Abstract
The Global Leadership Initiative on Malnutrition (GLIM) has achieved a consensus for the diagnosis of malnutrition in recent years. This study aims to determine the prognostic effect of the GLIM after cardiac surgery. A total of 603 patients in the training cohort and 258 patients in the validation cohort were enrolled in this study. Perioperative characteristics and follow-up data were collected. A nomogram based on independent prognostic predictors was developed for survival prediction. In total, 114 (18.9%) and 48 (18.6%) patients were defined as being malnourished according to the GLIM criteria in the two cohorts, respectively. Multivariate regression analysis showed that GLIM-defined malnutrition was an independent risk factor of total complication (OR 1.661, 95% CI: 1.063–2.594) and overall survival (HR 2.339, 95% CI: 1.504–3.637). The c-index was 0.72 (95% CI: 0.66–0.79) and AUC were 0.800, 0.798, and 0.780 for 1-, 2-, and 3-year survival prediction, respectively. The calibration curves of the nomogram fit well. In conclusion, GLIM criteria can efficiently identify malnutrition and has a prognostic effect on clinical outcomes after cardiac surgery. GLIM-based nomogram has favorable performance in survival prediction.
1. Introduction
As a global public health problem, malnutrition is a major concern in cardiothoracic surgery. Growing evidence suggests that malnutrition significantly affects postoperative recovery in patients who underwent cardiac surgery, and these patients with malnutrition tend to have longer postoperative hospital stays, longer intensive care unit (ICU) stays, and poorer long-term outcomes [,,]. Although there is an increasing awareness of the vital function of malnutrition in determining postoperative outcomes in patients who underwent cardiac surgery, the current predominant tool predicting postoperative survival before cardiac surgery [], the European System for Cardiac Operative Risk Evaluation II (EuroSCORE II) [], does not take nutritional index into consideration.
Recently, the Global Leadership Initiative on Malnutrition (GLIM) has reached a global consensus on malnutrition diagnosis in clinical settings []. The GLIM is a two-step approach to diagnose malnutrition, which consists of phenotypic and etiological diagnoses. Recent studies have demonstrated the effectiveness of the GLIM in identifying malnutrition and predicting prognosis among various clinical contexts [,,].
Several predictive models involving the GLIM have been developed to optimize nutritional-status-related prognostic assessment of different patients [,,]. However, for cardiothoracic patients, there were few such studies. Therefore, our study is the first study to validate the GLIM in patients who underwent cardiac surgery. We also investigated the role of the GLIM in predicting short- and long-term outcomes after cardiac surgery. In addition, a nomogram model was developed to refine the GLIM for predicting long-term survival in cardiac surgery patients.
2. Materials and Methods
2.1. Patients
This retrospective, observational study was conducted at the Department of Cardio-Thoracic Surgery, Shanghai Tenth People’s Hospital (registration number: ChiCTR2200056468) from December 2015 to March 2021. All patients who underwent coronary artery bypass grafting (CABG) and/or valve surgery through midline sternotomy were eligible for this study. The inclusion criteria were as follows: (1) Age ≥18 years old; (2) underwent first major cardiac surgery via midline sternotomy; (3) available for nutritional screening on admission and preoperative chest computed tomography (CT) images. Emergency surgery patients were excluded from this study. This study was conducted according to the guidelines of the Declaration of Helsinki, and ethical approval was obtained from the Ethics Committee of Shanghai Tenth People’s Hospital.
2.2. Data Collection
The following data were prospectively collected including (1) preoperative baseline, including general information, cardiac function-related information, laboratory data, existing comorbidity, and medical history, which were collected within 48 h after admission; (2) operative details, including surgical type, type of involved valves, number of bypassed vessels, operative time, cardiopulmonary bypass (CPB) time, and aortic cross-clamp time; (3) short-term postoperative complications within 30 days of operation, which were classified according to the Clavien-Dindo classification. Only complications classified as grade II or above were analyzed.
2.3. Follow Up
Long-term outcomes were acquired by telephone interviews or outpatient visits, which were performed 1 month after surgery, and then every 3 months for the first 2 years, and every 6 months after that. The last follow-up date was 31 January 2022. Overall survival (OS) was calculated from the date of surgery to the date of death from any cause.
