Liver Damage Is Related to the Degree of Being Underweight in Anorexia Nervosa and Improves Rapidly with Weight Gain
Abstract
1. Introduction
2. Materials and Methods
2.1. Participants
2.2. Renutrition
2.3. Statistical Analysis
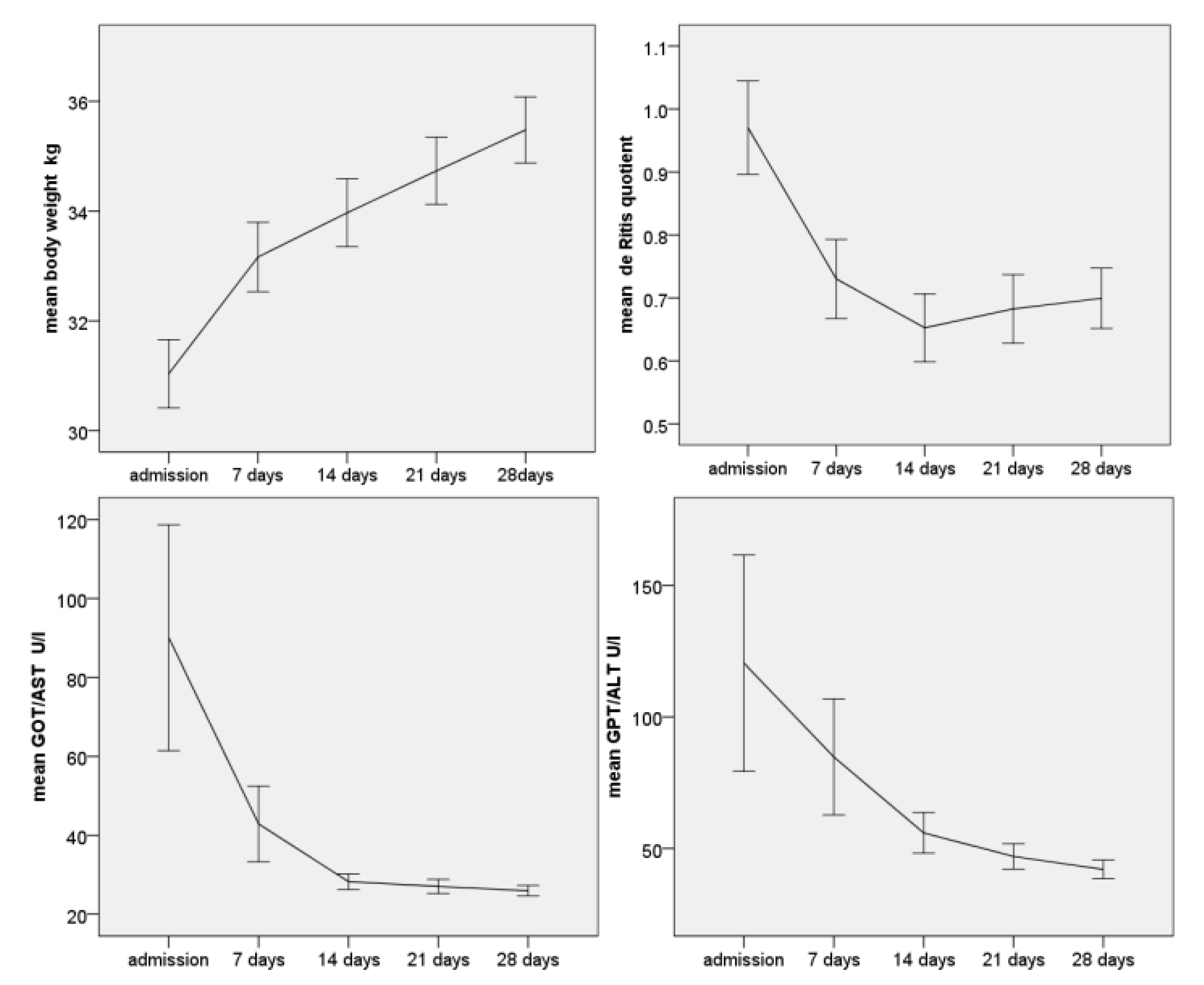
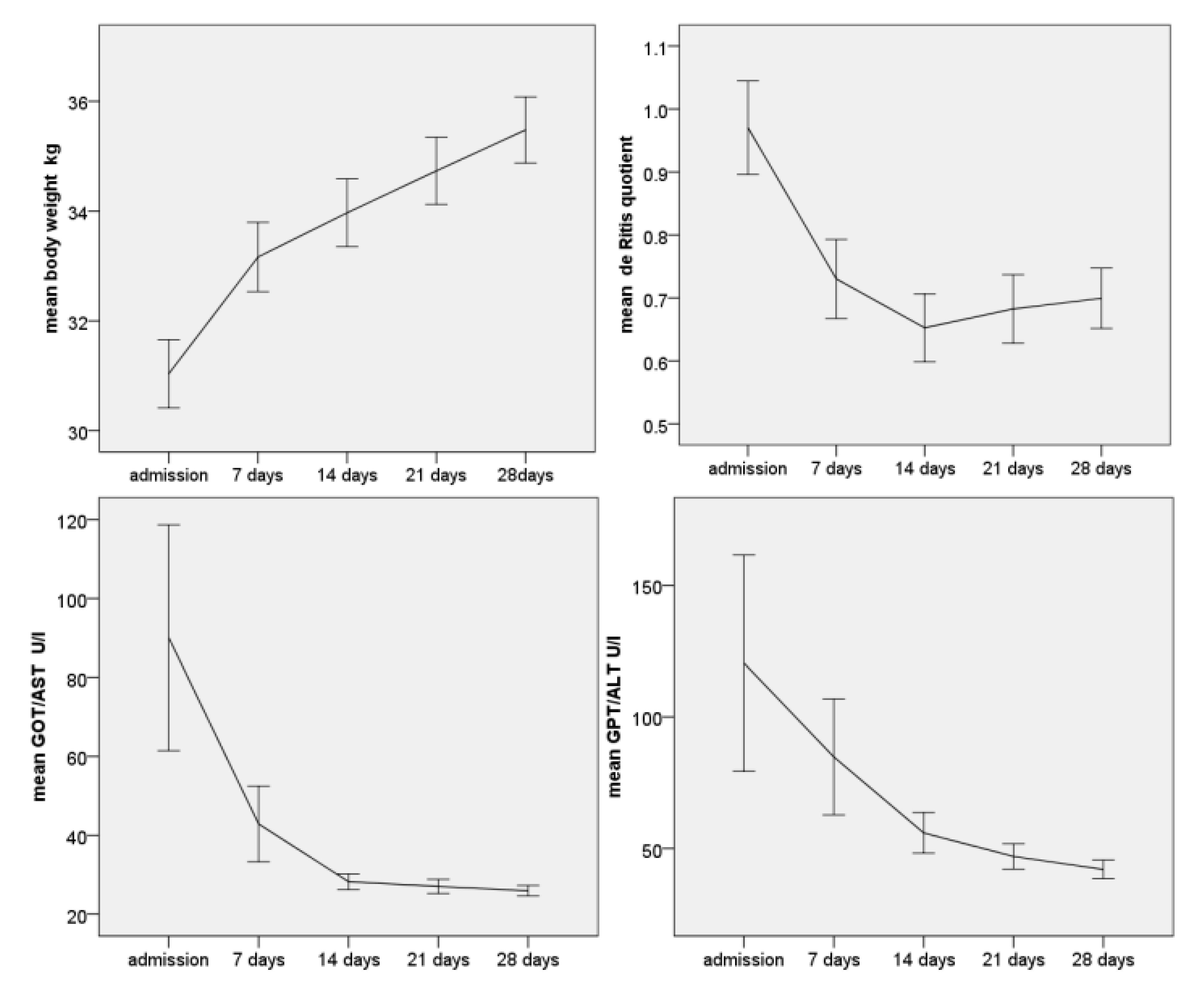
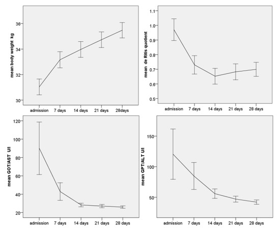
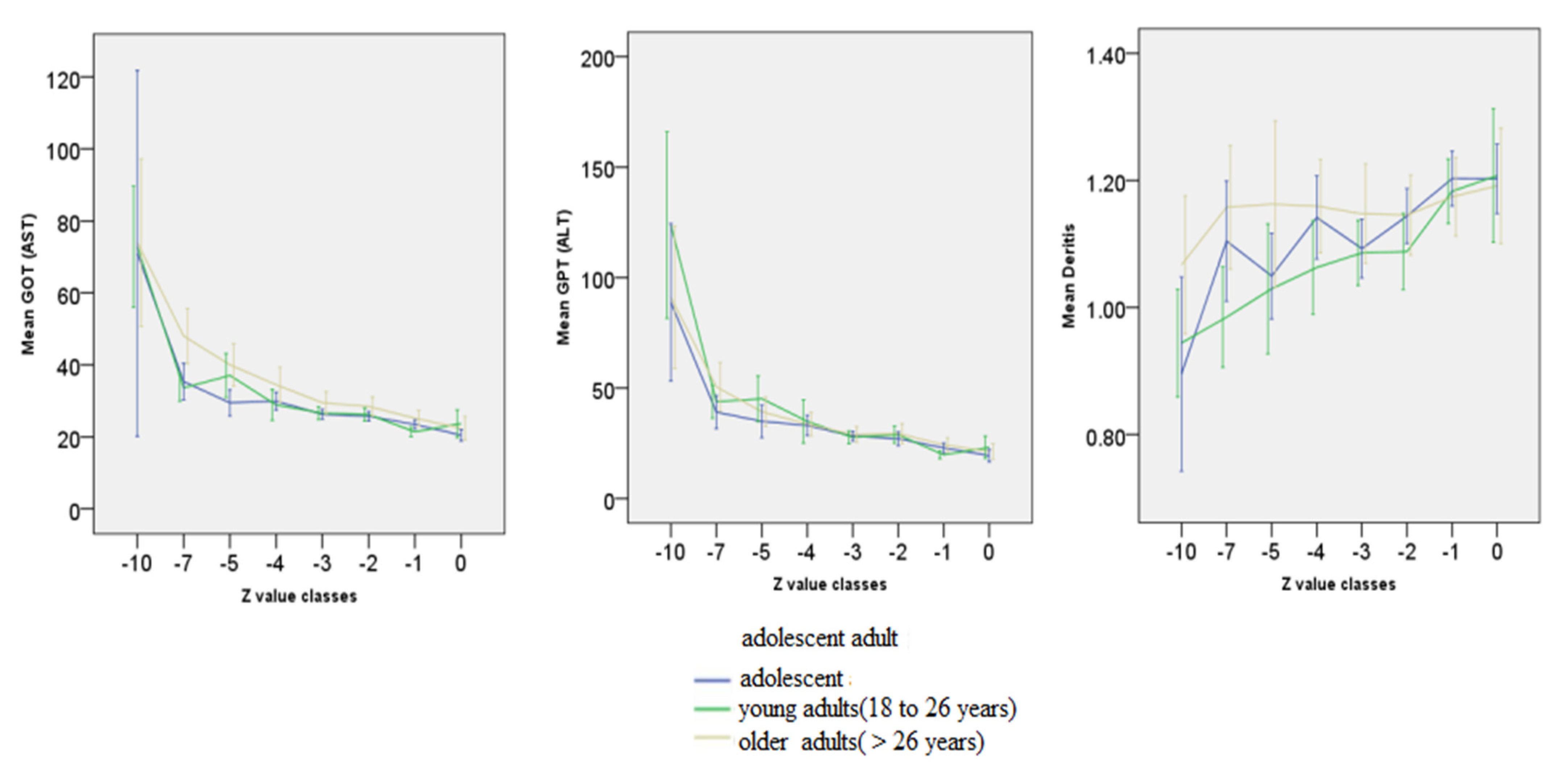
3. Results
4. Discussion
5. Conclusions
Author Contributions
Funding
Institutional Review Board Statement
Informed Consent Statement
Data Availability Statement
Conflicts of Interest
References
- Sherman, P.; Leslie, K.; Goldberg, E.; Rybczynski, J.; St Louis, P. Hypercarotenemia and transaminitis in female adolescents with eating disorders: A prospective, controlled study. J. Adolesc. Health Off. Publ. Soc. Adolesc. Med. 1994, 15, 205–209. [Google Scholar]
- Smith, R.W.; Korenblum, C.; Thacker, K.; Bonifacio, H.J.; Gonska, T.; Katzman, D.K. Severely elevated transaminases in an adolescent male with anorexia nervosa. Int. J. Eat. Disord. 2013, 46, 751–754. [Google Scholar] [CrossRef] [PubMed]
- Nadelson, A.C.; Babatunde, V.D.; Yee, E.U.; Patwardhan, V.R. Expanding the differential diagnosis for transaminitis in patients with anorexia nervosa. J. Gen. Intern. Med. 2017, 32, 486–489. [Google Scholar] [CrossRef] [PubMed]
- Mickley, D.; Greenfeld, D.; Quinlan, D.M.; Roloff, P.; Zwas, F. Abnormal liver enzymes in outpatients with eating disorders. Int. J. Eat. Disord. 1996, 20, 325–329. [Google Scholar] [CrossRef]
- Furuta, S.; Ozawa, Y.; Maejima, K.; Tashiro, H.; Kitahora, T.; Hasegawa, K.; Kuroda, S.; Ikuta, N. Anorexia nervosa with severe liver dysfunction and subsequent critical complications. Intern. Med. 1999, 38, 575–579. [Google Scholar] [CrossRef][Green Version]
- Rivera-Nieves, J.; Kozaiwa, K.; Parrish, C.R.; Iezzoni, J.; Berg, C.L. Marked transaminase elevation in anorexia nervosa. Dig. Dis. Sci. 2000, 45, 1959–1963. [Google Scholar]
