Identification of Mortality Risks in the Advancement of Old Age: Application of Proportional Hazard Models Based on the Stepwise Variable Selection and the Bayesian Model Averaging Approach
Abstract
1. Introduction
2. Materials and Methods
2.1. Study Design
2.2. Potential Predictors of Mortality Rate
2.3. Statistical Analysis
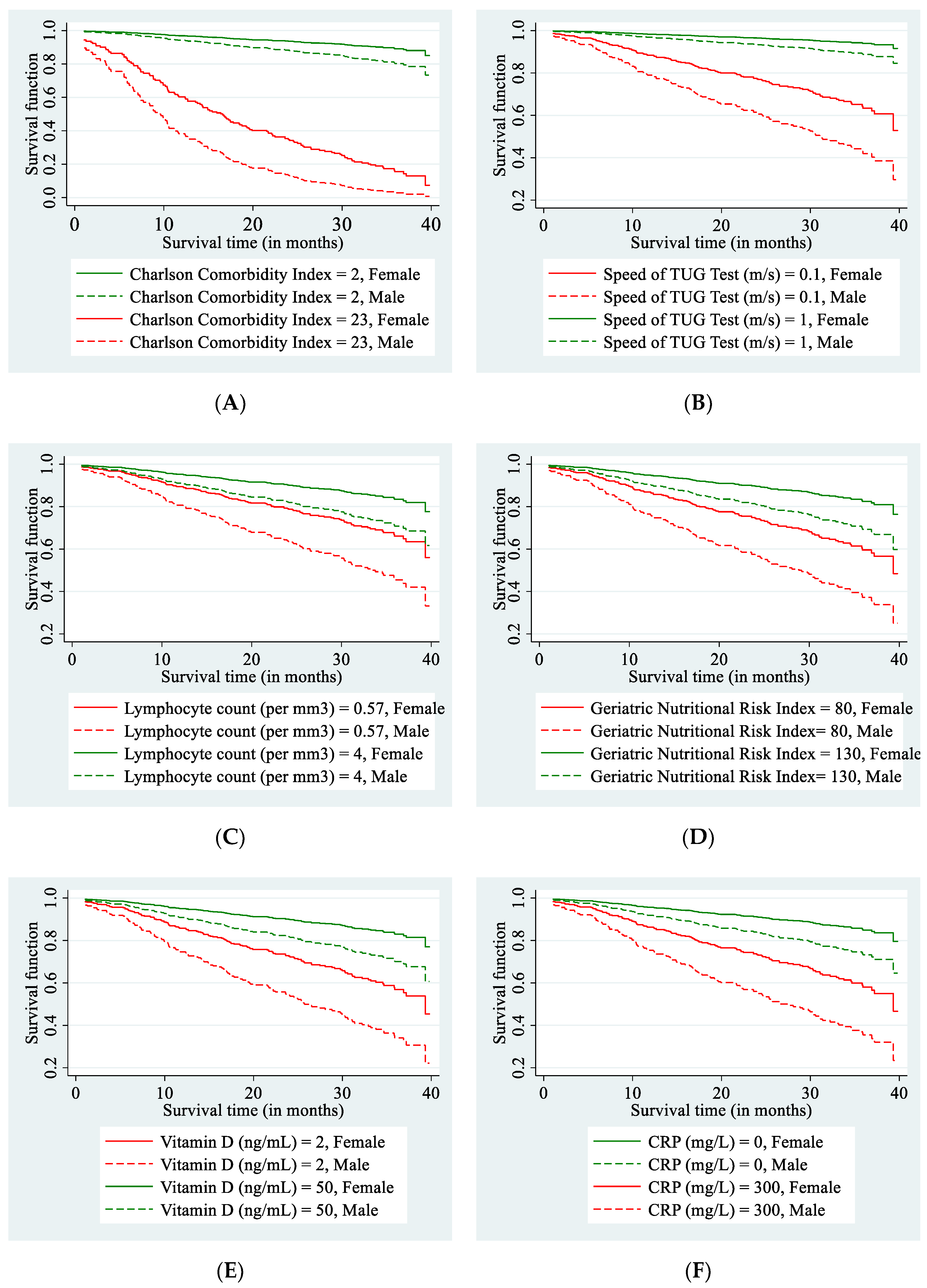
3. Results
4. Discussion
5. Conclusions
Author Contributions
Funding
Institutional Review Board Statement
Data Availability Statement
Acknowledgments
Conflicts of Interest
References
- Mladovsky, P.; Allin, S.; Masseria, C.; Hernández-Quevedo, C.; McDaid, D.; Mossialos, E. Health in European Union: Trends and analysis. European Observatory on Health Systems and Policies; Observatory Studies Series no. 19; European Observatory on Health Systems and Policies: Copenhagen, Denmark, 2009. [Google Scholar]
- Khan, S.S.; Singer, B.D.; Vaughan, D.E. Molecular and physiological manifestations and measurement of aging in humans. Aging Cell. 2017, 16, 624–633. [Google Scholar] [CrossRef]
- Dorner, T.E.; Rieder, A. Obesity paradox in elderly patients with cardiovascular diseases. Int. J. Cardiol. 2012, 155, 56–65. [Google Scholar] [CrossRef]
- Puzianowska-Kuznicka, M.; Kuryłowicz, A.; Walkiewicz, D.; Borkowska, J.; Owczarz, M.; Olszanecka-Glinianowicz, M.; Wieczorowska-Tobis, K.; Skalska, A.; Szybalska, A.; Mossakowska, M. Obesity Paradox in Caucasian Seniors: Results of the PolSenior Study. J. Nutr. Health Aging 2019, 23, 796–804. [Google Scholar] [CrossRef]
- De Ruijter, W.; Westendorp, R.G.J.; Assendelft, W.J.J.; den Elzen, W.P.J.; de Craen, A.J.M.; Cessie, S.; Jacobijn Gussekloo, J. Use of Framingham risk score and new biomarkers to predict cardiovascular mortality in older people: Population based observational cohort study. BMJ 2009, 338, a3083. [Google Scholar] [CrossRef] [PubMed]
- Correia, M.I.; Waitzberg, D.L. The impact of malnutrition on morbidity, mortality, length of hospital stay and costs evaluated through a multivariate model analysis. Clin. Nutr. 2003, 22, 235–239. [Google Scholar] [CrossRef]
- Rasheed, S.; Woods, R.T. Malnutrition and quality of life in older people: A systematic review and meta-analysis. Ageing Res. Rev. 2013, 12, 561–566. [Google Scholar] [CrossRef] [PubMed]
- Guigoz, Y.; Lauque, S.; Vellas, B.J. Identifying the elderly at risk for malnutrition. The Mini Nutritional Assessment. Clin. Geriatr. Med. 2002, 18, 737–757. [Google Scholar] [CrossRef]
- Bouillanne, O.; Morineau, G.; Dupont, C.; Coulombel, I.; Vincent, J.P.; Nicolis, I.; Benazeth, S.; Cynober, L.; Aussel, C. Geriatric Nutritional Risk Index: A new index for evaluating at-risk elderly medical patients. Am. J. Clin. Nutr. 2005, 82, 777–783. [Google Scholar] [CrossRef] [PubMed]
