Characterizing Micronutrient Status and Risk Factors among Late Adolescent and Young Women in Rural Pakistan: A Cross-Sectional Assessment of the MaPPS Trial
Abstract
1. Introduction
2. Materials and Methods
2.1. Conceptual Framework
2.2. Study Participants
2.3. Data Collection
2.4. Lab Methods
2.5. Categorization of Nutritional Status (Dependent Variables)
2.6. SDoH (Explanatory Variables)
2.7. Statistical Analysis
2.8. Ethics Approval
3. Results
3.1. Participant Characteristics
3.2. Nutritional Status Characteristics
3.3. SDoH and Micronutrient Status Hierarchical Model Generation
3.3.1. Hb Concentration
3.3.2. IDA
3.3.3. Vitamin A Deficiency
3.3.4. Vitamin D Deficiency
4. Discussion
5. Conclusions
Supplementary Materials
Author Contributions
Funding
Institutional Review Board Statement
Informed Consent Statement
Data Availability Statement
Acknowledgments
Conflicts of Interest
References
- Sawyer, S.M.; Afifi, R.A.; Bearinger, L.H.; Blakemore, S.-J.; Dick, B.; Ezeh, A.C.; Patton, G.C. Adolescence: A foundation for future health. Lancet 2012, 379, 1630–1640. [Google Scholar] [CrossRef]
- Akseer, N.; Al-Gashm, S.; Mehta, S.; Mokdad, A.; Bhutta, Z.A. Global and regional trends in the nutritional status of young people: A critical and neglected age group. Ann. N. Y. Acad. Sci. 2017, 1393, 3–20. [Google Scholar] [CrossRef]
- Patton, G.C.; Sawyer, S.M.; Santelli, J.S.; Ross, D.A.; Afifi, R.; Allen, N.B.; Arora, M.; Azzopardi, P.; Baldwin, W.; Bonell, C.; et al. Our future: A Lancet commission on adolescent health and wellbeing. Lancet 2016, 387, 2423–2478. [Google Scholar] [CrossRef]
- Christian, P.; Smith, E.R. Adolescent Undernutrition: Global Burden, Physiology, and Nutritional Risks. Ann. Nutr. Metab. 2018, 72, 316–328. [Google Scholar] [CrossRef]
- Madjdian, D.S.; Azupogo, F.; Osendarp, S.J.; Bras, H.; Brouwer, I.D. Socio-cultural and economic determinants and consequences of adolescent undernutrition and micronutrient deficiencies in LLMICs: A systematic narrative review. Ann. N. Y. Acad. Sci. 2018, 1416, 117–139. [Google Scholar] [CrossRef]
- World Health Organization. Nutritional Anaemias: Tools for Effective Prevention and Control; World Health Organization: Geneva, Switzerland, 2017. [Google Scholar]
- Kassebaum, N.; Kyu, H.H.; Zoeckler, L.; Olsen, H.E.; Thomas, K.; Pinho, C.; Bhutta, Z.A.; Dandona, L.; Ferrari, A.; Ghiwot, T.T.; et al. Child and Adolescent Health from 1990 to 2015: Findings From the Global Burden of Diseases, Injuries, and Risk Factors 2015 Study. JAMA Pediatr. 2017, 171, 573–592. [Google Scholar]
- World Health Organization. WHO Guideline on Use of Ferritin Concentrations to Assess Iron Status in Individuals and Populations; World Health Organization: Geneva, Switzerland, 2020. [Google Scholar]
- UNICEF. Pakistan National Nutrition Survey 2018: Key Findings Report; UNICEF: Islamabad, Pakistan, 2018.
- Viner, R.M.; Ozer, E.M.; Denny, S.; Marmot, M.; Resnick, M.; Fatusi, A.; Currie, C. Adolescence and the social determinants of health. Lancet 2012, 379, 1641–1652. [Google Scholar] [CrossRef]
- UNICEF. The State of the World’s Children [Internet]; Oxford University Press: New York, NY, USA, 1998.
