An Italian Case Study for Assessing Nutrient Intake through Nutrition-Related Mobile Apps
Abstract
:1. Introduction
2. Materials and Methods
2.1. App Selection
2.2. Nutritional Data
2.3. Statistical Analysis
3. Results
3.1. Selection and Description of the Apps
3.2. Nutritional Analysis
4. Discussion
5. Conclusions
Author Contributions
Funding
Acknowledgments
Conflicts of Interest
References
- Research2guidance. Available online: https://research2guidance.com/325000-mobile-health-apps-available-in-2017/ (accessed on 19 May 2020).
- Statista. Available online: https://www.statista.com/statistics/625034/mobile-health-app-downloads/ (accessed on 19 May 2020).
- Chen, J.; Cade, J.E.; Allman-Farinelli, M. The Most Popular Smartphone Apps for Weight Loss: A Quality Assessment. JMIR Mhealth Uhealth 2015, 3, e4334. [Google Scholar] [CrossRef]
- Gilliland, J.; Sadler, R.; Clark, A.; O’Connor, C.; Milczarek, M.; Doherty, S. Using a Smartphone Application to Promote Healthy Dietary Behaviours and Local Food Consumption. Biomed. Res. Int. 2015, 2015, 841368. [Google Scholar] [CrossRef] [Green Version]
- Ferrara, G.; Kim, J.; Lin, S.; Hua, J.; Seto, E. A Focused Review of Smartphone Diet-Tracking Apps: Usability, Functionality, Coherence With Behavior Change Theory, and Comparative Validity of Nutrient Intake and Energy Estimates. MIR Mhealth Uhealth 2019, 5, e9232. [Google Scholar] [CrossRef]
- Juarascio, A.S.; Manasse, S.M.; Goldstein, S.P.; Forman, E.M.; Butryn, M.L. Review of Smartphone Applications for the Treatment of Eating Disorders. Eur. Eat. Disord Rev. 2015, 23, 1–11. [Google Scholar] [CrossRef] [Green Version]
- Fairburn, C.G.; Rothwell, E.R. Apps and eating disorders: A systematic clinical appraisal. Int. J. Eat. Disord. 2015, 48, 1038–1046. [Google Scholar] [CrossRef] [Green Version]
- McKay, F.H.; Wright, A.; Shill, J.; Stephens, H.; Uccellini, M. Using Health and Well-Being Apps for Behavior Change: A Systematic Search and Rating of App. JMIR Mhealth Uhealth 2019, 7, e11926. [Google Scholar] [CrossRef] [PubMed]
- Fallaize, R.; Zenun Franco, R.; Pasang, J.; Hwang, F.; Lovegrove, J.A. Popular Nutrition-Related Mobile Apps: An Agreement Assessment Against a UK Reference Method. JMIR Mhealth Uhealth 2019, 7, e9838. [Google Scholar] [CrossRef] [PubMed]
- European Food Safety Authority. General principles for the collection of national food consumption data in the view of a pan-European dietary survey. EFSA J. 2009, 7, 1435. [Google Scholar] [CrossRef]
- European Food Safety Authority. Guidance on the EU Menu methodology. EFSA J. 2014, 12, 3944. [Google Scholar] [CrossRef] [Green Version]
- Turrini, A.; Catasta, G.; Censi, L.; Comendador Azcarraga, F.J.; D’Addezio, L.; Ferrari, M.; Le Donne, C.; Martone, D.; Mistura, L.; Pettinelli, A.; et al. A on behalf of the Training Coure Team, A Dietary Assessment Training Course Path: The Italian IV SCAI Study on Children Food Consumption. Front. Public Health 2021, 9, 590315. [Google Scholar] [CrossRef]
- Timon, C.M.; van den Barg, R.; Blain, R.J.; Kehoe, L.; Evans, K.; Walton, J.; Flynn, A.; Gibney, E.R. A review of the design and validation of web- and computer-based. Nutr. Res. Rev. 2016, 9, 268–280. [Google Scholar] [CrossRef] [PubMed]
- Statista. Available online: https://www.statista.com/statistics/698597/leading-android-health-apps-in-italy-by-downloads/ (accessed on 19 May 2020).