- Cereda, E.; Zagami, A.; Vanotti, A.; Piffer, S.; Pedrolli, C. Geriatric Nutritional Risk Index and overall-cause mortality prediction in institutionalised elderly: A 3-year survival analysis. Clin. Nutr. 2008, 27, 717–723. [Google Scholar] [CrossRef]
- Yajima, T.; Yajima, K.; Takahashi, H.; Yasuda, K. Combined Predictive Value of Extracellular Fluid/Intracellular Fluid Ratio and the Geriatric Nutritional Risk Index for Mortality in Patients Undergoing Hemodialysis. Nutrients 2019, 11, 2659. [Google Scholar] [CrossRef] [PubMed]
- Ishiwata, S.; Yatsu, S.; Kasai, T.; Sato, A.; Matsumoto, H.; Shitara, J.; Shimizu, M.; Murata, A.; Kato, T.; Suda, S.; et al. Prognostic Effect of a Novel Simply Calculated Nutritional Index in Acute Decompensated Heart Failure. Nutrients 2020, 12, 3311. [Google Scholar] [CrossRef]
- Good, R.A.; West, A.; Day, N.K.; Dong, Z.W.; Fernandes, G. Effects of undernutrition on host cell and organ function. Cancer Res. 1982, 42, 737s–746s. [Google Scholar]
- Bender, B.S.; Nagel, J.E.; Adler, W.H.; Andres, R. Absolute peripheral blood lymphocyte count and subsequent mortality of elder men (The Baltimore Longitudinal Study of Aging). J. Am. Geriatr. Soc. 1986, 34, 649–654. [Google Scholar] [CrossRef]
- Izaks, G.J.; Remarque, E.J.; Becker, S.V.; Westendorp, R.G. Lymphocyte count and mortality risk in older persons. The Leiden 85-Plus Study. J. Am. Geriatr. Soc. 2003, 51, 1461–1465. [Google Scholar] [CrossRef]
- Cereda, E.; Pusani, C.; Limonta, D.; Vanotti, A. The association of Geriatric Nutritional Risk Index and total lymphocyte count with short-term nutrition-related complications in institutionalised elderly. J. Am. Coll. Nutr. 2008, 27, 406–413. [Google Scholar] [CrossRef] [PubMed]
- Alexander, J.; Tinkov, A.; Strand, T.A.; Alehagen, U.; Skalny, A.; Aaseth, J. Early Nutritional Interventions with Zinc, Selenium and Vitamin D for Raising Anti-Viral Resistance against Progressive COVID-19. Nutrients 2020, 12, 2358. [Google Scholar] [CrossRef]
- Battault, S.; Whiting, S.J.; Peltier, S.L.; Sadrin, S.; Gerber, G.; Maixent, J.M. Vitamin D metabolism, functions and needs: From science to health claims. Eur. J. Nutr. 2013, 52, 429–441. [Google Scholar] [CrossRef] [PubMed]
- Mao, X.; Hu, B.; Zhou, Z.; Xing, X.; Wu, Y.; Gao, J.; He, Y.; Hu, Y.; Cheng, Q.; Gong, Q. Vitamin D levels correlate with lymphocyte subsets in elderly patients with age-related diseases. Sci. Rep. 2018, 8, 7708. [Google Scholar] [CrossRef]
- Kanesvaran, R.; Li, H.; Koo, K.N.; Poon, D. Analysis of prognostic factors of comprehensive geriatric assessment and development of a clinical scoring system in elderly Asian patients with cancer. J. Clin. Oncol. 2011, 29, 3620–3627. [Google Scholar] [CrossRef]
- Frasca, M.; Soubeyran, P.; Bellera, C.; Rainfray, M.; Leffondre, K.; Mathoulin-Pélissier, S.; Oncodage Group. Alterations in comprehensive geriatric assessment decrease survival of elderly patients with cancer. Eur. J. Cancer 2018, 90, 10–18. [Google Scholar] [CrossRef] [PubMed]