2.4. Muscle Mass Measurements
Preoperative chest CT images at the 12th thoracic vertebra (T12) level were processed by INFINITT PACS software (version 3.0.11.3, Seoul, Korea) for obtaining muscle mass. Skeletal muscle tissues were identified by a Hounsfield unit (HU) thresholds range of −29 to +150 HU and normalized by height (m2) to acquire T12 SMI (cm2/m2). The total skeletal muscles at T12 level contained the rectus abdominis, external oblique, internal oblique, latissimus dorsi, intercostal, and erector spinae muscles. Consistent with our previous study, cutoff values of T12 SMI were referenced from a large-scale study, which were 28.8 cm2/m2 for male and 20.8 cm2/m2 for female, respectively [,].
2.5. Assessment of Nutritional Status
According to the GLIM criteria, we defined malnutrition using a two-step approach. First, all the patients received nutritional screening by Malnutrition Universal Screening Tool (MUST), and a patient with a MUST score ≥1 was considered at risk of malnutrition. Then, the combined criteria were required to confirm the diagnosis of malnutrition, which consisted of at least one of the three phenotypic criteria (non-volitional weight loss, low body mass index [BMI], and reduced muscle mass) and at least one of the two etiologic criteria (reduced food intake or assimilation, and inflammation or disease burden). Since patients who underwent CABG and/or valve surgery had already met one etiologic criterion (disease burden) [,], we diagnosed malnutrition based on the phenotypic criteria in the present study.
For the phenotypic criteria, non-volitional weight loss was defined in patients with unintentional weight loss >5% within the past 6 months, or >10% beyond 6 months; BMI < 18.5 kg/m2 was defined as low BMI if patients were younger than 70 y, and BMI < 20 kg/m2 was defined as low BMI for those aged 70 y or older []. Muscle mass was evaluated by SMI, and calculated from chest CT images, which has been described above.
2.6. Statistical Analysis
Continuous variables with a normal distribution were expressed as means and standard deviations (SDs) and compared using the Student’s t-test. Quantitative variables with non-normal distribution were expressed as medians and interquartile ranges (IQRs) and compared using the Mann–Whitney U test. Categorical variables were expressed as numbers and proportions and compared using Chi-squared or Fisher’s exact test. The training cohort and validation cohort were obtained by random resampling with a 70/30 split ratio. Risk factors for postoperative complication in the training cohort were assessed by univariate analysis. Factors with p < 0.1 were included in the multivariate analysis and forward stepwise selection methodology was performed. Kaplan–Meier curves and the Cox proportional hazards model were performed to analyze long-term survival. Based on the result of the multivariate Cox regression, a nomogram was formulated to predict 1-, 2-, and 3-year OS rates. The discriminative ability and predictive accuracy were evaluated by c-index, the area under receiver operating characteristic curve (AUC) and calibration curve. Statistical significance was set at a 2-tailed p value < 0.05. All statistical analysis was performed with SPSS software version 26 (Armonk, NY, USA) and R version 4.1.3 (Vienna, Austria).
3. Results
3.1. Baseline Characteristics
Between December 2015 and March 2021, a total of 917 patients underwent CABG and/or valve surgery in our institution. In total, 56 patients who did not meet the inclusion criteria were excluded, and all remaining 861 patients agreed to be enrolled in this study (Figure S1 in Supplementary Materials). Patients were randomly split into the training cohort (n = 603) or the validation cohort (n = 258). Overall, 114 (18.9%) and 48 (18.6%) patients were defined as being malnourished according to the GLIM criteria in the training cohort and the validation cohort, respectively (Table 1). Reduced muscle mass was the most common phenotypic criterion of the GLIM among patients who underwent cardiac surgery.

Table 1.
Numbers of patients with malnutrition meeting each GLIM phenotypical criteria.
The preoperative characteristics of the study subjects are shown in Table 2. The preoperative baseline of patients in the malnutrition group and non-malnutrition group were comparable. Patients with malnutrition had lower BMI, red blood cells, hemoglobin, lymphocytes, and higher C-reactive protein and platelet-to-lymphocyte ratio than patients without malnutrition in both cohorts. Table 3 presents the intraoperative characteristics of study subjects. The mean operative time (211 [IQR 57] vs. 215 [IQR 61] min, 214 [IQR 60] vs. 213 [IQR 56] min) and CPB time (80.5 [IQR 52] vs. 81 [IQR 54] min, 76 [IQR 52] vs. 82 [IQR 41] min) were comparable between patients with and without malnutrition in both cohorts.

