Male and Female Rats Have Different Physiological Response to High-Fat High-Sucrose Diet but Similar Myocardial Sensitivity to Ischemia-Reperfusion Injury
Abstract
1. Introduction
2. Materials and Methods
2.1. Animals
2.2. Diet
2.3. Tolerance to Glucose, Arterial Blood Pressure and Amount of Adipose Tissues
2.4. Myocardial Tolerance to Ischemia-Reperfusion Injury
2.5. Myocardial Function and Coronary Flow
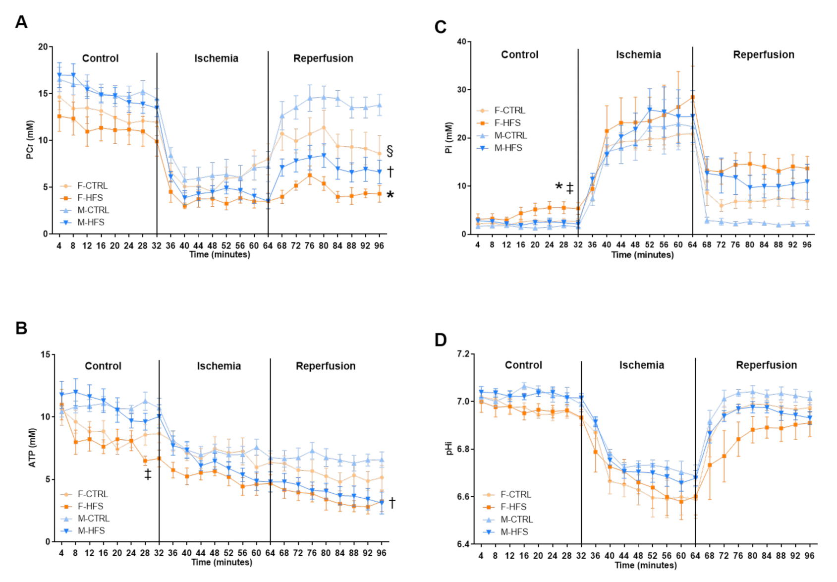
2.6. Myocardial Energy Metabolism
2.7. Biochemical Analyses
2.8. Statistical Analyses
3. Results
3.1. Physiological Parameters
3.2. Tolerance to Ischemia-Reperfusion Injury
3.2.1. Myocardial Function and Coronary Flow
3.2.2. Myocardial Energy Metabolism
3.2.3. Cardiac MDA Content and CS Activity
4. Discussion
4.1. Sex Influences the Physiological Response to High-Fat High-Sucrose Diet
4.2. Sex Influences Cardiac Morphology and Function When Submitted to High-Fat High-Sucrose Diet
4.3. Sex Does Not Influence the HFS Myocardial Tolerance to Ischemia-Reperfusion Injury
5. Conclusions
Author Contributions
Funding
Institutional Review Board Statement
Informed Consent Statement
Data Availability Statement
Conflicts of Interest
Abbreviations
References
- Bansal, N. Prediabetes diagnosis and treatment: A review. World J. Diabetes 2015, 6, 296–303. [Google Scholar] [CrossRef]
- American Diabetes Association. Diagnosis and classification of diabetes mellitus. Diabetes Care 2010, 33 (Suppl. S1), S62–S69. [Google Scholar] [CrossRef] [PubMed]
- Zhang, E.; Mohammed Al-Amily, I.; Mohammed, S.; Luan, C.; Asplund, O.; Ahmed, M.; Ye, Y.; Ben-Hail, D.; Soni, A.; Vishnu, N.; et al. Preserving Insulin Secretion in Diabetes by Inhibiting VDAC1 Overexpression and Surface Translocation in β Cells. Cell Metab. 2019, 29, 64–77. [Google Scholar] [CrossRef]
- Centers for Disease Control and Prevention. National Diabetes Statistics Report; 2017. Available online: https://dev.diabetes.org/sites/default/files/2019-06/cdc-statistics-report-2017.pdf (accessed on 26 July 2019).
