One-Week High-Dose β-Alanine Loading Improves World Tour Cyclists’ Time-Trial Performance
Abstract
1. Introduction
2. Materials and Methods
2.1. Subjects
2.2. Study Design
2.3. Exercise Performance Test and Physiological Responses
2.4. Supplementation Loading Phase
2.5. Paresthesia Test
2.6. Diet and Body Weight
2.7. Training Plan
2.8. Training Status and Critical Power
2.9. Training Load Quantification
2.10. Statistical Analysis
3. Results
3.1. Flow Chart and Participant Characteristics
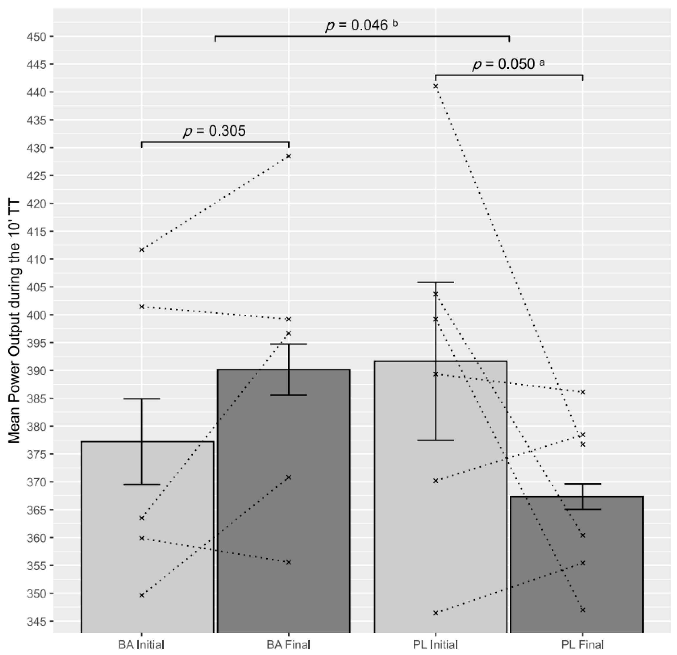
3.2. 10′ TT Performance Analysis
3.3. 10′ TT Physiological Responses
3.4. Compliance and Paresthesia Test
3.5. Training Load and Body Weight
4. Discussion
5. Conclusions
Supplementary Materials
Author Contributions
Funding
Institutional Review Board Statement
Informed Consent Statement
Data Availability Statement
Acknowledgments
Conflicts of Interest
References
- Maughan, R.J.; Burke, L.M.; Dvorak, J.; Larson-Meyer, D.E.; Peeling, P.; Phillips, S.M.; Rawson, E.S.; Walsh, N.P.; Garthe, I.; Geyer, H.; et al. IOC Consensus Statement: Dietary Supplements and the High-Performance Athlete. Int. J. Sport Nutr. Exerc. Metab. 2018, 28, 104–125. [Google Scholar] [CrossRef] [PubMed]
- Brisola, G.M.P.; Zagatto, A.M. Ergogenic Effects of β-Alanine Supplementation on Different Sports Modalities: Strong Evidence or Only Incipient Findings? J. Strength Cond. Res. 2019, 33, 253–282. [Google Scholar] [CrossRef] [PubMed]
- Matthews, J.J.; Artioli, G.G.; Turner, M.D.; Sale, C. The Physiological Roles of Carnosine and β-Alanine in Exercising Human Skeletal Muscle. Med. Sci. Sports Exerc. 2019, 51, 2098–2108. [Google Scholar] [CrossRef] [PubMed]
- Blancquaert, L.; Everaert, I.; Missinne, M.; Baguet, A.; Stegen, S.; Volkaert, A.; Petrovic, M.; Vervaet, C.; Achten, E.; De Maeyer, M.; et al. Effects of Histidine and β-alanine Supplementation on Human Muscle Carnosine Storage. Med. Sci. Sports Exerc. 2017, 49, 602–609. [Google Scholar] [CrossRef]
- Harris, R.C.; Tallon, M.J.; Dunnett, M.; Boobis, L.; Coakley, J.; Kim, H.J.; Fallowfield, J.L.; Hill, C.A.; Sale, C.; Wise, J.A. The absorption of orally supplied β-alanine and its effect on muscle carnosine synthesis in human vastus lateralis. Amino Acids 2006, 30, 279–289. [Google Scholar] [CrossRef]
- Dolan, E.; Swinton, P.A.; Painelli, V.d.S.; Stephens Hemingway, B.; Mazzolani, B.; Infante Smaira, F.; Saunders, B.; Artioli, G.G.; Gualano, B. A Systematic Risk Assessment and Meta-Analysis on the Use of Oral β-Alanine Supplementation. Adv. Nutr. 2019, 10, 452–463. [Google Scholar] [CrossRef]
- Saunders, B.; Elliott-Sale, K.; Artioli, G.G.; Swinton, P.A.; Dolan, E.; Roschel, H.; Sale, C.; Gualano, B. β-alanine supplementation to improve exercise capacity and performance: A systematic review and meta-analysis. Br. J. Sports Med. 2017, 51, 658–669. [Google Scholar] [CrossRef]