- Solar, O.; Irwin, A. A Conceptual Framework for Action on the Social Determinants of Health. Social Determinants of Health Discussion Paper 2 (Policy and Practice); World Health Organization: Geneva, Switzerland, 2010. [Google Scholar]
- Baxter, J.-A.B.; Wasan, Y.; Soofi, S.B.; Suhag, Z.; Bhutta, Z.A. Feasibility and effect of life skills building education and multiple micronutrient supplements versus the standard of care on anemia among non-pregnant adolescent and young Pakistani women (15–24 years): A prospective, population-based cluster-randomized trial. Reprod. Health 2018, 15, 103. [Google Scholar] [CrossRef] [PubMed]
- Baxter, J.-A.B.; Wasan, Y.; Soofi, S.B.; Suhag, Z.; Bhutta, Z.A. Effect of life skills building education and micronutrient supple-ments provided from preconception versus the standard of care on low birth weight births among adolescent and young Pa-kistani women (15–24 years): A prospective, population-based cluster-randomized trial. Reprod. Health 2018, 15, 104. [Google Scholar] [PubMed]
- World Health Organization. 2018 Global Reference List of 100 Core Health Indicators (Plus Health-Related SDGs); World Health Organization: Geneva, Switzerland, 2018. [Google Scholar]
- World Health Organization. Haemoglobin Concentrations for the Diagnosis of Anaemia and Assessment of Severity. Vitamin and Mineral Nutrition Information System; World Health Organization: Geneva, Switzerland, 2011. [Google Scholar]
- World Health Organization. Serum Retinol Concentrations for Determining the Prevalence of Vitamin a Deficiency in Populations. Vitamin and Mineral Nutrition Information System; World Health Organization: Geneva, Switzerland, 2011. [Google Scholar]
- Del Valle, H.B.; Yaktine, A.L.; Taylor, C.L.; Ross, A.C. (Eds.) Dietary Reference Intakes for Calcium and Vitamin D; National Academies Press (US): Washington, DC, USA, 2011. [Google Scholar]
- National Institute of Population Studies (NIPS). ICF Pakistan Demographic and Health Survey 2017-18; NIPS: Islamabad, Pakistan; ICF: Rockville, MD, USA, 2019. [Google Scholar]
- Lovibond, S.H.; Lovibond, P.F. Manual for the Depression Anxiety Stress Scales; Psychology Foundation: Sydney, Australia, 1995. [Google Scholar]
- Schwarzer, R.; Jerusalem, M. Generalized self-efficacy scale. In Measures in Health Psychology: A User’s Portfolio. Causal and Con-trol Beliefs; Weinman, J., Wright, S., Johnston, M., Eds.; NFER-NELSON: Windsor, German, 1995; pp. 35–37. [Google Scholar]
- Currie, C.; Inchley, J.; Molcho, M.; Lenzi, M.; Veselska, Z.; Wild, F. Health Behaviour in School-Aged Children (HBSC) Study Protocol: Background, Methodology, and Mandatory Items for the 2013/14 Survey; CAHRU: St. Andrews, UK, 2014. [Google Scholar]
- Coates, J.; Swindale, A.; Bilinsky, P. Household Food Insecurity Access Scale (HFIAS) for Measurement of Household Food Access: Indi-Cator Guide (v. 3); Academy for Educational Development, Food and Nutrition Technical Assistance: Washington, DC, USA, 2007. [Google Scholar]
- Ewerling, F.; Lynch, J.W.; Victora, C.G.; van Eerdewijk, A.; Tyszler, M.; Barros, A.J.D. The SWPER index for women’s em-powerment in Africa: Development and validation of an index based on survey data. Lancet Glob. Health 2017, 5, e916–e923. [Google Scholar] [CrossRef]
- Cucchiara, A.; Hosmer, D.; Lemeshow, S. Applied Logistic Regression. Technometrics 1992, 34, 358. [Google Scholar] [CrossRef]
- Victora, C.G.; Huttly, S.R.; Fuchs, S.C.; Olinto, M.T. The role of conceptual frameworks in epidemiological analysis: A hier-archical approach. Int. J. Epidemiol. 1997, 26, 224–227. [Google Scholar] [CrossRef]
- Cafiero, C.; Viviani, S.; Nord, M. Food security measurement in a global context: The food insecurity experience scale. Measurement 2018, 116, 146–152. [Google Scholar] [CrossRef]
- Laxmaiah, A.; Arlappa, N.; Balakrishna, N.; Rao, K.M.; Galreddy, C.; Kumar, S.; Ravindranath, M.; Brahmam, G.N. Prevalence and Determinants of Micronutrient Deficiencies among Rural Children of Eight States in India. Ann. Nutr. Metab. 2013, 62, 231–241. [Google Scholar] [CrossRef] [PubMed]
- Rani, G.S.; Suryaprabha, M.L. Prevalence of anaemia and factors influencing anaemia in adolescent girls in urban and rural area of a south Indian city: A comparitive study. Int. J. Pharm. Biol. Sci. 2013, 4, 1352–1358. [Google Scholar]
- Kulkarni, M.V.; Durge, P.M.; Kasturwar, N.P. Prevalence of anemia among adolescent girls in an urban slum. Natl. J. Commun. Med. 2013, 3, 108–111. [Google Scholar]
- Bharati, P.; Shome, S.; Chakrabarty, S.; Bharati, S.; Pal, M. Burden of anemia and its socioeconomic determinants among ad-olescent girls in India. Food Nutr. Bull. 2009, 30, 217–226. [Google Scholar] [CrossRef]
- Bulliyya, G.; Mallick, G.; Sethy, G.S.; Kar, S.K. Hemoglobin status of non-school going adolescent girls in three districts of Orissa, India. Int. J. Adolesc. Med. Heal. 2007, 19, 395–406. [Google Scholar] [CrossRef]
- Wirth, J.P.; Woodruff, B.A.; Engle-Stone, R.; Namaste, S.M.; Temple, V.J.; Petry, N.; Macdonald, B.; Suchdev, P.S.; Rohner, F.; Aaron, G.J. Predictors of anemia in women of reproductive age: Biomarkers Reflecting Inflammation and Nutritional Determinants of Anemia (BRINDA) project. Am. J. Clin. Nutr. 2017, 106 (Suppl. 1), S416–S427. [Google Scholar]
- Keats, E.C.; Rappaport, A.I.; Shah, S.; Oh, C.; Jain, R.; Bhutta, Z.A. The Dietary Intake and Practices of Adolescent Girls in Low- and Middle-Income Countries: A Systematic Review. Nutrients 2018, 10, 1978. [Google Scholar] [CrossRef]
- Neufeld, L.M.; Larson, L.M.; Kurpad, A.; Mburu, S.; Martorell, R.; Brown, K.H. Hemoglobin concentration and anemia diagnosis in venous and capillary blood: Biological basis and policy implications. Ann. N. Y. Acad. Sci. 2019, 1450, 172–189. [Google Scholar] [CrossRef]
- World Health Organization. Guideline: Intermittent Iron and Folic Acid Supplementation in Menstruating Women; World Health Organization: Geneva, Switzerland, 2011. [Google Scholar]
- World Health Organization. Guideline: Daily Iron Supplementation in Adult Women and Adolescent Girls; World Health Organization: Geneva, Switzerland, 2016. [Google Scholar]
- Government of Pakistan. National Nutrition Survey 2011; Government of Pakistan: Islamabad, Pakistan, 2011.
