Dynamic Changes in Human Milk Oligosaccharides in Chinese Population: A Systematic Review and Meta-Analysis
Abstract
:1. Introduction
2. Methods
2.1. Literature Selection
2.2. Data Mining and Processing
2.3. Statistical Analysis
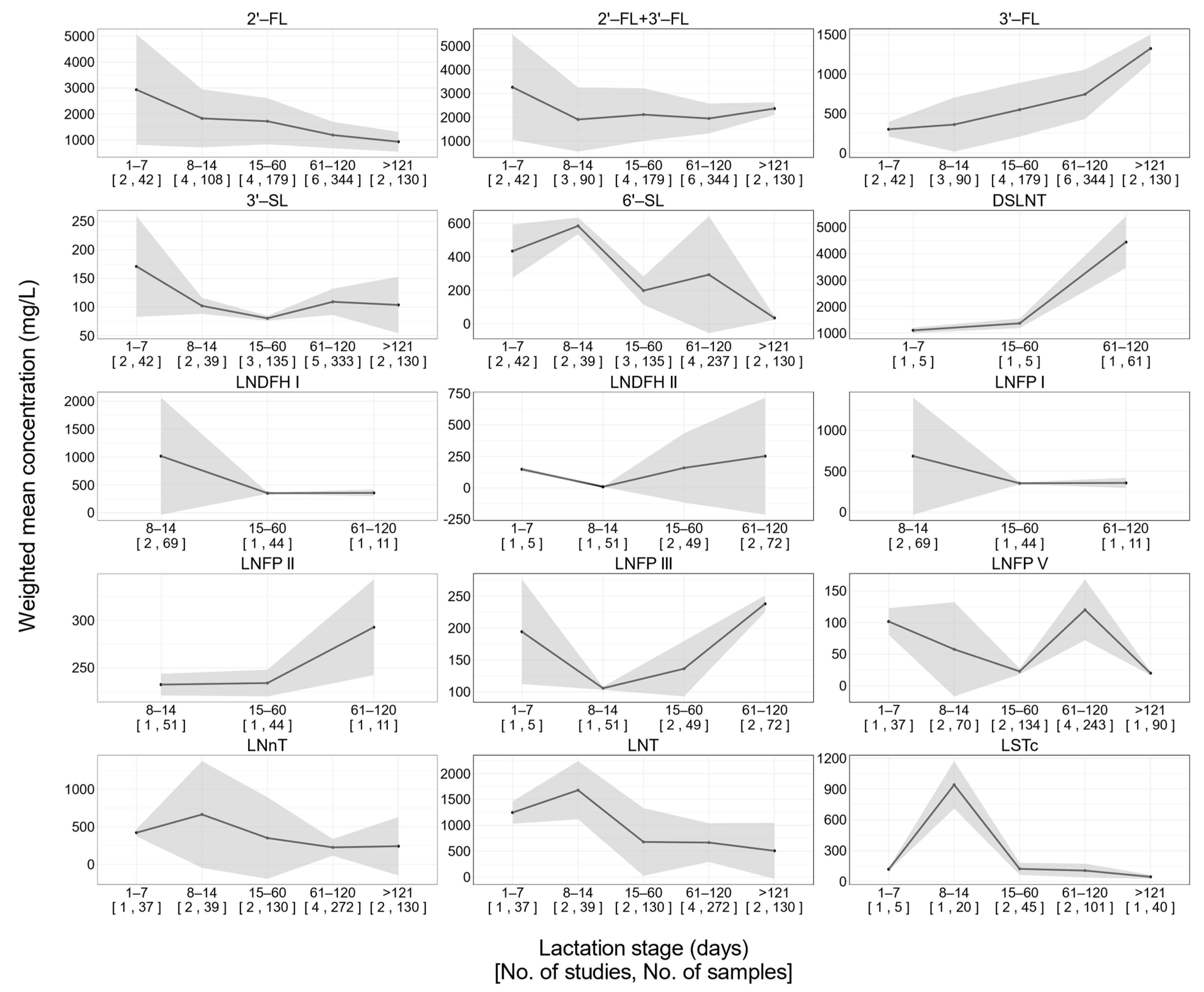
3. Results
4. Discussion
5. Conclusions
Supplementary Materials
Author Contributions
Funding
Institutional Review Board Statement
Informed Consent Statement
Data Availability Statement
Conflicts of Interest
References
- Bode, L. Human milk oligosaccharides: Every baby needs a sugar mama. Narnia 2012, 22, 1147–1162. [Google Scholar] [CrossRef] [PubMed] [Green Version]
- Anderson, J.W.; Johnstone, B.M.; Remley, D.T. Breast-feeding and cognitive development: A meta-analysis. Am. J. Clin. Nutr. 1999, 70, 525–535. [Google Scholar] [CrossRef] [PubMed]
- Thurl, S.; Munzert, M.; Boehm, G.; Matthews, C.; Stahl, B. Systematic review of the concentrations of oligosaccharides in human milk. Nutr. Rev. 2017, 75, 920–933. [Google Scholar] [CrossRef] [PubMed] [Green Version]
- Austin, S.; De Castro, C.A.; Benet, T.; Hou, Y.; Sun, H.; Thakkar, S.K.; Vinyes-Pares, G.; Zhang, Y.; Wang, P. Temporal change of the content of 10 oligosaccharides in the milk of Chinese urban mothers. Nutrients 2016, 8, 346. [Google Scholar] [CrossRef] [PubMed] [Green Version]
- Elwakiel, M.; Hageman, J.A.; Wang, W.; Szeto, I.M.; van Goudoever, J.B.; Hettinga, K.A.; Schols, H.A. Human milk oligosaccharides in colostrum and mature milk of Chinese mothers: Lewis positive secretor subgroups. J. Agric. Food Chem. 2018, 66, 7036–7043. [Google Scholar] [CrossRef]
- Wang, Y.; Zhou, X.; Gong, P.; Chen, Y.; Feng, Z.; Liu, P.; Zhang, P.; Wang, X.; Zhang, L.; Song, L. Comparative major oligosaccharides and lactose between Chinese human and animal milk. Int. Dairy J. 2020, 108, 104727. [Google Scholar] [CrossRef]
- Asakuma, S.; Hatakeyama, E.; Urashima, T.; Yoshida, E.; Katayama, T.; Yamamoto, K.; Kumagai, H.; Ashida, H.; Hirose, J.; Kitaoka, M. Physiology of consumption of human milk oligosaccharides by infant gut-associated bifidobacteria. J. Biol. Chem. 2011, 286, 34583–34592. [Google Scholar] [CrossRef] [Green Version]
- Kunz, C.; Rudloff, S.; Baier, W.; Klein, N.; Strobel, S. Oligosaccharides in human milk: Structural, functional, and metabolic aspects. Annu. Rev. Nutr. 2000, 20, 699–722. [Google Scholar] [CrossRef]
- Newburg, D.S.; Ruiz Palacios, G.M.; Morrow, A.L. Human milk glycans protect infants against enteric pathogens. Annu. Rev. Nutr. 2005, 25, 37–58. [Google Scholar] [CrossRef]
