High Plasma Docosahexaenoic Acid Associated to Better Prognoses of Patients with Acute Decompensated Heart Failure with Preserved Ejection Fraction
Abstract
1. Introduction
2. Materials and Methods
2.1. Study Design and Participants
2.2. Blood Sampling and Equations
2.3. Assessment of Additional Risk Factors
2.4. Study Outcomes
2.5. Statistical Analyses
3. Results
3.1. Baseline Characteristics
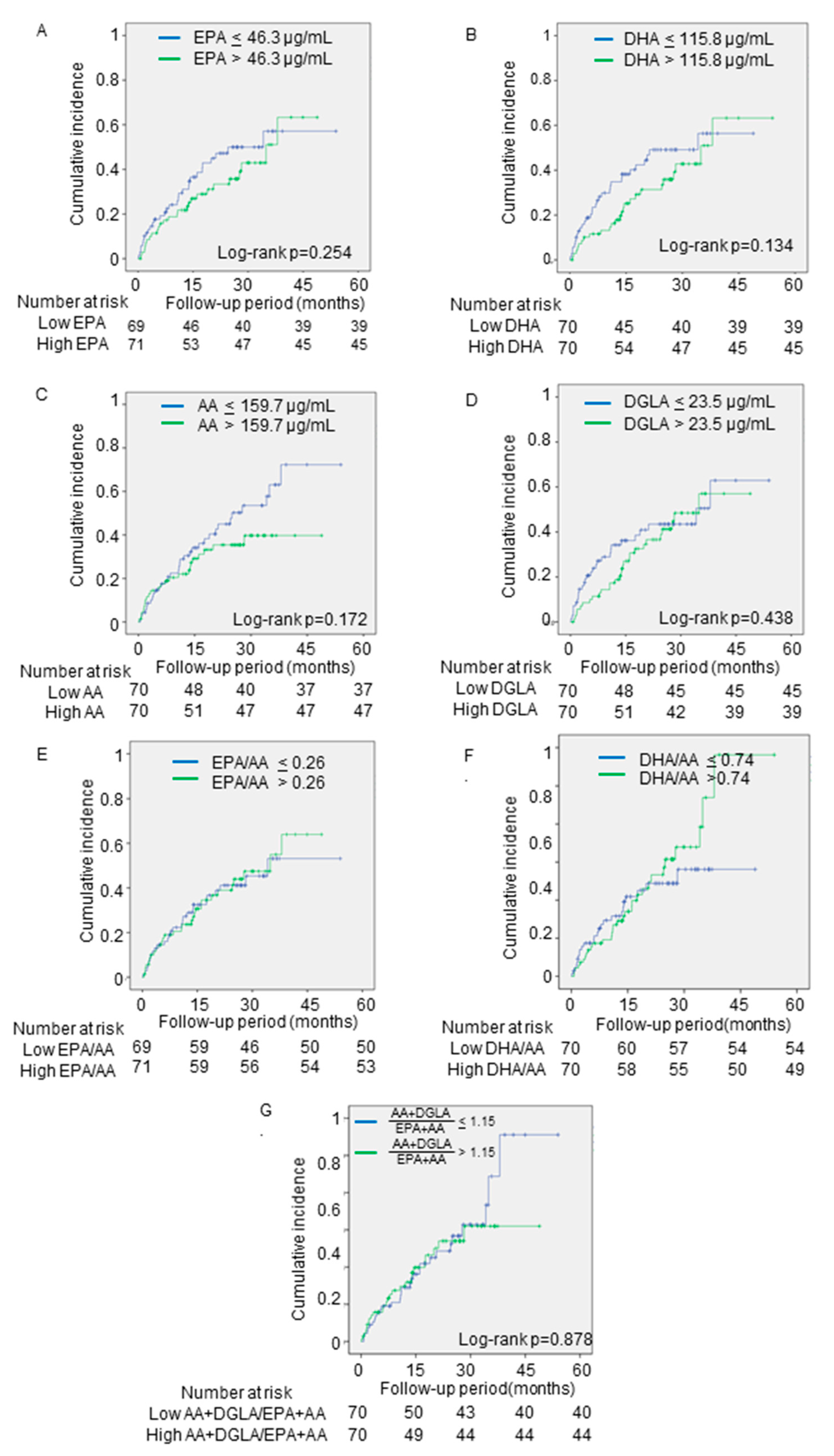
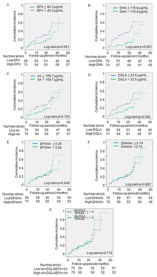
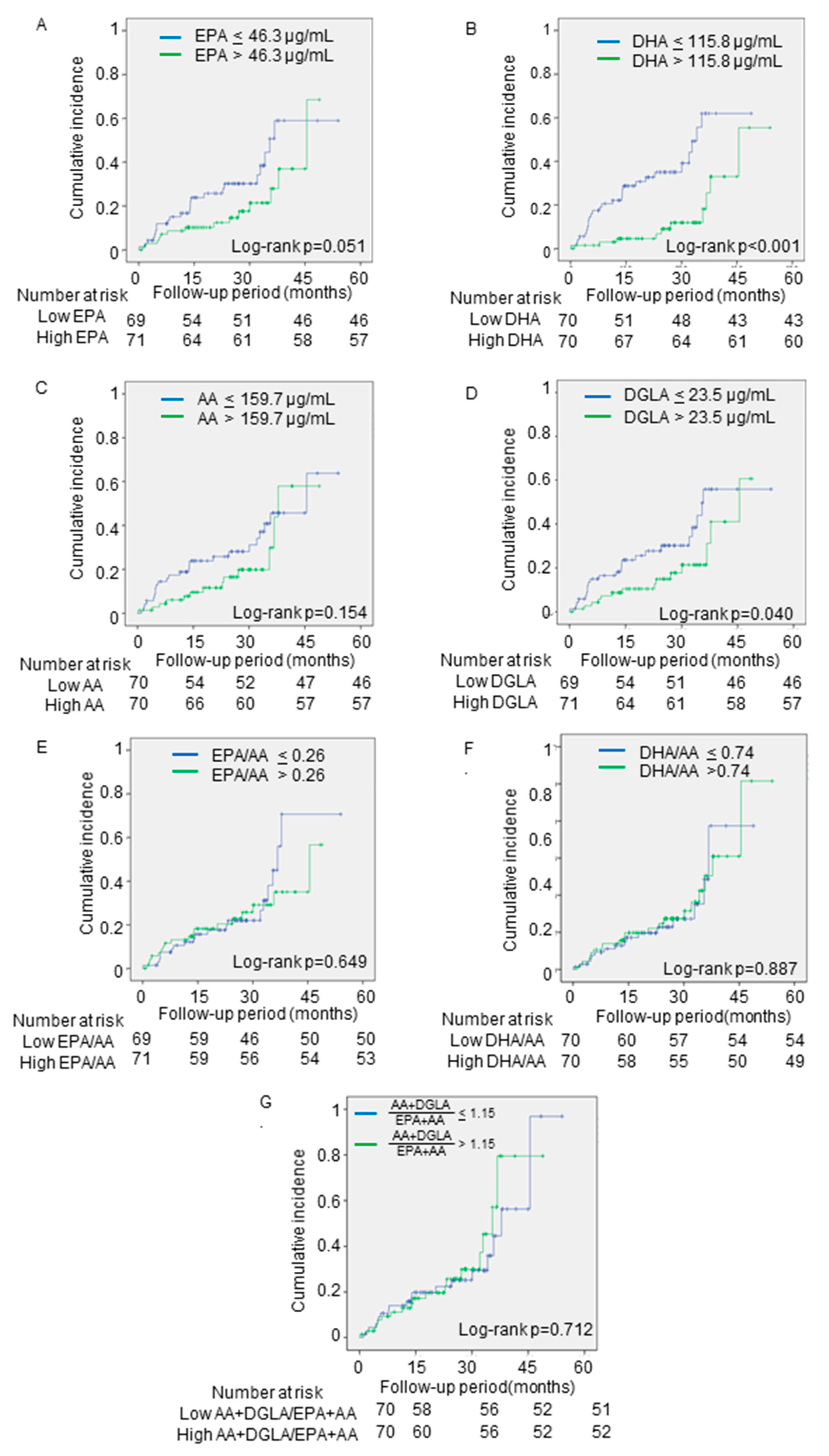
3.2. Cumulative Event Rates Based on PUFA Levels
3.3. Univariate and Multivariate Analyses of Parameters Contributing to the Primary and Secondary Endpoints
4. Discussion
5. Conclusions
Author Contributions
Funding
Institutional Review Board Statement
Informed Consent Statement
Data Availability Statement
Conflicts of Interest
References
- Ziaeian, B.; Fonarow, G.C. Epidemiology and aetiology of heart failure. Nat. Rev. Cardiol. 2016, 13, 368–378. [Google Scholar] [CrossRef] [PubMed]
- Virani, S.S.; Alonso, A.; Benjamin, E.J.; Bittencourt, M.S.; Callaway, C.W.; Carson, A.P.; Chamberlain, A.M.; Chang, A.R.; Cheng, S.; Delling, F.N.; et al. Heart Disease and Stroke Statistics-2020 Update: A Report From the American Heart Association. Circulation 2020, 141, e139–e596. [Google Scholar] [CrossRef] [PubMed]
- Butler, J.; Fonarow, G.C.; Zile, M.R.; Lam, C.S.; Roessig, L.; Schelbert, E.B.; Shah, S.J.; Ahmed, A.; Bonow, R.O.; Cleland, J.G.; et al. Developing therapies for heart failure with preserved ejection fraction: Current state and future directions. JACC Heart Fail. 2014, 2, 97–112. [Google Scholar] [CrossRef] [PubMed]
- Yancy, C.W.; Jessup, M.; Bozkurt, B.; Butler, J.; Casey, D.E., Jr.; Colvin, M.M.; Drazner, M.H.; Filippatos, G.S.; Fonarow, G.C.; Givertz, M.M.; et al. 2017 ACC/AHA/HFSA Focused Update of the 2013 ACCF/AHA Guideline for the Management of Heart Failure: A Report of the American College of Cardiology/American Heart Association Task Force on Clinical Practice Guidelines and the Heart Failure Society of America. Circulation 2017, 136, e137–e161. [Google Scholar] [CrossRef]
- Ushigome, R.; Sakata, Y.; Nochioka, K.; Miyata, S.; Miura, M.; Tadaki, S.; Yamauchi, T.; Sato, S.; Onose, T.; Tsuji, K.; et al. Temporal trends in clinical characteristics, management and prognosis of patients with symptomatic heart failure in Japan—Report from the CHART Studies. Circ. J. 2015, 79, 2396–2407. [Google Scholar] [CrossRef]
