Next Article in Journal
Association between Health Practice and Food Stockpiling for Disaster
Previous Article in Journal
Bone Marrow Adipocytes—Role in Physiology and Various Nutritional Conditions in Human and Animal Models
 
 
Font Type:
Arial Georgia Verdana
Font Size:
Aa Aa Aa
Line Spacing:
Column Width:
Background:
Article

Individuals Diagnosed with Binge-Eating Disorder Have DNA Hypomethylated Sites in Genes of the Metabolic System: A Pilot Study

by
Mariana Lizbeth Rodríguez-López
1,
José Jaime Martínez-Magaña
1,
David Ruiz-Ramos
2,
Ana Rosa García
3,
Laura Gonzalez
4,
Carlos Alfonso Tovilla-Zarate
5,
Emmanuel Sarmiento
3,
Isela Esther Juárez-Rojop
2,
Humberto Nicolini
1,*,
Thelma Beatriz Gonzalez-Castro
6 and
Alma Delia Genis-Mendoza
1,*
1
Genomics of Psychiatric and Neurodegenerative Diseases Laboratory, National Institute of Genomic Medicine (INMEGEN), Mexico City 01090, Mexico
2
Biomedical Postgraduate Program, Academic Division of Health Sciences, Juárez Autonomous University of Tabasco, Villahermosa 86000, Mexico
3
Children’s Psychiatric Hospital “Dr. Juan N. Navarro”, Mexico City 01090, Mexico
4
National Institute of Psychiatry “Dr. Ramón de la Fuente Muñiz”, Mexico City 01090, Mexico
5
Genomics Laboratory, Comalcalco Multidisciplinary Academic Division, Juárez Autonomous University of Tabasco, Villahermosa 86000, Mexico
6
Genomics Laboratory, Academic Division Jalpa de Mendez, Juárez Autonomous University of Tabasco, Jalpa de Mendez 86200, Mexico
*
Authors to whom correspondence should be addressed.
Nutrients 2021, 13(5), 1413; https://doi.org/10.3390/nu13051413
Submission received: 3 March 2021 / Revised: 6 April 2021 / Accepted: 16 April 2021 / Published: 22 April 2021
(This article belongs to the Section Nutrigenetics and Nutrigenomics)

Abstract

Binge-eating disorder, recently accepted as a diagnostic category, is differentiated from bulimia nervosa in that the former shows the presence of binge-eating episodes and the absence of compensatory behavior. Epigenetics is a conjunct of mechanisms (like DNA methylation) that regulate gene expression, which are dependent on environmental changes. Analysis of DNA methylation in eating disorders shows that it is reduced. The present study aimed to analyze the genome-wide DNA methylation differences between individuals diagnosed with BED and BN. A total of 46 individuals were analyzed using the Infinium Methylation EPIC array. We found 11 differentially methylated sites between BED- and BN-diagnosed individuals, with genome-wide significance. Most of the associations were found in genes related to metabolic processes (ST3GAL4, PRKAG2, and FRK), which are hypomethylated genes in BED. Cg04781532, located in the body of the PRKAG2 gene (protein kinase AMP-activated non-catalytic subunit gamma 2), was hypomethylated in individuals with BED. Agonists of PRKAG2, which is the subunit of AMPK (AMP-activated protein kinase), are proposed to treat obesity, BED, and BN. The present study contributes important insights into the effect that BED could have on PRKAG2 activation.

1. Introduction

Bulimia nervosa (BN) and binge-eating disorder (BED) are classified as eating disorders (EDs), which are mental disorders characterized by an alteration in eating behaviors [1,2]. These disorders are present worldwide, with a prevalence ranging from 1.0% to 2.0% [3,4,5,6]. BN and BED are highly related but differ in terms of restrictive behavior. Individuals diagnosed with BN have a fear of gaining weight in combination with recurrent binge eating episodes (i.e., consumption of large amounts of food in short periods of time, with a loss of control), followed by compensatory behaviors [7,8]. Meanwhile, individuals diagnosed with BED have binge eating episodes, but these episodes are not followed by compensatory behaviors [1,8]. BED has recently been recognized as a separate disorder, while it was previously included in eating disorders not otherwise specified. Studies of this disorder are still missing [9,10]. Despite the differences between BN and BED, some authors have proposed that BED could be a severe eating disorder. This increased severity is related to a higher presence of psychiatric metabolic comorbidities [10,11,12,13,14,15,16,17], the ability to differentiate between these disorders is essential for health providers, as it allows them to provide the correct treatment. Later, eating disorders were considered adult-onset disorders, but recent studies have reported that the early-onset of these disorders is correlated with a higher severity [18,19,20,21].
BN and BED are considered complex traits, since their etiology is the effect of the accumulation of different biological, social, and environmental factors [22,23]. In this sense, epigenetics is the processes that influence the expression of genes, without changing the gene structure [22,24]. Epigenetics has been proposed as the link between environmental changes and gene expression. It is the process by which an organism changes its phenotype in response to the environment [25]. The environment could be as simple as the cell microenvironment or as complex as metabolic changes, drug use, or stressful stimuli [26]. The most studied epigenetic change in humans is the dysregulation of the DNA methylation profile [22,27,28]. DNA methylation is found in the 5′ position of the cytosine, and it is necessary for the repression of gene expression [29,30,31,32,33]. However, the study of methylation in eating disorders is still lacking. The main studies have focused on candidate regions, with few studies on genome-wide DNA methylation scanning [24]. DNA methylation occurs in the 5′ position of cytosine, and guanine is in the next position. This cytosine is known as the CpG site, and if it is methylated, it is also called a methylated site [23]. To date and as far as we know, there has not been any epigenetic study on individuals diagnosed with BED [23]. The hypomethylation of the promoter of the atrial natriuretic peptide and dopamine transporter in individuals diagnosed with BN has been reported [23,34,35]. Additionally, another study of ED-diagnosed individuals demonstrated hypermethylation on the oxytocin receptor, which was negatively correlated with body mass index (BMI) [36], pointing to a relationship between the effect of ED on BMI and epigenetic changes. Nevertheless, the epigenetics of ED is still an emerging field.
Several studies are exploring epigenetic factors, but no studies have focused on the differences between disorders. As mentioned, BN and BED are differentiated in terms of compensatory behaviors. Nevertheless, it is not known whether the presence of these compensatory behaviors is enough to promote epigenetic changes. In this sense, the present study aims to compare the genome-wide DNA methylation profiles of individuals diagnosed with BN and BED. We hypothesized that the lack of compensatory behaviors could promote epigenetic changes between BN and BED. As far as we know, this is the first study to explore DNA methylation data in Mexican adolescents diagnosed with EDs.

