffarian, D. Dietary Intake Among US Adults, 1999–2012. JAMA 2016, 315, 2542–2553. [Google Scholar] [CrossRef] [PubMed]
- Yip, C.S.C.; Yip, Y.C.; Chan, W. Time-trend analysis of fruit and vegetable intake in Hong Kong, 2004–2016. Public Health 2019, 177, 102–111. [Google Scholar] [CrossRef] [PubMed]
- Polsky, J.Y.; Garriguet, D. Change in vegetable and fruit consumption in Canada between 2004 and 2015. Health Rep. 2020, 31, 3–12. [Google Scholar] [PubMed]
- Sasaki, S.; Katagiri, A.; Tsuji, T.; Shimoda, T.; Amano, K. Self-reported rate of eating correlates with body mass index in 18-y-old Japanese women. Int. J. Obes. Relat. Metab. Disord. 2003, 27, 1405–1410. [Google Scholar] [CrossRef] [PubMed]
- Malinauskas, B.M.; Raedeke, T.D.; Aeby, V.G.; Smith, J.L.; Dallas, M.B. Dieting practices, weight perceptions, and body composition: A comparison of normal weight, overweight, and obese college females. Nutr. J. 2006, 5, 11. [Google Scholar] [CrossRef]
- Mori, N.; Asakura, K.; Sasaki, S. Differential dietary habits among 570 young underweight Japanese women with and without a desire for thinness: A comparison with normal weight counterparts. Asia Pac. J. Clin. Nutr. 2016, 25, 97–107. [Google Scholar] [CrossRef]
- Sasaki, S.; Takahashi, T.; Iitoi, Y.; Iwase, Y.; Kobayashi, M.; Ishihara, J.; Akabane, M.; Tsugane, S. Food and Nutrient Intakes Assessed with Dietary Records for the Validation Study of a Self-administered Food Frequency Questionnaire in JPHC Study Cohort I. J. Epidemiology 2003, 13, S23–S50. [Google Scholar] [CrossRef]
- Olfert, M.D.; Barr, M.L.; Charlier, C.M.; Famodu, O.A.; Zhou, W.; Mathews, A.E.; Byrd-Bredbenner, C.; Colby, S.E. Self-Reported vs. Measured Height, Weight, and BMI in Young Adults. Int. J. Environ. Res. Public Health 2018, 15, 2216. [Google Scholar] [CrossRef]






| Year | 2001 | 2002 | 2003 | 2004 | 2005 | 2006 | 2007 | 2008 | 2009 | 2010 | |||||||||||||||||
| n | All | 1133 | 938 | 913 | 736 | 630 | 773 | 729 | 664 | 657 | 595 | ||||||||||||||||
| Underweight | 202 | 185 | 163 | 131 | 127 | 125 | 137 | 122 | 119 | 119 | |||||||||||||||||
| Normal | 796 | 664 | 647 | 550 | 431 | 565 | 524 | 472 | 465 | 405 | |||||||||||||||||
| Obese | 135 | 89 | 103 | 55 | 72 | 83 | 68 | 70 | 73 | 71 | |||||||||||||||||
| Mean | SE | Mean | SE | Mean | SE | Mean | SE | Mean | SE | Mean | SE | Mean | SE | Mean | SE | Mean | SE | Mean | SE | ||||||||
