Non-High-Density Lipoprotein Cholesterol and Cardiovascular Outcomes in Chronic Kidney Disease: Results from KNOW-CKD Study
Abstract
:1. Introduction
2. Materials and Methods
2.1. Study Design
2.2. Data Collection from Participants
2.3. Exposure and Study Outcome
2.4. Statistics
3. Results
3.1. Baseline Characteristics
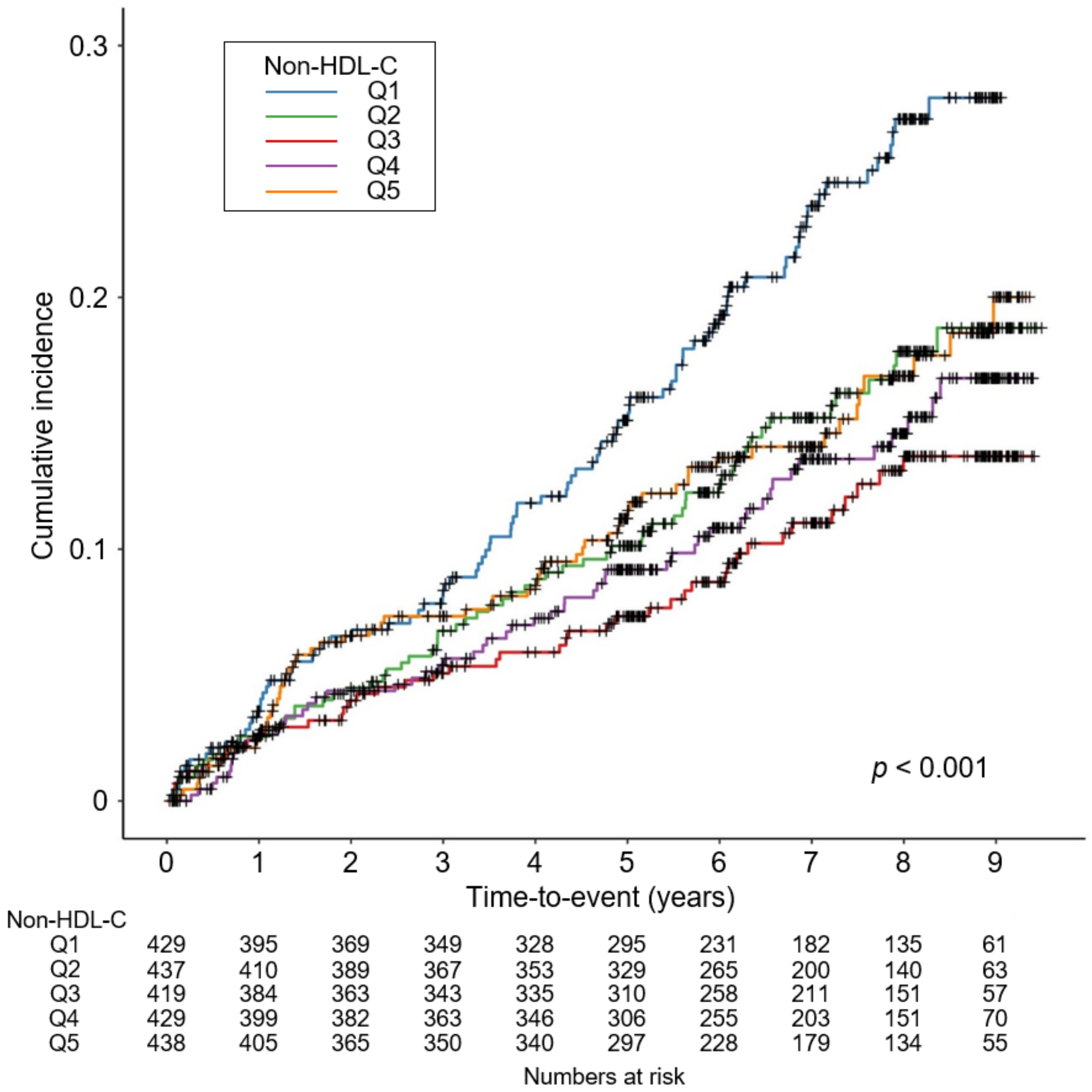
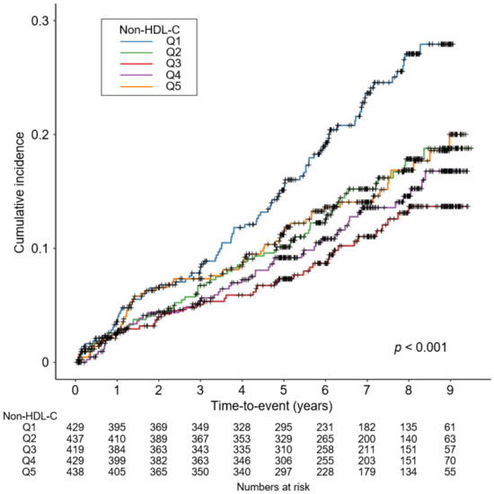
3.2. Association of Serum Non-HDL-C Level with Adverse CV Events
3.3. Sensitivity Analyses
3.4. Subgroup Analyses
4. Discussion
Supplementary Materials
Author Contributions
Funding
Institutional Review Board Statement
Informed Consent Statement
Data Availability Statement
Acknowledgments
Conflicts of Interest
References
- Jankowski, J.; Floege, J.; Fliser, D.; Böhm, M.; Marx, N. Cardiovascular Disease in Chronic Kidney Disease. Circulation 2021, 143, 1157–1172. [Google Scholar] [CrossRef] [PubMed]
- Vallianou, N.G.; Mitesh, S.; Gkogkou, A.; Geladari, E. Chronic Kidney Disease and Cardiovascular Disease: Is there Any Relationship? Curr. Cardiol. Rev. 2019, 15, 55–63. [Google Scholar] [CrossRef] [PubMed]
- Gregg, L.P.; Hedayati, S.S. Management of Traditional Cardiovascular Risk Factors in CKD: What Are the Data? Am. J. Kidney Dis. Off. J. Natl. Kidney Found. 2018, 72, 728–744. [Google Scholar] [CrossRef] [PubMed]
- Thompson, S.; James, M.; Wiebe, N.; Hemmelgarn, B.; Manns, B.; Klarenbach, S.; Tonelli, M. Cause of Death in Patients with Reduced Kidney Function. J. Am. Soc. Nephrol. JASN 2015, 26, 2504–2511. [Google Scholar] [CrossRef] [PubMed]
- Go, A.S.; Chertow, G.M.; Fan, D.; McCulloch, C.E.; Hsu, C.Y. Chronic kidney disease and the risks of death, cardiovascular events, and hospitalization. N. Engl. J. Med. 2004, 351, 1296–1305. [Google Scholar] [CrossRef] [PubMed]
- Briasoulis, A.; Bakris, G.L. Chronic kidney disease as a coronary artery disease risk equivalent. Curr. Cardiol. Rep. 2013, 15, 340. [Google Scholar] [CrossRef] [PubMed]
- Kwan, B.C.; Kronenberg, F.; Beddhu, S.; Cheung, A.K. Lipoprotein metabolism and lipid management in chronic kidney disease. J. Am. Soc. Nephrol. JASN 2007, 18, 1246–1261. [Google Scholar] [CrossRef]
- Ritz, E.; Wanner, C. Lipid abnormalities and cardiovascular risk in renal disease. J. Am. Soc. Nephrol. JASN 2008, 19, 1065–1070. [Google Scholar] [CrossRef]
- Kaysen, G.A. Lipid and lipoprotein metabolism in chronic kidney disease. J. Renal Nutr. Off. J. Council Renal Nutr. Natl. Kidney Found. 2009, 19, 73–77. [Google Scholar] [CrossRef]
- Nagao, M.; Nakajima, H.; Toh, R.; Hirata, K.I.; Ishida, T. Cardioprotective Effects of High-Density Lipoprotein Beyond its Anti-Atherogenic Action. J. Atheroscler. Thromb. 2018, 25, 985–993. [Google Scholar] [CrossRef] [Green Version]
- Ouimet, M.; Barrett, T.J.; Fisher, E.A. HDL and Reverse Cholesterol Transport. Circ. Res. 2019, 124, 1505–1518. [Google Scholar] [CrossRef]
- Lewington, S.; Whitlock, G.; Clarke, R.; Sherliker, P.; Emberson, J.; Halsey, J.; Qizilbash, N.; Peto, R.; Collins, R. Blood cholesterol and vascular mortality by age, sex, and blood pressure: A meta-analysis of individual data from 61 prospective studies with 55,000 vascular deaths. Lancet 2007, 370, 1829–1839. [Google Scholar] [CrossRef]
- Sun, L.; Clarke, R.; Bennett, D.; Guo, Y.; Walters, R.G.; Hill, M.; Parish, S.; Millwood, I.Y.; Bian, Z.; Chen, Y.; et al. Causal associations of blood lipids with risk of ischemic stroke and intracerebral hemorrhage in Chinese adults. Nat. Med. 2019, 25, 569–574. [Google Scholar] [CrossRef]