- Swietach, P.; Leem, C.-H.; Spitzer, K.W.; Vaughan-Jones, R.D. Pumping Ca2+ up H+ gradients: A Ca2+–H+ exchanger without a membrane. J. Physiol. 2014, 592, 3179–3188. [Google Scholar] [CrossRef]
- Hoffman, J.R.; Varanoske, A.; Stout, J.R. Effects of β-Alanine Supplementation on Carnosine Elevation and Physiological Performance. Adv. Food Nutr. Res. 2018, 84, 183–206. [Google Scholar] [CrossRef]
- Perim, P.; Marticorena, F.M.; Ribeiro, F.; Barreto, G.; Gobbi, N.; Kerksick, C.; Dolan, E.; Saunders, B. Can the Skeletal Muscle Carnosine Response to Beta-Alanine Supplementation Be Optimized? Front. Nutr. 2019, 6, 135. [Google Scholar] [CrossRef]
- Lucía, A.; Hoyos, J.; Chicharro, J.L. Physiology of Professional Road Cycling. Sports Med. 2001, 31, 325–337. [Google Scholar] [CrossRef]
- Bellinger, P.M.; Minahan, C.L. Additive Benefits of β-Alanine Supplementation and Sprint-Interval Training. Med. Sci. Sports Exerc. 2016, 48, 2417–2425. [Google Scholar] [CrossRef] [PubMed]
- Road Cycling Rankings—Union Cycliste Internationale (UCI). Available online: https://www.uci.org/road/rankings (accessed on 6 July 2021).
- Sasahara, I.; Fujimura, N.; Nozawa, Y.; Furuhata, Y.; Sato, H. The effect of histidine on mental fatigue and cognitive performance in subjects with high fatigue and sleep disruption scores. Physiol. Behav. 2015, 147, 238–244. [Google Scholar] [CrossRef] [PubMed]
- Bergstrom, H.C.; Housh, T.J.; Zuniga, J.M.; Traylor, D.A.; Camic, C.L.; Lewis, R.W., Jr.; Schmidt, R.J.; Johnson, G.O. The Relationships Among Critical Power Determined From a 3-Min All-Out Test, Respiratory Compensation Point, Gas Exchange Threshold, and Ventilatory Threshold. Res. Q. Exerc. Sport 2013, 84, 232–238. [Google Scholar] [CrossRef] [PubMed]
- Dekerle, J.; Baron, B.; Dupont, L.; Vanvelcenaher, J.; Pelayo, P. Maximal lactate steady state, respiratory compensation threshold and critical power. Eur. J. Appl. Physiol. 2003, 89, 281–288. [Google Scholar] [CrossRef]
- Chorley, A.; Lamb, K.L. The Application of Critical Power, the Work Capacity above Critical Power (W’), and Its Reconstitution: A Narrative Review of Current Evidence and Implications for Cycling Training Prescription. Sports 2020, 8, 123. [Google Scholar] [CrossRef] [PubMed]
- Torregrosa-García, A.; Ávila-Gandía, V.; Luque-Rubia, A.J.; Abellán-Ruiz, M.S.; Querol-Calderón, M.; López-Román, F.J. Pomegranate Extract Improves Maximal Performance of Trained Cyclists after an Exhausting Endurance Trial: A Randomised Controlled Trial. Nutrients 2019, 11, 721. [Google Scholar] [CrossRef] [PubMed]