| Age (years) | Underweight | 29.7 | 0.4 | 28.3 | 0.4 | 29.3 | 0.5 | 29.5 | 0.5 | 30.2 | 0.5 | 29.5 | 0.5 | 29.8 | 0.5 | 30.3 | 0.6 | 29.6 | 0.6 | 29.1 | 0.5 | ||||||
| Normal | 30.5 | 0.4 | 30.8 | 0.4 | 30.9 | 0.5 | 30.8 | 0.5 | 30.6 | 0.5 | 31.1 | 0.5 | 31.7 | 0.5 | 31.2 | 0.6 | 31.3 | 0.6 | 31.9 | 0.5 | |||||||
| Obese | 32.3 | 0.5 | 32.8 | 0.6 | 32.3 | 0.5 | 32.1 | 0.7 | 32.8 | 0.6 | 32.3 | 0.5 | 32.5 | 0.6 | 32.3 | 0.6 | 33.5 | 0.5 | 33.5 | 0.6 | |||||||
| Body mass index (kg/m2) | Underweight | 17.5 | 0.1 | 17.5 | 0.1 | 17.7 | 0.1 | 17.5 | 0.1 | 17.5 | 0.1 | 17.6 | 0.1 | 17.6 | 0.1 | 17.5 | 0.1 | 17.6 | 0.1 | 17.5 | 0.1 | ||||||
| Normal | 20.9 | 0.1 | 20.8 | 0.1 | 20.9 | 0.1 | 20.8 | 0.1 | 20.9 | 0.1 | 20.9 | 0.1 | 20.8 | 0.1 | 20.9 | 0.1 | 20.8 | 0.1 | 21.1 | 0.1 | |||||||
| Obese | 27.9 | 0.2 | 28.2 | 0.3 | 28.5 | 0.3 | 27.8 | 0.3 | 28.6 | 0.4 | 28.8 | 0.4 | 27.7 | 0.3 | 29.1 | 0.5 | 28.8 | 0.5 | 27.9 | 0.3 | |||||||
| Step count (/day) | Underweight | 7681 | 248 | 7952 | 270 | 7379 | 293 | 7065 | 332 | 7095 | 328 | 7757 | 352 | 6762 | 291 | 6709 | 321 | 7551 | 298 | 6998 | 324 | ||||||
| Normal | 7910 | 134 | 7952 | 146 | 7633 | 137 | 7065 | 158 | 7286 | 170 | 7753 | 161 | 6936 | 159 | 6933 | 153 | 7487 | 172 | 6940 | 174 | |||||||
| Obese | 6922 | 291 | 6459 | 292 | 6500 | 308 | 6950 | 453 | 6962 | 428 | 7179 | 404 | 6934 | 482 | 5922 | 373 | 7760 | 410 | 6787 | 373 | |||||||
| Year | 2011 | 2012 | 2013 | 2014 | 2015 | 2016 | 2017 | 2018 | 2019 | Lower endpoint | Upper endpoint | APC (%) | p-value | ||||||||||||||
| n | All | 575 | 1870 | 503 | 440 | 377 | 1310 | 299 | 362 | 267 | |||||||||||||||||
| Underweight | 101 | 346 | 95 | 70 | 73 | 244 | 49 | 74 | 46 | ||||||||||||||||||
| Normal | 410 | 1301 | 342 | 306 | 273 | 886 | 217 | 245 | 186 | ||||||||||||||||||
| Obese | 64 | 223 | 66 | 64 | 31 | 180 | 33 | 43 | 35 | ||||||||||||||||||
| Mean | SE | Mean | SE | Mean | SE | Mean | SE | Mean | SE | Mean | SE | Mean | SE | Mean | SE | Mean | SE | ||||||||||
| Age (years) | Underweight | 30.2 | 0.6 | 31.1 | 0.3 | 30.7 | 0.6 | 30.1 | 0.8 | 30.1 | 0.7 | 30.7 | 0.4 | 29.4 | 0.9 | 31.8 | 0.6 | 30.0 | 0.9 | 0.4 | 0.001 | ||||||
| Normal | 31.5 | 0.6 | 31.8 | 0.3 | 31.4 | 0.6 | 30.7 | 0.8 | 31.2 | 0.7 | 31.6 | 0.4 | 31.2 | 0.9 | 30.7 | 0.6 | 30.9 | 0.9 | 2001 | 2011 | 0.4 | 0.001 | |||||
| 2011 | 2019 | −0.3 | 0.066 | ||||||||||||||||||||||||
| Obese | 32.3 | 0.8 | 33.0 | 0.3 | 32.3 | 0.7 | 31.5 | 0.7 | 30.8 | 1.0 | 32.9 | 0.4 | 32.9 | 0.8 | 32.1 | 1.0 | 32.0 | 0.8 | 0 | - | |||||||