- Government of Pakistan. UNICEF Pakistan Cost of the Diet Analysis Report in Pakistan: 12 Districts, 17 Livelihood Zones; UNICEF: Islamabad, Pakistan, 2018.
- Government of Pakistan. National Vision 2016–2025 for Coordinated Priority Actions to Address Challenges of Reproductive, Maternal, Newborn, Child, Adolescent Health and Nutrition; Government of Pakistan: Islamabad, Pakistan, 2015.
- Government of Pakistan; World Health Organization. Adolescent Nutrition and Supplementation Guidelines for Pakistan; Government of Pakistan: Islamabad, Pakistan, 2019.
- Government of Pakistan. Pakistan Adolescent Nutrition Strategy and Operations Plan; Government of Pakistan: Karachi, Pakistan, 2020.
- World Health Organization GHWA. Pakistan's Lady Health Worker Programme: Global Health Workforce Alliance, World Health Organization, Case study. World Health Organization: Geneva, Switzerland, 2008. Available online: https://www.who.int/workforcealliance/knowledge/resources/casestudy_pakistan/en/ (accessed on 22 June 2020).
- Akhtar, R.; Sarfaz, S.; Aziz, R. A Snapshot of Poor Adolescent Girls’ Nutrition and Related Issues in Pakistan, Research Report; Fatima Memorial Hospital: Lahore, Pakistan, 2014. [Google Scholar]
- Food Fortification Program. Available online: https://www.ffp-pakistan.org/ (accessed on 22 June 2020).
- USAID/GAIN. Pakistan Regional Food Fortification Project Study on the Fortification Costing of Wheat Flour (Atta) and Edible Oil in Pakistan; GAIN: Islamabad, Pakistan, 2017.
- Soofi, S.; Khan, G.N.; Sadiq, K.; Ariff, S.; Habib, A.; Kureishy, S.; Hussain, I.; Umer, M.; Suhag, Z.; Rizvi, A.; et al. Prevalence and possible factors associated with anaemia, and vitamin B12and folate deficiencies in women of reproductive age in Pakistan: Analysis of national-level secondary survey data. BMJ Open 2017, 7, e018007. [Google Scholar] [CrossRef]
- Namaste, S.M.; Rohner, F.; Huang, J.; Bhushan, N.L.; Flores-Ayala, R.; Kupka, R.; Mei, Z.; Rawat, R.; Williams, A.M.; Raiten, D.J.; et al. Adjusting ferritin concentrations for inflammation: Biomarkers Reflecting Inflammation and Nutritional Determinants of Anemia (BRINDA) project. Am. J. Clin. Nutr. 2017, 106 (Suppl. 1), S359–S371. [Google Scholar]
- Thurnham, D.I.; McCabe, L.D.; Haldar, S.; Wieringa, F.T.; Northrop-Clewes, C.A.; McCabe, G.P. Adjusting plasma ferri-tin concentrations to remove the effects of subclinical inflammation in the assessment of iron deficiency: A meta-analysis. Am. J. Clin. Nutr. 2010, 92, 546–555. [Google Scholar] [CrossRef]
- Christian, P.; Shahid, F.; Rizvi, A.; Klemm, R.D.; Bhutta, Z.A. Treatment response to standard of care for severe anemia in pregnant women and effect of multivitamins and enhanced anthelminthics. Am. J. Clin. Nutr. 2009, 89, 853–861. [Google Scholar] [CrossRef] [PubMed]
- Campisi, S.C.; Humayun, K.N.; Wasan, Y.; Soofi, S.B.; Islam, M.; Hussain, A.; Shakeel, A.; Vandermorris, A.; Söder, O.; Bhutta, Z.A. The relationship between pubertal timing and under-nutrition in rural Pakistan. J. Adolesc. 2021, 88, 58–66. [Google Scholar] [CrossRef] [PubMed]
- Fucharoen, S.; Winichagoon, P. Haemoglobinopathies in Southeast Asia. Indian J. Med Res. 2011, 134, 498–506. [Google Scholar]