- Di Pascoli, L.; Lion, A.; Milazzo, D.; Caregaro, L. Acute liver damage in anorexia nervosa. Int. J. Eat. Disord. 2004, 36, 114–117. [Google Scholar]
- De Caprio, C.; Alfano, A.; Senatore, I.; Zarrella, L.; Pasanisi, F.; Contaldo, F. Severe acute liver damage in anorexia nervosa: Two case reports. Nutrition 2006, 22, 572–575. [Google Scholar]
- Fong, H.F.; Divasta, A.D.; Difabio, D.; Ringelheim, J.; Jonas, M.M.; Gordon, C.M. Prevalence and predictors of abnormal liver enzymes in young women with anorexia nervosa. J. Pediatr. 2008, 153, 247–253. [Google Scholar] [CrossRef]
- Rautou, P.E.; Cazals-Hatem, D.; Moreau, R.; Francoz, C.; Feldmann, G.; Lebrec, D.; Ogier-Denis, E.; Bedossa, P.; Valla, D.; Durand, F. Acute liver cell damage in patients with anorexia nervosa: A possible role of starvation-induced hepatocyte autophagy. Gastroenterology 2008, 135, 840–848, 848.e841-843. [Google Scholar] [CrossRef]
- Tsukamoto, M.; Tanaka, A.; Arai, M.; Ishii, N.; Ohta, D.; Horiki, N.; Fujita, Y. Hepatocellular injuries observed in patients with an eating disorder prior to nutritional treatment. Intern. Med. 2008, 47, 1447–1450. [Google Scholar] [CrossRef] [PubMed]
- Dowman, J.; Arulraj, R.; Chesner, I. Recurrent acute hepatic dysfunction in severe anorexia nervosa. Int. J. Eat. Disord. 2010, 43, 770–772. [Google Scholar] [CrossRef] [PubMed]
- Giordano, F.; Arnone, S.; Santeusanio, F.; Pampanelli, S. Brief elevation of hepatic enzymes due to liver ischemia in anorexia nervosa. Eat. Weight Disord. EWD 2010, 15, e294–e297. [Google Scholar] [PubMed]
- Karahmadi, M.; Layegh, E.; Layegh, S.; Keypour, M. High level increase in liver enzymes and severe thrombocytopenia in a male case of anorexia nervosa. J. Res. Med. Sci. Off. J. Isfahan Univ. Med. Sci. 2011, 16, 1378–1381. [Google Scholar]
- Harris, R.H.; Sasson, G.; Mehler, P.S. Elevation of liver function tests in severe anorexia nervosa. Int. J. Eat. Disord. 2013, 46, 369–374. [Google Scholar] [CrossRef]