- Zhang, Y.; Tuomilehto, J.; Jousilahti, P.; Wang, Y.; Antikainen, R.; Hu, G. Total and high-density lipoprotein cholesterol and stroke risk. Stroke 2012, 43, 1768–1774. [Google Scholar] [CrossRef]
- Bowe, B.; Xie, Y.; Xian, H.; Balasubramanian, S.; Zayed, M.A.; Al-Aly, Z. High Density Lipoprotein Cholesterol and the Risk of All-Cause Mortality among U.S. Veterans. Clin. J. Am. Soc. Nephrol. CJASN 2016, 11, 1784–1793. [Google Scholar] [CrossRef]
- Wu, Z.; Huang, Z.; Lichtenstein, A.H.; Jin, C.; Chen, S.; Wu, S.; Gao, X. Different associations between HDL cholesterol and cardiovascular diseases in people with diabetes mellitus and people without diabetes mellitus: A prospective community-based study. Am. J. Clin. Nutr. 2021, 114, 907–913. [Google Scholar] [CrossRef]
- Vaziri, N.D. HDL abnormalities in nephrotic syndrome and chronic kidney disease. Nat. Rev. Nephrol. 2016, 12, 37–47. [Google Scholar] [CrossRef]
- Moradi, H.; Pahl, M.V.; Elahimehr, R.; Vaziri, N.D. Impaired antioxidant activity of high-density lipoprotein in chronic kidney disease. Transl. Res. J. Lab. Clin. Med. 2009, 153, 77–85. [Google Scholar] [CrossRef]
- Kim, J.Y.; Park, J.T.; Kim, H.W.; Chang, T.I.; Kang, E.W.; Ahn, C.; Oh, K.H.; Lee, J.; Chung, W.; Kim, Y.S.; et al. Inflammation Alters Relationship Between High-Density Lipoprotein Cholesterol and Cardiovascular Risk in Patients With Chronic Kidney Disease: Results From KNOW-CKD. J. Am. Heart Assoc. 2021, 10, e021731. [Google Scholar] [CrossRef]
- Executive Summary of The Third Report of The National Cholesterol Education Program (NCEP) Expert Panel on Detection, Evaluation, And Treatment of High Blood Cholesterol In Adults (Adult Treatment Panel III). JAMA 2001, 285, 2486–2497. [CrossRef]
- Su, X.; Kong, Y.; Peng, D. Evidence for changing lipid management strategy to focus on non-high density lipoprotein cholesterol. Lipids Health Dis. 2019, 18, 134. [Google Scholar] [CrossRef] [PubMed]
- Wongcharoen, W.; Sutthiwutthichai, S.; Gunaparn, S.; Phrommintikul, A. Is non-HDL-cholesterol a better predictor of long-term outcome in patients after acute myocardial infarction compared to LDL-cholesterol?: A retrospective study. BMC Cardiovasc. Disord. 2017, 17, 10. [Google Scholar] [CrossRef] [PubMed]
- Liu, J.; Sempos, C.; Donahue, R.P.; Dorn, J.; Trevisan, M.; Grundy, S.M. Joint distribution of non-HDL and LDL cholesterol and coronary heart disease risk prediction among individuals with and without diabetes. Diabetes Care 2005, 28, 1916–1921. [Google Scholar] [CrossRef] [PubMed]
- Di Angelantonio, E.; Gao, P.; Pennells, L.; Kaptoge, S.; Caslake, M.; Thompson, A.; Butterworth, A.S.; Sarwar, N.; Wormser, D.; Saleheen, D.; et al. Lipid-related markers and cardiovascular disease prediction. JAMA 2012, 307, 2499–2506. [Google Scholar] [CrossRef]
- Levinson, S.S. High density- and beta-lipoprotein screening for risk of coronary artery disease in the context of new findings on reverse cholesterol transport. Ann. Clin. Lab. Sci. 2002, 32, 123–136. [Google Scholar]
- Oh, K.H.; Park, S.K.; Park, H.C.; Chin, H.J.; Chae, D.W.; Choi, K.H.; Han, S.H.; Yoo, T.H.; Lee, K.; Kim, Y.S.; et al. KNOW-CKD (KoreaN cohort study for Outcome in patients With Chronic Kidney Disease): Design and methods. BMC Nephrol. 2014, 15, 80. [Google Scholar] [CrossRef]
- Suh, S.H.; Oh, T.R.; Choi, H.S.; Kim, C.S.; Bae, E.H.; Oh, K.H.; Lee, J.; Oh, Y.K.; Jung, J.Y.; Ma, S.K.; et al. Abdominal Aortic Calcification and Cardiovascular Outcomes in Chronic Kidney Disease: Findings from KNOW-CKD Study. J. Clin. Med. 2022, 11, 1157. [Google Scholar] [CrossRef]