- Plaza-Díaz, J.; Fontana, L.; Gil, A. Human milk oligosaccharides and immune system development. Nutrients 2018, 10, 1038. [Google Scholar] [CrossRef] [Green Version]
- McGuire, M.K.; Meehan, C.L.; McGuire, M.A.; Williams, J.E.; Foster, J.; Sellen, D.W.; Kamau-Mbuthia, E.W.; Kamundia, E.W.; Mbugua, S.; Moore, S.E.; et al. What’s normal? Oligosaccharide concentrations and profiles in milk produced by healthy women vary geographically. Am. J. Clin. Nutr. 2017, 105, 1086–1100. [Google Scholar] [CrossRef] [PubMed]
- Cheng, K.; Zhou, Y.; Neelamegham, S. DrawGlycan-SNFG: A robust tool to render glycans and glycopeptides with fragmentation information. Glycobiology 2017, 27, 200–205. [Google Scholar] [CrossRef] [Green Version]
- Wang, M.; Zhao, Z.; Zhao, A.; Zhang, J.; Wu, W.; Ren, Z.; Wang, P.; Zhang, Y. Neutral human milk oligosaccharides are associated with multiple fixed and modifiable maternal and infant characteristics. Nutrients 2020, 12, 826. [Google Scholar] [CrossRef] [Green Version]
- Zhang, Z. Study on the Relationship between the Concentration of Neutral Oligosaccharides in Breast Milk and FUT2 Gene Polymorphism and the Early Growth of Offspring. Master’s Thesis, Fudan University, Shanghai, China, 2010. [Google Scholar]
- Lefebvre, G.; Shevlyakova, M.; Charpagne, A.; Marquis, J.; Vogel, M.; Kirsten, T.; Wieland, K.; Sean, A.; Sprenger, N.; Binia, A. Time of lactation and maternal fucosyltransferase genetic polymorphisms determine the variability in human milk oligosaccharides. Front. Nutr. 2020, 7, 225. [Google Scholar] [CrossRef]
- Narimatsu, Y.; Joshi, H.J.; Yang, Z.; Gomes, C.; Chen, Y.-H.; Lorenzetti, F.C.; Furukawa, S.; Schjoldager, K.T.; Hansen, L.; Clausen, H.; et al. A validated gRNA library for CRISPR/Cas9 targeting of the human glycosyltransferase genome. Glycobiology 2018, 28, 295–305. [Google Scholar] [CrossRef] [PubMed]
- Newburg, D.S.; Grave, G. Recent advances in human milk glycobiology. Pediatric Res. 2014, 75, 675–679. [Google Scholar] [CrossRef] [PubMed]
- Leo, F.; Asakuma, S.; Kukuda, K.; Senda, A.; Urashima, T. Determination of sialyl and neutral oligosaccharide levels in transition and mature milks of samoan women, using anthranilic derivatization followed by reverse phase high performance liquid chromatography. Biosci. Biotechnol. Biochem. 2010, 74, 912261789. [Google Scholar] [CrossRef] [PubMed]
- Van Trang, N.; Vu Hau, T.; Le Nhung, T.; Huang, P.; Jiang, X.; Anh Dang, D. Association between norovirus and rotavirus infection and histo-blood group antigen types in Vietnamese children. J. Clin. Microbiol. 2014, 52, 1366–1374. [Google Scholar] [CrossRef] [Green Version]