- Chun, S.; Shin, D.W.; Han, K.; Jung, J.H.; Kim, B.; Jung, H.W.; Son, K.Y.; Lee, S.P.; Lee, S.C. The Timed Up and Go test and the ageing heart: Findings from a national health screening of 1,084,875 community-dwelling older adults. Eur. J. Prev. Cardiol. 2019, 20, 2047487319882118. [Google Scholar] [CrossRef]
- Uijen, A.A.; van de Lisdonk, E.H. Multimorbidity in primary care: Prevalence and trend over the last 20 years. Eur. J. Gen. Pract. 2008, 14, 28–32. [Google Scholar] [CrossRef] [PubMed]
- Fortin, M.; Soubhi, H.; Hudon, C.; Bayliss, E.A.; van den Akker, M. Multimorbidity’s many challenges. BMJ 2007, 334, 1016–1017. [Google Scholar] [CrossRef] [PubMed]
- Charlson, M.E.; Pompei, P.; Ales, K.L.; MacKenzie, C.R. A new method of classifying prognostic comorbidity in longitudinal studies: Development and validation. J. Chronic Dis. 1987, 40, 373–383. [Google Scholar] [CrossRef]
- Wasserstein, R.L.; Lazar, N.A. The ASA’s statement on p-values: Context, process, and purpose. Am. Stat. 2016, 70, 129–133. [Google Scholar] [CrossRef]
- Hoeting, J.A.; Madigan, D.; Raftery, A.E.; Volinsky, C.T. Bayesian Model Averaging: A Tutorial. Stat. Sci. 1999, 14, 382–417. [Google Scholar]
- Volinsky, C.T.; Madigan, D.; Raftery, A.E.; Kronmal, R.A. Bayesian Model Averaging in Proportional Hazard Models: Assessing the Risk of a Stroke. J. R. Stat. Soc. Ser. C 1997, 46, 433–448. [Google Scholar] [CrossRef]
- Raftery, A.E. Bayesian Model Selection in Social Research. Sociol. Methodol. 1995, 25, 111–163. [Google Scholar] [CrossRef]
- Genell, A.; Nemes, S.; Steineck, G.; Dickman, P.W. Model selection in Medical Research: A simulation study comparing Bayesian Model Averaging and Stepwise Regression. BMC Med. Res. Methodol. 2010, 10, 1–10. [Google Scholar] [CrossRef]
- Ellis, G.; Whitehead, M.A.; O’Neill, D.; Langhorne, P.; Robinson, D. Comprehensive geriatric assessment for older adults admitted to hospital. Cochrane Database Syst. Rev. 2011, 7. [Google Scholar] [CrossRef]
- Rubenstein, L.Z.; Wieland, D.; Bernabei, R. (Eds.) Geriatric Assessment Technology; Editrice Kurtis: Milan, Italy, 1995. [Google Scholar]
- Mahoney, F.; Barthel, D. Functional evaluation: The Barthel Index. Md State Med. J. 1965, 14, 61–65. [Google Scholar]
- Fillenbaum, G.G.; Smyer, M.A. The development, validity and reliability of OARS multidimensional functional assessment questionnaire. J. Gerontol. 1981, 36, 428–434. [Google Scholar] [CrossRef]
- Norton, D.; Exton-Smith, A.N.; McLaren, R. An Investigation of Geriatric Nursing Problems in Hospital; National Corporation for the Care of Old People: London, UK, 1962. [Google Scholar]