- Skiba, P.F. Calculation of Optimal Taper Characteristics in an Amateur Triathlete: 1288: Board #27: May 28 11:00 AM–12:30 PM. Med. Sci. Sports Exerc. 2008, 40, S175. [Google Scholar]
- Skiba, P.F. Evaluation of a Novel Training Metric in Trained Cyclists: 2415: Board #94: June 1 2:00 PM - 3:30 PM. Med. Sci. Sports Exerc. 2007, 39, S448. [Google Scholar]
- Clarke, D.C.; Skiba, P.F. Rationale and resources for teaching the mathematical modeling of athletic training and performance. Adv. Physiol. Educ. 2013, 37, 134–152. [Google Scholar] [CrossRef] [PubMed]
- Skiba, P.F.; Chidnok, W.; Vanhatalo, A.; Jones, A.M. Modeling the expenditure and reconstitution of work capacity above critical power. Med. Sci. Sports Exerc. 2012, 44, 1526–1532. [Google Scholar] [CrossRef]
- Barranco-Gil, D.; Gil-Cabrera, J.; Valenzuela, P.L.; Alejo, L.B.; Montalvo-Pérez, A.; Talavera, E.; Moral-González, S.; Lucia, A. Functional Threshold Power: Relationship with Respiratory Compensation Point and Effects of Various Warm-Up Protocols. Int. J. Sports Physiol. Perform. 2020, 15, 1047–1051. [Google Scholar] [CrossRef]
- Morgan, P.T.; Black, M.I.; Bailey, S.J.; Jones, A.M.; Vanhatalo, A. Road cycle TT performance: Relationship to the power-duration model and association with FTP. J. Sports Sci. 2018, 37, 902–910. [Google Scholar] [CrossRef] [PubMed]
- Bellinger, P.M.; Minahan, C.L. The effect of β-alanine supplementation on cycling time trials of different length. Eur. J. Sport Sci. 2015, 16, 829–836. [Google Scholar] [CrossRef]
- Paton, C.D.; Hopkins, W.G. Variation in performance of elite cyclists from race to race. Eur. J. Sport Sci. 2006, 6, 25–31. [Google Scholar] [CrossRef]
- Van Thienen, R.; Van Proeyen, K.; Vanden Eynde, B.; Puype, J.; Lefere, T.; Hespel, P. Beta-alanine improves sprint performance in endurance cycling. Med. Sci. Sports Exerc. 2009, 41, 898–903. [Google Scholar] [CrossRef]
- Jürimäe, J.; Mäestu, J.; Purge, P.; Jürimäe, T. Changes in stress and recovery after heavy training in rowers. J. Sci. Med. Sport 2004, 7, 335–339. [Google Scholar] [CrossRef]
- Mujika, I. Intense training: The key to optimal performance before and during the taper. Scand. J. Med. Sci. Sports 2010, 20, 24–31. [Google Scholar] [CrossRef]
- Meeusen, R.; Duclos, M.; Foster, C.; Fry, A.; Gleeson, M.; Nieman, D.; Raglin, J.; Rietjens, G.; Steinacker, J.; Urhausen, A. Prevention, diagnosis and treatment of the overtraining syndrome: Joint consensus statement of the European College of Sport Science (ECSS) and the American College of Sports Medicine (ACSM). Eur. J. Sport Sci. 2013, 13, 1–24. [Google Scholar] [CrossRef]