- Soejima, M.; Koda, Y. FUT2 polymorphism in Latin American populations. Clin. Chim. Acta 2020, 505, 1–5. [Google Scholar] [CrossRef]
- Moher, D.; Shamseer, L.; Clarke, M.; Ghersi, D.; Liberati, A.; Petticrew, M.; Shekelle, P.; Stewart, L.A.; Group, P.-P. Preferred reporting items for systematic review and meta-analysis protocols (PRISMA-P) 2015 statement. Syst. Rev. 2015, 4, 1–9. [Google Scholar] [CrossRef] [Green Version]
- Ren, Q.; Sun, H.; Zhao, M.; Xu, Y.; Xie, Q.; Jiang, S.; Zhao, X.; Zhang, W. Longitudinal changes in crude protein and amino acids in human milk in Chinese population: A systematic review. J. Pediatric Gastroenterol. Nutr. 2020, 70, 555–561. [Google Scholar] [CrossRef]
- Yin, S. Human Milk Ingredients: Existence Form, Content, Function, and Detection Method; Chemical Industry Press: Beijing, China, 2016. [Google Scholar]
- Higgins, J.P.; Thomas, J.; Chandler, J.; Cumpston, M.; Li, T.; Page, M.J.; Welch, V.A. Cochrane Handbook for Systematic Reviews of Interventions; John Wiley & Sons: Hoboken, NJ, USA, 2019. [Google Scholar]
- Cochran, W.G. The combination of estimates from different experiments. Biometrics 1954, 10, 101–129. [Google Scholar] [CrossRef]
- Higgins, J.P.; Thompson, S.G. Quantifying heterogeneity in a meta-analysis. Stat. Med. 2002, 21, 1539–1558. [Google Scholar] [CrossRef]
- R Core Team. R: A Language and Environment for Statistical Computing. Version 4.0. 2 (Taking off Again); R Foundation for Statistical Computing: Vienna, Austria, 2020. [Google Scholar]
- Wickham, H.; Navarro, D.; Pedersen, T.L. Ggplot2: Elegant Graphics for Data Analysis (Use R!); Springer: New York, NY, USA, 2009. [Google Scholar]
- Ma, L.; McJarrow, P.; Jan Mohamed, H.J.B.; Liu, X.; Welman, A.; Fong, B.Y. Lactational changes in the human milk oligosaccharide concentration in Chinese and Malaysian mothers’ milk. Int. Dairy J. 2018, 87, 1–10. [Google Scholar] [CrossRef]
- Chen, X. Study on Determination Methods of Oligosaccharides in Human Milk and Bovine Milk and the Changes of Oligosaccharides in Different Lactation Periods. Master’s Thesis, Sichuan Agricultural University, Ya’an, China, 2017. [Google Scholar]
- Zhu, J.; Shi, Y.; Wu, L.; Sun, H.; Wang, X.; Wang, Z.; Guan, L.; Yu, K.; Yang, Y. Detection and content analysis of 10 free oligosaccharides in breast milk at different stages. Chin. J. Food Hyg. 2017, 29, 417–422. [Google Scholar]