2. Materials and Methods

2.1. Study Design

This was a cross-sectional study, with a sample-based design.

2.2. Sample Population

In this analysis, we included a total of 46 individuals, with 25 diagnosed with BN and 21 with BED. The individuals were recruited from the area of external consultation of the Hospital Psiquiátrico Infantil Juan N Navarro. The inclusion criteria included children or adolescent (age between 8–17 years), enrolled between 2016–2018, diagnosed with BED or BN only, non-tobacco users, and neither medical nor illegal drugs users. All evaluations were performed by psychiatrists specializing in eating disorders. The recruitment was performed by means of psychiatric treatment. The psychiatrist invited the children or adolescents to participate by speaking with their parents, with a previous explanation that not accepting to participate would not impact their treatment in any way. Besides, no monetary compensation was delivered. Once the aims of the study were exposed, the children/adolescents signed an informed assent, and their parents signed an informed consent. The evaluation of eating patterns was performed using the Spanish version of the Questionnaire on Eating and Weight Patterns-5 (QEWPR-5) and the Eating Attitude Test-26 [37,38]. The present work was approved by the research and ethics committee of the Hospital Psiquiátrico Infantil Juan N Navarro (Number = II3/01/0913) and the Instituto Nacional de Medicina Genómica (Number = 06/2018/I).

2.3. Anthropometric and Clinical Characteristics

The age, gender, scholarship, and parents/grandparents’ country of birth of the participants were collected using a structured questionnaire of all the individuals. The anthropometric measurements collected included the weight and height, as previously reported [39]. The body mass index (BMI) was determined according to the obesity task force criteria. One of the limitations of the use of BMI on children and adolescents is that this parameter could be influenced by the development of the child. In order to conduct a comparison of the participants’ BMI, we transformed this value into z-score (z-BMI) values, according to previous reports [40,41]. Screening of binge-eating behavior was performed with the QEWPR-5 and EAT-26, and the diagnostic confirmation was performed by the children’s specialized psychiatrist. QEWPR-5 is a structured questionnaire that allows for the screening of binge-eating disorders based on the DSM-5 criteria. Meanwhile, the EAT-26 is a structured questionnaire that allows for the diagnosis of bulimia nervosa.
The mean age of the participants was 13.91 (Table 1). Of the total 45 adolescents, 12 were males, and 34 were females. Non-individuals diagnosed with BED had compensatory behavior. The mean z-score value for body mass index (BMI) in the total sample was 1.25. Thus, based on the 2007 WHO growth chart reference for school-age children and adolescents, 12 of the participants were overweight, and 19 were obese [40]. The individuals with BED had a higher BMI, compared to the BN individuals (t = −4.02, p-value = 2.24 × 10−4), as evaluated by the Student’s t-test. As expected, none of the individuals diagnosed with BED had compensatory behavior.

2.4. DNA Extraction and Microarray DNA Methylation

Once the diagnostic was confirmed, the informed assent/consent was signed, and only if the adolescents accepted to donate the sample, a tube with blood and EDTA (anticlotting agent) was collected by venipuncture. Whole blood samples were collected, and the DNA was extracted using the Gentra Puregene Blood Kit (Qiagen, Germantown, MD, USA), according to the manufacturer’s protocol. The DNA was converted using bisulfite with the Zymo research kit (Zymo, Irvine, CA, USA). The bisulfite-converted DNA was hybridized to the Illumina Infinium Methylation EPIC microarray beadchip (Illumina, San Diego, CA, USA), following the manufacturer’s microarray protocol. The fluorescence intensity was scanned using iScan, and it was transformed into idat files using the GenomeStudio software (Illumina, USA). Quality control was also applied using the ChAMP package [42], according to previously published algorithms. Briefly, we removed the probes using (i) p-value detection (higher than 0.01); (ii) less than 3 beads in less than 5% of the samples; (iii) all non-CpGs sites; (iv) SNP-associated probes; (v) sexual chromosome-associated probes; and (vi) multi-hit probes. Samples with a ratio higher than 0.1 were also removed. Normalization was performed using the beta-mixture quantile normalization method, batch effect removal (slide, array, gender, and age), and adjustment by blood cell proportions were performed, following the algorithm implemented in ChAMP [43].

2.5. Differential Methylated Sites Analysis

For these analyses, we used the beta values from the quality control file of the ChAMP package, and a comparison of the groups was performed using the linear models of the limma package [44]. We compared BN with BED and also analyzed BMI (with the z-scores of BMI as the numerical variable). We considered a value statistically significant if the p-values were lower than 5 × 10−8 (genome-wide significance). We annotated the sites to their gene location (1st Exon, 3′UTR, 5′UTR, Body, Exon Bound, TSS1500, and TSS200) based on the EPIC array manifest. Based on the sample size, we performed a power analysis using the pwrEWAS package [45]. Expecting a difference of betas (delta of Beta) of 0.03, we reached a statistical power of 41.0%.

3. Results

Differentially Methylated Sites in BN and BED

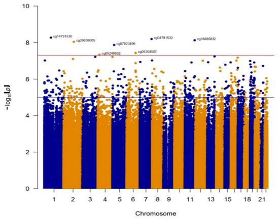
In the comparison of bulimia nervosa and binge-eating disorder, we found 11 differentially methylated sites at a genome-wide level (p-value < 5 × 10−8) (Figure 1).
Of the 11 sites, 4 were intergenic, and 7 were located in gene-coding regions (CTBS, SLITRK3, PACRGL, FRK, PRKAG2, ST3GAL4, and BANP) (Table 2). In the gene position, 2 sites were in transcription starting sites, 2 sites were in the gene body, 1 was in the first exon, and 1 was in the untranslated region.
Only three sites were CpG islands, 6 were in Open Sea, 1 was in the shelf, and 1 was on the shore. Of the 11 CpG sites, 9 were hypomethylated in individuals diagnosed with BED. The cg00059161 and cg05248502 were hypermethylated in BED-diagnosed individuals. The higher difference between the groups was found in the cg05304507 associated to the promoter of FRK. Additionally, cg05304507 was hypomethylated in individuals diagnosed with BED. In the analysis of differentially methylated sites with BMI, we did not find any CpG site that reached a genome-wide association (p-value < 5 × 10−8).