- Vellas, B.; Villars, H.; Abellan, G.; Soto, M.E.; Rolland, Y.; Guigoz, Y.; Morley, J.E.; Chumlea, W.; Salva, A.; Rubenstein, L.Z.; et al. Overview of the MNA®—Its History and Challenges. J. Nutr. Health Aging 2006, 10, 456–463. [Google Scholar]
- Yesavage, J.A. Geriatric Depression Scale. Psychopharmacol. Bull. 1988, 24, 709–711. [Google Scholar]
- Blessed, G.; Tomlinson, B.E.; Roth, M. The association between quantitative measures of dementia and of senile change in the cerebral grey matter of elderly subjects. Br. J. Psychiatry 1968, 114, 797–811. [Google Scholar] [CrossRef]
- Folstein, M.F.; Folstein, S.E.; McHugh, P.R. “Mini-mental state”. A practical method for grading the cognitive state of patients for the clinician. J. Psychiatr. Res. 1957, 12, 189–198. [Google Scholar] [CrossRef]
- Podsiadlo, D.; Richardson, S. The timed “Up & Go”: A test of basic functional mobility for frail elderly persons. J. Am. Geriatr. Soc. 1991, 39, 142–148. [Google Scholar] [PubMed]
- Cereda, E.; Pedrolli, C.; Zagami, A.; Vanotti, A.; Piffer, S.; Opizzi, A.; Rondanelli, M.; Caccialanza, R. Nutritional screening and mortality in newly institutionalised elderly: A comparison between the geriatric nutritional risk index and the mini nutritional assessment. Clin. Nutr. 2011, 30, 793–798. [Google Scholar] [CrossRef] [PubMed]
- Wang, D.; Zhang, W.; Bakhai, A. Comparison of Bayesian model averaging and stepwise methods for model selection in logistic regression. Stat. Med. 2004, 23, 3451–3467. [Google Scholar] [CrossRef] [PubMed]
- Yeung, K.Y.; Bumgarner, R.E.; Raftery, A.E. Bayesian model averaging: Development of an improved multi-class, gene selection and classification tool for microarray data. Bioinformatics 2005, 21, 2394–2402. [Google Scholar] [CrossRef]
- Lee, A.S.; Pan, A.; Harbarth, S.; Patroni, A.; Chalfine, A.; Daikos, G.L.; Garilli, S.; Martinez, J.A.; Cooper, B.S.; MOSAR-04 Study Team. Variable performance of models for predicting methicillin-resistant Staphylococcus aureus carriage in European surgical wards. BMC Infect. Dis. 2015, 15, 105. [Google Scholar] [CrossRef]
- Cho, K.S.; Jung, H.D.; Ham, W.S.; Chung, D.Y.; Kang, Y.J.; Jang, W.S.; Kwon, J.K.; Choi, Y.D.; Lee, J.Y. Optimal Skin-to-Stone Distance Is a Positive Predictor for Successful Outcomes in Upper Ureter Calculi following Extracorporeal Shock Wave Lithotripsy: A Bayesian Model Averaging Approach. PLoS ONE 2015, 10, e0144912. [Google Scholar] [CrossRef]
- Hastie, T.; Tibshirani, R.; Friedman, J. The Elements of Statistical Learning: Data Mining, Inference, and Prediction, 2nd ed.; Springer: New York, NY, USA, 2009. [Google Scholar]
- Raftery, A.; Hoeting, J.; Volinsky, C.; Painter, I.; Yeung, K.Y. Package ‘BMA’: Package for Bayesian Model Averaging and Variable Selection for Linear Models, Generalized Linear Models and Survival Models (Cox Regression). Available online: https://cran.r-project.org/web/packages/BMA (accessed on 1 June 2020).