Table 2.
Preoperative characteristics of study subjects.

Table 3.
Intraoperative characteristics of study subjects.
3.2. Relationship between GLIM-Defined Malnutrition and Short-Term Outcomes
Postoperative complications occurred in 268 (44.4%) of the patients in the training cohort (Table 4). Patients with malnutrition tended to have higher incidence of postoperative complications (53.5% vs. 42.3%, p = 0.031) and prolonged ICU stays (21.9% vs. 13.7%, p = 0.028) than patients without malnutrition. This may lead to higher medical costs (131,751 [IQR 56,718] vs. 130,661 [IQR 42,482] CNY, p = 0.084), though without statistical significance. GLIM-defined malnutrition showed a significant relationship with postoperative complication in the univariate and multivariate logistic regression (Table 5). Additionally, age (p < 0.001), gender (female, p = 0.006), left ventricular ejection (LVEF) ≤ 50% (p = 0.001), EuroSCORE II ≥ 4% (p = 0.013), cerebrovascular disease (p = 0.039), and operative time (p < 0.001) remained to be independent risk factors of postoperative complication.

Table 4.
Details for postoperative outcomes in the training cohort.

Table 5.
Risk factors for postoperative complications in the training cohort.
3.3. Relationship between GLIM-Defined Malnutrition and OS
Over a median of 3.34 years (IQR 2.20–4.52) follow-up period, 89 (14.8%) patients died in the training cohort. Figure 1 demonstrated that patients with malnutrition had a worse OS than patients without malnutrition in Kaplan–Meier curves (Log-rank: p < 0.0001). Clinical variables and serum markers were compared in the Cox regression (Table 6). After multivariable adjustment by various parameters including age (p < 0.001), cerebrovascular disease (p = 0.009), and CPB time (p < 0.001), GLIM-defined malnutrition remained to be an independent prognostic factor for OS in patients who underwent cardiac surgery in the training cohort (p < 0.001).

Figure 1.
Kaplan–Meier curve of overall survival stratified by GLIM criteria.

Table 6.
Risk factors for overall survival in the training cohort.
3.4. Development and Validation of a Prognostic Nomogram
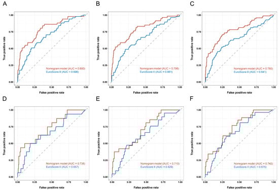
A nomogram integrating four selected independent predictors in Table 6 was developed for OS prediction (Figure 2). The points scale of each variable in the nomogram was summed to a total score, which was projected on the bottom scale to indicate the probability of 1-, 2-, and 3-year survival. C-index of the nomogram was 0.72 (95% CI: 0.66–0.79) in the training cohort and 0.72 (95%CI: 0.63–0.82) in the validation cohort. Furthermore, the nomogram yielded an AUC of 0.800, 0.798, and 0.780 in the training cohort and 0.738, 0.710, and 0.742 in the validation cohort for predicting 1-, 2-, and 3-year OS (Figure 3A,B). The calibration curves of the nomogram revealed good agreement between predicted OS and actual observed survival in 1 and 2 years (Figure 4A–D). We also compared the nomogram with EuroSCORE II, and the predictive ability in long-term survival of the nomogram was higher (Figure 5A–F). Taken together, the results demonstrated that the nomogram had obvious distinguishing and calibration performance.

Figure 2.
A nomogram model for survival prediction. CPB: cardiopulmonary bypass.

Figure 3.
Area under the ROC curves (AUC) for survival prediction in the training cohort (A) and validation cohort (B). ROC: receiver operator characteristic.

Figure 4.
The calibration curve for survival prediction at 1 (A), 2 years (B) in the training cohort and at 1 (C), 2 (D) years in the validation cohort.

Figure 5.