- Maringer, M.; van’t Veer, P.; Klepacz, N.; Verain, M.C.D.; Normann, A.; Ekman, E.; Timotijevic, L.; Raats, M.M.; Geelen, A. User-documented food consumption data from publicly available apps: An analysis of opportunities and challenges for nutrition research. Nutr. J. 2018, 17, 59. [Google Scholar] [CrossRef] [PubMed]
- Bennett, G.; Young, E.; Butler, I.; Coe, S. The Impact of Lockdown During the COVID-19 Outbreak on Dietary Habits in Various Population Groups: A Scoping Review. Front. Nutr. 2021, 8, 53. [Google Scholar] [CrossRef] [PubMed]
- Galali, Y. The impact of COVID-19 confinement on the eating habits and lifestyle changes: A cross sectional study. Food Sci. Nutr. 2021, 9, 2105–2113. [Google Scholar] [CrossRef]
- Pérez-Rodrigo, C.; GianzoCitores, M.; Hervás Bárbara, G.; Ruiz-Litago, F.; Casis Sáenz, L.; Arija, V.; López-Sobaler, A.M.; Martínez deVictoria, E.; Ortega, R.M.; Partearroyo, T.; et al. Patterns of Change in Dietary Habits and Physical Activity during Lockdown in Spain Due to the COVID-19 Pandemic. Nutrients 2021, 13, 300. [Google Scholar] [CrossRef]
- Di Renzo, L.; Gualtieri, P.; Pivari, F.; Soldati, L.; Attinà, A.; Cinelli, G.; Leggeri, C.; Caparello, G.; Barrea, L.; Scerbo, F.; et al. Eating habits and lifestyle changes during COVID-19 lockdown: An Italian survey. J. Transl. Med. 2020, 8, 229. [Google Scholar] [CrossRef]
- Grant, F.; Scalvedi, M.L.; Scognamiglio, U.; Turrini, A.; Rossi, L. Eating Habits during the COVID-19 Lockdown in Italy: The Nutritional and Lifestyle Side Effects of the Pandemic. Nutrients 2021, 13, 2279. [Google Scholar] [CrossRef]
- Mascherini, G.; Catelan, D.; Pellegrini-Giampietro, D.E.; Petri, C.; Scaletti, C.; Gulisano, M. Changes in physical activity levels, eating habits and psychological well-being during the Italian COVID-19 pandemic lockdown: Impact of socio-demographic factors on the factors on the Florentine academic population. PLoS ONE 2021, 16, e0252395. [Google Scholar] [CrossRef]
- Prete, M.; Luzzetti, A.; Augustin, L.S.; Porciello, G.; Montagnese, C.; Calabrese, I.; Ballarin, G.; Coluccia, S.; Patel, L.; Vitale, S.; et al. Changes in Lifestyle and Dietary Habits during COVID-19 Lockdown in Italy: Results of an Online Survey. Nutrients 2021, 13, 1923. [Google Scholar] [CrossRef]
- Gavrieli, A.; Naska, A.; Berry, R.; Roe, M.; Harvey, L.; Finglas, P.; Glibetic, M.; Gurinovic, M.; Trichopoulou, A. Dietary monitoring tools for risk assessment. EFSA Supporting Publ. 2014, 11, 607E. [Google Scholar] [CrossRef] [Green Version]
- Società Italina di Nutrizione Umana. In LARN-Livelli di Assunzione Riferimento di Nutrienti ed Energia per la Popolazione Italiana. IV Revisione; Coordinamento editoriale SINU-INRAN: Milano, Italy, 2014; ISBN 978 88 90685 22 4.
- Bland, J.M.; Altman, D.G. Statistical methods for assessing agreement between two methods of clinical measurement. Lancet 1986, 327, 307–310. [Google Scholar] [CrossRef]
- Shinozaki, N.; Murakami, K. Evaluation of the Ability of Diet-Tracking Mobile Applications to Estimate Energy and Nutrient Intake in Japan. Nutrients 2020, 12, 3327. [Google Scholar] [CrossRef]
- Available online: https://www.youtube.com/watch?v=70Wm_kyxpvg (accessed on 13 July 2021).
- Kapsokefalou, M.; Roe, M.; Turrini, A.; Costa, H.S.; Martinez-Victoria, E.; Marletta, L.; Berry, R.; Finglas, P. Food Composition at Present: New Challenges. Nutrients 2019, 11, 1714. [Google Scholar] [CrossRef] [PubMed] [Green Version]
- European Food Information Resource. Available online: https://www.eurofir.org/ (accessed on 17 June 2020).