- Harper, S. Living Longer within Ageing Societies. Popul. Ageing 2019, 12, 133–136. [Google Scholar] [CrossRef]
- Crimmins, E.M. Lifespan and Healthspan: Past, Present, and Promise. Gerontologist 2015, 55, 901–911. [Google Scholar] [CrossRef] [PubMed]
- López-Otín, C.; Blasco, M.A.; Partridge, L.; Serrano, M.; Kroemer, G. The hallmarks of aging. Cell 2013, 153, 1194–1217. [Google Scholar] [CrossRef] [PubMed]
- Jansen, R.; Verhoeven, J.E.; Han, L.K.M.; Aberg, K.A.; van den Oord, E.C.; Milaneschi, Y.; Penninx, B.W. An integrative study of five biological clocks in somatic and mental health. eLife 2021, 10, e59479. [Google Scholar] [CrossRef] [PubMed]
- Ross, C.E.; Masters, R.K.; Hummer, R.A. Education and the gender gaps in health and mortality. Demography 2012, 49, 1157–1183. [Google Scholar] [CrossRef]
- Oudejans, I.; Mosterd, A.; Zuithoff, N.P.; Hoes, A.W. Comorbidity drives mortality in newly diagnosed heart failure: A study among geriatric outpatients. J. Card Fail. 2012, 18, 47–52. [Google Scholar] [CrossRef]
- Studenski, S.; Perera, S.; Patel, K.; Rosano, C.; Faulkner, K.; Inzitari, M.; Brach, J.; Chandler, J.; Cawthon, P.; Connor, E.B.; et al. Gait speed and survival in older adults. JAMA 2011, 305, 50–58. [Google Scholar] [CrossRef]
- WHO. World Report on Ageing and Health. 2015. Available online: https://apps.who.int/iris/bitstream/handle/10665/186463/9789240694811_eng.pdf?sequence=1 (accessed on 17 December 2020).
- Ruiz, M.; Bottle, A.; Long, S.; Aylin, P. Multi-Morbidity in Hospitalized Older Patients: Who are the Complex Elderly? PLoS ONE 2015, 10, e0145372. [Google Scholar] [CrossRef]
- Singh, B.; Pandey, N.M.; Garg, R.K.; Kohli, N.; Usman, K.; Agarwal, G.G.; Tiwari, S.C. Sample attrition rate of a community study: An analysis of Lucknow urban and rural elderly follow-up over a period of 9 years. Indian J. Psychiatr. 2019, 61, 290–294. [Google Scholar]
- Bień, B.; Bień-Barkowska, K.; Wojskowicz, A.; Kasiukiewicz, A.; Wojszel, Z.B. Prognostic factors of long-term survival in geriatric inpatients. Should we change the recommendations for the oldest people? J. Nutr. Health Aging 2015, 19, 481–488. [Google Scholar] [CrossRef] [PubMed]
- Roth, G.A.; Mensah, G.A.; Johnson, C.O.; Addolorato, G.; Ammirati, E.; Baddour, L.M.; Barengo, N.C.; Beaton, A.Z.; Benjamin, E.J.; Benziger, C.P.; et al. Global Burden of Cardiovascular Diseases and Risk Factors, 1990–2019. J. Am. Coll. Cardiol. 2020, 76, 2982–3021. [Google Scholar] [CrossRef]
- Livingston, G.; Sommerlad, A.; Orgeta, V.; Costafreda, S.G.; Huntley, J.; Ames, D.; Ballard, C.; Banerjee, S.; Burns, A.; Cohen-Mansfield, J.; et al. Dementia prevention, intervention, and care. Lancet 2017, 390, 2673–2734. [Google Scholar] [CrossRef]
- Annweiler, C.; Henni, S.; Walrand, S.; Montero-Odasso, M.; Duque, G.; Duval, G.T. Vitamin D and walking speed in older adults: Systematic review and meta-analysis. Maturitas 2017, 106, 8–25. [Google Scholar] [CrossRef]
- Li, S.; Zhang, J.; Zheng, H.; Wang, X.; Liu, Z.; Sun, T. Prognostic Role of Serum Albumin, Total Lymphocyte Count, and Mini Nutritional Assessment on Outcomes after Geriatric Hip Fracture Surgery: A Meta-Analysis and Systematic Review. J. Arthroplast. 2019, 34, 1287–1296. [Google Scholar] [CrossRef]