Area under the ROC curves (AUC) of EuroSCORE II and the nomogram for survival prediction at 1 (A), 2 (B), or 3 (C) years in the training cohort and at 1 (D), 2 (E), and 3 (F) years in the validation cohort. ROC: receiver operator characteristic.
4. Discussion
To our knowledge, this is the first study to develop and validate the prognostic effect of the GLIM in patients who underwent cardiac surgery. This present study identified that the incidence of GLIM-defined malnutrition was 18.8% in our population. GLIM-defined malnutrition resulted in higher incidence of postoperative complications and prolonged ICU stays. Compared to patients without malnutrition, patients with malnutrition had poorer OS after cardiac surgery. A nomogram containing the GLIM as well as variables such as CPB time and age was developed. C-index, receiver operator characteristic (ROC) curves and calibration curves showed that our nomogram has good performance in survival prediction.
The stress response caused by surgical trauma leads to hyperglycemia and whole-body protein catabolism [,]. Recovery during the postoperative period is always accompanied by increasing protein demands, meeting the needs of wound healing, functional recovery, and proteins synthesis contributed to the immune response []. Assessing preoperative nutritional status and identifying patients with malnutrition have important implications for guiding nutritional support over the perioperative period []. Patients who undergo cardiac surgery usually suffer greater surgical trauma than patients who undergo other surgical procedures. Especially for the patients who require CPB, life-threatening complications triggered by systemic inflammatory response syndrome are more likely to occur among them, and additional nutritional support is necessary for those patients []. The ESPEN guidelines suggest that clinical assessment should be performed to identify malnutrition, which is vital to guide nutritional intervention and improve postoperative outcomes [,]. Since cardiac surgical candidates who are malnourished have shown worse clinical outcomes [,], early detection of malnutrition and nutritional intervention can significantly benefit them. Therefore, our study focused on using the GLIM to screen patients who need nutritional intervention and verifying the prognostic impact of GLIM-defined malnutrition in patients who underwent cardiac surgery. A prognostic model was also established for risk stratification.
Studies have shown that malnutrition has negative effects on physical function and that it has a close relationship with adverse events, longer hospitalization, and mortality [,,]. Lee et al. showed that malnutrition leads to significantly poorer 1-year survival among patients who underwent transcatheter aortic valve replacement, with an HR of 3.77 (95% CI: 1.54–9.20) []. In this study, patients with malnutrition were more likely to experience postoperative complications. The multivariate Cox analysis demonstrated that GLIM-defined malnutrition, age, preoperative cerebrovascular disease, and CPB time remain independent risk factors of OS. Preoperative cerebrovascular disease leads to high risk of postoperative stroke and poor long-term outcomes []. Prolonged CPB time determines myocardial damage, which could affect mortality directly []. The duration of CPB time is correlated with the extent of inflammatory response, while excessive inflammatory response may cause loss of physical capacity and prolonged critical illness, contributing to long-term outcome disadvantages []. Thus, four independent risk factors were included to develop the nomogram, which were all independently prognostic for late mortality in previous studies [,,,].
In comparison with nutritional risk index and screening tools, single clinical indicators such as BMI and albumin could also reflect the nutritional status of patients. It has been reported that BMI and albumin are independent predictors of postoperative complication and mortality after CABG or valve surgery [,]. However, Christian et al. suggested that using serum albumin and BMI to recognize malnutrition needs further validation, considering that they are influenced by fluid shifts and systemic inflammation []. For the population included in our study, patients with valvular heart disease prone to fluid retention and patients with coronary heart disease are usually overweight. This could conceal low BMI or weight loss that might already exist. As expected, low BMI was not a risk factor for OS in this study. Patients meeting reduced muscle mass accounted for the most significant proportion among the three phenotypic criteria of the GLIM. Compared with albumin, recognizing muscle mass reduction preferably identifies nutritional risk, thus resulting in a better prognostic effect. In consequence, applying the GLIM, which is acknowledged and relatively comprehensive, to patients who underwent cardiac surgery would be helpful to identify malnourished patients and provide specialized nutritional treatment for them.