- Suh, S.H.; Oh, T.R.; Choi, H.S.; Kim, C.S.; Bae, E.H.; Oh, K.H.; Lee, K.B.; Han, S.H.; Sung, S.; Ma, S.K.; et al. Association of Body Weight Variability With Progression of Coronary Artery Calcification in Patients With Predialysis Chronic Kidney Disease. Front. Cardiovasc. Med. 2021, 8, 794957. [Google Scholar] [CrossRef]
- Levey, A.S.; Stevens, L.A.; Schmid, C.H.; Zhang, Y.L.; Castro, A.F., 3rd; Feldman, H.I.; Kusek, J.W.; Eggers, P.; Van Lente, F.; Greene, T.; et al. A new equation to estimate glomerular filtration rate. Ann. Intern. Med. 2009, 150, 604–612. [Google Scholar] [CrossRef]
- Levey, A.S.; Eckardt, K.U.; Tsukamoto, Y.; Levin, A.; Coresh, J.; Rossert, J.; De Zeeuw, D.; Hostetter, T.H.; Lameire, N.; Eknoyan, G. Definition and classification of chronic kidney disease: A position statement from Kidney Disease: Improving Global Outcomes (KDIGO). Kidney Int. 2005, 67, 2089–2100. [Google Scholar] [CrossRef]
- Lang, R.M.; Bierig, M.; Devereux, R.B.; Flachskampf, F.A.; Foster, E.; Pellikka, P.A.; Picard, M.H.; Roman, M.J.; Seward, J.; Shanewise, J.S.; et al. Recommendations for chamber quantification: A report from the American Society of Echocardiography’s Guidelines and Standards Committee and the Chamber Quantification Writing Group, developed in conjunction with the European Association of Echocardiography, a branch of the European Society of Cardiology. J. Am. Soc. Echocardiogr. Off. Publ. Am. Soc. Echocardiogr. 2005, 18, 1440–1463. [Google Scholar] [CrossRef]
- Suh, S.H.; Oh, T.R.; Choi, H.S.; Kim, C.S.; Bae, E.H.; Oh, K.H.; Lee, J.; Jung, J.Y.; Lee, K.B.; Ma, S.K.; et al. Association Between Left Ventricular Geometry and Renal Outcomes in Patients With Chronic Kidney Disease: Findings From Korean Cohort Study for Outcomes in Patients With Chronic Kidney Disease Study. Front. Cardiovasc. Med. 2022, 9, 848692. [Google Scholar] [CrossRef]
- Suh, S.H.; Oh, T.R.; Choi, H.S.; Kim, C.S.; Bae, E.H.; Oh, K.H.; Choi, K.H.; Oh, Y.K.; Ma, S.K.; Kim, S.W. Association of Left Ventricular Diastolic Dysfunction With Cardiovascular Outcomes in Patients With Pre-dialysis Chronic Kidney Disease: Findings From KNOW-CKD Study. Front. Cardiovasc. Med. 2022, 9, 844312. [Google Scholar] [CrossRef]
- Park, C.H.; Kim, H.W.; Joo, Y.S.; Park, J.T.; Chang, T.I.; Yoo, T.H.; Park, S.K.; Chae, D.W.; Chung, W.; Kim, Y.S.; et al. Association Between Systolic Blood Pressure Variability and Major Adverse Cardiovascular Events in Korean Patients With Chronic Kidney Disease: Findings From KNOW-CKD. J. Am. Heart Assoc. 2022, 11, e025513. [Google Scholar] [CrossRef]
- Chiu, H.; Wu, P.Y.; Huang, J.C.; Tu, H.P.; Lin, M.Y.; Chen, S.C.; Chang, J.M. There is a U shaped association between non high density lipoprotein cholesterol with overall and cardiovascular mortality in chronic kidney disease stage 3-5. Sci. Rep. 2020, 10, 12749. [Google Scholar] [CrossRef]
- Chang, T.I.; Streja, E.; Ko, G.J.; Naderi, N.; Rhee, C.M.; Kovesdy, C.P.; Kashyap, M.L.; Vaziri, N.D.; Kalantar-Zadeh, K.; Moradi, H. Inverse Association Between Serum Non-High-Density Lipoprotein Cholesterol Levels and Mortality in Patients Undergoing Incident Hemodialysis. J. Am. Heart Assoc. 2018, 7, 1–13. [Google Scholar] [CrossRef]
- Leroux, G.; Lemieux, I.; Lamarche, B.; Cantin, B.; Dagenais, G.R.; Lupien, P.J.; Després, J.P. Influence of triglyceride concentration on the relationship between lipoprotein cholesterol and apolipoprotein B and A-I levels. Metab. Clin. Exp. 2000, 49, 53–61. [Google Scholar] [CrossRef]