- Wei, J.; Ren, X.; Wang, X.; Wu, L.; Han, J.; Yang, Y. Study on the macronutrient composition of human milk in six regions of China. Acta Nutr. SINICA 2020, 42, 7–11. [Google Scholar]
- Yao, W.; Zhang, Z.; Zhou, T.; Newburg, D.S.; Peng, Y. Changes in the concentration of neutral oligosaccharides in breast milk of Chinese mothers. Chin. J. Child Health Care 2009, 17, 251–253. [Google Scholar]
- Zhang, W.; Wang, T.; Chen, X.; Pang, X.; Zhang, S.; Obaroakpo, J.U.; Shilong, J.; Lu, J.; Lv, J. Absolute quantification of twelve oligosaccharides in human milk using a targeted mass spectrometry-based approach. Carbohydr. Polym. 2019, 219, 328–333. [Google Scholar] [CrossRef]
- Thum, C.; Wall, C.R.; Weiss, G.A.; Wang, W.; Szeto, I.M.; Day, L. Changes in HMO Concentrations throughout Lactation: Influencing Factors, Health Effects and Opportunities. Nutrients 2021, 13, 2272. [Google Scholar] [CrossRef]
- Sumiyoshi, W.; Urashima, T.; Nakamura, T.; Arai, I.; Saito, T.; Tsumura, N.; Wang, B.; Brand-Miller, J.; Watanabe, Y.; Kimura, K. Determination of each neutral oligosaccharide in the milk of Japanese women during the course of lactation. Br. J. Nutr. 2003, 89, 61–69. [Google Scholar] [CrossRef]
- Plows, J.F.; Berger, P.K.; Jones, R.B.; Alderete, T.L.; Yonemitsu, C.; Najera, J.A.; Khwajazada, S.; Bode, L.; Goran, M.I. Longitudinal Changes in Human Milk Oligosaccharides (HMOs) over the Course of 24 Months of Lactation. J. Nutr. 2021, 151, 876–882. [Google Scholar] [CrossRef]
- Siziba, L.P.; Mank, M.; Stahl, B.; Gonsalves, J.; Blijenberg, B.; Rothenbacher, D.; Genuneit, J. Human Milk Oligosaccharide Profiles over 12 Months of Lactation: The Ulm SPATZ Health Study. Nutrients 2021, 13, 1973. [Google Scholar] [CrossRef] [PubMed]
- Radzanowski, G.G.; Garrett, P.N.; Xi, L.; Anita, M.J.T.F.J. Short-chain milk oligosaccharide levels in human milk and infant plasma. J. Fed. Am. Soc. Exp. Biol. 2013, 27, 629.16. [Google Scholar]
- Goehring, K.C.; Kennedy, A.D.; Prieto, P.A.; Buck, R.H. Direct evidence for the presence of human milk oligosaccharides in the circulation of breastfed infants. PLoS ONE 2014, 9, e101692. [Google Scholar] [CrossRef] [Green Version]
- Svennerholm, L. Structure and biology of cell membrane gangliosides. In Cholera and Related Diarrheas; Karger Publishers: Basel, Switzerland, 1980; pp. 80–87. [Google Scholar] [CrossRef]
- Wang, B.; Brand-Miller, J. The role and potential of sialic acid in human nutrition. Eur. J. Clin. Nutr. 2003, 57, 1351–1369. [Google Scholar] [CrossRef] [PubMed] [Green Version]