EuroSCORE II is a recognized tool for predicting in-hospital mortality of patients who underwent cardiac surgery. The prediction efficiency of EuroSCORE II for long-term mortality remains controversial, and its performance fades year by year [,]. Although several EuroSCORE II variables were independent risk factors for long-term OS, researchers suggested that they can be used in a different algorithm []. Therefore, it is necessary to develop a new risk-stratification tool to predict long-term clinical outcomes. We exploited a nomogram to predict OS more precisely. The nomogram showed the prediction effect on 1-, 2-, and 3-year survival probability, and it was verified in the validation cohort. The nomogram had a bigger AUC than EuroSCORE II, and it showed a better discriminative ability than EuroSCORE II. Additionally, the deviation between the predicted long-term mortality rate of EuroSCORE II did not agree well with the actual mortality rate []. The calibration curve of our nomogram revealed good agreement between predicted and actual OS.
This current study has several limitations. The severity of malnutrition was not classified because of the absence of consensus reference cutoff values for muscle mass reductions in the Asian population. Additionally, nutritional status was evaluated only once before surgery. We will focus on the relationship between the changes of postoperative nutritional status and patients’ long-term survival in our further study.
5. Conclusions
GLIM criteria can efficiently identify malnutrition and have a prognostic effect on clinical outcomes after cardiac surgery. A GLIM-based nomogram has favorable performance in survival prediction.
Supplementary Materials
The following supporting information can be downloaded at: https://www.mdpi.com/article/10.3390/nu14122409/s1, Figure S1: A flow chart of patient selection.
Author Contributions
Conceptualization, Z.L., Z.S., P.Z. and X.Y.; data curation, Z.L., Z.S., W.Z. and J.Z.; formal analysis, Z.L., Z.S., W.Z., J.Z. and Z.Y.; funding acquisition, Z.Y.; methodology, P.Z.; project administration, X.Y.; software, Z.L. and Z.S.; supervision, P.Z. and X.Y.; validation, J.Z. and Z.Y.; visualization, W.Z.; writing—original draft, Z.L. and Z.S.; writing—review and editing, P.Z. and X.Y. All authors have read and agreed to the published version of the manuscript.
Funding
This research was supported by the National Natural Science Foundation of China [grant No. 81770884], Science and Technology Commission of Shanghai Municipality [grant No. 21DZ2208300], and Shanghai Association of Integrative Medicine [grant No. shcim202101] to Zhen Yu.
Institutional Review Board Statement
The study was conducted in accordance with the Declaration of Helsinki, and approved by the Ethics Committee of Shanghai Tenth People’s Hospital and Chinese Clinical Trial Registry (ChiCTR2200056468).
Informed Consent Statement
Informed consent was obtained from all subjects involved in the study.
Data Availability Statement
The data presented in this study are available on request from the corresponding author. The data are not publicly available due to patients’ privacy.
Acknowledgments
The authors would like to thank Haomin Wu and Mingyu Wu for their statistical support.
Conflicts of Interest
The authors declare no conflict of interest.
References