- Narumi, T.; Arimoto, T.; Funayama, A.; Kadowaki, S.; Otaki, Y.; Nishiyama, S.; Takahashi, H.; Shishido, T.; Miyashita, T.; Miyamoto, T.; et al. Prognostic importance of objective nutritional indexes in patients with chronic heart failure. J. Cardiol. 2013, 62, 307–313. [Google Scholar] [CrossRef]
- Sokoła-Wysoczańska, E.; Wysoczański, T.; Wagner, J.; Czyż, K.; Bodkowski, R.; Lochyński, S.; Patkowska-Sokoła, B. Polyunsaturated Fatty Acids and Their Potential Therapeutic Role in Cardiovascular System Disorders—A Review. Nutrients 2018, 10, 1561. [Google Scholar] [CrossRef]
- Russo, G.L. Dietary n-6 and n-3 polyunsaturated fatty acids: From biochemistry to clinical implications in cardiovascular prevention. Biochem. Pharmacol. 2009, 77, 937–946. [Google Scholar] [CrossRef]
- Sakamoto, A.; Saotome, M.; Iguchi, K.; Maekawa, Y. Marine-Derived Omega-3 Polyunsaturated Fatty Acids and Heart Failure: Current Understanding for Basic to Clinical Relevance. Int. J. Mol. 2019, 20, 4025. [Google Scholar] [CrossRef]
- Innes, J.K.; Calder, P.C. Omega-6 fatty acids and inflammation. Prostaglandins Leukot. Essent. Fatty Acids 2018, 132, 41–48. [Google Scholar] [CrossRef]
- Serhan, C.N. Pro-resolving lipid mediators are leads for resolution physiology. Nature 2014, 510, 92–101. [Google Scholar] [CrossRef] [PubMed]
- Frigolet, M.E.; Gutierrez-Aguilar, R. The Role of the Novel Lipokine Palmitoleic Acid in Health and Disease. Adv. Nut. 2017, 8, 173S–181S. [Google Scholar] [CrossRef] [PubMed]
- Carrillo, C.; Cavia, M.D.M.; Alonso-Torre, S. Role of oleic acid in immune system; mechanism of action; a review. Nutr. Hosp. 2012, 27, 978–990. [Google Scholar] [CrossRef] [PubMed]
- Sales-Campos, H.; Souza, P.R.; Peghini, B.C.; da Silva, J.S.; Cardoso, C.R. An overview of the modulatory effects of oleic acid in health and disease. Mini Rev. Med. Chem. 2013, 13, 201–210. [Google Scholar] [CrossRef]
- Kayama, Y.; Minamino, T.; Toko, H.; Sakamoto, M.; Shimizu, I.; Takahashi, H.; Okada, S.; Tateno, K.; Moriya, J.; Yokoyama, M.; et al. Cardiac 12/15 lipoxygenase-induced inflammation is involved in heart failure. J. Exp. Med. 2009, 206, 1565–1574. [Google Scholar] [CrossRef]