- Vasiloglou, M.F.; Christodoulidis, S.; Reber, E.; Stathopoulou, T.; Lu, Y.; Stanga, Z.; Mougiakakou, S. What Healthcare Professionals Think of “Nutrition & Diet” Apps: An International Survey. Nutrients 2020, 12, 2214. [Google Scholar] [CrossRef]
- Samoggia, A.; Riedel, B. Assessment of nutrition-focused mobile apps’ influence on consumers’ healthy food behaviour and nutrition knowledge. Food Res. Int. 2020, 128, 108766. [Google Scholar] [CrossRef]
- Xia, F.; Yang, L.; Wang, L.; Vinel, A. Internet of Things. Int. J. Commun. Syst. 2012, 25, 1101–1102. [Google Scholar] [CrossRef]
- Limketkai, B.N.; Mauldin, K.; Manitius, N.; Jalilian, L.; Salonen, B.R. The Age of Artificial Intelligence: Use of Digital Technology in Clinical Nutrition. Curr. Surg. Rep. 2021, 9, 20. [Google Scholar] [CrossRef]
- Chang, K.H.; Liu, S.; Chu, H.; Hsu, J.Y.; Chen, C.; Lin, T.; Chen, C.; Huang, P.; Fishkin, K.P.; Schiele, B.; et al. The diet-aware dining table: Observing dietary behaviors over a tabletop surface. Pervasive Comput. 2006, 3968, 366–382. [Google Scholar] [CrossRef] [Green Version]
- Lester, J.; Tan, D.; Patel, S.; Brush, A.J.B. Automatic classification of daily fluid intake. In Proceedings of the 4th International Conference on Pervasive Computing Technologies for Healthcare, Munich, Germany, 22–25 March 2010. [Google Scholar]


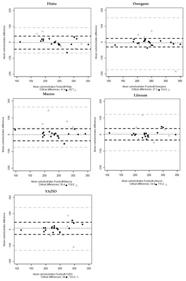
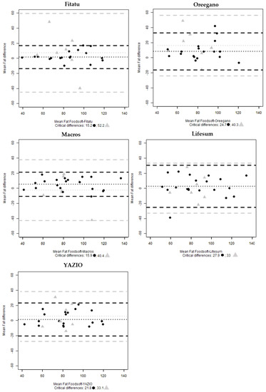
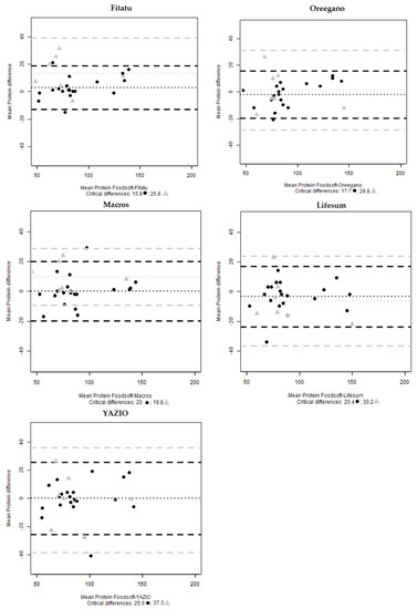
).
).
).
).
).
).
).
).
| App Categories | Description of the Main Features |
|---|---|
| Diet tracker | Allow the user to record the foods and drinks consumed during daily meals. They are the object of evaluation of this work. |
| Calories tracker | Display the calories of food items. |
| Diet | Offer specific diet plans, such as Zone Diet, Ketogenic Diet, Dukan Diet, Blood Group Diet, Intermittent Fasting, etc.) or develop personalized diet |
| Health tracker | Include calculation tools useful for managing conditions, such as diabetes, weight control, blood pressure, blood glucose, etc. and usually require the supervision of a medical doctor or dietician |
| Physical activity | Used for specific physical activity programs, such as bicycle, running, walking, training and so on. fitness: the state of physical well-being or physical form of the individual |
| Recipes | Provide a collection of recipes for a healthy diet or vegetarians, vegans, etc. |
| Water monitoring | Track the water drank and hydration status. |
| Weight loss | Designed for weight loss programs and/or fat reduction of specific body regions, through specific exercises (fat burning workout and fitness exercises) |
| Well-being | Teach users about meditation techniques to improve sleep and the ability to relax better. |
| Non-diet-related | Includes several apps regarding management of patients, calendar of menstrual cycle, personal logbook |
| Main Features | YAZIO | Lifesum | Macros | Fitatu | Oreegano |
|---|---|---|---|---|---|
| Text search | x | x | x | x | x |
| Barcode scanner | x | x | x | x | |
| Serving size | x | x | x | x | x |
| Meals | x | x | x | x | x |
| Adding a new food/recipes | x | x | x | x | x |
| Energy and macronutrient at food items level | x | x | |||
| Data export | x |
| Foodsoft 1.0 | Fitatu | LifeSum | Macros | Oreegano | YAZIO | ||||||||||||
|---|---|---|---|---|---|---|---|---|---|---|---|---|---|---|---|---|---|