- Lomivorotov, V.V.; Efremov, S.M.; Boboshko, V.A.; Nikolaev, D.A.; Vedernikov, P.E.; Lomivorotov, V.N.; Karaskov, A.M. Evaluation of nutritional screening tools for patients scheduled for cardiac surgery. Nutrition 2013, 29, 436–442. [Google Scholar] [CrossRef] [PubMed]
- Goldfarb, M.; Lauck, S.; Webb, J.G.; Asgar, A.W.; Perrault, L.P.; Piazza, N.; Martucci, G.; Lachapelle, K.; Noiseux, N.; Kim, D.H.; et al. Malnutrition and Mortality in Frail and Non-Frail Older Adults Undergoing Aortic Valve Replacement. Circulation 2018, 138, 2202–2211. [Google Scholar] [CrossRef] [PubMed]
- Cho, J.S.; Shim, J.K.; Kim, K.S.; Lee, S.; Kwak, Y.L. Impact of preoperative nutritional scores on 1-year postoperative mortality in patients undergoing valvular heart surgery. J. Thorac. Cardiovasc. Surg. 2021; in press. [Google Scholar] [CrossRef] [PubMed]
- Hill, A.; Nesterova, E.; Lomivorotov, V.; Efremov, S.; Goetzenich, A.; Benstoem, C.; Zamyatin, M.; Chourdakis, M.; Heyland, D.; Stoppe, C. Current Evidence about Nutrition Support in Cardiac Surgery Patients-What Do We Know? Nutrients 2018, 10, 597. [Google Scholar] [CrossRef] [PubMed] [Green Version]
- Nashef, S.A.; Roques, F.; Sharples, L.D.; Nilsson, J.; Smith, C.; Goldstone, A.R.; Lockowandt, U. EuroSCORE II. Eur. J. Cardiothorac. Surg. 2012, 41, 734–744; discussion 744–735. [Google Scholar] [CrossRef] [Green Version]
- Cederholm, T.; Jensen, G.L.; Correia, M.; Gonzalez, M.C.; Fukushima, R.; Higashiguchi, T.; Baptista, G.; Barazzoni, R.; Blaauw, R.; Coats, A.; et al. GLIM criteria for the diagnosis of malnutrition—A consensus report from the global clinical nutrition community. Clin. Nutr. 2019, 38, 1–9. [Google Scholar] [CrossRef] [Green Version]
- Oguri, M.; Ishii, H.; Yasuda, K.; Sumi, T.; Takahashi, H.; Murohara, T. Combined prognostic value of malnutrition using GLIM criteria and renal insufficiency in elderly heart failure. ESC Heart Fail. 2022, 9, 704–711. [Google Scholar] [CrossRef]
- Huang, D.D.; Yu, D.Y.; Wang, W.B.; Song, H.N.; Luo, X.; Wu, G.F.; Chen, X.L.; Yu, Z.; Yan, J.Y. Global leadership initiative in malnutrition (GLIM) criteria using hand-grip strength adequately predicts postoperative complications and long-term survival in patients underwent radical gastrectomy for gastric cancer. Eur. J. Clin. Nutr. 2022; in press. [Google Scholar] [CrossRef]
- Przekop, Z.; Szostak-Wegierek, D.; Milewska, M.; Panczyk, M.; Zaczek, Z.; Sobocki, J. Efficacy of the Nutritional Risk Index, Geriatric Nutritional Risk Index, BMI, and GLIM-Defined Malnutrition in Predicting Survival of Patients with Head and Neck Cancer Patients Qualified for Home Enteral Nutrition. Nutrients 2022, 14, 1268. [Google Scholar] [CrossRef]
- Yin, L.; Lin, X.; Li, N.; Zhang, M.; He, X.; Liu, J.; Kang, J.; Chen, X.; Wang, C.; Wang, X.; et al. Evaluation of the Global Leadership Initiative on Malnutrition Criteria Using Different Muscle Mass Indices for Diagnosing Malnutrition and Predicting Survival in Lung Cancer Patients. JPEN J. Parenter Enter. Nutr. 2021, 45, 607–617. [Google Scholar] [CrossRef]
- Zhang, X.; Tang, M.; Zhang, Q.; Zhang, K.P.; Guo, Z.Q.; Xu, H.X.; Yuan, K.T.; Yu, M.; Braga, M.; Cederholm, T.; et al. The GLIM criteria as an effective tool for nutrition assessment and survival prediction in older adult cancer patients. Clin. Nutr. 2021, 40, 1224–1232. [Google Scholar] [CrossRef] [PubMed]
- Zhang, Z.; Wan, Z.; Zhu, Y.; Wan, H. Predictive validity of the GLIM criteria in treatment outcomes in cancer patients with radiotherapy. Clin. Nutr. 2022, 41, 855–861. [Google Scholar] [CrossRef] [PubMed]