- El Harchaoui, K.; van der Steeg, W.A.; Stroes, E.S.; Kuivenhoven, J.A.; Otvos, J.D.; Wareham, N.J.; Hutten, B.A.; Kastelein, J.J.; Khaw, K.T.; Boekholdt, S.M. Value of low-density lipoprotein particle number and size as predictors of coronary artery disease in apparently healthy men and women: The EPIC-Norfolk Prospective Population Study. J. Am. Coll. Cardiol. 2007, 49, 547–553. [Google Scholar] [CrossRef]
- Liu, Y.; Coresh, J.; Eustace, J.A.; Longenecker, J.C.; Jaar, B.; Fink, N.E.; Tracy, R.P.; Powe, N.R.; Klag, M.J. Association between cholesterol level and mortality in dialysis patients: Role of inflammation and malnutrition. JAMA 2004, 291, 451–459. [Google Scholar] [CrossRef]
- Contreras, G.; Hu, B.; Astor, B.C.; Greene, T.; Erlinger, T.; Kusek, J.W.; Lipkowitz, M.; Lewis, J.A.; Randall, O.S.; Hebert, L.; et al. Malnutrition-inflammation modifies the relationship of cholesterol with cardiovascular disease. J. Am. Soc. Nephrol. JASN 2010, 21, 2131–2142. [Google Scholar] [CrossRef]
- Levin, N.W.; Handelman, G.J.; Coresh, J.; Port, F.K.; Kaysen, G.A. Reverse epidemiology: A confusing, confounding, and inaccurate term. Semin. Dial. 2007, 20, 586–592. [Google Scholar] [CrossRef]
- Chen, S.C.; Lin, T.H.; Hsu, P.C.; Chang, J.M.; Lee, C.S.; Tsai, W.C.; Su, H.M.; Voon, W.C.; Chen, H.C. Impaired left ventricular systolic function and increased brachial-ankle pulse-wave velocity are independently associated with rapid renal function progression. Hypertens. Res. Off. J. Jpn. Soc. Hypertens. 2011, 34, 1052–1058. [Google Scholar] [CrossRef]
- Chen, S.C.; Su, H.M.; Hung, C.C.; Chang, J.M.; Liu, W.C.; Tsai, J.C.; Lin, M.Y.; Hwang, S.J.; Chen, H.C. Echocardiographic parameters are independently associated with rate of renal function decline and progression to dialysis in patients with chronic kidney disease. Clin. J. Am. Soc. Nephrol. CJASN 2011, 6, 2750–2758. [Google Scholar] [CrossRef]
- Gluba-Brzozka, A.; Franczyk, B.; Rysz, J. Cholesterol Disturbances and the Role of Proper Nutrition in CKD Patients. Nutrients 2019, 11, 2820. [Google Scholar] [CrossRef]
- Vaziri, N.D.; Navab, M.; Fogelman, A.M. HDL metabolism and activity in chronic kidney disease. Nat. Rev. Nephrol. 2010, 6, 287–296. [Google Scholar] [CrossRef]
- Yamamoto, S.; Yancey, P.G.; Ikizler, T.A.; Jerome, W.G.; Kaseda, R.; Cox, B.; Bian, A.; Shintani, A.; Fogo, A.B.; Linton, M.F.; et al. Dysfunctional high-density lipoprotein in patients on chronic hemodialysis. J. Am. Coll. Cardiol. 2012, 60, 2372–2379. [Google Scholar] [CrossRef]
- Moradi, H.; Vaziri, N.D.; Kashyap, M.L.; Said, H.M.; Kalantar-Zadeh, K. Role of HDL dysfunction in end-stage renal disease: A double-edged sword. J. Renal Nutr. Off. J. Counc. Renal Nutr. Natl. Kidney Found. 2013, 23, 203–206. [Google Scholar] [CrossRef]
- Wanner, C.; Tonelli, M. KDIGO Clinical Practice Guideline for Lipid Management in CKD: Summary of recommendation statements and clinical approach to the patient. Kidney Int. 2014, 85, 1303–1309. [Google Scholar] [CrossRef]
- Baigent, C.; Landray, M.J.; Reith, C.; Emberson, J.; Wheeler, D.C.; Tomson, C.; Wanner, C.; Krane, V.; Cass, A.; Craig, J.; et al. The effects of lowering LDL cholesterol with simvastatin plus ezetimibe in patients with chronic kidney disease (Study of Heart and Renal Protection): A randomised placebo-controlled trial. Lancet 2011, 377, 2181–2192. [Google Scholar] [CrossRef]