- Hoffman, J.R.; Ratamess, N.A.; Faigenbaum, A.D.; Ross, R.; Kang, J.; Stout, J.R.; Wise, J.A. Short-duration β-alanine supplementation increases training volume and reduces subjective feelings of fatigue in college football players. Nutr. Res. 2008, 28, 31–35. [Google Scholar] [CrossRef] [PubMed]
- Ribeiro, R.; Duarte, B.; Guedes da Silva, A.; Ramos, G.P.; Rossi Picanço, A.; Penna, E.M.; Coswig, V.; Barbalho, M.; Gentil, P.; Gualano, B.; et al. Short-Duration Beta-Alanine Supplementation Did Not Prevent the Detrimental Effects of an Intense Preparatory Period on Exercise Capacity in Top-Level Female Footballers. Front. Nutr. 2020, 7, 43. [Google Scholar] [CrossRef]
- Howe, S.T.; Bellinger, P.M.; Driller, M.W.; Shing, C.M.; Fell, J.W. The Effect of Beta-Alanine Supplementation on Isokinetic Force and Cycling Performance in Highly Trained Cyclists. Int. J. Sport Nutr. Exerc. Metab. 2013, 23, 562–570. [Google Scholar] [CrossRef]
- Chung, W.; Baguet, A.; Bex, T.; Bishop, D.J.; Derave, W. Doubling of Muscle Carnosine Concentration Does Not Improve Laboratory 1-Hr Cycling Time-Trial Performance. Int. J. Sport Nutr. Exerc. Metab. 2014, 24, 315–324. [Google Scholar] [CrossRef][Green Version]
- Milioni, F.; de Poli, R.A.B.; Saunders, B.; Gualano, B.; da Rocha, A.L.; da Silva, A.S.R.; Muller, P.d.T.G.; Zagatto, A.M. Effect of β-alanine supplementation during high-intensity interval training on repeated sprint ability performance and neuromuscular fatigue. J. Appl. Physiol. 2019, 127, 1599–1610. [Google Scholar] [CrossRef]
- Gross, M.; Boesch, C.; Bolliger, C.S.; Norman, B.; Gustafsson, T.; Hoppeler, H.; Vogt, M. Effects of beta-alanine supplementation and interval training on physiological determinants of severe exercise performance. Eur. J. Appl. Physiol. 2013, 114, 221–234. [Google Scholar] [CrossRef]
- Durkalec-Michalski, K.; Kusy, K.; Ciekot-Sołtysiak, M.; Zieliński, J. The Effect of Beta-Alanine Versus Alkaline Agent Supplementation Combined with Branched-Chain Amino Acids and Creatine Malate in Highly-Trained Sprinters and Endurance Athletes: A Randomized Double-Blind Crossover Study. Nutrients 2019, 11, 1961. [Google Scholar] [CrossRef]
- Durkalec-Michalski, K.; Kusy, K.; Główka, N.; Zieliński, J. The effect of multi-ingredient intra- versus extra-cellular buffering supplementation combined with branched-chain amino acids and creatine on exercise-induced ammonia blood concentration and aerobic capacity in taekwondo athletes. J. Int. Soc. Sports Nutr. 2021, 18, 48. [Google Scholar] [CrossRef] [PubMed]
- Spelnikov, D.; Harris, R.C. A kinetic model of carnosine synthesis in human skeletal muscle. Amino Acids 2018, 51, 115–121. [Google Scholar] [CrossRef] [PubMed]
- Bex, T.; Chung, W.; Baguet, A.; Stegen, S.; Stautemas, J.; Achten, E.; Derave, W. Muscle carnosine loading by beta-alanine supplementation is more pronounced in trained vs. untrained muscles. J. Appl. Physiol. 2014, 116, 204–209. [Google Scholar] [CrossRef] [PubMed]