- Bridet, L.; Martin, J.J.; Nuno, J.L. Acute liver damage and anorexia nervosa: A case report. Turk. J. Gastroenterol. Off. J. Turk. Soc. Gastroenterol. 2014, 25, 205–208. [Google Scholar]
- Ramsoekh, D.; Taimr, P.; Vanwolleghem, T. Reversible severe hepatitis in anorexia nervosa: A case report and overview. Eur. J. Gastroenterol. Hepatol. 2014, 26, 473–477. [Google Scholar]
- Tomita, K.; Haga, H.; Ishii, G.; Katsumi, T.; Sato, C.; Aso, R.; Okumoto, K.; Nishise, Y.; Watanabe, H.; Saito, T.; et al. Clinical manifestations of liver injury in patients with anorexia nervosa. Hepatol. Res. Off. J. Jpn. Soc. Hepatol. 2014, 44, E26-31. [Google Scholar] [CrossRef]
- Nagata, J.M.; Park, K.T.; Colditz, K.; Golden, N.H. Associations of elevated liver enzymes among hospitalized adolescents with anorexia nervosa. J. Pediatr. 2015, 166, 439–443.e431. [Google Scholar] [CrossRef]
- Rosen, E.; Sabel, A.L.; Brinton, J.T.; Catanach, B.; Gaudiani, J.L.; Mehler, P.S. Liver dysfunction in patients with severe anorexia nervosa. Int. J. Eat. Disord. 2016, 49, 151–158. [Google Scholar] [CrossRef]
- Goh, K.H.; Lee, E.L. Prevalence of abnormal liver function tests and comorbid psychiatric disorders among patients with anorexia nervosa and eating disorders not otherwise specified in the anorexia nervosa DSM-IV criteria. Singap. Med. J. 2015, 56, 488–492. [Google Scholar] [CrossRef] [PubMed]
- Yamagata, A.; Hirose, S.; Wakakuri, N.; Honjou, H.; Nakagawa, H.; Nishimura, K.; Kubo, T. Two cases of anorexia nervosa associated with grossly abnormal liver function tests. Nihon Naika Gakkai Zasshi. J. Jpn. Soc. Intern. Med. 1989, 78, 563–564. [Google Scholar] [CrossRef] [PubMed]
- Yoshida, S.; Shimada, M.; Kornek, M.; Kim, S.J.; Shimada, K.; Schuppan, D. Elevated transaminases as a predictor of coma in a patient with anorexia nervosa: A case report and review of the literature. J. Med. Case Rep. 2010, 4, 307. [Google Scholar] [CrossRef] [PubMed]
