Food Consumption and Dietary Patterns of Local Adults Living on the Tibetan Plateau: Results from 14 Countries along the Yarlung Tsangpo River
Abstract
:1. Introduction
2. Materials and Methods
2.1. Study Design
2.2. Food Consumption Database
2.3. Statistic Analysis
3. Results
3.1. Demographic Characteristics of the Subjects
3.2. Dietary Intakes of Local Tibetan Residents
3.3. Dietary Intakes of Urban and Rural Tibetan Local Residents
3.4. Dietary Intakes of Tibetan Local Residents of Different Genders
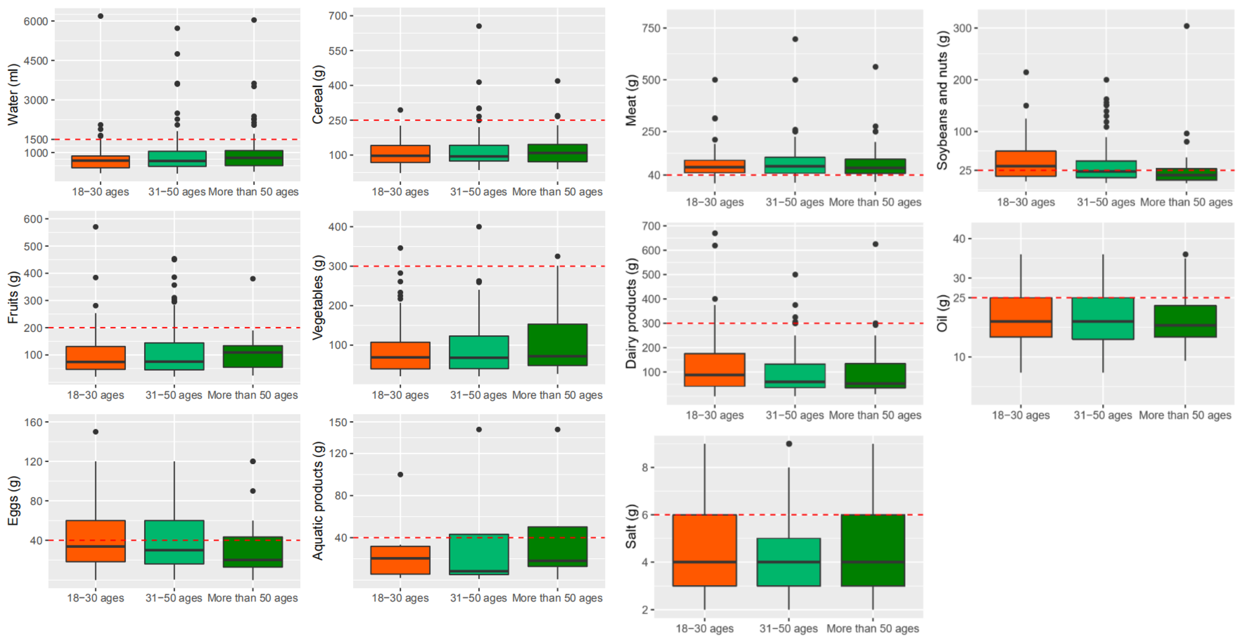
3.5. Dietary Intakes of Tibetan Local Residents in Different Age Groups
3.6. Dietary Patterns of Tibetan Local Residents
4. Discussion
5. Conclusions
Supplementary Materials
Author Contributions
Funding
Institutional Review Board Statement
Informed Consent Statement
Data Availability Statement
Conflicts of Interest
References
- Li, C.; Kang, B.; Zhang, T.; Gu, H.; Song, P.; Chen, J.; Wang, X.; Xu, B.; Zhao, W.; Zhang, J. Dietary Pattern and Dietary Energy from Fat Associated with Sarcopenia in Community-Dwelling Older Chinese People: A Cross-Sectional Study in Three Regions of China. Nutrition 2020, 12, 3689. [Google Scholar]
- Cao, Y.; Chen, C.; Cui, L.; Han, A.; Tu, Q.; Lou, P.; Ding, G.; Qin, Y.; Xiang, Q. A population-based survey for dietary patterns and prediabetes among 7555 Chinese adults in urban and rural areas in Jiangsu Province. Sci. Rep. 2020, 10, 10488. [Google Scholar] [CrossRef]
- Jeznach-Steinhagen, A.; Okręglicka, K.; Nitsch–Osuch, A.; Czerwonogrodzka-Senczyna, A.; Barnaś, M. Nutritional status and dietary patterns in adults with severe obstructive Sleep Apnea. Adv. Exp. Med. Biol. 2020, 1279, 71–79. [Google Scholar]
- Oestreicher, J.S.; do Amara, D.P.; Sousa Passos, C.J.; Fillion, M.; Mergler, D.; Davidson, R.; Lucotte, M.; Romaña, C.A.; Mertens, F. Rural development and shifts in household dietary practices from 1999 to 2010 in the Tapajós River region, Brazilian Amazon:empirical evidence from dietary surveys. Glob. Health 2020, 16, 36. [Google Scholar] [CrossRef]
- Hou, Y.C.; Feng, H.C.; Tzeng, I.-S.; Kuo, C.Y.; Cheng, C.F.; Wu, J.H.; Yang, S.H. Dietary patterns and the risk of prediabetesin Taiwan: A cross-sectional study. Nutrients 2020, 12, 3322. [Google Scholar] [CrossRef] [PubMed]
- Hsiao, P.Y.; Mitchel, D.C.; Coffman, D.L.; Allman, R.M.; Locher, J.L.; Sawyer, P.; Jensen, G.L.; Hartman, T.J. Dietary patterns and diet quality among diverse older adults: The university of Alabama at Birminghan study of agine. J. Nutr. Health Aging 2013, 17, 19–25. [Google Scholar] [CrossRef] [PubMed] [Green Version]
- Cattafesta, M.; Petarli, G.B.; Da Luz, T.C.; Zandonade, E.; Bezerra, O.M.D.P.A.; Salaroli, L.B. Dietary patterns of Brazilian farmers and their relation with sociodemographic, labor, and lifestyle conditions. Nutr. J. 2020, 19, 23. [Google Scholar] [CrossRef] [Green Version]