- Bellinger, P.M.; Minahan, C.L. Performance effects of acute β-alanine induced paresthesia in competitive cyclists. Eur. J. Sport Sci. 2015, 16, 88–95. [Google Scholar] [CrossRef]
- Glenn, J.M.; Smith, K.; Moyen, N.E.; Binns, A.; Gray, M. Effects of Acute Beta-Alanine Supplementation on Anaerobic Performance in Trained Female Cyclists. J. Nutr. Sci. Vitaminol. (Tokyo) 2015, 61, 161–166. [Google Scholar] [CrossRef] [PubMed]



| PL | BA | Total | p-Value | |
|---|---|---|---|---|
| Age (years) | 25.3 (1.4) | 25.7 (0.9) | 25.5 (0.8) | 0.841 | 
| Height (cm) | 179.5 (3.2) | 181.5 (1.5) | 180.5 (1.7) | 0.587 | 
| Weight (kg) | 67.2 (3.1) | 69.8 (1.7) | 68.5 (1.7) | 0.476 | 
| VO2max (mL/kg/min) | 68.0 (2.4) | 67.6 (1.6) | 67.8 (1.4) | 0.897 | 
| Group | Initial Test | Final Test | Intra-Group p-Value | Product × Time p-Value | Power (1-β) | |
|---|---|---|---|---|---|---|
| Mean Power (W) | PL | 391.1 (12.3) | 367.3 (9.0) | 0.050 a | 0.046 b | 0.533 | 
| BA | 377.2 (13.5) | 390.1 (9.8) | 0.305 | |||
| Distance Tavelled (m) | PL | 7379 (84) | 7211 (61) | 0.050 a | 0.046 b | 0.551 | 
| BA | 7276 (92) | 7367 (67) | 0.299 | |||
| Total Work (J) | PL | 235.0 (7.4) | 220.3 (5.4) | 0.050 a | 0.046 b | 0.544 | 
| BA | 226.2 (8.1) | 234.0 (5.9) | 0.305 | |||
| Work AUC (J × m) | PL | 70,520 (2212) | 66,761 (1795) | 0.122 | 0.050 b | 0.597 | 
| BA | 68,710 (2423) | 72,204 (1966) | 0.182 | |||
| Power AUC (W × m) | PL | 214,162 (7206) | 191,539 (5171) | 0.005 a | 0.037 b | 0.557 | 
| BA | 204,465 (7893) | 204,068 (5665) | 0.954 | |||
| Average Cadence (rpm) | PL | 106.6 (2.2) | 107.4 (2.5) | 0.704 | 0.506 | 0.138 | 
| BA | 106.6 (2.4) | 105.4 (2.7) | 0.577 | |||
| RPE | PL | 10 (0) | 10 (0) | 1 | 1 | 1 | 
| BA | 10 (0) | 10 (0) | 1 | |||
| Mean Pedal Force (N) | PL | 266.2 (13.9) | 241.4 (14.0) | 0.086 | 0.260 | 0.233 | 
| BA | 263.2 (15.2) | 261.4 (15.4) | 0.900 | 
| Group | Initial Test | Final Tesst | Intra-Group p-Value | Product × Time p-Value | |||
|---|---|---|---|---|---|---|---|
| Basal | Post Test | Basal | Post Test | ||||
| Lactate (mmol/L) | PL | 1.9 (0.6) | 12.2 (3.5) a | 1.9 (0.4) | 10.9 (4.4) a | 0.208 | 0.036 b | 
| BA | 1.7 (0.6) | 11.4 (2.4) a | 1.8 (0.4) | 13.8 (2.6) a | 0.060 | ||
| Anion gap (mEq/L) | PL | 8.4 (0.6) | 20.4 (1.3) a | 9.1 (0.6) | 19.2 (1.5) a | 0.182 | 0.047 b | 
| BA | 8.6 (0.6) | 21.0 (1.4) a | 9.2 (0.6) | 24.2 (1.6) a | 0.107 | ||
| pH | PL | 7.400 (0.008) | 7.233 (0.019) a | 7.404 (0.007) | 7.253 (0.036) a | 0.510 | 0.606 | 
| BA | 7.416 (0.009) | 7.225 (0.020) a | 7.431 (0.008) | 7.238 (0.039) a | 0.923 | ||