- Hanachi, M.; Melchior, J.C.; Crenn, P. Hypertransaminasemia in severely malnourished adult anorexia nervosa patients: Risk factors and evolution under enteral nutrition. Clin. Nutr. 2013, 32, 391–395. [Google Scholar] [CrossRef] [PubMed]
- Kheloufi, M.; Boulanger, C.M.; Durand, F.; Rautou, P.E. Liver autophagy in anorexia nervosa and acute liver injury. BioMed Res. Int. 2014, 2014, 701064. [Google Scholar] [CrossRef]
- Restellini, S.; Spahr, L.; Rubbia Brandt, L. Severe Starvation-Induced Hepatocyte Autophagy as a Cause of Acute Liver Injury in Anorexia Nervosa: A Case Report. Case Rep. Hepatol. 2013, 2013, 749169. [Google Scholar] [CrossRef] [PubMed]
- Deter, R.L.; De Duve, C. Influence of glucagon, an inducer of cellular autophagy, on some physical properties of rat liver lysosomes. J. Cell Biol. 1967, 33, 437–449. [Google Scholar] [CrossRef]
- Glick, D.; Barth, S.; Macleod, K.F. Autophagy: Cellular and molecular mechanisms. J. Pathol. 2010, 221, 3–12. [Google Scholar] [CrossRef]
- Ichimiya, T.; Yamakawa, T.; Hirano, T.; Yokoyama, Y.; Hayashi, Y.; Hirayama, D.; Wagatsuma, K.; Itoi, T.; Nakase, H. Autophagy and Autophagy-Related Diseases: A Review. Int. J. Mol. Sci. 2020, 21, 8974. [Google Scholar] [CrossRef]
- Rabinowitz, J.D.; White, E. Autophagy and metabolism. Sci.) 2010, 330, 1344–1348. [Google Scholar] [CrossRef]
- Takagi, A.; Kume, S.; Kondo, M.; Nakazawa, J.; Chin-Kanasaki, M.; Araki, H.; Araki, S.; Koya, D.; Haneda, M.; Chano, T.; et al. Mammalian autophagy is essential for hepatic and renal ketogenesis during starvation. Sci. Rep. 2016, 6, 18944. [Google Scholar] [CrossRef] [PubMed]
- Takagi, A.; Kume, S.; Maegawa, H.; Uzu, T. Emerging role of mammalian autophagy in ketogenesis to overcome starvation. Autophagy 2016, 12, 709–710. [Google Scholar] [CrossRef] [PubMed][Green Version]