- Usui, T.; Nagata, M.; Hata, J.; Mukai, N.; Hirakawa, Y.; Yoshida, D.; Kishimoto, H.; Kitazono, T.; Kiyohara, Y.; Ninomiya, T. Serum Non-High-Density Lipoprotein Cholesterol and Risk of Cardiovascular Disease in Community Dwellers with Chronic Kidney Disease: The Hisayama Study. J. Atheroscler. Thromb. 2017, 24, 706–715. [Google Scholar] [CrossRef] [Green Version]



| Non-HDL-C | ||||||
|---|---|---|---|---|---|---|
| Q1 | Q2 | Q3 | Q4 | Q5 | p Value | |
| Follow-up duration (year) | 5.289 ± 2.790 | 5.399 ± 2.678 | 5.458 ± 2.804 | 5.509 ± 2.695 | 5.022 ± 2.874 | 0.087 |
| Age (year) | 56.124 ± 12.292 | 53.581 ± 12.387 | 54.084 ± 12.038 | 51.746 ± 11.666 | 53.185 ± 12.538 | <0.001 |
| Male | 294 (68.5) | 258 (59.0) | 254 (60.6) | 252 (58.7) | 263 (60.0) | 0.018 |
| Charlson comorbidity index | <0.001 | |||||
| 0–3 | 273 (63.6) | 305 (69.8) | 306 (73.0) | 339 (79.0) | 311 (71.0) | |
| 4–5 | 146 (34.0) | 123 (28.1) | 109 (26.0) | 83 (19.3) | 122 (27.9) | |
| 6–7 | 10 (2.3) | 9 (2.1) | 4 (1.0) | 7 (1.6) | 4 (0.9) | |
| ≥8 | 0 (0.0) | 0 (0.0) | 0 (0.0) | 0 (0.0) | 1 (0.2) | |
| Primary renal disease | 0.008 | |||||
| DM | 135 (31.5) | 118 (27.0) | 85 (20.3) | 89 (20.8) | 118 (26.9) | |
| HTN | 86 (20.0) | 78 (17.8) | 87 (20.8) | 81 (18.9) | 94 (21.5) | |
| GN | 110 (25.6) | 143 (32.7) | 146 (34.8) | 145 (33.9) | 141 (32.2) | |
| TID | 4 (0.9) | 1 (0.2) | 2 (0.5) | 4 (0.9) | 2 (0.5) | |
| PKD | 57 (13.3) | 72 (16.5) | 70 (16.7) | 81 (18.9) | 60 (13.7) | |
| Others | 37 (8.6) | 25 (5.7) | 29 (6.9) | 28 (6.5) | 23 (5.3) | |
| Current smoker | 66 (15.4) | 75 (17.2) | 58 (13.8) | 67 (15.7) | 75 (17.2) | 0.649 |
| Medication | ||||||
| ACEIs/ARBs | 359 (83.7) | 372 (85.1) | 355 (84.7) | 383 (89.3) | 376 (85.8) | 0.174 |
| Diuretics | 142 (33.1) | 147 (33.6) | 117 (27.9) | 116 (27.0) | 164 (37.4) | 0.005 |
| Anti-HTN drugs ≥3 | 131 (30.5) | 125 (28.6) | 113 (27.0) | 124 (28.9) | 137 (31.3) | 0.667 |
| Statins | 319 (74.4) | 266 (60.9) | 209 (49.9) | 141 (32.9) | 183 (41.8) | <0.001 |
| BMI (kg/m2) | 24.160 ± 3.208 | 24.234 ± 3.331 | 24.521 ± 3.265 | 24.852 ± 3.493 | 25.248 ± 3.645 | <0.001 |
| SBP (mmHg) | 125.371 ± 15.476 | 127.000 ± 15.409 | 127.150 ± 15.647 | 129.550 ± 16.920 | 129.986 ± 17.032 | <0.001 |
| DBP (mmHg) | 74.028 ± 10.465 | 76.124 ± 10.184 | 77.033 ± 10.525 | 78.811 ± 12.113 | 78.542 ± 11.425 | <0.001 |
| Laboratory findings | ||||||
| Hemoglobin (g/dL) | 12.444 ± 1.981 | 12.677 ± 2.086 | 12.939 ± 1.930 | 13.198 ± 1.948 | 12.940 ± 2.079 | <0.001 |
| Albumin (g/dL) | 4.209 ± 0.340 | 4.156 ± 0.370 | 4.217 ± 0.363 | 4.247 ± 0.379 | 4.050 ± 0.595 | <0.001 |
| Total cholesterol (mg/dL) | 129.557 ± 19.156 | 154.018 ± 16.840 | 168.501 ± 14.665 | 190.751 ± 15.615 | 227.007 ± 31.829 | <0.001 |
| HDL-C (mg/dL) | 50.426 ± 18.179 | 50.954 ± 15.841 | 47.666 ± 13.986 | 49.893 ± 14.220 | 47.244 ± 14.151 | <0.001 |
| LDL-C (mg/dL) | 62.022 ± 13.079 | 80.811 ± 12.493 | 94.673 ± 16.827 | 109.538 ± 17.291 | 136.941 ± 29.268 | <0.001 |
| TG (mg/dL) | 107.943 ± 52.589 | 132.076 ± 65.554 | 150.701 ± 73.912 | 171.967 ± 98.158 | 224.707 ± 135.411 | <0.001 |
| Fasting glucose (mg/dL) | 107.498 ± 32.216 | 108.429 ± 39.084 | 111.365 ± 41.649 | 110.955 ± 38.180 | 117.199 ± 46.666 | 0.007 |
| 25(OH) Vitamin D (ng/mL) | 18.800 ± 8.221 | 17.933 ± 7.500 | 18.426 ± 8.572 | 17.860 ± 8.120 | 16.138 ± 6.935 | <0.001 |
| hs-CRP (mg/dL) | 0.600 {0.200, 1.600} | 0.500 {0.200, 1.200} | 0.600 {0.300, 1.700} | 0.700 {0.300, 1.810} | 0.900 {0.340, 2.100} | 0.101 |