| Bicarbonate (mmol/L) | PL | 24.9 (0.5) | 15.1 (0.6) a | 25.0 (0.6) | 15.9 (1.2) a | 0.495 | 0.576 | 
| BA | 25.1 (0.6) | 14.7 (0.6) a | 25.0 (0.6) | 14.5 (1.3) a | 0.894 | ||
| ABE (mEq/L) | PL | 0.7 (0.6) | −12.4 (0.9) a | 0.9 (0.7) | −11.4 (0.7) a | 0.536 | 0.601 | 
| BA | 0.9 (0.7) | −13.2 (1.0) a | 0.8 (0.7) | −13.5 (1.9) a | 0.887 | ||
| pCO2 (mm of Hg) | PL | 41.5 (1.1) | 33.0 (1.1) a | 41.3 (1.2) | 32.6 (1.0) a | 0.975 | 0.868 | 
| BA | 39.7 (1.2) | 31.4 (1.2) a | 37.2 (1.3) | 28.4 (1.1) a | 0.801 | ||
| pO2 (mm of Hg) | PL | 66.4 (2.3) | 78.3 (2.8) a | 70.4 (4.5) | 85.1 (3.2) a | 0.499 | 0.132 | 
| BA | 68.8 (2.6) | 85.7 (3.0) a | 79.8 (5.0) | 89.8 (3.5) | 0.143 | ||
| Metric | Average 7 Days Training | Average 5 Days Intense Training | p-Value | ||||
|---|---|---|---|---|---|---|---|
| PL | BA | Total | PL | BA | Total | ||
| Moving time (hours) | 3.88 (0.10) | 3.91 (0.10) | 3.89 (0.05) | 4.78 (0.30) | 4.85 (0.19) | 4.81 (0.08) | 0.766 | 
| Distance (km) | 122.7 (2.6) | 124.0 (2.8) | 123.3 (1.8) | 152.5 (5.7) | 155.5 (2.7) | 153.9 (2.8) | 0.754 | 
| Mean Power (W) | 192.0 (7.6) | 177.8 (8.4) | 185.5 (5.8) | 203.4 (3.0) | 187.3 (6.1) | 196.1 (6.8) | 0.242 | 
| Normalized power (W) | 239.5 (7.5) | 240.2 (8.3) | 239.8 (5.3) | 257.13 (3.99) | 259.92 (3.8) | 258.4 (5.7) | 0.948 | 
| Total work (kJ) | 2718.9 (110.8) | 2748.0 (121.4) | 2732.0 (78.0) | 3459.9 (197.4) | 3503.1 (148.0) | 3479.0 (106.0) | 0.863 | 
| Relative Intensity (RI) | 0.66 (0.02) | 0.69 (0.02) | 0.67 (0.13) | 0.72 (0.01) | 0.74 (0.01) | 0.73 (0.01) | 0.333 | 
| Bike Score (AU) | 317.3 (32.3) | 351.6 (30.5) | 318.8 (32.5) | 275.6 (25.8) | 313.0 (23.8) | 292.6 (23.5) | 0.414 | 
| Day 1 | Day 2 | Day 3 | Day 4 | Day 5 | Day 6 | Day 7 | ||
|---|---|---|---|---|---|---|---|---|
| Moving time (hours) | PL | 5.16 (0.11) | 5.50 (0.01) | 1.74 (0.14) | 4.55 (0.12) | 4.80 (0.56) | 3.90 (0.22) | 1.47 (0.06) | 
| BA | 4.94 (0.11) | 5.50 (0.03) | 1.57 (0.02) | 4.68 (0.11) | 4.80 (0.43) | 4.33 (0.36) | 1.53 (0.03) | |
| TOTAL | 5.06 (0.08) | 5.50 (0.01) | 1.66 (0.08) | 4.61 (0.08) | 4.80 (0.35) | 4.10 (0.20) | 1.50 (0.03) | |
| Distance (km) | PL | 162.5 (3.4) | 164.1 (0.4) | 54.7 (3.8) | 146.6 (4.9) | 156.2 (20.0) | 133.1 (7.5) | 41.9 (2.3) | 
| BA | 156.4 (3.5) | 164.4 (0.2) | 46.1 (2.0) | 151.5 (3.8) | 157.0 (13.6) | 148.4 (14.8) | 43.9 (0.3) | |
| TOTAL | 159.7 (2.5) | 164.2 (0.2) | 50.8 (2.5) | 148.8 (3.1) | 156.5 (11.9) | 140.0 (7.8) | 42.8 (1.2) | |
| Total work (kJ) | PL | 3537.8 (104.1) | 3984.3 (119.3) | 898.7 (131.4) | 3338.3 (172.9) | 3648.3 (506.4) | 2790.7 (199.0) | 833.8 (36.9) | 
| BA | 3456.6 (67.5) | 3936.2 (85.3) | 918.8 (52.9) | 3497.4 (171.0) | 3609.0 (344.5) | 3016.4 (281.5) | 801.6 (26.6) | |