- Huang, D.; Refaat, M.; Mohammedi, K.; Jayyousi, A.; Al Suwaidi, J.; Abi Khalil, C. Macrovascular Complications in Patients with Diabetes and Prediabetes. Biomed. Res. Int. 2017, 2017, 7839101. [Google Scholar] [CrossRef] [PubMed]
- Tabak, A.G.; Herder, C.; Rathmann, W.; Brunner, E.J.; Kivimaki, M. Prediabetes: A high-risk state for diabetes development. Lancet 2012, 379, 2279–2290. [Google Scholar] [CrossRef]
- Levitan, E.B.; Song, Y.; Ford, E.S.; Liu, S. Is Nondiabetic Hyperglycemia a Risk Factor for Cardiovascular Disease?: A Meta-analysis of Prospective Studies. Arch. Intern. Med. 2004, 164, 2147–2155. [Google Scholar] [CrossRef]
- Fourny, N.; Beauloye, C.; Bernard, M.; Horman, S.; Desrois, M.; Bertrand, L. Sex differences of the diabetic heart. Front. Physiol. 2021, 27, 661297. [Google Scholar] [CrossRef]
- Mehta, L.S.; Beckie, T.M.; DeVon, H.A.; Grines, C.L.; Krumholz, H.M.; Johnson, M.N.; Lindley, K.J.; Vaccarino, V.; Wang, T.Y.; Watson, K.E.; et al. Acute Myocardial Infarction in Women: A Scientific Statement from the American Heart Association. Circulation 2016, 133, 916–947. [Google Scholar] [CrossRef] [PubMed]
- Donahue, R.P.; Rejman, K.; Rafalson, L.B.; Dmochowski, J.; Stranges, S.; Trevisan, M. Sex differences in endothelial function markers before conversion to pre-diabetes: Does the clock start ticking earlier among women? The Western New-York study. Nutr. Diabetes Care 2007, 30, 354–359. [Google Scholar] [CrossRef]
- Donahue, R.P.; Dorn, J.M.; Stranges, S.; Swanson, M.; Hovey, K.; Trevisan, M. Impaired fasting glucose and recurrent cardiovascular disease among survivors of a first acute myocardial infarction: Evidence of a sex difference? The Western New York experience. Nutr. Metab. Cardiovasc. Dis. 2011, 21, 504–511. [Google Scholar] [CrossRef]
- Steinberg, H.O.; Paradisi, G.; Cronin, J.; Crowde, K.; Hempfling, A.; Hook, G.; Baron, A.D. Type II diabetes abrogates sex differences in endothelial function in premenopausal women. Circulation 2000, 101, 2040–2046. [Google Scholar] [CrossRef] [PubMed]
- Fabbri, E.; Chia, C.W.; Spencer, R.G.; Fishbein, K.W.; Reiter, D.A.; Cameron, D.; Zane, A.C.; Moore, Z.A.; Gonzalez-Freire, M.; Zoli, M.; et al. Insulin Resistance Is Associated With Reduced Mitochondrial Oxidative Capacity Measured by 31P-Magnetic Resonance Spectroscopy in Participants Without Diabetes From the Baltimore Longitudinal Study of Aging. Diabetes 2017, 66, 170–176. [Google Scholar] [CrossRef] [PubMed]
- Wasserman, D.H.; Wang, T.J.; Brown, N.J. The Vasculature in Prediabetes. Circ. Res. 2018, 122, 1135–1150. [Google Scholar] [CrossRef] [PubMed]
- Szucs, G.; Soja, A.; Peter, M.; Sarkozy, M.; Bruszel, B.; Siska, A.; Foldesi, I.; Szabo, Z.; Janaky, T.; Vigh, L.; et al. Prediabetes Induced by Fructose-Enriched Diet Influences Cardiac Lipidome and Proteome and Leads to Deterioration of Cardiac Function prior to the Development of Excessive Oxidative Stress and Cell Damage. Oxidative Med. Cell. Longev. 2019, 2019, 3218275. [Google Scholar] [CrossRef]