4. Discussion

Binge-eating disorder (BED) and bulimia nervosa (BN) are differentiated compensatory behaviors in individuals diagnosed with BED. During a binge eating episode, individuals tend to eat fat-rich foods and, as a consequence, have a higher caloric intake [46,47,48,49]. The higher caloric intake has a direct impact in promoting a higher BMI in individuals diagnosed with BED (also seen in this study), and as a consequence, this promotes a higher metabolic disturbance (like adiposity increase) [50,51,52]. Some studies using genetic scoring and Mendelian randomization studies have proposed that epigenetic changes are a consequence of this metabolic disturbance [53,54,55]. One gene that could be influenced by this metabolic disturbance is PRKAG2. PRKAG2 encodes the γ2-subunit isoform of the AMP-activated protein kinase (AMPK), which is a cellular energy sensor and modulates energy homeostasis [56,57,58]. AMPK is a heterotrimeric serine-threonine kinase that senses cellular energetics, and the activated form triggers the catabolic process and represses anabolic biosynthesis [59,60]. Beyond the metabolic effect, AMPK is essential for the orexigenic effect of ghrelin [61,62,63]. Constitutively, the expression of an active form of AMPK, by recombinant adenoviral expression, acutely increases mice food intake and body weight, suggesting the central role of AMPK in the regulation of eating behavior [64,65]. Furthermore, the chronic expression of PRKAG2 promotes hyperphagia and obesity [66]. In homology, we can see that individuals diagnosed with BED had hypomethylated PRKAG2, suggesting a higher expression of the gene, compared to individuals diagnosed with BN. Nevertheless, the effect of the activation of the former depends on the neuron population [67]. The present result could have a high relevance in terms of the design and use of drugs to activate the AMPK pathway used in the treatment of BED, BN, obesity, and diabetes mellitus type II [68,69,70,71].
Another gene with hypomethylated CpG sites in individuals diagnosed with BED, and not in those diagnosed with BN, is ST3GAL4. ST3GAL4, ST3 beta-galactoside alpha-2,3-sialyltransferase 4, is one of the six enzymes that catalyzes Sia-2,3Gal linkages at the ends of glycoproteins. A deficiency of this enzyme in mice is concomitant with depression- and anxiety-like behavior [72,73]. Such behaviors could be important in the modulation of the mood of individuals diagnosed with BED, principally because depression and anxiety are the more common comorbidities found in individuals with this condition.
The gene that showed the most differences was FRK (fyn-related kinase). FRK is a 59KDa tyrosine kinase protein that belongs to the Src family [74,75]. The former has recently been reported to play a crucial role in diabetes induction and the increase of proinflammatory signals [76,77,78]. The activation of FRK induces cytotoxic signals to the beta pancreatic cells in response to several cytokines or beta cell toxins (like streptozotocin) [79,80], thus promoting the induction of diabetes. Our results showed a hypomethylation of FRK in BED, compared to BN, suggesting an overexpression of the gene, which could lead to a higher induction of cytotoxic signals. This change in methylation could point to a higher risk of metabolic dysfunction in individuals diagnosed with BED, compared to those diagnosed with BN.
Even when we found interesting associations in the effect that BED could have on epigenomes, compared to BN, we noticed some limitations of our work. The main one is the sample size, which imitates the statistical power of our associations. Another limitation is associated with the lack of biochemical and food intake data, principally during the binge eating episodes. These data could help us to better characterize the epigenetic changes due to environmental sources. Another point to mention is that we did not find any associations with BMI, which may be because this construct cannot be perfectly measured in individuals diagnosed with ED. This limitation could pose some issues, as individuals diagnosed with ED are generally more worried about other weight constructs than they are about BMI [81]. Nevertheless, further analysis of the phenotype and a larger sample are required to replicate our findings.

5. Conclusions

Individuals diagnosed with BED showed hypomethylation in genes of the metabolic system, and those diagnosed with BN did not. The present result could be important in connection with the use of agonists or activators of AMPK in the treatment of BED, BN, or obesity.

Author Contributions

Conceptualization, J.J.M.-M., H.N., and A.D.G.-M.; Methodology, A.D.G.-M.; Software, J.J.M.-M. and M.L.R.-L.; Validation, A.D.G.-M., D.R.-R., A.R.G., L.G., C.A.T.-Z., E.S., and I.E.J.-R.; Formal analysis, J.J.M.-M. and M.L.R.-L.; Investigation, T.B.G.-C., J.J.M.-M.; Resources, J.J.M.-M.; Data curation, M.L.R.-L.; Writing—Original draft preparation, J.J.M.-M., D.R.-R., A.R.G., C.A.T.-Z., I.E.J.-R., and M.L.R.-L.; Writing—review and editing, H.N. and A.D.G.-M.; Visualization, D.R.-R.; Supervision, H.N.; Project administration, A.D.G.-M.; Funding acquisition, H.N. All authors have read and agreed to the published version of the manuscript.

Funding

This research was funded by Fundación Gonzalo Río Arronte, grant number S591 and Instituto Nacional de Medicina Genómica (grant no. 06/2018/I).

Institutional Review Board Statement

The study was conducted according to the guidelines of the Declaration of Helsinki and was approved by the Ethics Committees of the Instituto Nacional de Medicina Genómica (protocol code: 06/2018/I; and date: 06/5018) and Hospital Psiquiátrico Infantil Juan N Navarro (protocol code: II3/01/0913; and date: 10/2017).

Informed Consent Statement

Informed consent and assent were obtained from all subjects involved in the study.

Data Availability Statement

The data presented in this study are available in the Supplementary material. Additional data are available on request from the corresponding author, which were omitted due to privacy and ethical issues.