- Prentice, A.M.; Ward, K.A.; Goldberg, G.R.; Jarjou, L.M.; Moore, S.E.; Fulford, A.J.; Prentice, A. Critical windows for nutritional interventions against stunting. Am. J. Clin. Nutr. 2013, 97, 911–918. [Google Scholar] [CrossRef]
- Keats, E.C.; Das, J.K.; Salam, R.A.; Lassi, Z.S.; Imdad, A.; Black, R.E.; Bhutta, Z.A. Effective Interventions to Address Maternal and Child Malnutrition: An Update of the Evidence. Lancet Child Adolesc. Health 2021. [Google Scholar] [CrossRef]

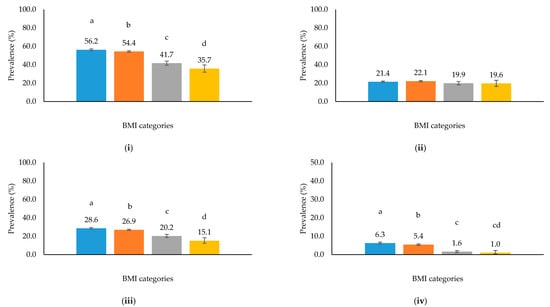
, normal:
, overweight:
, obese:
) among MaPPS Trial participants (n = 25,447) at enrolment: (i) all types of anemia, (ii) mild anemia, (iii) moderate anemia, (iv) severe anemia. Bars with dissimilar letters are different (p < 0.05).
, normal:
, overweight:
, obese:
) among MaPPS Trial participants (n = 25,447) at enrolment: (i) all types of anemia, (ii) mild anemia, (iii) moderate anemia, (iv) severe anemia. Bars with dissimilar letters are different (p < 0.05).

| Characteristic | All Participants | Micronutrient Status Subgroup | p-Value |
|---|---|---|---|
| Age (years), mean ± SD | 18.8 ± 2.3 | 17.2 ± 1.2 | <0.001 |
| Highest level of education completed, n (%) | |||
| None | 11,384 (44.7) | 1615 (46.7) | <0.001 |
| Primary | 6063 (23.8) | 842 (24.3) | |
| Secondary or higher | 8000 (31.5) | 1004 (29.0) | |
| Employed outside the home, n (%) | 9620 (38.1) | 1391 (40.2) | <0.001 |
| Muslim, n (%) | 23,045 (90.6) | 3116 (90.0) | <0.001 |
| Wealth quintile, n (%) | |||
| Poorest | 4549 (17.9) | 680 (19.6) | <0.001 |
| Poor | 4853 (19.1) | 734 (21.2) | |
| Middle | 5139 (20.2) | 769 (22.2) | |
| Rich | 5360 (21.1) | 726 (21.0) | |
| Richest | 5546 (21.8) | 552 (15.9) | |
| Currently married 1, n (%) | 5685 (22.3) | 400 (11.6) | <0.001 |
| Age when married husband (years), mean ± SD | 16.9 ± 1.8 | 15.8 ± 1.1 | <0.001 |
| Has been pregnant 2, n (%) | 3478 (13.7) | 194 (5.6) | <0.001 |
| Age at first pregnancy 2, mean ± SD | 17.5 ± 1.6 | 16.5 ± 1.2 | <0.001 |
| Characteristic | All Participants | Micronutrient Status Subgroup | p-Value |
|---|---|---|---|
| BMI categorization, n (%) | |||
| Underweight (<18.5 kg/m2) | 9396 (36.9) | 1452 (42.0) | <0.001 |
| Normal (18.5–24.9 kg/m2) | 13,463 (52.9) | 1770 (51.1) | |
| Overweight (25–29.9 kg/m2) | 2011 (7.9) | 203 (5.9) | |
| Obese (≥30 kg/m2) | 577 (2.3) | 36 (1.0) | |
| Stunted (<145 cm), n (%) | 2345 (9.2) | 358 (10.3) | 0.04 |
| Food insecure, n (%) | 6355 (25.0) | 1052 (30.4) | <0.001 |
| Hb concentration 1 (g/dL), mean ± SD | 11.5 ± 2.0 | 11.8 ± 1.9 | <0.001 |
| Anemia status 1, n (%) | |||
| Mild (11.9–11.0 g/dL) | 5497 (21.6) | 735 (21.2) | <0.001 |
| Moderate (10.9–8.0 g/dL) | 6798 (26.7) | 752 (21.7) | |
| Severe (<8.0 g/dL) | 1353 (5.3) | 162 (4.7) | |
| Serum ferritin concentration 2 (µg/L), geometric mean (95% CI) | - | 10.4 (10.1 to 10.8) | - |
| Iron deficiency 3, n (%) | - | 2264 (65.9) | - |
| Iron deficiency anemia 4, n (%) | - | 1307 (38.0) | - |
| Serum retinol concentration 6 (µmol/L), mean ± SD | - | 0.96 ± 0.49 | - |
| Vitamin A deficiency 5, n (%) | - | 1092 (31.8) | - |
| Serum 25(OH)D concentration 5 (ng/mL), mean ± SD | - | 14.9 ± 7.9 | - |
| Vitamin D deficiency 6, n (%) | - | 2777 (81.1) | - |
| Number of deficiencies 7, mean ± SD | 1.5 ± 0.8 | ||
| CRP concentration, (mg/L), mean ± SD | - | 1.42 ± 3.78 | - |
| Acute inflammation 8, n (%) | - | 171 (4.9) | - |