- Endo, J.; Sano, M.; Isobe, Y.; Fukuda, K.; Kang, J.X.; Arai, H.; Arita, M. 18-HEPE, an n-3 fatty acid metabolite released by macrophages, prevents pressure overload-induced maladaptive cardiac remodeling. J. Exp. Med. 2014, 211, 1673–1687. [Google Scholar] [CrossRef]
- Kunapuli, P.; Lawson, J.A.; Rokach, J.A.; Meinkoth, J.L.; FitzGerald, G.A. Prostaglandin F2alpha (PGF2alpha) and the isoprostane, 8, 12-iso-isoprostane F2alpha-III, induce cardiomyocyte hypertrophy. Differential activation of downstream signaling pathways. J. Biol. Chem. 1998, 273, 22442–22452. [Google Scholar] [CrossRef]
- GISSI-Prevenzione Investigators (Gruppo Italiano per lo Studio della Sopravvivenza nell’Infarto miocardico). Dietary supplementation with n-3 polyunsaturated fatty acids and vitamin E after myocardial infarction: Results of the GISSI-Prevenzione trial. Lancet 1999, 354, 447–455. [Google Scholar] [CrossRef]
- Mozaffarian, D.; Lemaitre, R.N.; King, I.B.; Song, X.; Spiegelman, D.; Sacks, F.M.; Rimm, E.B.; Siscovick, D.S. Circulating long-chain ω-3 fatty acids and incidence of congestive heart failure in older adults: The cardiovascular health study: A cohort study. Ann. Intern. Med. 2011, 155, 160–170. [Google Scholar] [CrossRef]
- Bernasconi, A.A.; Wiest, M.M.; Lavie, C.J.; Milani, R.V.; Laukkanen, J.A. Effect of Omega-3 Dosage on Cardiovascular Outcomes: An Updated Meta-Analysis and Meta-Regression of Interventional Trials. Mayo Clin. Proc. 2020. [Google Scholar] [CrossRef]
- Djousse, L.; Akinkuolie, A.O.; Wu, J.H.; Ding, E.L.; Gaziano, J.M. Fish consumption, omega-3 fatty acids and risk of heart failure: A meta-analysis. Clin. Nutr. 2012, 31, 846–853. [Google Scholar] [CrossRef] [PubMed]
- Block, R.C.; Liu, L.; Herrington, D.M.; Huang, S.; Tsai, M.Y.; O’Connell, T.D.; Shearer, G.C. Predicting Risk for Incident Heart Failure With Omega-3 Fatty Acids: From MESA. JACC Heart Fail. 2019, 7, 651–661. [Google Scholar] [CrossRef] [PubMed]
- Nodari, S.; Triggiani, M.; Campia, U.; Manerba, A.; Milesi, G.; Cesana, B.M.; Gheorghiade, M.; Dei Cas, L. Effects of n-3 polyunsaturated fatty acids on left ventricular function and functional capacity in patients with dilated cardiomyopathy. J. Am. Coll. Cardiol. 2011, 57, 870–879. [Google Scholar] [CrossRef]