Acknowledgments

We want to acknowledge the Unidad de Microarreglos del Instituto Nacional de Medicina Genómica for their technical support.

Conflicts of Interest

The authors declare no conflict of interest.

References

  1. Kornstein, S.G.; Kunovac, J.L.; Herman, B.K.; Culpepper, L. Recognizing Binge-Eating Disorder in the Clinical Setting: A Review of the Literature. Prim. Care Companion CNS Disord. 2016, 18. [Google Scholar] [CrossRef] [PubMed]
  2. Mathes, W.F.; Brownley, K.A.; Mo, X.; Bulik, C.M. The biology of binge eating. Appetite 2009, 52, 545–553. [Google Scholar] [CrossRef] [PubMed]
  3. Hudson, J.I.; Hiripi, E.; Pope, H.G.J.; Kessler, R.C. The prevalence and correlates of eating disorders in the National Comorbidity Survey Replication. Biol. Psychiatry 2007, 61, 348–358. [Google Scholar] [CrossRef] [PubMed]
  4. Kessler, R.C.; Berglund, P.A.; Chiu, W.T.; Deitz, A.C.; Hudson, J.I.; Shahly, V.; Aguilar-Gaxiola, S.; Alonso, J.; Angermeyer, M.C.; Benjet, C.; et al. The prevalence and correlates of binge eating disorder in the World Health Organization World Mental Health Surveys. Biol. Psychiatry 2013, 73, 904–914. [Google Scholar] [CrossRef]
  5. Mitchison, D.; Hay, P.J. The epidemiology of eating disorders: Genetic, environmental, and societal factors. Clin. Epidemiol. 2014, 6, 89–97. [Google Scholar] [CrossRef]
  6. Ruiz-Lázaro, P.M.; Comet, M.P.; Calvo, A.I.; Zapata, M.; Cebollada, M.; Trébol, L.; Lobo, A. Prevalence of eating disorders in early adolescent students. Actas Esp. Psiquiatr. 2010, 38, 204–211. [Google Scholar]
  7. Fairburn, C.G.; Harrison, P.J. Eating Disorders. Lancet 2003, 361, 407–416. [Google Scholar] [CrossRef]
  8. Mehler, P.S.; Rylander, M. Bulimia Nervosa—Medical complications. J. Eat. Disord. 2015, 3, 12. [Google Scholar] [CrossRef]
  9. Amianto, F.; Ottone, L.; Abbate Daga, G.; Fassino, S. Binge-eating disorder diagnosis and treatment: A recap in front of DSM-5. BMC Psychiatry 2015, 15, 70. [Google Scholar] [CrossRef]
  10. Jordan, J.; McIntosh, V.V.W.; Carter, J.D.; Rowe, S.; Taylor, K.; Frampton, C.M.A.; McKenzie, J.M.; Latner, J.; Joyce, P.R. Bulimia nervosa-nonpurging subtype: Closer to the bulimia nervosa-purging subtype or to binge eating disorder? Int. J. Eat. Disord. 2014, 47, 231–238. [Google Scholar] [CrossRef]
  11. Grilo, C.M.; White, M.A.; Gueorguieva, R.; Wilson, G.T.; Masheb, R.M. Predictive significance of the overvaluation of shape/weight in obese patients with binge eating disorder: Findings from a randomized controlled trial with 12-month follow-up. Psychol. Med. 2013, 43, 1335–1344. [Google Scholar] [CrossRef]
  12. Fassino, S.; Leombruni, P.; Pierò, A.; Abbate-Daga, G.; Giacomo Rovera, G. Mood, eating attitudes, and anger in obese women with and without Binge Eating Disorder. J. Psychosom. Res. 2003, 54, 559–566. [Google Scholar] [CrossRef]
  13. Robinson, A.H.; Safer, D.L. Moderators of dialectical behavior therapy for binge eating disorder: Results from a randomized controlled trial. Int. J. Eat. Disord. 2012, 45, 597–602. [Google Scholar] [CrossRef]
  14. Peterson, C.B.; Swanson, S.A.; Crow, S.J.; Mitchell, J.E.; Agras, W.S.; Halmi, K.A.; Crosby, R.D.; Wonderlich, S.A.; Berg, K.C. Longitudinal stability of binge-eating type in eating disorders. Int. J. Eat. Disord. 2012, 45, 664–669. [Google Scholar] [CrossRef]
  15. Castellini, G.; Lo Sauro, C.; Mannucci, E.; Ravaldi, C.; Rotella, C.M.; Faravelli, C.; Ricca, V. Diagnostic crossover and outcome predictors in eating disorders according to DSM-IV and DSM-V proposed criteria: A 6-year follow-up study. Psychosom. Med. 2011, 73, 270–279. [Google Scholar] [CrossRef]
  16. Striegel-Moore, R.H.; Cachelin, F.M.; Dohm, F.-A.; Pike, K.M.; Wilfley, D.E.; Fairburn, C.G. Comparison of binge eating disorder and bulimia nervosa in a community sample. Int. J. Eat. Disord. 2001, 29, 157–165. [Google Scholar] [CrossRef]
  17. Ruiz-Ramos, D.; Martínez-Magaña, J.J.; García, A.R.; Juarez-Rojop, I.E.; González-Castro, T.B.; Tovilla-Zárate, C.A.; Sarmiento, E.; López-Narvaez, M.L.; Sanchez, N.; Genis-Mendoza, A.D. Psychiatric Comorbidity in Mexican Adolescents with a Diagnosis of Eating Disorders Its Relationship with the Body Mass Index. Int. J. Environ. Res. Public Health 2021, 18. [Google Scholar] [CrossRef]
  18. Rikani, A.A.; Choudhry, Z.; Choudhry, A.M.; Ikram, H.; Asghar, M.W.; Kajal, D.; Waheed, A.; Mobassarah, N.J. A critique of the literature on etiology of eating disorders. Ann. Neurosci. 2013, 20, 157–161. [Google Scholar] [CrossRef]
  19. Fairburn, C.G.; Cooper, Z.; Bohn, K.; O’Connor, M.E.; Doll, H.A.; Palmer, R.L. The severity and status of eating disorder NOS: Implications for DSM-V. Behav. Res. Ther. 2007, 45, 1705–1715. [Google Scholar] [CrossRef]
  20. Sim, L.A.; McAlpine, D.E.; Grothe, K.B.; Himes, S.M.; Cockerill, R.G.; Clark, M.M. Identification and treatment of eating disorders in the primary care setting. Mayo Clin. Proc. 2010, 85, 746–751. [Google Scholar] [CrossRef]
  21. Halmi, K.A. Anorexia nervosa: An increasing problem in children and adolescents. Dialogues Clin. Neurosci. 2009, 11, 100–103. [Google Scholar] [CrossRef]
  22. Tammen, S.A.; Friso, S.; Choi, S.W. Epigenetics: The link between nature and nurture. Mol. Asp. Med. 2013, 34, 753–764. [Google Scholar] [CrossRef]