| Body mass index (kg/m2) | Underweight | 17.6 | 0.1 | 17.6 | 0.0 | 17.5 | 0.1 | 17.5 | 0.1 | 17.6 | 0.1 | 17.6 | 0.1 | 17.5 | 0.1 | 17.6 | 0.1 | 17.7 | 0.1 | 0 | - | ||||||
| Normal | 21.0 | 0.1 | 21.0 | 0.1 | 20.9 | 0.1 | 21.0 | 0.1 | 20.8 | 0.1 | 20.9 | 0.1 | 21.0 | 0.1 | 21.1 | 0.1 | 21.2 | 0.1 | 0 | - | |||||||
| Obese | 28.2 | 0.3 | 29.0 | 0.2 | 28.5 | 0.4 | 29.0 | 0.4 | 27.8 | 0.6 | 28.7 | 0.2 | 29.1 | 0.8 | 28.2 | 0.5 | 28.3 | 0.4 | 0.1 | 0.063 | |||||||
| Step count (/day) | Underweight | 7090 | 356 | 6718 | 185 | 7161 | 350 | 6807 | 443 | 7324 | 447 | 6859 | 285 | 6179 | 459 | 6631 | 341 | 5554 | 512 | −0.9 | <0.001 | ||||||
| Normal | 7505 | 189 | 7037 | 107 | 7453 | 219 | 7247 | 230 | 7495 | 230 | 7213 | 131 | 7540 | 266 | 6831 | 228 | 7198 | 294 | −0.5 | 0.013 | |||||||
| Obese | 7195 | 496 | 7329 | 270 | 6337 | 455 | 5992 | 411 | 5787 | 662 | 6638 | 245 | 5761 | 602 | 6909 | 568 | 7071 | 751 | −0.1 | 0.823 | |||||||
Publisher’s Note: MDPI stays neutral with regard to jurisdictional claims in published maps and institutional affiliations. |
© 2022 by the authors. Licensee MDPI, Basel, Switzerland. This article is an open access article distributed under the terms and conditions of the Creative Commons Attribution (CC BY) license (https://creativecommons.org/licenses/by/4.0/).
Share and Cite
Matsumoto, M.; Tajima, R.; Fujiwara, A.; Yuan, X.; Okada, E.; Takimoto, H. Trends in Food Group Intake According to Body Size among Young Japanese Women: The 2001–2019 National Health and Nutrition Survey. Nutrients 2022, 14, 4078. https://doi.org/10.3390/nu14194078
Matsumoto M, Tajima R, Fujiwara A, Yuan X, Okada E, Takimoto H. Trends in Food Group Intake According to Body Size among Young Japanese Women: The 2001–2019 National Health and Nutrition Survey. Nutrients. 2022; 14(19):4078. https://doi.org/10.3390/nu14194078
Chicago/Turabian StyleMatsumoto, Mai, Ryoko Tajima, Aya Fujiwara, Xiaoyi Yuan, Emiko Okada, and Hidemi Takimoto. 2022. "Trends in Food Group Intake According to Body Size among Young Japanese Women: The 2001–2019 National Health and Nutrition Survey" Nutrients 14, no. 19: 4078. https://doi.org/10.3390/nu14194078
APA StyleMatsumoto, M., Tajima, R., Fujiwara, A., Yuan, X., Okada, E., & Takimoto, H. (2022). Trends in Food Group Intake According to Body Size among Young Japanese Women: The 2001–2019 National Health and Nutrition Survey. Nutrients, 14(19), 4078. https://doi.org/10.3390/nu14194078