| SDoH | n (%) | Hb Concentration (g/dL) Mean (95% CI) | Crude Analysis | Multivariable Adjusted Analysis | ||
|---|---|---|---|---|---|---|
| β-Coefficient (95% CI) | p-Value | β-Coefficient (95% CI) | p-Value | |||
| Level 1: Socioeconomic status | ||||||
| Highest level of education | <0.001 | <0.001 | ||||
| None | 11,382 (44.7) | 11.3 (11.3 to 11.4) | (reference) | (reference) | ||
| Primary | 6062 (23.8) | 11.6 (11.5 to 11.6) | 0.26 (0.20 to 0.32) | 0.14 (0.08 to 0.20) | ||
| Secondary or higher | 7999 (31.4) | 11.8 (11.8 to 11.9) | 0.50 (0.44 to 0.55) | 0.28 (0.21 to 0.35) | ||
| Occupation | <0.001 | <0.001 | ||||
| Unskilled manual labor | 4458 (17.5) | 11.2 (11.1 to 11.2) | (reference) | (reference) | ||
| Skilled manual labor | 5133 (20.2) | 11.7 (11.6 to 11.7) | 0.48 (0.41 to 0.56) | 0.23 (0.15 to 0.32) | ||
| Within the home | 12,129 (47.7) | 11.5 (11.5 to 11.6) | 0.37 (0.31 to 0.44) | 0.14 (0.07 to 0.21) | ||
| Other | 3723 (14.6) | 11.8 (11.7 to 11.8) | 0.62 (0.53 to 0.70) | 0.12 (0.01 to 0.22) | ||
| Religion | <0.001 | - | ||||
| Hindu | 2401 (9.4) | 11.4 (11.3 to 11.4) | (reference) | - | ||
| Muslim | 23,042 (90.6) | 11.6 (11.5 to 11.6) | 0.19 (0.11 to 0.27) | - | ||
| Wealth quintile | <0.001 | <0.001 | ||||
| Poorest | 4548 (17.9) | 11.2 (11.2 to 11.3) | (reference) | (reference) | ||
| Poor | 4853 (19.1) | 11.4 (11.3 to 11.4) | 0.11 (0.04 to 0.19) | 0.03 (−0.05 to 0.11) | ||
| Middle | 5138 (20.2) | 11.5 (11.4 to 11.6) | 0.25 (0.18 to 0.33) | 0.13 (0.05 to 0.21) | ||
| Rich | 5360 (21.1) | 11.7 (11.6 to 11.7) | 0.41 (0.33 to 0.48) | 0.22 (0.14 to 0.30) | ||
| Richest | 5544 (21.8) | 11.8 (11.8 to 11.9) | 0.60 (0.53 to 0.68) | 0.34 (0.24 to 0.43) | ||
| Level 2: Household and personal characteristics | ||||||
| Marital status | 0.72 | - | ||||
| Married | 5685 (22.3) | 11.3 (11.3 to 11.4) | (reference) | - | ||
| Unmarried | 19,758 (77.7) | 11.6 (11.6 to 11.6) | −0.01 (−0.07 to 0.05) | - | ||
| Has been pregnant | 0.05 | <0.001 | ||||
| Yes | 3478 (13.7) | 11.5 (11.5 to 11.6) | (reference) | (reference) | ||
| No | 21,965 (86.3) | 11.5 (11.5 to 11.6) | −0.07 (−0.14 to 0) | −0.15 (−0.22 to −0.08) | ||
| Household food security status | <0.001 | - | ||||
| Food insecure | 6354 (25.0) | 11.6 (11.5 to 11.7) | (reference) | - | ||
| Food secure | 19,089 (75.0) | 11.5 (11.5 to 11.6) | 0.30 (0.24 to 0.35) | - | ||
| Level 3: Health and well-being characteristics | ||||||
| Perception of own health | <0.001 | 0.001 | ||||
| Poor or fair | 2808 (11.0) | 11.3 (11.3 to 11.4) | (reference) | (reference) | ||
| Good | 16,556 (65.1) | 11.5 (11.5 to 11.6) | 0.21 (0.13 to 0.29) | 0.14 (0.06 to 0.21) | ||
| Excellent | 6079 (23.9) | 11.6 (11.6 to 11.7) | 0.28 (0.19 to 0.36) | 0.17 (0.08 to 0.25) | ||
| Experience of depression-like feelings | 0.002 | - | ||||
| Severe or extremely severe | 1223 (4.8) | 11.5 (11.4 to 11.6) | (reference) | - | ||
| Moderate | 2652 (10.4) | 11.4 (11.4 to 11.5) | −0.06 (−0.19 to 0.07) | - | ||
| Mild | 2158 (8.5) | 11.5 (11.4 to 11.5) | −0.03 (−0.16 to 0.10) | - | ||
| None | 19,410 (76.3) | 11.6 (11.5 to 11.6) | 0.07 (−0.04 to 0.18) | - | ||
| Experience of anxiety-like feelings | 0.002 | - | ||||
| Severe or extremely severe | 3313 (13.0) | 11.5 (11.4 to 11.5) | (reference) | - | ||
| Moderate | 3637 (14.3) | 11.5 (11.4 to 11.5) | 0.02 (−0.07 to 0.11) | - | ||