- Chrysohoou, C.; Metallinos, G.; Georgiopoulos, G.; Mendrinos, D.; Papanikolaou, A.; Magkas, N.; Pitsavos, C.; Vyssoulis, G.; Stefanadis, C.; Tousoulis, D. Short term omega-3 polyunsaturated fatty acid supplementation induces favorable changes in right ventricle function and diastolic filling pressure in patients with chronic heart failure; A randomized clinical trial. Vasc. Pharmacol. 2016, 79, 43–50. [Google Scholar] [CrossRef] [PubMed]
- Kohashi, K.; Nakagomi, A.; Saiki, Y.; Morisawa, T.; Kosugi, M.; Kusama, Y.; Atarashi, H.; Shimizu, W. Effects of eicosapentaenoic acid on the levels of inflammatory markers, cardiac function and long-term prognosis in chronic heart failure patients with dyslipidemia. J. Atheroscler. Thromb. 2014, 21, 712–729. [Google Scholar] [CrossRef]
- Moertl, D.; Hammer, A.; Steiner, S.; Hutuleac, R.; Vonbank, K.; Berger, R. Dose-dependent effects of omega-3-polyunsaturated fatty acids on systolic left ventricular function, endothelial function, and markers of inflammation in chronic heart failure of nonischemic origin: A double-blind, placebo-controlled, 3-arm study. Am. Heart. J. 2011, 161, 915.e1–915.e9. [Google Scholar] [CrossRef]
- O’Keefe, E.L.; Harris, W.S.; DiNicolantonio, J.J.; Elagizi, A.; Milani, R.V.; Lavie, C.J.; O’Keefe, J.H. Sea Change for Marine Omega-3s: Randomized Trials Show Fish Oil Reduces Cardiovascular Events. Mayo Clin. Proc. 2019, 94, 2524–2533. [Google Scholar] [CrossRef]
- Elagizi, A.; Lavie, C.J.; O’Keefe, E.; Marshall, K.; O’Keefe, J.H.; Milani, R.V. An Update on Omega-3 Polyunsaturated Fatty Acids and Cardiovascular Health. Nutrients 2021, 13, 204. [Google Scholar] [CrossRef]
- McKee, P.A.; Castelli, W.P.; McNamara, P.M.; Kannel, W.B. The natural history of congestive heart failure: The Framingham study. N. Engl. J. Med. 1971, 285, 1441–1446. [Google Scholar] [CrossRef]
- Yanagisawa, N.; Shimada, K.; Miyazaki, T.; Kume, A.; Kitamura, Y.; Ichikawa, R.; Ohmura, H.; Kiyanagi, T.; Hiki, M.; Fukao, K.; et al. Polyunsaturated fatty acid levels of serum and red blood cells in apparently healthy Japanese subjects living in an urban area. J. Atheroscler. Thromb. 2010, 17, 285–294. [Google Scholar] [CrossRef]
- Matsuo, S.; Imai, E.; Horio, M.; Yasuda, Y.; Tomita, K.; Nitta, K.; Yamagata, K.; Tomino, Y.; Yokoyama, H.; Hishida, A.; et al. Revised equations for estimated GFR from serum creatinine in Japan. Am. J. Kidney Dis. 2009, 53, 982–992. [Google Scholar] [CrossRef] [PubMed]