- Zheng, L.D.; Linarelli, L.E.; Brooke, J.; Smith, C.; Wall, S.S.; Greenawald, M.H.; Seidel, R.W.; Estabrooks, P.A.; Almeida, F.A.; Cheng, Z. Mitochondrial Epigenetic Changes Link to Increased Diabetes Risk and Early-Stage Prediabetes Indicator. Oxidative Med. Cell. Longev. 2016, 2016, 5290638. [Google Scholar] [CrossRef] [PubMed]
- Luc, K.; Schramm-Luc, A.; Guzik, T.J.; Mikolajczyk, T.P. Oxidative stress and inflammatory markers in prediabetes and diabetes. J. Physiol. Pharmacol. 2019, 70, 809–824. [Google Scholar]
- Fourny, N.; Lan, C.; Seree, E.; Bernard, M.; Desrois, M. Protective Effect of Resveratrol against Ischemia-Reperfusion Injury via Enhanced High Energy Compounds and eNOS-SIRT1 Expression in Type 2 Diabetic Female Rat Heart. Nutrients 2019, 11, 105. [Google Scholar] [CrossRef]
- Mahat, R.K.; Singh, N.; Rathore, V.; Arora, M.; Yadav, T. Cross-sectional correlates of oxidative stress and inflammation with glucose intolerance in prediabetes. Diabetes Metab. Syndr. 2019, 13, 616–621. [Google Scholar] [CrossRef] [PubMed]
- Desrois, M.; Caus, T.; Belles, P.M.; Dalmasso, C.; Lan, C.; Cozzone, P.J.; Bernard, M. Limitation of myocardial and endothelial injury of the rat heart graft after preservation with Centre de Résonance Magnétique Biologique et Médicale (CRMB) solution. Transpl Int. 2008, 21, 276–283. [Google Scholar] [CrossRef]
- Bernard, M.; Caus, T.; Sciaky, M.; Lan, C.; Cozzone, P.J. Optimized cardiac graft preservation: A comparative experimental study using P-31 magnetic resonance spectroscopy and biochemical analyses. J. Heart Lung Transpl. 1999, 18, 572–581. [Google Scholar] [CrossRef]
- Cho, N.H.; Shaw, J.E.; Karuranga, S.; Huang, Y.; da Rocha Fernandes, J.D.; Ohlrogge, A.W.; Malanda, B. IDF Diabetes Atlas: Global estimates of diabetes prevalence for 2017 and projections for 2045. Diabetes Res. Clin. Pract. 2018, 138, 271–281. [Google Scholar] [CrossRef] [PubMed]
- Spruijt-Metz, D.; O’Reilly, G.A.; Cook, L.; Page, K.A.; Quinn, C. Behavioral contributions to the pathogenesis of type 2 diabetes. Curr. Diab. Rep. 2014, 14, 475. [Google Scholar] [CrossRef] [PubMed]
- Aubin, M.C.; Lajoie, C.; Clement, R.; Gosselin, H.; Calderone, A.; Perrault, L.P. Female rats fed a high-fat diet were associated with vascular dysfunction and cardiac fibrosis in the absence of overt obesity and hyperlipidemia: Therapeutic potential of resveratrol. J. Pharmacol. Exp. Ther. 2008, 325, 961–968. [Google Scholar] [CrossRef]
- Nishikawa, S.; Yasoshima, A.; Doi, K.; Nakayama, H.; Uetsuka, K. Involvement of sex, strain and age factors in high fat diet-induced obesity in C57BL/6J and BALB/cA mice. Exp. Anim. 2007, 56, 263–272. [Google Scholar] [CrossRef]
- Kratz, M.; von Eckardstein, A.; Fobker, M.; Buyken, A.; Posny, N.; Schulte, H.; Assmann, G.; Wahrburg, U. The impact of dietary fat composition on serum leptin concentrations in healthy nonobese men and women. J. Clin. Endocrinol. Metab. 2002, 87, 5008–5014. [Google Scholar] [CrossRef]
- Amengual-Cladera, E.; Llado, I.; Gianotti, M.; Proenza, A.M. Sex differences in the effect of high-fat diet feeding on rat white adipose tissue mitochondrial function and insulin sensitivity. Metabolism 2012, 61, 1108–1117. [Google Scholar] [CrossRef] [PubMed]