| Main output | mean (SE) | median | mean (SE) | median | p * values | mean (SE) | median | p * values | mean (SE) | median | p * values | mean (SE) | median | p * values | mean (SE) | median | p * values |
| Energy | 2096.9 (83.8) | 2063.5 | 2098.6 (81.3) | 2052.0 | 0.943 | 2115.7 (73.3) | 2122.5 | 0.332 | 2071.0 (77.2) | 2005.5 | 0.292 | 2061.4 (86.9) | 2036.5 | 0.201 | 2108.6 (80.2) | 2081.0 | 0.567 |
| Carbohydrate | 237.6 (11.5) | 237.5 | 239.7 (12.6) | 242.5 | 0.654 | 236.0 (10.5) | 239.0 | 0.693 | 238.3 (12.3) | 235.5 | 0.867 | 241.6 (11.8) | 239.0 | 0.214 | 230.3 (9.3) | 230.5 | 0.111 |
| Protein | 89.4 (6.3) | 81.5 | 86.4 (5.6) | 81.0 | 0.118 | 92.8 (6.1) | 85.0 | 0.155 | 89.3 (5.8) | 82.5 | 0.982 | 91.3 (5.1) | 85.5 | 0.346 | 89.3 (5.8) | 83.5 | 0.986 |
| Fat | 88.3 (5.7) | 87.5 | 86.7 (6.0) | 86.0 | 0.368 | 85.6 (5.5) | 79.5 | 0.398 | 83.0 (5.9) | 78.5 | <0.05 | 80.0 (6.1) | 78.0 | <0.05 | 87.1 (6.5) | 83.5 | 0.621 |
| Foodsoft 1.0 | Fitatu | LifeSum | Macros | Oreegano | YAZIO | ||||||||||||
|---|---|---|---|---|---|---|---|---|---|---|---|---|---|---|---|---|---|
| Main output | mean (SE) | median | mean (SE) | median | p * values | mean(SE) | median | p * values | mean (SE) | median | p * values | mean (SE) | median | p * values | mean (SE) | median | p * values |
| Grams | 1419.7 (169.3) | 1187.0 | 1461.7 (198.3) | 1454 | 0.812 | 1610.4 (227.8) | 1501 | 0.812 | 1311.6 (186.6) | 1091 | 0.375 | 1508.4 (185.8) | 1317 | 0.468 | 1528.6 (191.9) | 1398 | 0.578 |
| Energy | 2074.1 (84.4) | 2103 | 1926.1 (177.9) | 1904 | 0.218 | 2115.6 (137.9) | 2055 | 0.687 | 1914.4 (149.6) | 1830 | 0.156 | 2013.0 (197.8) | 1640 | 0.687 | 2118.7 (109.1) | 2065 | 0.375 |
| Carbohydrate | 261.1 (17.9) | 242 | 249 (28.5) | 267.7 | 0.578 | 249.2 (22.4) | 257 | 0.937 | 216.3 (21.7) | 207 | 0.109 | 270.1 (34.2) | 214 | 0.937 | 257.7 (19.7) | 262 | 0.812 |
| Protein | 83.9 (10.1) | 81 | 70.7 (11) | 55.7 | <0.05 | 90.3 (12.5) | 79 | 0.375 | 74.1 (10.7) | 71 | <0.05 | 82.6 (11.8) | 75 | 1.000 | 85.3 (11) | 75 | 1.000 |
| Fat | 82 (5.3) | 87 | 74.8 (9.2) | 76.5 | 0.296 | 81.9 (5.7) | 83 | 0.937 | 84.1 (8.1) | 80 | 1.00 | 65.7 (7.8) | 57 | 0.109 | 76.4 (4.8) | 78 | 0.611 |
Publisher’s Note: MDPI stays neutral with regard to jurisdictional claims in published maps and institutional affiliations. |
© 2021 by the authors. Licensee MDPI, Basel, Switzerland. This article is an open access article distributed under the terms and conditions of the Creative Commons Attribution (CC BY) license (https://creativecommons.org/licenses/by/4.0/).
Share and Cite
Mistura, L.; Comendador Azcarraga, F.J.; D’Addezio, L.; Martone, D.; Turrini, A. An Italian Case Study for Assessing Nutrient Intake through Nutrition-Related Mobile Apps. Nutrients 2021, 13, 3073. https://doi.org/10.3390/nu13093073
Mistura L, Comendador Azcarraga FJ, D’Addezio L, Martone D, Turrini A. An Italian Case Study for Assessing Nutrient Intake through Nutrition-Related Mobile Apps. Nutrients. 2021; 13(9):3073. https://doi.org/10.3390/nu13093073
Chicago/Turabian StyleMistura, Lorenza, Francisco Javier Comendador Azcarraga, Laura D’Addezio, Deborah Martone, and Aida Turrini. 2021. "An Italian Case Study for Assessing Nutrient Intake through Nutrition-Related Mobile Apps" Nutrients 13, no. 9: 3073. https://doi.org/10.3390/nu13093073
APA StyleMistura, L., Comendador Azcarraga, F. J., D’Addezio, L., Martone, D., & Turrini, A. (2021). An Italian Case Study for Assessing Nutrient Intake through Nutrition-Related Mobile Apps. Nutrients, 13(9), 3073. https://doi.org/10.3390/nu13093073