| Spot urine ACR (mg/g) | 282.785 {78.077, 751.305} | 382.181 {83.099, 1097.469} | 277.934 {44.706, 882.932} | 336.845 {88.129. 938.082} | 529.303 {97.796, 1908.242} | <0.001 |
| Creatinine (mg/dL) | 1.974 ± 1.272 | 1.856 ± 1.159 | 1.781 ± 1.111 | 1.711 ± 1.177 | 1.779 ± 1.033 | 0.022 |
| eGFR (mL/min./1.73 m2) | 45.966 ± 27.908 | 49.238 ± 30.583 | 50.965 ± 29.550 | 54.762 ± 30.663 | 51.207 ± 31.576 | <0.001 |
| CKD stages | 0.039 | |||||
| Stage 1 | 50 (11.7) | 69 (15.8) | 69 (16.5) | 92 (21.4) | 68 (15.5) | |
| Stage 2 | 71 (16.6) | 78 (17.8) | 81 (19.3) | 91 (21.2) | 86 (19.6) | |
| Stage 3a | 72 (16.8) | 65 (14.9) | 71 (16.9) | 74 (17.2) | 71 (16.2) | |
| Stage 3b | 99 (23.1) | 95 (21.7) | 88 (21.0) | 74 (17.2) | 97 (22.1) | |
| Stage 4 | 106 (24.7) | 97 (22.2) | 89 (21.2) | 70 (16.3) | 94 (21.5) | |
| Stage 5 | 31 (7.2) | 33 (7.6) | 21 (5.0) | 28 (6.5) | 22 (5.0) | |
| Non-HDL-C | Events, n (%) | Model 1 | Model 2 | Model 3 | Model 4 | |||||
|---|---|---|---|---|---|---|---|---|---|---|
| HR (95%CIs) | p Value | HR (95%CIs) | p Value | HR (95%CIs) | p Value | HR (95%CIs) | p Value | |||
| Composite CV event | Q1 | 58 (13.5) | 2.208 (1.465, 3.3328) | <0.001 | 1.840 (1.280, 2.646) | <0.001 | 1.786 (1.228, 2.598) | 0.002 | 1.408 (0.837, 2.368) | 0.197 |
| Q2 | 40 (9.2) | 1.548 (1.006, 2.384) | 0.047 | 1.473 (0.998, 2.173) | 0.051 | 1.404 (0.946, 2.084) | 0.092 | 1.432 (0.909, 2.257) | 0.121 | |
| Q3 | 26 (6.2) | Reference | Reference | Reference | Reference | |||||
| Q4 | 32 (7.5) | 1.259 (0.800, 1.982) | 0.320 | 1.423 (0.951, 2.131) | 0.087 | 1.293 (0.859, 1.947) | 0.217 | 1.512 (0.926, 2.469) | 0.098 | |
| Q5 | 42 (9.6) | 1.558 (1.004, 2.418) | 0.048 | 1.542 (1.042, 2.281) | 0.030 | 1.486 (0.995, 2.219) | 0.053 | 2.162 (1.174, 3.981) | 0.013 | |
| Non-HDL-C | Events, n (%) | Model 1 | Model 2 | Model 3 | Model 4 | |||||
|---|---|---|---|---|---|---|---|---|---|---|
| HR (95%CIs) | p Value | HR (95%CIs) | p Value | HR (95%CIs) | p Value | HR (95%CIs) | p Value | |||
| All CV events | Q1 | 25 (6.0) | 2.167 (1.242, 3.781) | 0.006 | 1.952 (1.216, 3.314) | 0.006 | 1.835 (1.127, 2.990) | 0.014 | 1.266 (0.629, 2.549) | 0.509 |
| Q2 | 56 (13.1) | 1.598 (0.894, 2.856) | 0.114 | 1.449 (0.870, 2.414) | 0.155 | 1.387 (0.827, 2.325) | 0.215 | 1.445 (0.785, 2.660) | 0.238 | |
| Q3 | 36 (8.2) | Reference | Reference | Reference | Reference | |||||
| Q4 | 31 (7.2) | 1.235 (0.666, 2.288) | 0.503 | 1.388 (0.818, 2.353) | 0.224 | 1.298 (0.761, 2.215) | 0.338 | 1.547 (0.800, 2.988) | 0.195 | |
| Q5 | 39 (8.9) | 1.864 (1.050, 1.068) | 0.034 | 1.684 (1.019, 2.783) | 0.042 | 1.644 (0.984, 2.746) | 0.058 | 3.350 (1.533, 7.321) | 0.002 | |
| 6-point MACE | Q1 | 14 (3.3) | 2.906 (1.420, 5.945) | 0.004 | 2.655 (1.451, 4.856) | 0.002 | 2.279 (1.227, 4.233) | 0.009 | 1.467 (0.603, 3.568) | 0.398 |
| Q2 | 44 (10.3) | 2.304 (1.107, 4.797) | 0.026 | 2.021 (1.064, 3.839) | 0.031 | 1.774 (0.928, 3.392) | 0.083 | 1.862 (0.859, 4.034) | 0.115 | |
| Q3 | 28 (6.4) | Reference | Reference | Reference | Reference | |||||
| Q4 | 22 (5.1) | 1.559 (0.707, 3.435) | 0.271 | 1.834 (0.937, 3.591) | 0.077 | 1.768 (0.896, 3.489) | 0.100 | 2.124 (0.912, 4.949) | 0.081 | |
| Q5 | 27 (6.2) | 2.239 (1.060, 4.728) | 0.035 | 2.073 (1.087, 3.955) | 0.027 | 2.163 (1.035, 4.168) | 0.021 | 4.298 (1.597, 11.569) | 0.004 | |
| All-cause death | Q1 | 22 (5.3) | 2.062 (1.210, 3.512) | 0.008 | 1.663 (0.999, 2.766) | 0.050 | 1.606 (0.947, 2.723) | 0.079 | 1.669 (0.828, 3.363) | 0.152 |