- Priego, T.; Sánchez, J.; Picó, C.; Palou, A. Sex-associated differences in the leptin and ghrelin systems related with the induction of hyperphagia under high-fat diet exposure in rats. Horm. Behav. 2009, 55, 33–40. [Google Scholar] [CrossRef]
- De Belin Chantemele, E.J. Sex Differences in Leptin Control of Cardiovascular Function in Health and Metabolic Diseases. Adv. Exp. Med. Biol. 2017, 1043, 87–111. [Google Scholar]
- Wang, G.; Liu, X.; Christoffel, K.K.; Zhang, S.; Wang, B.; Liu, R.; Li, Z.; Liu, X.; Brickman, W.J.; Zimmerman, D.; et al. Prediabetes is not all about obesity: Association between plasma leptin and prediabetes in lean rural Chinese adults. Eur. J. Endocrinol. 2010, 163, 243–249. [Google Scholar] [CrossRef][Green Version]
- Jimenez-Feltstrom, J.; Salehi, A.; Meidute Abaraviciene, S.; Henningsson, R.; Lundquist, I. Abnormally decreased NO and augmented CO production in islets of the leptin-deficient ob/ob mouse might contribute to explain hyperinsulinemia and islet survival in leptin-resistant type 2 obese diabetes. Regul. Pept. 2011, 170, 43–51. [Google Scholar] [CrossRef] [PubMed]
- Fourny, N.; Lan, C.; Kober, F.; Boulghobra, D.; Bresciani, J.; Reboul, C.; Bernard, M.; Desrois, M. Cardiac remodeling and higher sensitivity to ischemia–reperfusion injury in female rats submitted to high-fat high-sucrose diet: An in vivo/ex vivo longitudinal follow-up. J. Nutr. Biochem. 2019, 69, 139–150. [Google Scholar] [CrossRef]
- Hare-Bruun, H.; Flint, A.; Heitmann, B.L. Glycemic index and glycemic load in relation to changes in body weight, body fat distribution, and body composition in adult Danes. Am. J. Clin. Nutr. 2006, 84, 871–879. [Google Scholar] [CrossRef] [PubMed]
- Kautzky-Willer, A.; Harreiter, J.; Pacini, G. Sex and Gender Differences in Risk, Pathophysiology and Complications of Type 2 Diabetes Mellitus. Endocr. Rev. 2016, 37, 278–316. [Google Scholar] [CrossRef]
- Mauvais-Jarvis, F. Gender differences in glucose homeostasis and diabetes. Physiol. Behav. 2018, 187, 20–23. [Google Scholar] [CrossRef] [PubMed]
- Kumar, R.; Balhuizen, A.; Amisten, S.; Lundquist, I.; Salehi, A. Insulinotropic and antidiabetic effects of 17β-estradiol and the GPR30 agonist G-1 on human pancreatic islets. Endocrinology 2011, 152, 2568–2579. [Google Scholar] [CrossRef]
- Saengsirisuwan, V.; Pongseeda, S.; Prasannarong, M.; Vichaiwong, K.; Toskulkao, C. Modulation of insulin resistance in ovariectomized rats by endurance exercise training and estrogen replacement. Metabolism 2009, 58, 38–47. [Google Scholar] [CrossRef]
- Faerch, K.; Torekov, S.S.; Vistisen, D.; Johansen, N.B.; Witte, D.R.; Jonsson, A.; Pedersen, O.; Hansen, T.; Lauritzen, T.; Sandbaek, A.; et al. GLP-1 Response to Oral Glucose Is Reduced in Prediabetes, Screen-Detected Type 2 Diabetes, and Obesity and Influenced by Sex: The ADDITION-PRO Study. Diabetes 2015, 64, 2513–2525. [Google Scholar] [CrossRef] [PubMed]
- Petersson, H.; Riserus, U.; McMonagle, J.; Gulseth, H.L.; Tierney, A.C.; Morange, S.; Helal, O.; Shaw, D.I.; Ruano, J.A.; Lopez-Miranda, J.; et al. Effects of dietary fat modification on oxidative stress and inflammatory markers in the LIPGENE study. Br. J. Nutr. 2010, 104, 1357–1362. [Google Scholar] [CrossRef][Green Version]