- Wang, Z.; Dang, S.; Xing, Y.; Li, Q.; Yan, H. Dietary patterns and their associations with energy, nutrient intake and socioeconomic factors in rural lactating mothers in Tibet. Asia Pac. J. Clin. Nutr. 2017, 26, 450–465. [Google Scholar] [PubMed]
- Pokin, B.M. Urbanization, Lifestyle Changes and the Nutrition Transition. World Dev. 1999, 27, 1905–1916. [Google Scholar] [CrossRef]
- Du, S.; Lu, B.; Zhai, F.; Popkin, B.M. A new stage of the nutrition transition in China. Public Health Nutr. 2002, 5, 169–174. [Google Scholar] [CrossRef] [Green Version]
- Zhai, F.; Wang, H.; Du, S.; He, Y.; Wang, Z.; Ge, K.; Popkin, B. Prospective study on nutrition transition in China. Nutr. Rev. 2009, 67, S56–S61. [Google Scholar] [CrossRef] [PubMed]
- Zhen, L.; Cao, S.; Cheng, S.; Xie, G.; Wei, Y.; Liu, X.; Li, F. Arable land requirements based on food consumption patterns: Case study in rural Guyuan District, Western China. Ecol. Econ. 2010, 69, 1443–1453. [Google Scholar] [CrossRef]
- Dermience, M.; Li, X.W.; Mathieu, F.; Claus, W.; Maertelaer, V.D.; Yangzom, D.; Lognay, G. Minerals and trace elements in traditional foods of rural areas of Lhasa Prefecture, Tibet Autonomous Region (P.R. China). J. Food Compos. Anal. 2014, 35, 67–74. [Google Scholar] [CrossRef]
- Liu, J.; Li, X.M.; Zhong, X.H. Consumption Structure of Food and the Countermeasure of Grain in Tibet. J. Mt. Sci. 2004, 22, 286–291. (In Chinese) [Google Scholar]
- Bureau of Statistics of Tibet. NBS Survey Office in Tibet. In The National Economy Statistics of the Tibet Autonomous Region 1952–1978; Statistics Press: Beijing, China, 1978. (In Chinese) [Google Scholar]
- Bureau of Statistics of Tibet. Tibet’s Statistical Yearbook; Statistics Press: Beijing, China, 2015. (In Chinese) [Google Scholar]
- Llesanmi-Oyelere, B.L.; Coad, J.; Roy, N.C.; Kruger, M.C. Dietary Patterns, Body Composition, and Bone Health in New Zealand Postmenopausal Women. Front Nutr. 2020, 7, 563689. [Google Scholar] [CrossRef]
- Mumme, K.; Conlon, C.; von Hurst, P.; Jones, B.; Stonehouse, W.; Heath, A.-L.M.; Coad, J.; Haskell-Ramsay, C.; de Seymour, J.; Beck, K. Dietary Patterns, Their Nutrients, and Associations with Socio-Demographic and Lifestyle Factors in Older New Zealand Adults. Nutrients 2020, 12, 3425. [Google Scholar] [CrossRef]
- Chinese Society of Nutrition. The New Dietary Guidelines for Chinese Residents; People′s Medical Publishing House: Beijing, China, 2017. (In Chinese) [Google Scholar]
- The R Development Core Team R. A Language and Environment for Statistical Computing Version 3.6.1; R Foundation for Statistical Computing: Vienna, Austria, 2019; Available online: https://www.R-project.org/ (accessed on 7 November 2020).