- Uauy, R.; Mena, P.; Peirano, P. Mechanisms for nutrient effects on brain development and cognition. Nestlé Nutr. Workshop Ser. Clin. Perform. Programme 2001, 5, 41–72. [Google Scholar] [PubMed]
- Huttenlocher, P.R.; Dabholkar, A.S. Regional differences in synaptogenesis in human cerebral cortex. J. Comp. Neurol. 1997, 387, 167–178. [Google Scholar] [CrossRef]




| Reference | Period of Investigation | Site | Collection Time (Days) | Number of Mothers | Milk Samples Collected | Term/Preterm | Secretor Status | HMOs Determination Method | Language | Measurement Unit |
|---|---|---|---|---|---|---|---|---|---|---|
| [4] | October 2011–February 2012 | Beijing Guangzhou Suzhou | 5–11 12–30 31–60 61–120 121–240 | 446 | 88 88 90 90 90 | Full term | NR 1 | UHPLC | English | mg/L |
| [14] | March–December 2018 | Shanghai | 8–14 | 30 | 27 | Full term | FUT2(AA) FUT2(AT) FUT2(TT) | HPLC | Chinese | mg/L |
| [29] | NR | Guangzhou | 14, 30, 60, 90, 120, 180, 240 | NR | 20 | Full term | Non-secretor phenotype (37%) | HPLC–MS | English | mg/L |
| [30] | NR | Beijing | 3 and 20 | 5 | 5 5 | NR | NR | UPLC–QqQ-MS | Chinese | mg/L |
| [31] | NR | Nanjing Qiqihar | 0–7; 8–15; 16–180 | NR | 102 | NR | NR | UHPLC–FLD | Chinese | μg/g |
| [32] | Fedruary–May 2018 | Beijing, Guangzhou, Nanjing, Zhengzhou, Mudanjiang, Chengdu | 90 ± 15 | 96 | 10 6 20 20 20 20 | Full term | NR | UHPLC–FLD | Chinese | μg/mL |
| [33] | March–July 2008 | Shanghai | 8–14 15–21 22–28 | 51 | 51 44 11 | Full term | Le(a−, b+): 56.8% Le(a−, b−): 19.6%; Le(a+, b−): 23.6% | HPLC | Chinese | mg/L |
| [34] | NR | Beijing | 31–180 | 61 | 61 | Full term | NR | UPLC–tandem MS | English | mg/mL |
| 1–7 Days | 8–14 Days | 15–60 Days | 61–120 Days | >121 Days | Q | df | p | I2 | ||||||
|---|---|---|---|---|---|---|---|---|---|---|---|---|---|---|
| Mean | SE | Mean | SE | Mean | SE | Mean | SE | Mean | SE | |||||
| 2′-FL | 2932.5 | 1082.5 | 1827.4 | 571.4 | 1717.9 | 453.2 | 1186.1 | 259.8 | 928.4 | 194.9 | 7.0 | 4 | 0.137 | 42.7 |
| 3′-FL | 299.5 | 47.8 | 359.0 | 175.2 | 548.5 | 174.2 | 743.2 | 159.7 | 1324.6 | 89.7 | 104.5 | 4 | 1.1 × 1021 | 96.2 |
| 2′-FL + 3′-FL | 3265.1 | 1131.7 | 1905.0 | 691.7 | 2111.0 | 567.6 | 1947.5 | 322.2 | 2365.4 | 135.7 | 2.6 | 4 | 0.629 | 0.0 |
| 3′-SL | 171.0 | 44.9 | 102.1 | 7.2 | 80.3 | 2.2 | 109.2 | 11.7 | 103.7 | 25.2 | 18.1 | 4 | 0.001 | 78.0 |
| 6′-SL | 433.8 | 81.3 | 584.0 | 25.2 | 197.6 | 43.2 | 293.0 | 178.2 | 34.6 | 5.8 | 484.9 | 4 | 1.2 ×10103 | 99.2 |
| DSLNT | 1098.7 | 53.9 | NA | NA | 1363.8 | 92.7 | 4443.0 | 501.6 | NA | NA | 48.4 | 2 | 3.1 × 1011 | 95.9 |