- Nishida, T.; Sakakibara, H. Low lymphocyte count in underweight Japanese women. Environ. Health Prev. Med. 2008, 13, 345–348. [Google Scholar] [CrossRef] [PubMed]
- Zidar, D.A.; Al-Kindi, S.G.; Liu, Y.; Krieger, N.I.; Perzynski, A.T.; Osnard, M.; Nmai, C.; Anthony, D.D.; Lederman, M.M.; Freeman, M.L.; et al. Association of Lymphopenia with Risk of Mortality Among Adults in the US General Population. JAMA Netw. Open 2019, 2, e1916526. [Google Scholar] [CrossRef] [PubMed]
- Shakersain, B.; Santoni, G.; Faxenirving, G.; Rizzuto, D.; Fratiglioni, L.; Xu, W. Nutritional status and survival among old adults: An 11-year population-based longitudinal study. Eur. J. Clin. Nutr. 2015, 70, 320–325. [Google Scholar] [CrossRef]
- Harith, S.; Shahar, S.; Yusoffb, N.A.M.; Kamaruzzaman, S.B.; Jun-Hua Poi, P. The magnitude of malnutrition among hospitalized elderly patients in university Malaya medical centre. Health Environ. J. 2010, 1, 64–72. [Google Scholar]
- Cereda, E.; Vanotti, A. The new Geriatric Nutritional Risk index is a good predictor of muscle dysfunction in institutionalized older patients. Clin. Nutr. 2007, 26, 78–83. [Google Scholar] [CrossRef] [PubMed]
- Rasheedy, D.; El-Kawaly, W.H. The accuracy of the Geriatric Nutritional Risk Index in detecting frailty and sarcopenia in hospitalized older adults. Aging Clin. Exp. Res. 2020, 2, 2469–2477. [Google Scholar] [CrossRef] [PubMed]
- Yuan, Y.; Wang, N.; Ou, X. Caution should be exercised for the detection of SARS-CoV-2, especially in the elderly. J. Med. Virol. 2020, 74, 1641–1648. [Google Scholar] [CrossRef]
- Matsumura, T.; Mitani, Y.; Oki, Y.; Fujimoto, Y.; Ohira, M.; Kaneko, H.; Kawashima, T.; Nishio, M.; Ishikawa, A. Comparison of Geriatric Nutritional Risk Index scores on physical performance among elderly patients with chronic obstructive pulmonary disease. Heart Lung 2015, 44, 534–538. [Google Scholar] [CrossRef]
- Holick, M.F. The vitamin D deficiency pandemic: Approaches for diagnosis, treatment and prevention. Rev. Endocr. Metab. Disord. 2017, 18, 153–165. [Google Scholar] [CrossRef]
- Łukaszyk, E.; Bień-Barkowska, K.; Bień, B. Cognitive Functioning of Geriatric Patients: Is Hypovitaminosis D the Next Marker of Cognitive Dysfunction and Dementia? Nutrients 2018, 10, 1104. [Google Scholar] [CrossRef] [PubMed]
- Prietl, B.; Treiber, G.; Pieber, T.R.; Amrein, K. Vitamin D and immune function. Nutrients 2013, 5, 2502–2521. [Google Scholar] [CrossRef]
- Fu, H.; Tang, Z.; Wang, Y.; Ding, X.; Rinaldi, G.; Rahmani, J.; Xing, F. Relationship Between Vitamin D Level and Mortality in Adults With Psoriasis: A Retrospective Cohort Study of NHANES Data. Clin. Ther. 2020. [Google Scholar] [CrossRef]
- Rasmussen, L.S.; Yilmaz, M.K.; Falkmer, U.G.; Poulsen, L.Ø.; Bøgsted, M.; Christensen, H.S.; Bojesen, S.E.; Jensen, B.V.; Chen, I.M.; Johansen, A.Z.; et al. Pre-treatment serum vitamin D deficiency is associated with increased inflammatory biomarkers and short overall survival in patients with pancreatic cancer. Eur. J. Cancer 2020, 144, 72–80. [Google Scholar] [CrossRef]
- Chen, C.; Liu, Y.; Cao, Z.; Yin, Z.; Zhao, F.; Lv, Y.; Liu, Z.; Mao, C.; Song, S.; Liu, L.; et al. Combined associations of hs-CRP and cognitive function with all-cause mortality among oldest-old adults in Chinese longevity areas: A prospective cohort study. Immun. Ageing 2019, 16, 30. [Google Scholar] [CrossRef] [PubMed]