- Kuczmarski, R.J.; Ogden, C.L.; Grummer-Strawn, L.M.; Flegal, K.M.; Guo, S.S.; Wei, R.; Mei, Z.; Curtin, L.R.; Roche, A.F.; Johnson, C.L. CDC growth charts: United States. Adv Data 2000, 314, 1–27. [Google Scholar]
- Cuntz, U.; Korner, T.; Voderholzer, U. Rapid renutrition improves health status in severely malnourished inpatients with AN-score-based evaluation of a high caloric refeeding protocol in severely malnourished inpatients with anorexia nervosa in an intermediate care unit. Eur. Eat. Disord. Rev. J. Eat. Disord. Assoc. 2022, 30, 178–189. [Google Scholar] [CrossRef]
- Koerner, T.; Haas, V.; Heese, J.; Karacic, M.; Ngo, E.; Correll, C.U.; Voderholzer, U.; Cuntz, U. Outcomes of an Accelerated Inpatient Refeeding Protocol in 103 Extremely Underweight Adults with Anorexia Nervosa at a Specialized Clinic in Prien, Germany. J. Clin. Med. 2020, 9, 1535. [Google Scholar] [CrossRef]
- Smink, F.R.; van Hoeken, D.; Hoek, H.W. Epidemiology of eating disorders: Incidence, prevalence and mortality rates. Curr. Psychiatry Rep. 2012, 14, 406–414. [Google Scholar] [CrossRef]
- Suokas, J.T.; Suvisaari, J.M.; Gissler, M.; Lofman, R.; Linna, M.S.; Raevuori, A.; Haukka, J. Mortality in eating disorders: A follow-up study of adult eating disorder patients treated in tertiary care, 1995–2010. Psychiatry Res. 2013, 210, 1101–1106. [Google Scholar] [CrossRef]
- Fichter, M.M.; Quadflieg, N. Mortality in eating disorders—Results of a large prospective clinical longitudinal study. Int. J. Eat. Disord. 2016, 49, 391–401. [Google Scholar] [CrossRef]



| Sample 1 | Sample 2 | |
|---|---|---|
| All Wards for ED | Intermediate Care Unit | |
| All inpatients 2015–2021 | 520 | |
| Diagnosis Anorexia nervosa F50.0 | 4121 | 410 |
| Laboratory parameter complete | 3755 | 339 |
| Hospital stay > 28 d and BMI < 13 | 142 | |
| age | 22.7 y, SD 9.8 | 26.4 y, SD 9.4 |
| (range 12–73 y) | (range 18–62 y) | |
| female/male | 3598/157 | 142 female |
| Weight (kg) admission | 42.8 kg, SD 8.1 | 31.5, SD 3.6 |