- Wang, Z.; Dang, S.; Yan, H. Nutrient intakes of rural Tibetan mothers: A cross-sectional survey. BMC Public Health 2010, 10, 801. [Google Scholar] [CrossRef] [Green Version]
- Dermience, M.; Mathieu, F.; Li, X.W.; Vandevijvere, S.; Claus, W.; Maertelaer, V.D.; Dufourny, G.; Li, B.; Yangzom, D.; Lognay, G. Minerals and Trace Elements Intakes and Food Consumption Patterns of Young Children Living in Rural Areas of Tibet Autonomous Region, P.R. China: A Cross-Sectional Survey. Healthcare 2017, 5, 12. [Google Scholar] [CrossRef] [Green Version]
- Goyens, P.; Bally, P.; Claus, W.; Yangzom, D.; Mathieu, F. Nutritional issues in KBD endemic rural areas. In Big Bone Disease. A Multidisciplinary Approach of Kashin-Beck Disease in Tibet Autonomous Region (P.R. China); Les Presses Agronomiques de Gembloux, a.s.b.l.: Gembloux, Belgium, 2008; pp. 75–80. [Google Scholar]
- Rooze, S.; Dramaix-Wilmet, M.; Mathieu, F.; Bally, P.; Yangzom, D.; Li, J.; Goyens, P. Growth, nutritional status, and signs of rickets in 0–5-year-old children in a Kashin-Beck disease endemic area of Central Tibet. Eur. J. Pediatr. 2012, 171, 1185–1191. [Google Scholar] [CrossRef]
- Gao, L.W.; Xu, Z.R.; Cheng, S.K. Food consumption structure and dietary nutrition of residents in rural Tibet. Res. Sci. 2017, 39, 168–174. (In Chinese) [Google Scholar]
- Hu, F.B. Dietary pattern analysis: A new direction in nutritional epidemiology. Curr. Opin. Lipidol. 2002, 13, 3–9. [Google Scholar] [CrossRef]
- Tapsell, L.C.; Neale, E.P.; Satija, A.; Hu, F.B. Foods, Nutrients, and Dietary Patterns: Interconnections and Implications for Dietary Guidelines. Adv. Nutr. 2016, 7, 445–454. [Google Scholar] [CrossRef] [PubMed]
- Pérez-Tepayo, S.; Rodríguez-Ramírez, S.; Unar-Munguía, M.; Shamah-Levy, T. Trends in the dietary patterns of Mexican adults by sociodemographic characteristics. Nutr. J. 2020, 19, 51. [Google Scholar] [CrossRef]
- Kowalkowska, J.; Wadolowska, L.; Czarnocinska, J.; Galinski, G.; Dlugosz, A.; Loboda, D.; Czlapka-Matyasik, M. Data-Driven Dietary Patterns and Diet Quality Scores: Reproducibility and Consistency in Sex and Age Subgroups of Poles Aged 15–65 Years. Nutrition 2020, 12, 3598. [Google Scholar]
- Edefonti, V.; Parpinel, M.; Ferraroni, M.; Boracchi, P.; Schioppo, T.; Scotti, I.; Ubiali, T.; Currenti, W.; De Lucia, O.; Cutolo, M.; et al. A Posteriori Dietary Patterns and Rheumatoid Arthritis Disease Activity: A Beneficial Role of Vegetable and Animal Unsaturated Fatty Acids. Nutrients 2020, 12, 3856. [Google Scholar] [CrossRef] [PubMed]
- Prendiville, V.; McNamara, A.E.; Brennan, L. The reproducibility and stability of dietary patterns. Proc. Nutr. Soc. 2020, 79, E516. [Google Scholar] [CrossRef]
- Panaretos, D.; Tzavelas, G.; Vamvakari, M.; Panagiotakos, D. Repeatability of dietary patterns extracted through multivariate statistical methods: A literature review in methodological issues. Int. J. Food Sci. Nutr. 2017, 68, 385–391. [Google Scholar] [CrossRef]
- Okeyo, A.P.; Seekoe, E.; de Villiers, A.; Faber, M.; Nel, J.P.H.; Steyn, N. Dietary Practices and Adolescent Obesity in Secondary School Learners at Disadvantaged Schools in South Africa: Urban–Rural and Gender Differences. Int. J. Environ. Res. Public Health 2020, 17, 5864. [Google Scholar] [CrossRef]
- Tseng, M.; Devellis, R.F. Fundamental Dietary Patterns and Their Correlates Among US Whites. J. Am. Diet. Assoc. 2001, 101, 929–932. [Google Scholar] [CrossRef] [Green Version]