- Soysal, P.; Stubbs, B.; Lucato, P.; Luchini, C.; Solmi, M.; Peluso, R.; Sergi, G.; Isik, A.T.; Manzato, E.; Maggi, S.; et al. Inflammation and frailty in the elderly: A systematic review and meta-analysis. Ageing Res. Rev. 2016, 31, 1–8. [Google Scholar] [CrossRef]
- Fang, X.; Li, S.; Yu, H.; Wang, P.; Zhang, Y.; Chen, Z.; Li, Y.; Cheng, L.; Li, W.; Jia, H.; et al. Epidemiological, comorbidity factors with severity and prognosis of COVID-19: A systematic review and meta-analysis. Aging (Albany NY) 2020, 12, 12493–12503. [Google Scholar] [CrossRef]
- Mohan, M.; Cherian, J.J.; Sharma, A. Exploring links between vitamin D deficiency and COVID-19. PLoS Pathog. 2020, 16, e1008874. [Google Scholar] [CrossRef]
- Grant, W.B.; Lahore, H.; McDonnell, S.L.; Baggerly, C.A.; French, C.B.; Aliano, J.L.; Bhattoa, H.P. Evidence that Vitamin D Supplementation Could Reduce Risk of Influenza and COVID-19 Infections and Deaths. Nutrients 2020, 12, 988. [Google Scholar] [CrossRef] [PubMed]
- Annweiler, C.; Beaudenon, M.; Gautier, J.; Simon, R.; Dubée, V.; Gonsard, J.; Parot-Schinkel, E. COvid-19 and high-dose VITamin D supplementation TRIAL in high-risk older patients (COVIT-TRIAL): Study protocol for a randomized controlled trial. COVIT-TRIAL study group. Trials 2020, 21, 1031. [Google Scholar] [CrossRef] [PubMed]
- Silva, D.F.O.; Lima, S.C.V.C.; Sena-Evangelist, K.C.M.; Marchioni, D.M.; Cobucci, R.N.; Andrade, F.B. Nutritional Risk Screening Tools for Older Adults with COVID-19: A Systematic Review. Nutrients 2020, 12, 2956. [Google Scholar] [CrossRef]
- Tavakolpour, S.; Rakhshandehroo, T.; Wei, E.X.; Rashidian, M. Lymphopenia during the COVID-19 infection: What it shows and what can be learned. Immunol. Lett. 2020, 225, 31–32. [Google Scholar] [CrossRef]
- Liu, Z.; Long, W.; Tu, M.; Chen, S.; Huang, Y.; Wang, S.; Zhou, W.; Chen, D.; Zhou, L.; Wang, M.; et al. Lymphocyte subset (CD4+, CD8+) counts reflect the severity of infection and predict the clinical outcomes in patients with COVID-19. J. Infect. 2020, 81, 318–356. [Google Scholar] [CrossRef] [PubMed]
- Wu, W.; Xu, W.; Englund, S.; Shang, Y.; Pan, K.-Y.; Rizzuto, D. Can health behaviours prolong survival and compress the period of survival with the disability? A population-based cohort study. Age Ageing 2021, 50, 480–487. [Google Scholar] [CrossRef]




| All Patients N = 433 | Died N = 132 | Survived N = 301 | p-Value a | |
|---|---|---|---|---|
| Male, n (%) | 135 (31.18) | 53 (40.15) | 82 (27.24) | 0.007 |
| Living Alone, n (%) | 148 (34.18) | 42 (31.82) | 106 (35.22) | 0.492 |
| Age, mean (SD b) | 82.38 (6.54) | 84.17 (6.31) | 81.59 (6.49) | <0.001 |
| Years of education, mean (SD) | 9.28 (4.21) | 8.55 (4.13) | 9.60 (4.21) | 0.009 |
| No. of hospitalization days (SD) | 7.02 (4.01) | 7.95 (5.46) | 6.61 (3.1) | 0.0263 |
| Barthel Index (0–100), mean (SD) | 79.88 (23.88) | 68.33 (28.50) | 84.95 (19.54) | <0.001 |
| I-ADL Index (0–12), mean (SD) | 6.53 (3.88) | 4.65 (3.82) | 7.36 (3.61) | <0.001 |
| Norton Index (1–20), mean (SD) | 16.79 (2.86) | 15.47 (3.19) | 17.36 (2.49) | <0.001 |
| MNA Score (0–14), mean (SD) | 10.95 (2.76) | 10.21 (2.88) | 11.27 (2.64) | <0.001 |
| Geriatric Depression Scale Score (0–15), mean (SD) | 6.02 (3.84) | 6.33 (4.01) | 5.88 (3.76) | 0.330 |
| Blessed Score (0–28), mean (SD) | 11.03 (9.13) | 14.70 (9.81) | 9.43 (8.34) | <0.001 |