| Mild | 1684 (6.6) | 11.5 (11.4 to 11.6) | 0.07 (−0.04 to 0.19) | - | ||
| None | 16,809 (66.1) | 11.6 (11.5 to 11.6) | 0.11 (0.04 to 0.19) | - | ||
| Experience of stress-like feelings | 0.55 | - | ||||
| Severe or extremely severe | 895 (3.5) | 11.5 (11.4 to 11.7) | (reference) | - | ||
| Moderate | 1356 (5.3) | 11.5 (11.4 to 11.6) | −0.05 (−0.21 to 0.11) | - | ||
| Mild | 1506 (5.9) | 11.5 (11.4 to 11.6) | −0.04 (−0.20 to 0.12) | - | ||
| None | 21,686 (85.2) | 11.5 (11.5 to 11.6) | 0.01 (−0.12 to 0.14) | - | ||
| Level 4: Actions and practices-related characteristics | ||||||
| Self-efficacy | <0.001 | - | ||||
| Low | 8630 (33.9) | 11.4 (11.4 to 11.5) | (reference) | - | ||
| Moderate | 12,868 (50.6) | 11.6 (11.5 to 11.6) | 0.16 (0.11 to 0.21) | - | ||
| High | 3945 (15.5) | 11.6 (11.6 to 11.7) | 0.22 (0.15 to 0.29) | - | ||
| Decision-making autonomy | 0.002 | - | ||||
| All decisions made by family | 12,606 (49.5) | 11.5 (11.5 to 11.5) | (reference) | - | ||
| Most decisions made by family | 8332 (32.7) | 11.6 (11.5 to 11.6) | 0.06 (0.003 to 0.11) | - | ||
| Jointly made with family or autonomously | 4505 (17.7) | 11.6 (11.6 to 11.7) | 0.11 (0.05 to 0.18) | - | ||
| Skipping breakfast | 0.09 | - | ||||
| Skips breakfast | 7608 (29.9) | 11.5 (11.5 to 11.5) | (reference) | - | ||
| Eats breakfast | 17,835 (70.1) | 11.5 (11.5 to 11.6) | 0.04 (−0.01 to 0.10) | - | ||
| Eating dinner with family | 0.68 | - | ||||
| Never | 6820 (26.8) | 11.6 (11.5 to 11.6) | (reference) | - | ||
| Sometimes | 3489 (13.7) | 11.5 (11.5 to 11.6) | −0.03 (−0.11 to 0.05) | - | ||
| Everyday | 15,134 (59.5) | 11.5 (11.5 to 11.6) | −0.02 (−0.07 to 0.03) | - | ||
| SDoH | IDA (n = 3438) | Vitamin A Deficiency (n = 3437) | Vitamin D Deficiency (n = 3423) | |||||||||
|---|---|---|---|---|---|---|---|---|---|---|---|---|
| Crude | Multivariable Adjusted | Crude | Multivariable Adjusted | Crude | Multivariable Adjusted | |||||||
| OR (95% CI) | p-Value | OR (95% CI) | p-Value | OR (95% CI) | p-Value | OR (95% CI) | p-Value | OR (95% CI) | p-Value | OR (95% CI) | p-Value | |
| Level 1: Structural factors—socioeconomic status | ||||||||||||
| Highest level of education | ||||||||||||
| None | (base) | - | (base) | - | (base) | - | - | - | (base) | - | (base) | - |
| Primary | 0.82 (0.69 to 0.98) | 0.03 | 0.82 (0.71 to 0.96) | 0.01 | 0.85 (0.71 to 1.02) | 0.08 | - | - | 1.43 (1.16 to 1.77) | 0.001 | 1.28 (0.97 to 1.71) | 0.08 |
| Secondary or higher | 0.74 (0.63 to 0.87) | <0.001 | 0.74 (0.63 to 0.87) | <0.001 | 0.93 (0.79 to 1.10) | 0.42 | - | - | 2.19 (1.75 to 2.73) | <0.001 | 1.67 (1.17 to 2.38) | 0.01 |
| Occupation | ||||||||||||
| Unskilled manual labor | (base) | - | - | - | (base) | - | - | - | (base) | - | (base) | - |
| Skilled manual labor | 0.87 (0.70 to 1.08) | 0.22 | - | - | 1.01 (0.81 to 1.27) | 0.91 | - | - | 2.78 (2.11 to 3.67) | <0.001 | 2.56 (1.70 to 3.87) | <0.001 |
| Within the home | 0.88 (0.73 to 1.05) | 0.16 | - | - | 1.07 (0.88 to 1.29) | 0.50 | - | - | 1.93 (1.57 to 2.37) | <0.001 | 1.74 (1.40 to 2.16) | <0.001 |
| Other | 0.74 (0.59 to 0.93) | 0.01 | - | - | 1.08 (0.85 to 1.38) | 0.51 | - | - | 3.34 (2.46 to 4.54) | <0.001 | 2.19 (1.49 to 3.24) | <0.001 |
| Religion | ||||||||||||
| Hindu | (base) | - | - | - | (base) | - | - | - | (base) | - | - | - |