| (range 22 -81 kg) | (23.5–40.1) | |
| BMI admission | 15.4 SD 2.4 | 11.5 SD 0.85 |
| (range 8.1–27) | (range 8.4–13) |
| BMI | N | Female | Age | BMI | |
|---|---|---|---|---|---|
| <11 | adolescent | 3 | 2 | 15.0 | 10.7 |
| young adult (18 to 26 years) | 28 | 28 | 21.1 | 10.5 | |
| older adult (>26 years) | 37 | 37 | 35.8 | 10.5 | |
| all | 68 | 67 | 10.50 | 10.5 | |
| 11 to 12 | adolescent | 27 | 26 | 15.78 | 11.5 |
| young adult (18 to 26 years) | 72 | 72 | 20.86 | 11.5 | |
| older adult (>26 years) | 51 | 50 | 35.71 | 11.5 | |
| all | 150 | 148 | 24.99 | 11.5 | |
| 12 to 13 | adolescent | 90 | 90 | 15.58 | 12.6 |
| young adult (18 to 26 years) | 104 | 102 | 20.33 | 12.5 | |
| older adult (>26 years) | 71 | 69 | 38.54 | 12.4 | |
| all | 265 | 261 | 23.59 | 12.5 | |
| 13 to 14 | adolescent | 224 | 220 | 15.47 | 13.5 |
| young adult (18 to 26 years) | 185 | 183 | 20.43 | 13.4 | |
| older adult (>26 years) | 108 | 102 | 38.39 | 13.4 | |
| all | 517 | 505 | 22.03 | 13.5 | |
| 14 to 15 | adolescent | 286 | 277 | 15.37 | 14.5 |
| young adult (18 to 26 years) | 202 | 191 | 20.42 | 14.5 | |
| older adult (>26 years) | 141 | 136 | 37.07 | 14.5 | |
| all | 629 | 604 | 21.86 | 14.5 | |
| 15 to 16 | adolescent | 288 | 278 | 15.43 | 15.4 |
| young adult (18 to 26 years) | 207 | 201 | 20.53 | 15.4 | |
| older adult (>26 years) | 136 | 128 | 36.65 | 15.4 | |
| all | 631 | 607 | 21.68 | 15.4 | |
| 16 to 17 | adolescent | 221 | 211 | 15.63 | 16.4 |
| young adult (18 to 26 years) | 183 | 176 | 21.28 | 16.4 | |
| older adult (>26 years) | 122 | 110 | 35.93 | 16.4 | |
| all | 526 | 497 | 22.31 | 16.4 | |
| 17 to 18 | adolescent | 159 | 155 | 15.69 | 17.4 |
| young adult (18 to 26 years) | 152 | 145 | 20.53 | 17.4 | |
| older adult (>26 years) | 108 | 93 | 35.46 | 17.4 | |
| all | 419 | 393 | 22.54 | 17.4 | |
| 18 to 19 | adolescent | 80 | 78 | 16.11 | 18.4 |
| young adult (18 to 26 years) | 97 | 92 | 20.84 | 18.4 | |