  23. Bulik, C.M.; Yilmaz, Z.; Hardaway, J.A. Genetics and epigenetics of eating disorders. Adv. Genom. Genet. 2015, 5, 131–150. [Google Scholar] [CrossRef]
  24. Hübel, C.; Marzi, S.J.; Breen, G.; Bulik, C.M. Epigenetics in eating disorders: A systematic review. Mol. Psychiatry 2019, 24, 901–915. [Google Scholar] [CrossRef]
  25. Turner, B.M. Epigenetic responses to environmental change and their evolutionary implications. Philos. Trans. R. Soc. Lond. Ser. B Biol. Sci. 2009, 364, 3403–3418. [Google Scholar] [CrossRef]
  26. Alegría-Torres, J.A.; Baccarelli, A.; Bollati, V. Epigenetics and lifestyle. Epigenomics 2011, 3, 267–277. [Google Scholar] [CrossRef]
  27. Weinhold, B. Epigenetics: The science of change. Environ. Health Perspect. 2006, 114, A160–A167. [Google Scholar] [CrossRef]
  28. Moosavi, A.; Motevalizadeh Ardekani, A. Role of Epigenetics in Biology and Human Diseases. Iran. Biomed. J. 2016, 20, 246–258. [Google Scholar] [CrossRef]
  29. Barbarino, J.M.; Whirl-Carrillo, M.; Altman, R.B.; Klein, T.E. PharmGKB: A worldwide resource for pharmacogenomic information. Wiley Interdiscip. Rev. Syst. Biol. Med. 2018, 10, e1417. [Google Scholar] [CrossRef]
  30. Razin, A.; Cedar, H. DNA methylation and gene expression. Microbiol. Rev. 1991, 55, 451–458. [Google Scholar] [CrossRef]
  31. Zhong, H.; Kim, S.; Zhi, D.; Cui, X. Predicting gene expression using DNA methylation in three human populations. PeerJ 2019, 7, e6757. [Google Scholar] [CrossRef] [PubMed]
  32. Blagosklonny, M.V. Disease or not, aging is easily treatable. Aging 2018, 10, 3067–3078. [Google Scholar] [CrossRef] [PubMed]
  33. Lim, Y.C.; Li, J.; Ni, Y.; Liang, Q.; Zhang, J.; Yeo, G.S.H.; Lyu, J.; Jin, S.; Ding, C. A complex association between DNA methylation and gene expression in human placenta at first and third trimesters. PLoS ONE 2017, 12, e0181155. [Google Scholar] [CrossRef] [PubMed]
  34. Zerwas, S.; Bulik, C.M. Genetics and Epigenetics of Eating Disorders. Psychiatr. Ann. 2011, 41, 532–538. [Google Scholar] [CrossRef]
  35. Steiger, H.; Booij, L. Eating Disorders, Heredity and Environmental Activation: Getting Epigenetic Concepts into Practice. J. Clin. Med. 2020, 9, 1332. [Google Scholar] [CrossRef]
  36. Kim, Y.-R.; Kim, J.-H.; Kim, M.J.; Treasure, J. Differential methylation of the oxytocin receptor gene in patients with anorexia nervosa: A pilot study. PLoS ONE 2014, 9, e88673. [Google Scholar] [CrossRef]
  37. Yanovski, S.Z.; Marcus, M.D.; Wadden, T.A.; Walsh, B.T. The Questionnaire on Eating and Weight Patterns-5: An updated screening instrument for binge eating disorder. Int. J. Eat. Disord. 2015, 48, 259–261. [Google Scholar] [CrossRef]
  38. Rivas, T.; Bersabé, R.; Jiménez, M.; Berrocal, C. The eating attitudes test (EAT-26): Reliability and validity in spanish female samples. Span. J. Psychol. 2010, 13, 1044–1056. [Google Scholar] [CrossRef]
  39. Tovilla-Zárate, C.; Juárez-Rojop, I.; Peralta Jimenez, Y.; Jiménez, M.A.; Vázquez, S.; Bermúdez-Ocaña, D.; Ramón-Frías, T.; Genis Mendoza, A.D.; García, S.P.; Narváez, L.L. Prevalence of anxiety and depression among outpatients with type 2 diabetes in the Mexican population. PLoS ONE 2012, 7, e36887. [Google Scholar] [CrossRef]
  40. Hernández-Cordero, S.; Cuevas-Nasu, L.; Morán-Ruán, M.C.; Méndez-Gómez Humarán, I.; Ávila-Arcos, M.A.; Rivera-Dommarco, J.A. Overweight and obesity in Mexican children and adolescents during the last 25 years. Nutr. Diabetes 2017, 7. [Google Scholar] [CrossRef]
  41. Shamah-Levy, T.; Campos-Nonato, I.; Cuevas-Nasu, L.; Hernández-Barrera, L.; Morales-Ruán, M.d.C.; Rivera-Dommarco, J.; Barquera, S. Overweight and obesity in Mexican vulnerable population. Results of Ensanut 100k. Salud Publica Mex. 2019, 61, 852–865. [Google Scholar] [CrossRef]
  42. Tian, Y.; Morris, T.J.; Webster, A.P.; Yang, Z.; Beck, S.; Feber, A.; Teschendorff, A.E. ChAMP: Updated methylation analysis pipeline for Illumina BeadChips. Bioinformatics 2017, 33, 3982–3984. [Google Scholar] [CrossRef]
  43. Houseman, E.A.; Accomando, W.P.; Koestler, D.C.; Christensen, B.C.; Marsit, C.J.; Nelson, H.H.; Wiencke, J.K.; Kelsey, K.T. DNA methylation arrays as surrogate measures of cell mixture distribution. BMC Bioinform. 2012, 13, 86. [Google Scholar] [CrossRef]
  44. Ritchie, M.E.; Phipson, B.; Wu, D.; Hu, Y.; Law, C.W.; Shi, W.; Smyth, G.K. Limma powers differential expression analyses for RNA-sequencing and microarray studies. Nucleic Acids Res. 2015, 43, e47. [Google Scholar] [CrossRef]
  45. Graw, S.; Henn, R.; Thompson, J.A.; Koestler, D.C. pwrEWAS: A user-friendly tool for comprehensive power estimation for epigenome wide association studies (EWAS). BMC Bioinform. 2019, 20, 218. [Google Scholar] [CrossRef]
  46. Pacanowski, C.R.; Mason, T.B.; Crosby, R.D.; Mitchell, J.E.; Crow, S.J.; Wonderlich, S.A.; Peterson, C.B. Weight Change over the Course of Binge Eating Disorder Treatment: Relationship to Binge Episodes and Psychological Factors. Obesity 2018, 26, 838–844. [Google Scholar] [CrossRef]
  47. Mirch, M.C.; McDuffie, J.R.; Yanovski, S.Z.; Schollnberger, M.; Tanofsky-Kraff, M.; Theim, K.R.; Krakoff, J.; Yanovski, J.A. Effects of binge eating on satiation, satiety, and energy intake of overweight children. Am. J. Clin. Nutr. 2006, 84, 732–738. [Google Scholar] [CrossRef]