| MMSE Score (0–30), mean (SD) | 20.70 (7.33) | 17.57 (8.44) | 22.07 (6.33) | <0.001 |
| Speed of TUG test (m/s), mean (SD) | 0.34 (0.24) | 0.24 (0.19) | 0.39 (0.24) | <0.001 |
| Hemoglobin (g/dL), mean (SD) | 12.61 (1.66) | 12.24 (1.78) | 12.77 (1.59) | 0.006 |
| Total Lymphocyte Count (K/µL), mean (SD) | 1.75 (0.80) | 1.56 (0.59) | 1.83 (0.85) | <0.001 |
| Fasting Glucose (mg/dL), mean (SD) | 107.62 (30.33) | 108.78 (26.42) | 107.12 (31.93) | 0.526 |
| Vitamin B12 (pG/mL), mean (SD) | 415.58 (298.61) | 427.04 (315.66) | 410.55 (291.22) | 0.642 |
| Vitamin D (ng/mL), mean (SD) | 22.94 (15.34) | 18.66 (13.83) | 24.82 (15.61) | <0.001 |
| Total Cholesterol (mg/dL), mean (SD) | 174.78 (45.80) | 164.23 (46.29) | 179.40 (44.88) | <0.001 |
| CRP (mg/L), mean (SD) | 9.36 (28.08) | 15.71 (42.89) | 6.57 (17.50) | <0.001 |
| Creatinine (mg/dL), mean (SD) | 0.92 (0.45) | 1.02 (0.69) | 0.88 (0.28) | 0.031 |
| GFR (ml/min/1.73 m2), mean (SD) | 67.38 (18.75) | 64.23 (19.88) | 68.76 (18.09) | <0.001 |
| Geriatric Nutritional Risk Index, mean (SD) | 113.56 (13.28) | 108.75 (13.15) | 115.67 (12.79) | <0.001 |
| Age-weighted Charlson Comorbidity Index (1–31), mean (SD) | 8.30 (2.92) | 9.65 (3.18) | 7.71 (2.59) | <0.001 |
| Predictors | Average Coefficient | Standard Deviation of Coefficients | |
|---|---|---|---|
| Male | 0.632 | 0.189 | 1.000 |
| Age-weighted Charlson Comorbidity Index | 0.139 | 0.032 | 1.000 |
| Speed of TUG Test | −2.255 | 0.502 | 1.000 |
| Log Total Lymphocyte Count | −0.423 | 0.105 | 1.000 |
| Geriatric Nutritional Risk Index | −0.020 | 0.009 | 0.923 |
| Log Vitamin D | −0.309 | 0.140 | 0.916 |
| Log CRP | 0.106 | 0.088 | 0.689 |
Publisher’s Note: MDPI stays neutral with regard to jurisdictional claims in published maps and institutional affiliations. |
© 2021 by the authors. Licensee MDPI, Basel, Switzerland. This article is an open access article distributed under the terms and conditions of the Creative Commons Attribution (CC BY) license (http://creativecommons.org/licenses/by/4.0/).
Share and Cite
Łukaszyk, E.; Bień-Barkowska, K.; Bień, B. Identification of Mortality Risks in the Advancement of Old Age: Application of Proportional Hazard Models Based on the Stepwise Variable Selection and the Bayesian Model Averaging Approach. Nutrients 2021, 13, 1098. https://doi.org/10.3390/nu13041098
Łukaszyk E, Bień-Barkowska K, Bień B. Identification of Mortality Risks in the Advancement of Old Age: Application of Proportional Hazard Models Based on the Stepwise Variable Selection and the Bayesian Model Averaging Approach. Nutrients. 2021; 13(4):1098. https://doi.org/10.3390/nu13041098
Chicago/Turabian StyleŁukaszyk, Ewelina, Katarzyna Bień-Barkowska, and Barbara Bień. 2021. "Identification of Mortality Risks in the Advancement of Old Age: Application of Proportional Hazard Models Based on the Stepwise Variable Selection and the Bayesian Model Averaging Approach" Nutrients 13, no. 4: 1098. https://doi.org/10.3390/nu13041098
APA StyleŁukaszyk, E., Bień-Barkowska, K., & Bień, B. (2021). Identification of Mortality Risks in the Advancement of Old Age: Application of Proportional Hazard Models Based on the Stepwise Variable Selection and the Bayesian Model Averaging Approach. Nutrients, 13(4), 1098. https://doi.org/10.3390/nu13041098