| older adult (>26 years) | 70 | 67 | 35.51 | 18.4 | |
| all | 247 | 237 | 23.47 | 18.4 | |
| 19 to 20 | adolescent | 35 | 35 | 15.91 | 19.4 |
| young adult (18 to 26 years) | 46 | 44 | 20.83 | 19.4 | |
| older adult (>26 years) | 45 | 39 | 36.78 | 19.4 | |
| all | 126 | 118 | 25.16 | 19.4 | |
| >20 | adolescent | 35 | 35 | 15.69 | 21.6 |
| young adult (18 to 26 years) | 64 | 60 | 20.86 | 21.2 | |
| older adult (>26 years) | 52 | 40 | 35.65 | 22.1 | |
| all | 151 | 135 | 24.75 | 21.6 | |
| total | adolescent | 1448 | 1407 | 15.56 | 15.5 |
| young adult (18 to 26 years) | 1352 | 1306 | 20.66 | 15.4 | |
| older adult (>26 years) | 955 | 885 | 36.61 | 15.5 | |
| all | 3755 | 3598 | 22.75 | 15.4 |
Publisher’s Note: MDPI stays neutral with regard to jurisdictional claims in published maps and institutional affiliations. |
© 2022 by the authors. Licensee MDPI, Basel, Switzerland. This article is an open access article distributed under the terms and conditions of the Creative Commons Attribution (CC BY) license (https://creativecommons.org/licenses/by/4.0/).
Share and Cite
Cuntz, U.; Voderholzer, U. Liver Damage Is Related to the Degree of Being Underweight in Anorexia Nervosa and Improves Rapidly with Weight Gain. Nutrients 2022, 14, 2378. https://doi.org/10.3390/nu14122378
Cuntz U, Voderholzer U. Liver Damage Is Related to the Degree of Being Underweight in Anorexia Nervosa and Improves Rapidly with Weight Gain. Nutrients. 2022; 14(12):2378. https://doi.org/10.3390/nu14122378
Chicago/Turabian StyleCuntz, Ulrich, and Ulrich Voderholzer. 2022. "Liver Damage Is Related to the Degree of Being Underweight in Anorexia Nervosa and Improves Rapidly with Weight Gain" Nutrients 14, no. 12: 2378. https://doi.org/10.3390/nu14122378
APA StyleCuntz, U., & Voderholzer, U. (2022). Liver Damage Is Related to the Degree of Being Underweight in Anorexia Nervosa and Improves Rapidly with Weight Gain. Nutrients, 14(12), 2378. https://doi.org/10.3390/nu14122378