  48. Raymond, N.C.; Neumeyer, B.; Warren, C.S.; Lee, S.S.; Peterson, C.B. Energy intake patterns in obese women with binge eating disorder. Obes. Res. 2003, 11, 869–879. [Google Scholar] [CrossRef]
  49. Raymond, N.C.; Bartholome, L.T.; Lee, S.S.; Peterson, R.E.; Raatz, S.K. A comparison of energy intake and food selection during laboratory binge eating episodes in obese women with and without a binge eating disorder diagnosis. Int. J. Eat. Disord. 2007, 40, 67–71. [Google Scholar] [CrossRef]
  50. Roehrig, M.; Masheb, R.M.; White, M.A.; Grilo, C.M. Dieting frequency in obese patients with binge eating disorder: Behavioral and metabolic correlates. Obesity 2009, 17, 689–697. [Google Scholar] [CrossRef]
  51. Barnes, R.D.; Boeka, A.G.; McKenzie, K.C.; Genao, I.; Garcia, R.L.; Ellman, M.S.; Ellis, P.J.; Masheb, R.M.; Grilo, C.M. Metabolic syndrome in obese patients with binge-eating disorder in primary care clinics: A cross-sectional study. Prim. Care Companion CNS Disord. 2011, 13. [Google Scholar] [CrossRef]
  52. McCuen-Wurst, C.; Ruggieri, M.; Allison, K.C. Disordered eating and obesity: Associations between binge-eating disorder, night-eating syndrome, and weight-related comorbidities. Ann. N. Y. Acad. Sci. 2018, 1411, 96–105. [Google Scholar] [CrossRef]
  53. Wahl, S.; Drong, A.; Lehne, B.; Loh, M.; Scott, W.R.; Kunze, S.; Tsai, P.-C.; Ried, J.S.; Zhang, W.; Yang, Y.; et al. Epigenome-wide association study of body mass index, and the adverse outcomes of adiposity. Nature 2017, 541, 81–86. [Google Scholar] [CrossRef]
  54. Fradin, D.; Boëlle, P.-Y.; Belot, M.-P.; Lachaux, F.; Tost, J.; Besse, C.; Deleuze, J.-F.; De Filippo, G.; Bougnères, P. Genome-Wide Methylation Analysis Identifies Specific Epigenetic Marks in Severely Obese Children. Sci. Rep. 2017, 7, 46311. [Google Scholar] [CrossRef]
  55. Feinberg, A.P.; Irizarry, R.A.; Fradin, D.; Aryee, M.J.; Murakami, P.; Aspelund, T.; Eiriksdottir, G.; Harris, T.B.; Launer, L.; Gudnason, V.; et al. Personalized epigenomic signatures that are stable over time and covary with body mass index. Sci. Transl. Med. 2010, 2, 49ra67. [Google Scholar] [CrossRef]
  56. Xu, Y.; Gray, A.; Hardie, D.G.; Uzun, A.; Shaw, S.; Padbury, J.; Phornphutkul, C.; Tseng, Y.-T. A novel, de novo mutation in the PRKAG2 gene: Infantile-onset phenotype and the signaling pathway involved. Am. J. Physiol. Heart Circ. Physiol. 2017, 313, H283–H292. [Google Scholar] [CrossRef]
  57. Kahn, B.B.; Alquier, T.; Carling, D.; Hardie, D.G. AMP-activated protein kinase: Ancient energy gauge provides clues to modern understanding of metabolism. Cell Metab. 2005, 1, 15–25. [Google Scholar] [CrossRef]
  58. Steinberg, G.R.; Kemp, B.E. AMPK in Health and Disease. Physiol. Rev. 2009, 89, 1025–1078. [Google Scholar] [CrossRef]
  59. Xiao, B.; Sanders, M.J.; Underwood, E.; Heath, R.; Mayer, F.V.; Carmena, D.; Jing, C.; Walker, P.A.; Eccleston, J.F.; Haire, L.F.; et al. Structure of mammalian AMPK and its regulation by ADP. Nature 2011, 472, 230–233. [Google Scholar] [CrossRef]
  60. Hardie, D.G. AMPK—Sensing energy while talking to other signaling pathways. Cell Metab. 2014, 20, 939–952. [Google Scholar] [CrossRef]
  61. Andersson, U.; Filipsson, K.; Abbott, C.R.; Woods, A.; Smith, K.; Bloom, S.R.; Carling, D.; Small, C.J. AMP-activated protein kinase plays a role in the control of food intake. J. Biol. Chem. 2004, 279, 12005–12008. [Google Scholar] [CrossRef]
  62. Yang, Y.; Atasoy, D.; Su, H.H.; Sternson, S.M. Hunger states switch a flip-flop memory circuit via a synaptic AMPK-dependent positive feedback loop. Cell 2011, 146, 992–1003. [Google Scholar] [CrossRef] [PubMed]
  63. López, M.; Lage, R.; Saha, A.K.; Pérez-Tilve, D.; Vázquez, M.J.; Varela, L.; Sangiao-Alvarellos, S.; Tovar, S.; Raghay, K.; Rodríguez-Cuenca, S.; et al. Hypothalamic fatty acid metabolism mediates the orexigenic action of ghrelin. Cell Metab. 2008, 7, 389–399. [Google Scholar] [CrossRef] [PubMed]
  64. Minokoshi, Y.; Alquier, T.; Furukawa, N.; Kim, Y.-B.; Lee, A.; Xue, B.; Mu, J.; Foufelle, F.; Ferré, P.; Birnbaum, M.J.; et al. AMP-kinase regulates food intake by responding to hormonal and nutrient signals in the hypothalamus. Nature 2004, 428, 569–574. [Google Scholar] [CrossRef] [PubMed]
  65. Stark, R.; Ashley, S.E.; Andrews, Z.B. AMPK and the neuroendocrine regulation of appetite and energy expenditure. Mol. Cell. Endocrinol. 2013, 366, 215–223. [Google Scholar] [CrossRef] [PubMed]
  66. Yavari, A.; Stocker, C.J.; Ghaffari, S.; Wargent, E.T.; Steeples, V.; Czibik, G.; Pinter, K.; Bellahcene, M.; Woods, A.; Martínez de Morentin, P.B.; et al. Chronic Activation of γ2 AMPK Induces Obesity and Reduces β Cell Function. Cell Metab. 2016, 23, 821–836. [Google Scholar] [CrossRef] [PubMed]
  67. Claret, M.; Smith, M.A.; Batterham, R.L.; Selman, C.; Choudhury, A.I.; Fryer, L.G.D.; Clements, M.; Al-Qassab, H.; Heffron, H.; Xu, A.W.; et al. AMPK is essential for energy homeostasis regulation and glucose sensing by POMC and AgRP neurons. J. Clin. Investig. 2007, 117, 2325–2336. [Google Scholar] [CrossRef]
  68. Rojas, J.; Arraiz, N.; Aguirre, M.; Velasco, M.; Bermúdez, V. AMPK as Target for Intervention in Childhood and Adolescent Obesity. J. Obes. 2011, 2011, 252817. [Google Scholar] [CrossRef][Green Version]