- Derstine, B.A.; Holcombe, S.A.; Ross, B.E.; Wang, N.C.; Su, G.L.; Wang, S.C. Skeletal muscle cutoff values for sarcopenia diagnosis using T10 to L5 measurements in a healthy US population. Sci. Rep. 2018, 8, 11369. [Google Scholar] [CrossRef] [PubMed] [Green Version]
- Shen, Z.L.; Liu, Z.; Zang, W.F.; Zhang, P.; Zou, H.B.; Dong, W.X.; Chen, W.H.; Yan, X.L.; Yu, Z. Thoracic sarcopenia predicts clinical outcomes in patients underwent coronary artery bypass grafting: A 6-year cohort study. Asian J. Surg. 2022; in press. [Google Scholar] [CrossRef] [PubMed]
- Weber, C.; Noels, H. Atherosclerosis: Current pathogenesis and therapeutic options. Nat. Med. 2011, 17, 1410–1422. [Google Scholar] [CrossRef]
- Schoen, F.J. Mechanisms of function and disease of natural and replacement heart valves. Annu. Rev. Pathol. 2012, 7, 161–183. [Google Scholar] [CrossRef]
- Gillis, C.; Wischmeyer, P.E. Pre-operative nutrition and the elective surgical patient: Why, how and what? Anaesthesia 2019, 74 (Suppl. S1), 27–35. [Google Scholar] [CrossRef] [Green Version]
- Weimann, A.; Braga, M.; Carli, F.; Higashiguchi, T.; Hubner, M.; Klek, S.; Laviano, A.; Ljungqvist, O.; Lobo, D.N.; Martindale, R.; et al. ESPEN guideline: Clinical nutrition in surgery. Clin. Nutr. 2017, 36, 623–650. [Google Scholar] [CrossRef] [Green Version]
- Wolfe, R.R. The underappreciated role of muscle in health and disease. Am. J. Clin. Nutr. 2006, 84, 475–482. [Google Scholar] [CrossRef]
- Wischmeyer, P.E.; Carli, F.; Evans, D.C.; Guilbert, S.; Kozar, R.; Pryor, A.; Thiele, R.H.; Everett, S.; Grocott, M.; Gan, T.J.; et al. American Society for Enhanced Recovery and Perioperative Quality Initiative Joint Consensus Statement on Nutrition Screening and Therapy Within a Surgical Enhanced Recovery Pathway. Anesth. Analg. 2018, 126, 1883–1895. [Google Scholar] [CrossRef]
- Stoppe, C.; Goetzenich, A.; Whitman, G.; Ohkuma, R.; Brown, T.; Hatzakorzian, R.; Kristof, A.; Meybohm, P.; Mechanick, J.; Evans, A.; et al. Role of nutrition support in adult cardiac surgery: A consensus statement from an International Multidisciplinary Expert Group on Nutrition in Cardiac Surgery. Crit. Care 2017, 21, 131. [Google Scholar] [CrossRef] [PubMed] [Green Version]
- Singer, P.; Blaser, A.R.; Berger, M.M.; Alhazzani, W.; Calder, P.C.; Casaer, M.P.; Hiesmayr, M.; Mayer, K.; Montejo, J.C.; Pichard, C.; et al. ESPEN guideline on clinical nutrition in the intensive care unit. Clin. Nutr. 2019, 38, 48–79. [Google Scholar] [CrossRef] [PubMed] [Green Version]
- Hill, A.; Arora, R.C.; Engelman, D.T.; Stoppe, C. Preoperative Treatment of Malnutrition and Sarcopenia in Cardiac Surgery: New Frontiers. Crit Care Clin. 2020, 36, 593–616. [Google Scholar] [CrossRef] [PubMed]
- Pisano, C.; Polisano, D.; Balistreri, C.R.; Altieri, C.; Nardi, P.; Bertoldo, F.; Trombetti, D.; Asta, L.; Ferrante, M.S.; Buioni, D.; et al. Role of Cachexia and Fragility in the Patient Candidate for Cardiac Surgery. Nutrients 2021, 13, 517. [Google Scholar] [CrossRef] [PubMed]
- Unosawa, S.; Taoka, M.; Osaka, S.; Yuji, D.; Kitazumi, Y.; Suzuki, K.; Kamata, K.; Sezai, A.; Tanaka, M. Is malnutrition associated with postoperative complications after cardiac surgery? J. Card Surg. 2019, 34, 908–912. [Google Scholar] [CrossRef] [PubMed]
- Chermesh, I.; Hajos, J.; Mashiach, T.; Bozhko, M.; Shani, L.; Nir, R.R.; Bolotin, G. Malnutrition in cardiac surgery: Food for thought. Eur. J. Prev. Cardiol. 2014, 21, 475–483. [Google Scholar] [CrossRef]