- de Jong, M.; Vos, R.C.; de Ritter, R.; van der Kallen, C.J.; Sep, S.J.; Woodward, M.; Stehouwer, C.D.A.; Bots, M.L.; Peters, S.A. Sex differences in cardiovascular risk management for people with diabetes in primary care: A cross-sectional study. BJGP Open 2019, 3. [Google Scholar] [CrossRef] [PubMed]
- Russo, G.; Pintaudi, B.; Giorda, C.; Lucisano, G.; Nicolucci, A.; Cristofaro, M.R.; Suraci, C.; Mulas, M.F.; Napoli, A.; Rossi, M.C.; et al. Age- and Gender-Related Differences in LDL-Cholesterol Management in Outpatients with Type 2 Diabetes Mellitus. Int. J. Endocrinol. 2015, 2015, 957105. [Google Scholar] [CrossRef] [PubMed]
- Peng, C.; Xu, X.; Li, Y.; Li, X.; Yang, X.; Chen, H.; Zhu, Y.; Lu, N.; He, C. Sex-specific association between the gut microbiome and high-fat diet-induced metabolic disorders in mice. Biol. Sex Differ. 2020, 11, 5. [Google Scholar] [CrossRef]
- Beam, J.; Botta, A.; Ye, J.; Soliman, H.; Matier, B.J.; Forrest, M.; MacLeod, K.M.; Ghosh, S. Excess Linoleic Acid Increases Collagen I/III Ratio and “Stiffens” the Heart Muscle Following High Fat Diets. J. Biol. Chem. 2015, 290, 23371–23384. [Google Scholar] [CrossRef]
- Iyer, A.; Brown, L. Fermented wheat germ extract (avemar) in the treatment of cardiac remodeling and metabolic symptoms in rats. Evid. Based Complement. Altern. Med. 2011, 2011, 508957. [Google Scholar] [CrossRef]
- Poudyal, H.; Campbell, F.; Brown, L. Olive leaf extract attenuates cardiac, hepatic, and metabolic changes in high carbohydrate-high fat-fed rats. J. Nutr. 2010, 140, 946–953. [Google Scholar] [CrossRef]
- Bohm, C.; Benz, V.; Clemenz, M.; Sprang, C.; Hoft, B.; Kintscher, U.; Foryst-Ludwig, A. Sexual dimorphism in obesity-mediated left ventricular hypertrophy. Am. J. Physiol. Heart Circ. Physiol. 2013, 305, H211–H218. [Google Scholar] [CrossRef] [PubMed]
- Dworatzek, E.; Baczko, I.; Kararigas, G. Effects of aging on cardiac extracellular matrix in men and women. Proteom. Clin. Appl. 2016, 10, 84–91. [Google Scholar] [CrossRef]
- Poudyal, H.; Panchal, S.K.; Ward, L.C.; Waanders, J.; Brown, L. Chronic high-carbohydrate, high-fat feeding in rats induces reversible metabolic, cardiovascular, and liver changes. Am. J. Physiol. Endocrinol. Metab. 2012, 302, E1472–E1482. [Google Scholar] [CrossRef] [PubMed]
- Alam, M.A.; Kauter, K.; Withers, K.; Sernia, C.; Brown, L. Chronic l-arginine treatment improves metabolic, cardiovascular and liver complications in diet-induced obesity in rats. Food Funct. 2013, 4, 83–91. [Google Scholar] [CrossRef]
- Manrique, C.; DeMarco, V.G.; Aroor, A.R.; Mugerfeld, I.; Garro, M.; Habibi, J.; Hayden, M.R.; Sowers, J.R. Obesity and Insulin Resistance Induce Early Development of Diastolic Dysfunction in Young Female Mice Fed a Western Diet. Endocrinology 2013, 154, 3632–3642. [Google Scholar] [CrossRef]
- Iltis, I.; Kober, F.; Desrois, M.; Dalmasso, C.; Lan, C.; Portha, B.; Cozzone, P.J.; Bernard, M. Defective myocardial blood flow and altered function of the left ventricle in type 2 diabetic rats: A noninvasive in vivo study using perfusion and cine magnetic resonance imaging. Invest. Radiol. 2005, 40, 19–26. [Google Scholar] [PubMed]