| LNDFH I | NA | NA | 1015.9 | 535.1 | 352.2 | 6.6 | 356.8 | 31.5 | NA | NA | 1.6 | 2 | 0.459 | 0.0 |
| LNDFH II | 147.3 | 8.1 | 8.9 | 0.3 | 158.6 | 140.0 | 251.8 | 236.6 | NA | NA | 290.7 | 3 | 1.0 × 1062 | 99.0 |
| LNFP I | NA | NA | 684.4 | 365.3 | 352.2 | 6.6 | 356.8 | 31.5 | NA | NA | 0.8 | 2 | 0.655 | 0.0 |
| LNFP II | NA | NA | 232.4 | 5.8 | 234.0 | 7.2 | 292.7 | 25.7 | NA | NA | 5.3 | 2 | 0.072 | 62.0 |
| LNFP III | 194.3 | 41.9 | 105.6 | 1.3 | 136.2 | 22.2 | 238.1 | 6.6 | NA | NA | 393.2 | 3 | 6.7 × 1085 | 99.2 |
| LNFP V | 101.6 | 10.7 | 57.7 | 38.0 | 22.8 | 2.4 | 120.0 | 24.5 | 20.0 | 1.6 | 73.5 | 4 | 4.1 × 1015 | 94.6 |
| LNnT | 421.1 | 25.2 | 663.6 | 363.2 | 349.6 | 277.4 | 224.9 | 56.3 | 240.6 | 198.2 | 11.3 | 4 | 0.024 | 64.5 |
| LNT | 1247.6 | 110.4 | 1678.9 | 287.1 | 679.4 | 333.1 | 667.4 | 190.5 | 507.7 | 276.1 | 17.1 | 4 | 0.002 | 76.6 |
| LSTc | 118.9 | 7.8 | 940.9 | 118.1 | 122.5 | 29.9 | 105.7 | 34.4 | 44.8 | 9.9 | 87.3 | 4 | 4.9 × 1018 | 95.4 |
Publisher’s Note: MDPI stays neutral with regard to jurisdictional claims in published maps and institutional affiliations. |
© 2021 by the authors. Licensee MDPI, Basel, Switzerland. This article is an open access article distributed under the terms and conditions of the Creative Commons Attribution (CC BY) license (https://creativecommons.org/licenses/by/4.0/).
Share and Cite
Zhou, Y.; Sun, H.; Li, K.; Zheng, C.; Ju, M.; Lyu, Y.; Zhao, R.; Wang, W.; Zhang, W.; Xu, Y.; et al. Dynamic Changes in Human Milk Oligosaccharides in Chinese Population: A Systematic Review and Meta-Analysis. Nutrients 2021, 13, 2912. https://doi.org/10.3390/nu13092912
Zhou Y, Sun H, Li K, Zheng C, Ju M, Lyu Y, Zhao R, Wang W, Zhang W, Xu Y, et al. Dynamic Changes in Human Milk Oligosaccharides in Chinese Population: A Systematic Review and Meta-Analysis. Nutrients. 2021; 13(9):2912. https://doi.org/10.3390/nu13092912
Chicago/Turabian StyleZhou, Yalin, Han Sun, Kaifeng Li, Chengdong Zheng, Mengnan Ju, Ying Lyu, Runlong Zhao, Wenqing Wang, Wei Zhang, Yajun Xu, and et al. 2021. "Dynamic Changes in Human Milk Oligosaccharides in Chinese Population: A Systematic Review and Meta-Analysis" Nutrients 13, no. 9: 2912. https://doi.org/10.3390/nu13092912
APA StyleZhou, Y., Sun, H., Li, K., Zheng, C., Ju, M., Lyu, Y., Zhao, R., Wang, W., Zhang, W., Xu, Y., & Jiang, S. (2021). Dynamic Changes in Human Milk Oligosaccharides in Chinese Population: A Systematic Review and Meta-Analysis. Nutrients, 13(9), 2912. https://doi.org/10.3390/nu13092912