- Bouillanne, O.; Morineau, G.; Dupont, C.; Coulombel, I.; Vincent, J.P.; Nicolis, I.; Benazeth, S.; Cynober, L.; Aussel, C. Geriatric Nutritional Risk Index: A new index for evaluating at-risk elderly medical patients. Am. J. Clin. Nutr. 2005, 82, 777–783. [Google Scholar] [CrossRef] [PubMed]
- Ouchi, S.; Miyazaki, T.; Shimada, K.; Sugita, Y.; Shimizu, M.; Murata, A.; Kato, T.; Aikawa, T.; Suda, S.; Shiozawa, T.; et al. Low Docosahexaenoic Acid, Dihomo-Gamma-Linolenic Acid, and Arachidonic Acid Levels Associated with Long-Term Mortality in Patients with Acute Decompensated Heart Failure in Different Nutritional Statuses. Nutrients 2017, 9, 956. [Google Scholar] [CrossRef] [PubMed]
- Nagai, T.; Honda, Y.; Sugano, Y.; Nishimura, K.; Nakai, M.; Honda, S.; Iwakami, N.; Okada, A.; Asaumi, Y.; Aiba, T.; et al. Circulating Omega-6, But Not Omega-3 Polyunsaturated Fatty Acids, Are Associated with Clinical Outcomes in Patients with Acute Decompensated Heart Failure. PLoS ONE 2016, 11, e0165841. [Google Scholar] [CrossRef]
- Ouchi, S.; Miyazaki, T.; Shimada, K.; Sugita, Y.; Shimizu, M.; Murata, A.; Kato, T.; Aikawa, T.; Suda, S.; Shiozawa, T.; et al. Decreased circulating dihomo-gamma-linolenic acid levels are associated with total mortality in patients with acute cardiovascular disease and acute decompensated heart failure. Lipids Health Dis. 2017, 16, 150. [Google Scholar] [CrossRef]
- Nieman, D.C.; Mitmesser, S.H. Potential Impact of Nutrition on Immune System Recovery from Heavy Exertion: A Metabolomics Perspective. Nutrients 2017, 9, 513. [Google Scholar] [CrossRef]
- Saito, M.; Ueno, M.; Kubo, K.; Yamaguchi, M. Dose-Response Effect of Dietary Docosahexaenoic Acid on Fatty Acid Profiles of Serum and Tissue Lipids in Rats. J. Agric. Food Chem. 1998, 46, 184–193. [Google Scholar] [CrossRef]
- Hamaguchi, S.; Kinugawa, S.; Sobirin, M.A.; Goto, D.; Tsuchihashi-Makaya, M.; Yamada, S.; Yokoshiki, H.; Tsutsui, H.; JCARE-CARD Investigators. Mode of death in patients with heart failure and reduced vs. preserved ejection fraction: Report from the registry of hospitalized heart failure patients. Circ. J. 2012, 76, 1662–1669. [Google Scholar] [CrossRef]