| Muslim | 0.98 (0.78 to 1.23) | 0.85 | - | - | 1.31 (1.02 to 1.68) | 0.04 | - | - | 1.79 (1.39 to 2.3) | <0.001 | - | - |
| Wealth quintile | ||||||||||||
| Poorest | (base) | - | - | - | (base) | - | - | - | (base) | - | - | - |
| Poor | 1.02 (0.82 to 1.26) | 0.86 | - | - | 0.92 (0.73 to 1.15) | 0.46 | - | - | 0.93 (0.73 to 1.20) | 0.59 | - | - |
| Middle | 0.97 (0.79 to 1.20) | 0.79 | - | - | 0.94 (0.75 to 1.18) | 0.60 | - | - | 1.20 (0.93 to 1.56) | 0.16 | - | - |
| Rich | 1.11 (0.89 to 1.37) | 0.36 | - | - | 1.32 (1.06 to 1.65) | 0.01 | - | - | 1.55 (1.18 to 2.04) | 0.002 | - | - |
| Richest | 0.76 (0.60 to 0.96) | 0.02 | - | - | 1.10 (0.86 to 1.40) | 0.44 | - | - | 1.61 (1.19 to 2.17) | 0.002 | - | - |
| Level 2: Intermediary factors—household and personal characteristics | ||||||||||||
| Marital status | ||||||||||||
| Married | (base) | - | - | - | (base) | - | - | - | (base) | - | - | - |
| Unmarried | 1.04 (0.84 to 1.29) | 0.73 | - | - | 1.24 (0.98 to 1.56) | 0.075 | - | - | 1.46 (1.22 to 1.75) | <0.001 | - | - |
| Has been pregnant | ||||||||||||
| Yes | (base) | - | - | - | (base) | - | - | - | (base) | - | - | - |
| No | 1.07 (0.79 to 1.45) | 0.65 | - | - | 1.24 (0.90 to 1.72) | 0.19 | - | - | 1.12 (0.86 to 1.45) | 0.41 | - | - |
| Household food security status | ||||||||||||
| Food insecure | (base) | - | - | - | (base) | - | - | - | (base) | - | - | - |
| Food secure | 0.88 (0.76 to 1.02) | 0.09 | - | - | 1.18 (1.01 to 1.38) | 0.04 | - | - | 1.13 (0.79 to 1.62) | 0.50 | - | - |
| Level 3: Intermediary factors—health and well-being characteristics | ||||||||||||
| Perception of own health | ||||||||||||
| Poor or fair | (base) | - | - | - | (base) | - | - | - | (base) | - | - | - |
| Good | 0.81 (0.66 to 1.00) | 0.05 | - | - | 1.14 (0.91 to 1.43) | 0.25 | - | - | 1.56 (1.22 to 1.98) | <0.001 | 0.43 (0.16 to 0.71) | 0.002 |
| Excellent | 0.87 (0.69 to 1.10) | 0.25 | - | - | 1.27 (0.99 to 1.64) | 0.06 | - | - | 1.50 (1.13 to 1.98) | 0.004 | 0.32 (0 to 0.63) | 0.05 |
| Experience of depression-like feelings | ||||||||||||
| Severe or extremely severe | (base) | - | - | - | (base) | - | - | - | (base) | - | - | - |
| Moderate | 1.06 (0.72 to 1.55) | 0.77 | - | - | 1.92 (1.27 to 2.91) | 0.002 | - | - | 0.96 (0.61 to 1.54) | 0.88 | - | - |
| Mild | 0.93 (0.63 to 1.37) | 0.71 | - | - | 1.55 (1.01 to 2.38) | 0.04 | - | - | 0.81 (0.51 to 1.28) | 0.36 | - | - |
| None | 0.96 (0.69 to 1.34) | 0.82 | - | - | 1.35 (0.93 to 1.96) | 0.11 | - | - | 1.12 (0.75 to 1.68) | 0.58 | - | - |
| Experience of anxiety-like feelings | ||||||||||||
| Severe or extremely severe | (base) | - | - | - | (base) | - | - | - | (base) | - | - | - |
| Moderate | 0.97 (0.75 to 1.25) | 0.80 | - | - | 1.11 (0.85 to 1.45) | 0.44 | - | - | 0.72 (0.53 to 0.98) | 0.04 | - | - |
| Mild | 1.05 (0.76 to 1.44) | 0.76 | - | - | 0.92 (0.66 to 1.29) | 0.63 | - | - | 1.14 (0.76 to 1.73) | 0.53 | - | - |
| None | 0.95 (0.77 to 1.18) | 0.64 | - | - | 1.00 (0.80 to 1.25) | 0.98 | - | - | 1.01 (0.77 to 1.32) | 0.95 | - | - |
| Experience of stress-like feelings | ||||||||||||
| Severe or extremely severe | (base) | - | - | - | (base) | - | - | - | (base) | - | - | - |
| Moderate | 1.06 (0.64 to 1.73) | 0.83 | - | - | 0.96 (0.57 to 1.62) | 0.89 | - | - | 2.55 (1.36 to 4.8) | 0.004 | - | - |