- Gelinas, R.; Mailleux, F.; Dontaine, J.; Bultot, L.; Demeulder, B.; Ginion, A.; Daskalopoulos, E.P.; Esfahani, H.; Dubois-Deruy, E.; Lauzier, B.; et al. AMPK activation counteracts cardiac hypertrophy by reducing O-GlcNAcylation. Nat. Commun. 2018, 9, 374. [Google Scholar] [CrossRef]
- Chen, Y.; Zhao, X.; Wu, H. Metabolic Stress and Cardiovascular Disease in Diabetes Mellitus: The Role of Protein O-GlcNAc Modification. Arteriosclerosis, thrombosis, and vascular biology. Arterioscler. Thromb. Vasc. Biol. 2019, 39, 1911–1924. [Google Scholar] [CrossRef] [PubMed]
- Ma, J.; Liu, T.; Wei, A.C.; Banerjee, P.; O’Rourke, B.; Hart, G.W. O-GlcNAcomic Profiling Identifies Widespread O-Linked beta-N-Acetylglucosamine Modification (O-GlcNAcylation) in Oxidative Phosphorylation System Regulating Cardiac Mitochondrial Function. J. Biol. Chem. 2015, 290, 29141–29153. [Google Scholar] [CrossRef] [PubMed]
- Hu, G.; Jousilahti, P.; Qiao, Q.; Katoh, S.; Tuomilehto, J. Sex differences in cardiovascular and total mortality among diabetic and non-diabetic individuals with or without history of myocardial infarction. Diabetologia 2005, 48, 856–861. [Google Scholar] [CrossRef] [PubMed]
- Hu, G.; Qiao, Q.; Tuomilehto, J.; Balkau, B.; Borch-Johnsen, K.; Pyorala, K.; DECODE Study Group. Prevalence of the metabolic syndrome and its relation to all-cause and cardiovascular mortality in nondiabetic European men and women.-PubMed-NCBI. Arch. Intern. Med. 2004, 164, 1066–1076. [Google Scholar] [CrossRef]
- Chen, D.; Li, X.; Zhang, L.; Zhu, M.; Gao, L. A high-fat diet impairs mitochondrial biogenesis, mitochondrial dynamics, and the respiratory chain complex in rat myocardial tissues. J. Cell. Biochem. 2018, 119, 9602. [Google Scholar] [CrossRef] [PubMed]
- Cruz-Topete, D.; List, E.O.; Okada, S.; Kelder, B.; Kopchick, J.J. Proteomic changes in the heart of diet-induced pre-diabetic mice. J. Proteom. 2011, 74, 716–727. [Google Scholar] [CrossRef]
- Panchal, S.K.; Poudyal, H.; Iyer, A.; Nazer, R.; Alam, M.A.; Diwan, V.; Kauter, K.; Sernia, C.; Campbell, F.; Ward, L.; et al. High-carbohydrate, high-fat diet-induced metabolic syndrome and cardiovascular remodeling in rats. J. Cardiovasc. Pharmacol. 2011, 57, 611–624. [Google Scholar] [CrossRef] [PubMed]
- Senaphan, K.; Kukongviriyapan, U.; Sangartit, W.; Pakdeechote, P.; Pannangpetch, P.; Prachaney, P.; Greenwald, S.E.; Kukongviriyapan, V. Ferulic Acid Alleviates Changes in a Rat Model of Metabolic Syndrome Induced by High-Carbohydrate, High-Fat Diet. Nutrients 2015, 7, 6446–6464. [Google Scholar] [CrossRef]
- Liu, H.; Choi, J.-W.; Yun, J.W. Gender differences in rat plasma proteome in response to high-fat diet. Proteomics 2012, 12, 269–283. [Google Scholar] [CrossRef]
- Sibouakaz, D.; Othmani-Mecif, K.; Fernane, A.; Taghlit, A.; Benazzoug, Y. Biochemical and Ultrastructural Cardiac Changes Induced by High-Fat Diet in Female and Male Prepubertal Rabbits. Anal. Cell. Pathol. 2018, 2018, 6430696. [Google Scholar] [CrossRef] [PubMed]