  69. Ha, E.; Yim, S.V.; Jung, K.H.; Yoon, S.H.; Zheng, L.T.; Kim, M.J.; Hong, S.J.; Choe, B.K.; Baik, H.H.; Chung, J.H.; et al. Topiramate stimulates glucose transport through AMP-activated protein kinase-mediated pathway in L6 skeletal muscle cells. Pharm. J. 2006, 6, 327–332. [Google Scholar] [CrossRef]
  70. Cool, B.; Zinker, B.; Chiou, W.; Kifle, L.; Cao, N.; Perham, M.; Dickinson, R.; Adler, A.; Gagne, G.; Iyengar, R.; et al. Identification and characterization of a small molecule AMPK activator that treats key components of type 2 diabetes and the metabolic syndrome. Cell Metab. 2006, 3, 403–416. [Google Scholar] [CrossRef]
  71. Zhang, B.B.; Zhou, G.; Li, C. AMPK: An emerging drug target for diabetes and the metabolic syndrome. Cell Metab. 2009, 9, 407–416. [Google Scholar] [CrossRef] [PubMed]
  72. Fujita, A.; Okuno, T.; Oda, M.; Kato, K. Urinary volatilome analysis in a mouse model of anxiety and depression. PLoS ONE 2020, 15, e0229269. [Google Scholar] [CrossRef]
  73. Srimontri, P.; Endo, S.; Sakamoto, T.; Nakayama, Y.; Kurosaka, A.; Itohara, S.; Hirabayashi, Y.; Kato, K. Sialyltransferase ST3Gal IV deletion protects against temporal lobe epilepsy. J. Neurochem. 2014, 131, 675–687. [Google Scholar] [CrossRef]
  74. Sugie, K.; Kawakami, T.; Maeda, Y.; Kawabe, T.; Uchida, A.; Yodoi, J. Fyn tyrosine kinase associated with Fc epsilon RII/CD23: Possible multiple roles in lymphocyte activation. Proc. Natl. Acad. Sci. USA 1991, 88, 9132–9135. [Google Scholar] [CrossRef]
  75. Calautti, E.; Grossi, M.; Mammucari, C.; Aoyama, Y.; Pirro, M.; Ono, Y.; Li, J.; Dotto, G.P. Fyn tyrosine kinase is a downstream mediator of Rho/PRK2 function in keratinocyte cell-cell adhesion. J. Cell Biol. 2002, 156, 137–148. [Google Scholar] [CrossRef] [PubMed]
  76. Mkaddem, S.B.; Murua, A.; Flament, H.; Titeca-Beauport, D.; Bounaix, C.; Danelli, L.; Launay, P.; Benhamou, M.; Blank, U.; Daugas, E.; et al. Lyn and Fyn function as molecular switches that control immunoreceptors to direct homeostasis or inflammation. Nat. Commun. 2017, 8, 246. [Google Scholar] [CrossRef]
  77. Shang, G.; Tang, X.; Gao, P.; Guo, F.; Liu, H.; Zhao, Z.; Chen, Q.; Jiang, T.; Zhang, N.; Li, H. Sulforaphane attenuation of experimental diabetic nephropathy involves GSK-3 beta/Fyn/Nrf2 signaling pathway. J. Nutr. Biochem. 2015, 26, 596–606. [Google Scholar] [CrossRef]
  78. Lim, J.C.; Kim, G.; Levine, R.L. Stereospecific oxidation of calmodulin by methionine sulfoxide reductase A. Free Radic. Biol. Med. 2013, 61, 257–264. [Google Scholar] [CrossRef]
  79. Annerén, C. Dual role of the tyrosine kinase GTK and the adaptor protein SHB in beta-cell growth: Enhanced beta-cell replication after 60% pancreatectomy and increased sensitivity to streptozotocin. J. Endocrinol. 2002, 172, 145–153. [Google Scholar] [CrossRef] [PubMed][Green Version]
  80. Annerén, C.; Welsh, M. Increased cytokine-induced cytotoxicity of pancreatic islet cells from transgenic mice expressing the Src-like tyrosine kinase GTK. Mol. Med. 2001, 7, 301–310. [Google Scholar] [CrossRef]
  81. Boyd, H.K.; Bodell, L.P.; Jennings, K.M.; Graham, A.K.; Crosby, R.D.; Wildes, J.E. Relationship between desired weight constructs and eating disorder severity following treatment for anorexia nervosa. Int. J. Eat. Disord. 2018, 51, 870–878. [Google Scholar] [CrossRef]
Figure 1. Manhattan plot of the comparison of BED and BN.
Figure 1. Manhattan plot of the comparison of BED and BN.
Nutrients 13 01413 g001
Table 1. Sample description.
Table 1. Sample description.
BN (n = 25)BED (n = 21)Total (n = 46)
Gender
Female (n, %)22 (88.00)12 (57.14)34 (73.91)
Male (n, %)3 (12.00)9 (42.86)12 (26.09)
Age (s.d)13.76 (1.56)14.10 (1.51)13.91 (1.53)
Body Mass Index
BMI z-score (s.d)0.87 (0.74)1.69 (0.65)1.25 (0.81)
Normal weight (n, %)14 (56.00)1 (4.76)15 (32.61)
Overweight (n, %)5 (20.00)7 (33.33)12 (26.09)
Obese (n, %)6 (24.00)13 (61.90)19 (41.30)
Eating behavior
Compensatory (n, %)25 (100.0)0 (0.00)25 (47.83)
Binge eating (n, %)17 (68.00)21 (100.00)38 (82.61)
Notes. BN = Bulimia Nervosa, BED = binge-eating disorder, s.d = standard deviation.
Table 2. Differentially methylated sites in bulimia nervosa and binge-eating disorder.
Table 2. Differentially methylated sites in bulimia nervosa and binge-eating disorder.
Position 1CpG SiteLogFC 2p-ValueBED AvgBN AvgGeneGene Loc 3CGI 4
1:85040857cg14791530−0.04995.3305 × 1090.81500.8550CTBSTSS1500Shore
2:131090049cg26638005−0.05099.0552 × 1090.31350.3644 IGROpenSea
3:164907027cg000591610.02166.0427 × 1080.79290.7713SLITRK3BodyOpenSea
4:20702180cg052485020.02114.5662 × 1080.07370.0526PACRGL1st ExonIsland
4:189258348cg22740817−0.01386.1212 × 1080.94270.9565 IGR 5OpenSea
5:20305935cg07823496−0.03861.3534 × 1080.90390.9424 IGRIsland
6:116381966cg05304507−0.07653.6910 × 1080.75000.8265FRKTSS200OpenSea
7:151565722cg04781532−0.01906.3694 × 1090.93760.9566PRKAG2BodyOpenSea
11:126284163cg16685832−0.02827.4533 × 1090.87500.9032ST3GAL43′-UTRShelf
13:114318347cg21211187−0.01155.7405 × 1080.95010.9616 IGROpenSea
16:88110197cg10838260−0.02456.6465 × 1080.89660.9211BANPBodyIsland
Notes: 1 Human genome position of the CpG site (GRCh37/hg19). 2 LogFC = logarithm of fold change. 3 Gene Loc = location of the CpG site relative to the coding gene. 4 CGI = CpG island. 5 IGR = Intergenic region.
Publisher’s Note: MDPI stays neutral with regard to jurisdictional claims in published maps and institutional affiliations.