- Fukuhara, M.; Kitazono, T.; Kiyohara, Y. Association between ratio of serum eicosapentaenoic acid to arachidonic acid and risk of cardiovascular disease: The Hisayama Study. Atherosclerosis 2013, 231, 261–267. [Google Scholar]
- Domei, T.; Yokoi, H.; Kuramitsu, S.; Soga, Y.; Arita, T.; Ando, K.; Shirai, S.; Kondo, K.; Sakai, K.; Goya, M.; et al. Ratio of serum n-3 to n-6 polyunsaturated fatty acids and the incidence of major adverse cardiac events in patients undergoing percutaneous coronary intervention. Circ. J. 2012, 76, 423–429. [Google Scholar] [CrossRef]
- Ueeda, M.; Doumei, T.; Takaya, Y.; Ohnishi, N.; Takaishi, A.; Hirohata, S.; Miyoshi, T.; Shinohata, R.; Usui, S.; Kusachi, S. Association of serum levels of arachidonic acid and eicosapentaenoic acid with prevalence of major adverse cardiac events after acute myocardial infarction. Heart Vessel. 2011, 26, 145–152. [Google Scholar] [CrossRef] [PubMed]
- Tavazzi, L.; Maggioni, A.P.; Marchioli, R.; Barlera, S.; Franzosi, M.G.; Latini, R.; Lucci, D.; Nicolosi, G.L.; Porcu, M.; Tognoni, G.; et al. Effect of n-3 polyunsaturated fatty acids in patients with chronic heart failure (the GISSI-HF trial): A randomised, double-blind, placebo-controlled trial. Lancet 2008, 372, 1223–1230. [Google Scholar] [PubMed]
- Madingou, N.; Gilbert, K.; Tomaro, L.; Prud’homme Touchette, C.; Trudeau, F.; Fortin, S.; Rousseau, G. Comparison of the effects of EPA and DHA alone or in combination in a murine model of myocardial infarction. Prostaglandins Leukot. Essent. Fat. Acids 2016, 111, 11–16. [Google Scholar] [CrossRef] [PubMed]
- Chen, J.; Shearer, G.C.; Chen, Q.; Healy, C.L.; Beyer, A.J.; Nareddy, V.B.; Gerdes, A.M.; Harris, W.S.; O’Connell, T.D.; Wang, D. Omega-3 fatty acids prevent pressure overload-induced cardiac fibrosis through activation of cyclic GMP/protein kinase G signaling in cardiac fibroblasts. Circulation 2011, 123, 584–593. [Google Scholar] [CrossRef] [PubMed]




| Primary Endpoint | ||||
|---|---|---|---|---|
| Variables | All (n = 140) | Absent (n = 103) | Present (n = 37) | p |
| Men | 60 (42.9) | 40 (38.8) | 20 (54.1) | 0.110 |
| Age, years | 84.0 (77.0, 88.0) | 82.0 (76.0, 88.0) | 86.0 (83.0, 89.0) | 0.018 |
| Body mass index, kg/m2 | 23.3 (20.4, 26.6) | 22.4 (20.8, 27.5) | 22.1 (19.9, 24.1) | 0.008 |
| Hypertension | 126 (90.0) | 96 (93.2) | 30 (81.1) | 0.035 |