| TOTAL | 3500.9 (62.8) | 3962.5 (72.6) | 907.8 (72.3) | 3410.6 (118.8) | 3630.5 (302.6) | 2893.3 (162.7) | 819.2 (22.9) | |
| Mean Power (W) | PL | 195.7 (7.3) | 207.3 (7.7) | 165.0 (11.0) | 206.3 (8.2) | 210.7 (11.6) | 197.2 (11.0) | 161.7 (8.0) | 
| BA | 165.0 (17.5) | 198.4 (3.5) | 163.0 (6.8) | 190.2 (18.0) | 185.6 (17.2) | 197.4 (4.7) | 144.8 (2.6) | |
| TOTAL | 181.7 (9.7) | 203.3 (4.5) | 164.1 (6.4) | 199.0 (9.2) | 199.3 (10.3) | 197.3 (6.1) | 154.0 (5.1) | |
| Normalized power (W) | PL | 254.2 (8.7) | 269.8 (7.7) | 196.7 (12.2) | 255.7 (8.9) | 260.5 (14.0) | 245.5 (13.9) | 193.8 (7.3) | 
| BA | 258.0 (6.7) | 271.6 (6.0) | 195.0 (4.0) | 262.6 (8.4) | 259.0 (13.6) | 248.4 (3.6) | 186.8 (3.7) | |
| TOTAL | 255.9 (5.4) | 270.6 (4.8) | 195.9 (6.6) | 258.8 (6.0) | 259.8 (9.3) | 246.8 (7.4) | 190.6 (4.3) | |
| Relative Intensity (RI) | PL | 0.71 (0.02) | 0.75 (0.02) | 0.50 (0.05) | 0.71 (0.02) | 0.72 (0.03) | 0.68 (0.03) | 0.54 (0.02) | 
| BA | 0.73 (0.02) | 0.78 (0.01) | 0.55 (0.02) | 0.75 (0.02) | 0.74 (0.04) | 0.71 (0.01) | 0.53 (0.01) | |
| TOTAL | 0.72 (0.01) | 0.76 (0.01) | 0.52 (0.03) | 0.73 (0.02) | 0.73 (0.03) | 0.70 (0.02) | 0.54 (0.01) | 
| Publisher’s Note: MDPI stays neutral with regard to jurisdictional claims in published maps and institutional affiliations. | 
© 2021 by the authors. Licensee MDPI, Basel, Switzerland. This article is an open access article distributed under the terms and conditions of the Creative Commons Attribution (CC BY) license (https://creativecommons.org/licenses/by/4.0/).
Share and Cite
Ávila-Gandía, V.; Torregrosa-García, A.; Pérez-Piñero, S.; Ortolano, R.; Abellán-Ruiz, M.S.; López-Román, F.J. One-Week High-Dose β-Alanine Loading Improves World Tour Cyclists’ Time-Trial Performance. Nutrients 2021, 13, 2543. https://doi.org/10.3390/nu13082543
Ávila-Gandía V, Torregrosa-García A, Pérez-Piñero S, Ortolano R, Abellán-Ruiz MS, López-Román FJ. One-Week High-Dose β-Alanine Loading Improves World Tour Cyclists’ Time-Trial Performance. Nutrients. 2021; 13(8):2543. https://doi.org/10.3390/nu13082543
Chicago/Turabian StyleÁvila-Gandía, Vicente, Antonio Torregrosa-García, Silvia Pérez-Piñero, Raquel Ortolano, María Salud Abellán-Ruiz, and F. Javier López-Román. 2021. "One-Week High-Dose β-Alanine Loading Improves World Tour Cyclists’ Time-Trial Performance" Nutrients 13, no. 8: 2543. https://doi.org/10.3390/nu13082543
APA StyleÁvila-Gandía, V., Torregrosa-García, A., Pérez-Piñero, S., Ortolano, R., Abellán-Ruiz, M. S., & López-Román, F. J. (2021). One-Week High-Dose β-Alanine Loading Improves World Tour Cyclists’ Time-Trial Performance. Nutrients, 13(8), 2543. https://doi.org/10.3390/nu13082543
 
         
                                                

 
       