- Lee, K.; Ahn, J.M.; Kang, D.Y.; Ko, E.; Kwon, O.; Lee, P.H.; Lee, S.W.; Kim, D.H.; Kim, H.J.; Kim, J.B.; et al. Nutritional status and risk of all-cause mortality in patients undergoing transcatheter aortic valve replacement assessment using the geriatric nutritional risk index and the controlling nutritional status score. Clin. Res. Cardiol. 2020, 109, 161–171. [Google Scholar] [CrossRef]
- Chen, C.C.; Chen, T.H.; Tu, P.H.; Wu, V.C.; Yang, C.H.; Wang, A.Y.; Lee, S.T.; Tsai, F.C.; Chen, S.W. Long-Term Outcomes for Patients With Stroke After Coronary and Valve Surgery. Ann. Thorac. Surg. 2018, 106, 85–91. [Google Scholar] [CrossRef] [Green Version]
- Onorati, F.; De Feo, M.; Mastroroberto, P.; Cristodoro, L.; Pezzo, F.; Renzulli, A.; Cotrufo, M. Determinants and prognosis of myocardial damage after coronary artery bypass grafting. Ann. Thorac. Surg. 2005, 79, 837–845. [Google Scholar] [CrossRef]
- Karim, M.N.; Reid, C.M.; Huq, M.; Brilleman, S.L.; Cochrane, A.; Tran, L.; Billah, B. Predicting long-term survival after coronary artery bypass graft surgery. Interact. Cardiovasc. Thorac. Surg. 2018, 26, 257–263. [Google Scholar] [CrossRef] [Green Version]
- Efremov, S.M.; Ionova, T.I.; Nikitina, T.P.; Vedernikov, P.E.; Dzhumatov, T.A.; Ovchinnikov, T.S.; Rashidov, A.A.; Stoppe, C.; Heyland, D.K.; Lomivorotov, V.V. Effects of malnutrition on long-term survival in adult patients after elective cardiac surgery. Nutrition 2021, 83, 111057. [Google Scholar] [CrossRef] [PubMed]
- Madhavan, S.; Chan, S.P.; Tan, W.C.; Eng, J.; Li, B.; Luo, H.D.; Teoh, L.K. Cardiopulmonary bypass time: Every minute counts. J. Cardiovasc. Surg. 2018, 59, 274–281. [Google Scholar] [CrossRef]
- Thourani, V.H.; Keeling, W.B.; Kilgo, P.D.; Puskas, J.D.; Lattouf, O.M.; Chen, E.P.; Guyton, R.A. The impact of body mass index on morbidity and short-and long-term mortality in cardiac valvular surgery. J. Thorac. Cardiovasc. Surg. 2011, 142, 1052–1061. [Google Scholar] [CrossRef] [PubMed] [Green Version]
- Bhamidipati, C.M.; LaPar, D.J.; Mehta, G.S.; Kern, J.A.; Upchurch, G.R., Jr.; Kron, I.L.; Ailawadi, G. Albumin is a better predictor of outcomes than body mass index following coronary artery bypass grafting. Surgery 2011, 150, 626–634. [Google Scholar] [CrossRef] [PubMed] [Green Version]
- Gao, F.; Shan, L.; Wang, C.; Meng, X.; Chen, J.; Han, L.; Zhang, Y.; Li, Z. Predictive Ability of European Heart Surgery Risk Assessment System II (EuroSCORE II) and the Society of Thoracic Surgeons (STS) Score for in-Hospital and Medium-Term Mortality of Patients Undergoing Coronary Artery Bypass Grafting. Int. J. Gen. Med. 2021, 14, 8509–8519. [Google Scholar] [CrossRef]
- Barili, F.; Pacini, D.; D’Ovidio, M.; Dang, N.C.; Alamanni, F.; Di Bartolomeo, R.; Grossi, C.; Davoli, M.; Fusco, D.; Parolari, A. The Impact of EuroSCORE II Risk Factors on Prediction of Long-Term Mortality. Ann. Thorac. Surg. 2016, 102, 1296–1303. [Google Scholar] [CrossRef] [Green Version]
Publisher’s Note: MDPI stays neutral with regard to jurisdictional claims in published maps and institutional affiliations. |
© 2022 by the authors. Licensee MDPI, Basel, Switzerland. This article is an open access article distributed under the terms and conditions of the Creative Commons Attribution (CC BY) license (https://creativecommons.org/licenses/by/4.0/).