- Popkin, B.M.; Reardon, T. Obesity and the food system transformation in Latin America. Obes. Rev. 2018, 19, 1028–1064. [Google Scholar] [CrossRef] [PubMed]






| Actual Dietary Intakes | Recommended Dietary Intakes | Gap (%) a | One Sample t-Test (p Value) | |
|---|---|---|---|---|
| Cereals (g/day) | 117 ± 27 | 250–400 | −53.2 | 0.0008 |
| Vegetables (g/day) | 90 ± 19 | 300–500 | −70 | <0.0001 |
| Fruits (g/day) | 97 ± 25 | 200–350 | −51.5 | <0.001 |
| Meats (g/day) | 100 ± 26 | 40–75 | 150 | 0.0261 |
| Aquatic products (g/day) | 2 ± 0.1 | 40–75 | −95 | <0.0001 |
| Eggs (g/day) | 38 ± 11 | 40–50 | −5 | 0.0311 |
| Dairy products (g/day) | 114 ± 29 | 300 | −62 | 0.0422 |
| Soybeans and nuts (g/day) | 42 ± 12 | 25–35 | 68 | 0.0005 |
| Oil (g/day) | 20 ± 5 | 25-30 | −20 | 0.0066 |
| Salt (g/day) | 4 ± 0.9 | <6 | −33.3 | 0.0029 |
| Water (mL/day) | 889 ± 256 | 1500–1700 | −40.7 | 0.0004 |
| Variables | Local Traditional Diet | Han Diet | Beverage Diet | Outsourcing Diet |
|---|---|---|---|---|
| Gender | p = 0.029 * | p = 0.133 | p = 0.011 * | p = 0.0034 ** |
| Male | −0.48 (−0.91–−0.03)) | 0.14 (–0.42–0.80) | −0.12 (−0.62–0.50) | 0.38 (−0.04–1.19) |
| Female | −0.30 (−0.82–0.35) | −0.12 (−0.66–0.46) | −0.17 (−0.61–0.35) | −0.09 (−0.65–0.54) |
| Region | p < 0.001 *** | p < 0.001 *** | p = 0.046 * | p < 0.001 *** |
| Urban | −0.18 (−0.74–0.49) | 0.38 (−0.40–1.13) | −0.06 (0.60–0.53) | 0.03 (−0.56–0.71) |
| Rural | 0.04 (−0.63–0.76) | −0.09 (−0.65–0.54) | −0.12 (−0.66–0.46) | −0.43 (−0.94–0.23) |
| Age | p =0.035 * | p < 0.001 *** | p = 0.027 * | p < 0.001 *** |
| 18~30 years | −0.12 (−0.69–0.58) | 0.08 (−0.47–0.84) | −0.22 (−0.92–0.41) | 0.07 (−0.43–0.85) |
| 31~50 years | −0.17 (−0.80–0.37) | 0.05 (−0.53–0.76) | 0.06 (−0.54–0.91) | 0.02 (−0.64–0.51) |
| ≥51 years | 0.13 (−0.42–0.97) | −0.02 (−0.59–0.53) | 0.02 (−0.64–0.51) | −0.27 (−0.78–0.38) |
Publisher’s Note: MDPI stays neutral with regard to jurisdictional claims in published maps and institutional affiliations. |
© 2021 by the authors. Licensee MDPI, Basel, Switzerland. This article is an open access article distributed under the terms and conditions of the Creative Commons Attribution (CC BY) license (https://creativecommons.org/licenses/by/4.0/).
Share and Cite
Zhou, C.; Li, M.; Liu, L.; Zhao, F.; Cong, W.; Zhang, F. Food Consumption and Dietary Patterns of Local Adults Living on the Tibetan Plateau: Results from 14 Countries along the Yarlung Tsangpo River. Nutrients 2021, 13, 2444. https://doi.org/10.3390/nu13072444
Zhou C, Li M, Liu L, Zhao F, Cong W, Zhang F. Food Consumption and Dietary Patterns of Local Adults Living on the Tibetan Plateau: Results from 14 Countries along the Yarlung Tsangpo River. Nutrients. 2021; 13(7):2444. https://doi.org/10.3390/nu13072444
Chicago/Turabian StyleZhou, Chenni, Mo Li, Lu Liu, Fangjie Zhao, Wenfeng Cong, and Fusuo Zhang. 2021. "Food Consumption and Dietary Patterns of Local Adults Living on the Tibetan Plateau: Results from 14 Countries along the Yarlung Tsangpo River" Nutrients 13, no. 7: 2444. https://doi.org/10.3390/nu13072444
APA StyleZhou, C., Li, M., Liu, L., Zhao, F., Cong, W., & Zhang, F. (2021). Food Consumption and Dietary Patterns of Local Adults Living on the Tibetan Plateau: Results from 14 Countries along the Yarlung Tsangpo River. Nutrients, 13(7), 2444. https://doi.org/10.3390/nu13072444