| Q2 | 47 (11.0) | 1.515 (0.866, 2.648) | 0.145 | 1.514 (0.883, 2.598) | 0.132 | 1.270 (0.733, 2.203) | 0.394 | 1.461 (0.804, 2.655) | 0.213 | |
| Q3 | 33 (7.6) | Reference | Reference | Reference | Reference | |||||
| Q4 | 27 (6.3) | 1.228 (0.682, 2.211) | 0.494 | 1.492 (0.848, 2.627) | 0.165 | 1.332 (0.749, 2.366) | 0.329 | 1.467 (0.771, 2.794) | 0.243 | |
| Q5 | 26 (5.9) | 1.105 (0.603, 2.025) | 0.747 | 1.253 (0.710, 2.211) | 0.437 | 1.133 (0.636, 2.019) | 0.672 | 0.891 (0.374, 2.122) | 0.794 | |
| Non-HDL-C | Model 1 | Model 2 | Model 3 | Model 4 | |||||
|---|---|---|---|---|---|---|---|---|---|
| HR (95%CIs) | p Value | HR (95%CIs) | p Value | HR (95%CIs) | p Value | HR (95%CIs) | p Value | ||
| Composite CV event | Q1 | 2.242 (1.563, 3.217) | <0.001 | 1.790 (1.242, 2.581) | 0.002 | 1.666 (1.140, 2.434) | 0.008 | 1.458 (0.891, 2.386) | 0.134 |
| Q2 | 1.439 (0.975, 2.125) | 0.067 | 1.517 (1.025, 2.245) | 0.037 | 1.436 (0.970, 2.126) | 0.070 | 1.527 (0.980, 2.377) | 0.061 | |
| Q3 | Reference | Reference | Reference | Reference | |||||
| Q4 | 1.120 (0.801, 1.793) | 0.378 | 1.441 (0.960, 2.164) | 0.078 | 1.329 (0.883, 1.999) | 0.173 | 1.527 (0.925, 2.520) | 0.098 | |
| Q5 | 1.486 (1.002, 2.023) | 0.048 | 1.537 (1.038, 2.276) | 0.032 | 1.477 (0.934, 2.218) | 0.060 | 2.250 (1.178, 4.297) | 0.014 | |
| Non-HDL-C | Events, n (%) | Unadjusted HR (95%CIs) | p for Interaction | Adjusted HR (95%CIs) | p for Interaction | |
|---|---|---|---|---|---|---|
| Age <60 years | Q1 | 32 (13.3) | 2.332 (1.279, 4.250) | 0.559 | 1.641 (0.669, 4.025) | 0.486 |
| Q2 | 25 (9.1) | 1.525 (0.814, 2.857) | 1.662 (0.796, 3.468) | |||
| Q3 | 16 (5.9) | Reference | Reference | |||
| Q4 | 27 (8.8) | 1.538 (0.828, 2.854) | 1.656 (0.784, 3.498) | |||
| Q5 | 20 (6.9) | 1.254 (0.650, 2.420) | 1.486 (0.531, 4.158) | |||
| Age ≥60 years | Q1 | 61 (32.4) | 1.821 (1.157, 2.856) | 1.328 (0.680, 2.594) | ||
| Q2 | 37 (23.0) | 1.281 (0.780, 2.104) | 1.379 (0.755, 2.517) | |||
| Q3 | 27 (18.4) | Reference | Reference | |||
| Q4 | 26 (21.3) | 1.083 (0.632, 1.856) | 1.458 (0.738, 2.881) | |||
| Q5 | 40 (26.8) | 1.584 (0.972, 2.581) | 2.568 (1.176, 5.605) | |||
| Male | Q1 | 74 (25.2) | 2.351 (1.530, 3.613) | 0.838 | 1.129 (0.611, 2.088) | 0.205 |
| Q2 | 43 (16.7) | 1.512 (0.944, 2.422) | 1.366 (0.793, 2.353) | |||
| Q3 | 29 (11.4) | Reference | Reference | |||
| Q4 | 36 (14.3) | 1.248 (0.765, 2.035) | 1.836 (1.012, 3.332) | |||
| Q5 | 45 (17.1) | 1.637 (1.027, 2.612) | 3.209 (1.563, 6.587) | |||
| Female | Q1 | 19 (14.1) | 1.664 (0.834, 3.319) | 2.724 (0.996, 7.447) | ||
| Q2 | 19 (10.6) | 1.191 (0.597, 2.376) | 1.449 (0.617, 3.399) | |||
| Q3 | 14 (8.5) | Reference | Reference | |||
| Q4 | 17 (9.6) | 1.116 (0.550, 2.264) | 1.252 (0.502, 3.124) | |||
| Q5 | 15 (8.6) | 1.045 (0.504, 2.165) | 1.030 (0.305, 3.484) | |||
| BMI <23 kg/m2 | Q1 | 31 (19.9) | 1.910 (1.031, 3.538) | 0.206 | 1.613 (0.610, 4.265) | 0.554 |
| Q2 | 28 (17.4) | 1.545 (0.825, 2.892) | 1.912 (0.865, 4.225) | |||
| Q3 | 15 (10.8) | Reference | Reference | |||
| Q4 | 9 (7.3) | 0.644 (0.282, 1.472) | 0.912 (0.347, 2.417) | |||
| Q5 | 15 (12.7) | 1.350 (0.660, 2.762) | 1.518 (0.426, 5.406) | |||
| BMI ≥23 kg/m2 | Q1 | 62 (22.9) | 2.402 (1.537, 3.753) | 1.389 (0.721, 2.676) | ||
| Q2 | 34 (12.6) | 1.277 (0.774, 2.105) | 1.248 (0.691, 2.252) | |||
| Q3 | 28 (10.1) | Reference | Reference | |||
| Q4 | 44 (14.6) | 1.450 (0.903, 2.330) | 1.930 (1.061, 3.508) | |||
| Q5 | 45 (14.1) | 1.458 (0.909, 2.336) | 2.718 (1.299, 5.684) | |||