- Fekete, A.; Vannay, A.; Ver, A.; Rusai, K.; Muller, V.; Reusz, G.; Tulassay, T.; Szabo, A.J. Sex differences in heat shock protein 72 expression and localization in rats following renal ischemia-reperfusion injury. Am. J. Physiol. Ren. Physiol. 2006, 291, F806–F811. [Google Scholar] [CrossRef] [PubMed]





| % | CTRL Diet | HFS Diet |
|---|---|---|
| Nitrogen free extract | 60.4 | 37.23 |
| Of which starch | 43.5 | 14.52 |
| Of which Sugars | 3.2 | 20.25 |
| Crude proteins | 16.1 | 19.84 |
| Crude fat | 3.1 | 35.92 |
| Crude ash | 4.6 | 4.2 |
| Crude fiber | 3.9 | <0.5 |
| Moisture | 11.9 | 2.8 |
| Minerals/Vitamins | 3.9 | 7.5 |
| F-CTRL | F-HFS | M-CTRL | M-HFS | |
|---|---|---|---|---|
| Plasma fasting glycemia (mM) | 4.72 ± 0.2 | 5.77 ± 0.02 * | 5.16 ± 0.2 | 5.88 ± 0.2 † |
| Plasma HDL-Cholesterol (mM) | 0.5 ± 0.02 | 0.45 ± 0.04 | 0.39 ± 0.02 | 0.46 ± 0.03 |
| Plasma LDL-Cholesterol (mM) | 0.29 ± 0.03 | 0.48 ± 0.04 *,‡ | 0.26 ± 0.01 | 0.31 ± 0.03 |
| Plasma Free fatty acids (mM) | 0.11 ± 0.02 | 0.19 ± 0.04 | 0.15 ± 0.02 | 0.18 ± 0.02 |
| Fat mass (%) | 9.92 ± 0.9 | 18.03 ± 2.1 * | 10.4 ± 0.5 | 21.4 ± 1.5 † |
| Visceral adipose tissue (g) | 16.54 ± 1.82 | 41.93 ± 6.98 | 30.28 ±1.74 | 97.36 ± 17.64 † |
| Subcutaneous adipose tissue (g) | 8.66 ± 1.03 | 20.76 ± 4.78 | 21.51 ± 2.72 | 51.19 ± 9.09 † |
| Heart weight (g) | 0.75 ± 0.02 | 0.80 ± 0.02 | 1.22 ± 0.02 | 1.45 ± 0.03 † |
| Tibia length (cm) | 3.49 ± 0.05 | 3.48 ± 0.04 | 4.04 ± 0.03 | 4.08 ± 0.03 |
| Heart/Tibia (g/cm) | 0.21 ± 0.004 | 0.23 ± 0.006 | 0.30 ± 0.01 | 0.36 ± 0.01 † |
| Systolic blood pressure (mmHg) | 112 ± 3.3 | 128 ± 10.4 | 134 ± 4.3 | 143 ± 3.9 |
| Diastolic blood pressure (mmHg) | 76 ± 2.9 | 90 ± 8.1 | 97 ± 3.1 | 101 ± 3.2 |
| Plasma 8-iso-PGF2α (pg/mL) | 4673 ± 567 | 4692 ± 458 | 4109 ± 556 | 4487 ± 218 |
Publisher’s Note: MDPI stays neutral with regard to jurisdictional claims in published maps and institutional affiliations. |
© 2021 by the authors. Licensee MDPI, Basel, Switzerland. This article is an open access article distributed under the terms and conditions of the Creative Commons Attribution (CC BY) license (https://creativecommons.org/licenses/by/4.0/).
Share and Cite
Fourny, N.; Lan, C.; Bernard, M.; Desrois, M. Male and Female Rats Have Different Physiological Response to High-Fat High-Sucrose Diet but Similar Myocardial Sensitivity to Ischemia-Reperfusion Injury. Nutrients 2021, 13, 2914. https://doi.org/10.3390/nu13092914
Fourny N, Lan C, Bernard M, Desrois M. Male and Female Rats Have Different Physiological Response to High-Fat High-Sucrose Diet but Similar Myocardial Sensitivity to Ischemia-Reperfusion Injury. Nutrients. 2021; 13(9):2914. https://doi.org/10.3390/nu13092914
Chicago/Turabian StyleFourny, Natacha, Carole Lan, Monique Bernard, and Martine Desrois. 2021. "Male and Female Rats Have Different Physiological Response to High-Fat High-Sucrose Diet but Similar Myocardial Sensitivity to Ischemia-Reperfusion Injury" Nutrients 13, no. 9: 2914. https://doi.org/10.3390/nu13092914
APA StyleFourny, N., Lan, C., Bernard, M., & Desrois, M. (2021). Male and Female Rats Have Different Physiological Response to High-Fat High-Sucrose Diet but Similar Myocardial Sensitivity to Ischemia-Reperfusion Injury. Nutrients, 13(9), 2914. https://doi.org/10.3390/nu13092914