| Mild | 1.11 (0.69 to 1.80) | 0.67 | - | - | 0.94 (0.57 to 1.56) | 0.81 | - | - | 1.45 (0.83 to 2.53) | 0.19 | - | - |
| None | 1.11 (0.75 to 1.65) | 0.60 | - | - | 1.10 (0.73 to 1.66) | 0.64 | - | - | 1.39 (0.90 to 2.16) | 0.14 | - | - |
| Level 4: Intermediary factors—actions and practices-related characteristics | ||||||||||||
| Self-efficacy | ||||||||||||
| Low | (base) | - | - | - | (base) | - | - | - | (base) | - | - | - |
| Moderate | 0.86 (0.74 to 1.00) | 0.06 | - | - | 1.11 (0.94 to 1.30) | 0.21 | - | - | 1.21 (1.00 to 1.46) | 0.05 | - | - |
| High | 0.84 (0.69 to 1.03) | 0.09 | - | - | 0.84 (0.67 to 1.04) | 0.11 | - | - | 1.10 (0.86 to 1.40) | 0.47 | - | - |
| Decision-making autonomy | ||||||||||||
| All decisions made by family | (base) | - | - | - | (base) | - | - | - | (base) | - | - | - |
| Most decisions made by family | 0.85 (0.73 to 0.99) | 0.03 | - | - | 1.22 (1.05 to 1.43) | 0.01 | - | - | 1.08 (0.89 to 1.31) | 0.44 | - | - |
| Jointly made with family or autonomously | 0.84 (0.68 to 1.03) | 0.10 | - | - | 0.98 (0.78 to 1.22) | 0.85 | - | - | 0.76 (0.59 to 0.97) | 0.04 | - | - |
| Skipping breakfast | ||||||||||||
| Skips breakfast | (base) | - | - | - | (base) | - | - | - | (base) | - | - | - |
| Eats breakfast | 1.00 (0.86 to 1.16) | 0.97 | - | - | 0.95 (0.81 to 1.11) | 0.50 | - | - | 1.11 (0.92 to 1.33) | 0.29 | - | - |
| Eating dinner with family | ||||||||||||
| Never | (base) | - | - | (base) | - | - | - | (base) | - | - | ||
| Sometimes | 1.17 (0.92 to 1.50) | 0.20 | - | - | 0.75 (0.57 to 0.98) | 0.04 | - | - | 0.76 (0.57 to 1.02) | 0.07 | - | - |
| Everyday | 1.09 (0.93 to 1.29) | 0.29 | - | - | 1.18 (0.99 to 1.39) | 0.06 | - | - | 1.02 (0.83 to 1.25) | 0.83 | - | - |
Publisher’s Note: MDPI stays neutral with regard to jurisdictional claims in published maps and institutional affiliations. |
© 2021 by the authors. Licensee MDPI, Basel, Switzerland. This article is an open access article distributed under the terms and conditions of the Creative Commons Attribution (CC BY) license (https://creativecommons.org/licenses/by/4.0/).
Share and Cite
Baxter, J.-A.B.; Wasan, Y.; Hussain, A.; Soofi, S.B.; Ahmed, I.; Bhutta, Z.A. Characterizing Micronutrient Status and Risk Factors among Late Adolescent and Young Women in Rural Pakistan: A Cross-Sectional Assessment of the MaPPS Trial. Nutrients 2021, 13, 1237. https://doi.org/10.3390/nu13041237
Baxter J-AB, Wasan Y, Hussain A, Soofi SB, Ahmed I, Bhutta ZA. Characterizing Micronutrient Status and Risk Factors among Late Adolescent and Young Women in Rural Pakistan: A Cross-Sectional Assessment of the MaPPS Trial. Nutrients. 2021; 13(4):1237. https://doi.org/10.3390/nu13041237
Chicago/Turabian StyleBaxter, Jo-Anna B., Yaqub Wasan, Amjad Hussain, Sajid B. Soofi, Imran Ahmed, and Zulfiqar A. Bhutta. 2021. "Characterizing Micronutrient Status and Risk Factors among Late Adolescent and Young Women in Rural Pakistan: A Cross-Sectional Assessment of the MaPPS Trial" Nutrients 13, no. 4: 1237. https://doi.org/10.3390/nu13041237
APA StyleBaxter, J.-A. B., Wasan, Y., Hussain, A., Soofi, S. B., Ahmed, I., & Bhutta, Z. A. (2021). Characterizing Micronutrient Status and Risk Factors among Late Adolescent and Young Women in Rural Pakistan: A Cross-Sectional Assessment of the MaPPS Trial. Nutrients, 13(4), 1237. https://doi.org/10.3390/nu13041237