Share and Cite

MDPI and ACS Style

Rodríguez-López, M.L.; Martínez-Magaña, J.J.; Ruiz-Ramos, D.; García, A.R.; Gonzalez, L.; Tovilla-Zarate, C.A.; Sarmiento, E.; Juárez-Rojop, I.E.; Nicolini, H.; Gonzalez-Castro, T.B.; et al. Individuals Diagnosed with Binge-Eating Disorder Have DNA Hypomethylated Sites in Genes of the Metabolic System: A Pilot Study. Nutrients 2021, 13, 1413. https://doi.org/10.3390/nu13051413

AMA Style

Rodríguez-López ML, Martínez-Magaña JJ, Ruiz-Ramos D, García AR, Gonzalez L, Tovilla-Zarate CA, Sarmiento E, Juárez-Rojop IE, Nicolini H, Gonzalez-Castro TB, et al. Individuals Diagnosed with Binge-Eating Disorder Have DNA Hypomethylated Sites in Genes of the Metabolic System: A Pilot Study. Nutrients. 2021; 13(5):1413. https://doi.org/10.3390/nu13051413

Chicago/Turabian Style

Rodríguez-López, Mariana Lizbeth, José Jaime Martínez-Magaña, David Ruiz-Ramos, Ana Rosa García, Laura Gonzalez, Carlos Alfonso Tovilla-Zarate, Emmanuel Sarmiento, Isela Esther Juárez-Rojop, Humberto Nicolini, Thelma Beatriz Gonzalez-Castro, and et al. 2021. "Individuals Diagnosed with Binge-Eating Disorder Have DNA Hypomethylated Sites in Genes of the Metabolic System: A Pilot Study" Nutrients 13, no. 5: 1413. https://doi.org/10.3390/nu13051413

APA Style

Rodríguez-López, M. L., Martínez-Magaña, J. J., Ruiz-Ramos, D., García, A. R., Gonzalez, L., Tovilla-Zarate, C. A., Sarmiento, E., Juárez-Rojop, I. E., Nicolini, H., Gonzalez-Castro, T. B., & Genis-Mendoza, A. D. (2021). Individuals Diagnosed with Binge-Eating Disorder Have DNA Hypomethylated Sites in Genes of the Metabolic System: A Pilot Study. Nutrients, 13(5), 1413. https://doi.org/10.3390/nu13051413

Note that from the first issue of 2016, this journal uses article numbers instead of page numbers. See further details here.

Article Metrics

Back to TopTop