| eGFR ≥45 mL/min./1.73 m2 | Q1 | 32 (18.1) | 2.647 (1.413, 4.961) | 0.601 | 2.688 (0.955, 7.562) | 0.859 |
| Q2 | 21 (10.6) | 1.503 (0.764, 2.957) | 2.013 (0.869, 4.663) | |||
| Q3 | 14 (6.7) | Reference | Reference | |||
| Q4 | 21 (8.5) | 1.211 (0.616, 2.381) | 1.844 (0.765, 4.442) | |||
| Q5 | 17 (8.1) | 1.234 (0.608, 2.504) | 2.593 (0.784, 8.578) | |||
| eGFR <45 mL/min./1.73 m2 | Q1 | 61 (24.2) | 1.917 (1.232, 2.984) | 1.213 (0.650, 2.265) | ||
| Q2 | 41 (17.2) | 1.301 (0.809, 2.094) | 1.232 (0.702, 2.161) | |||
| Q3 | 29 (13.9) | Reference | Reference | |||
| Q4 | 32 (17.6) | 1.334 (0.807, 2.205) | 1.601 (0.870, 2.946) | |||
| Q5 | 43 (18.8) | 1.518 (0.948, 2.432) | 2.185 (1.033, 4.625) | |||
| Spot urine ACR <300 mg/g | Q1 | 44 (20.8) | 2.739 (1.565, 4.793) | 0.286 | 2.242 (1.059, 5.227) | 0.552 |
| Q2 | 28 (15.2) | 1.981 (1.084, 3.620) | 1.978 (0.993, 3.942) | |||
| Q3 | 17 (8.1) | Reference | Reference | |||
| Q4 | 17 (8.7) | 1.055 (0.538, 2.066) | 1.109 (0.783, 2.448) | |||
| Q5 | 19 (12.0) | 1.565 (0.813, 3.011) | 2.032 (0.783, 5.272) | |||
| Spot urine ACR ≥300 mg/g | Q1 | 44 (21.7) | 1.741 (1.065, 2.844) | 1.043 (0.511, 2.130) | ||
| Q2 | 33 (14.2) | 1.075 (0.639, 1.808) | 1.146 (0.617, 2.126) | |||
| Q3 | 25 (12.8) | Reference | Reference | |||
| Q4 | 34 (15.4) | 1.199 (0.715, 2.009) | 1.723 (0.911, 3.258) | |||
| Q5 | 40 (15.1) | 1.259 (0.764, 2.076) | 2.147 (0.943, 4.889) |
Publisher’s Note: MDPI stays neutral with regard to jurisdictional claims in published maps and institutional affiliations. |
© 2022 by the authors. Licensee MDPI, Basel, Switzerland. This article is an open access article distributed under the terms and conditions of the Creative Commons Attribution (CC BY) license (https://creativecommons.org/licenses/by/4.0/).
Share and Cite
Suh, S.H.; Oh, T.R.; Choi, H.S.; Kim, C.S.; Bae, E.H.; Ma, S.K.; Oh, K.-H.; Han, S.H.; Kim, S.W., on behalf of the Korean Cohort Study for Outcomes in Patients with Chronic Kidney Disease (KNOW-CKD) Investigators. Non-High-Density Lipoprotein Cholesterol and Cardiovascular Outcomes in Chronic Kidney Disease: Results from KNOW-CKD Study. Nutrients 2022, 14, 3792. https://doi.org/10.3390/nu14183792
Suh SH, Oh TR, Choi HS, Kim CS, Bae EH, Ma SK, Oh K-H, Han SH, Kim SW on behalf of the Korean Cohort Study for Outcomes in Patients with Chronic Kidney Disease (KNOW-CKD) Investigators. Non-High-Density Lipoprotein Cholesterol and Cardiovascular Outcomes in Chronic Kidney Disease: Results from KNOW-CKD Study. Nutrients. 2022; 14(18):3792. https://doi.org/10.3390/nu14183792
Chicago/Turabian StyleSuh, Sang Heon, Tae Ryom Oh, Hong Sang Choi, Chang Seong Kim, Eun Hui Bae, Seong Kwon Ma, Kook-Hwan Oh, Seung Hyeok Han, and Soo Wan Kim on behalf of the Korean Cohort Study for Outcomes in Patients with Chronic Kidney Disease (KNOW-CKD) Investigators. 2022. "Non-High-Density Lipoprotein Cholesterol and Cardiovascular Outcomes in Chronic Kidney Disease: Results from KNOW-CKD Study" Nutrients 14, no. 18: 3792. https://doi.org/10.3390/nu14183792
APA StyleSuh, S. H., Oh, T. R., Choi, H. S., Kim, C. S., Bae, E. H., Ma, S. K., Oh, K.-H., Han, S. H., & Kim, S. W., on behalf of the Korean Cohort Study for Outcomes in Patients with Chronic Kidney Disease (KNOW-CKD) Investigators. (2022). Non-High-Density Lipoprotein Cholesterol and Cardiovascular Outcomes in Chronic Kidney Disease: Results from KNOW-CKD Study. Nutrients, 14(18), 3792. https://doi.org/10.3390/nu14183792