| Diabetes Mellitus | 32 (22.9) | 22 (21.4) | 10 (27.0) | 0.485 |
| Dyslipidemia | 45 (32.1) | 38 (36.9) | 7 (18.9) | 0.045 |
| Current smoker | 49 (35.0) | 33 (32.0) | 16 (43.2) | 0.223 |
| Prior hospitalization for heart failure | 19 (13.6) | 13 (12.6) | 6 (16.2) | 0.587 |
| Ischemic heart disease | 18 (12.9) | 15 (14.6) | 3 (8.1) | 0.318 |
| Atrial fibrillation | 79 (56.4) | 59 (57.3) | 20 (54.1) | 0.736 |
| Prior PCI | 14 (10.0) | 12 (11.7) | 2 (5.4) | 0.281 |
| Prior CABG | 5 (3.6) | 5 (4.9) | 0 (0) | 0.175 |
| Valve repair/placement | 14 (10.0) | 12 (11.7) | 2 (5.4) | 0.281 |
| Pacemaker implantation | 14 (10.0) | 7 (6.8) | 7 (18.9) | 0.035 |
| Medications | ||||
| ACEIs/ARBs | 55 (39.3) | 43 (41.7) | 12 (32.4) | 0.323 |
| β-blockers | 48 (34.3) | 39 (37.9) | 9 (24.3) | 0.139 |
| CCBs | 72 (51.4) | 55 (53.4) | 17 (45.9) | 0.440 |
| Loop diuretics | 79 (56.4) | 54 (52.4) | 25 (67.6) | 0.113 |
| MRAs | 26 (18.6) | 16 (15.5) | 10 (27.0) | 0.125 |
| Antiplatelets | 31 (22.1) | 27 (26.2) | 4 (10.8) | 0.053 |
| Oral antidiabetic agents | 22 (15.7) | 17 (16.5) | 5 (13.5) | 0.671 |
| Statins | 35 (25.0) | 31 (30.1) | 4 (10.8) | 0.020 |
| Anticoagulants | 22 (15.7) | 46 (44.7) | 17 (45.9) | 0.894 |
| Laboratory findings | ||||
| Hemoglobin (g/dL) | 11.0 ± 2.09 | 11.2 ± 2.10 | 10.3 ± 1.94 | 0.017 |
| Creatinine (mg/dL) | 1.08 (0.82, 1.62) | 1.03 (0.83, 1.56) | 1.27 (0.79, 1.75) | 0.364 |
| eGFR (ml/min/1.73 m2) | 42.2 (29.0, 56.0) | 43.0 (29.0, 55.0) | 41.0 (26.2, 59.6) | 0.530 |
| Albumin (g/dL) | 3.6 (3.2, 3.9) | 3.6 (3.4, 3.9) | 3.4 (2.9, 3.7) | 0.001 |
| hsCRP (mg/dL) | 0.43 (0.17, 1.45) | 0.36 (0.15, 1.08) | 0.86 (0.24, 1.59) | 0.581 |
| BNP (pg/mL) | 453.0 (260.4, 699.0) | 464.0 (246.8, 739.4) | 411.0 (269.9, 659.5) | 0.107 |
| Troponin I (pg/mL) | 32.7 (15.2, 84.7) | 33.0 (14.3, 84.7) | 28.9 (16.3, 70.8) | 0.520 |
| Hemoglobin A1C (%) | 5.9 (5.6, 6.5) | 5.9 (5.6, 6.5) | 5.9 (5.6, 6.6) | 0.871 |
| Triglycerides (mg/dL) | 76 (57, 98) | 78 (62, 98) | 67 (50, 94) | 0.110 |
| HDL-C (mg/dL) | 46 ± 14.4 | 48 ± 13.8 | 41 ± 15.5 | 0.047 |
| LDL-C (mg/dL) | 97 ± 36.7 | 102 ± 37.1 | 81 ± 30.8 | 0.014 |
| EPA (μg/mL) | 46.6 (30.7, 64.2) | 48.0 (31.9, 67.8) | 39.6 (28.0, 55.0) | 0.076 |
| DHA (μg/mL) | 116.1 (96.7, 144.9) | 126.7 (99.1, 149.8) | 102.8 (94.3, 119.5) | 0.009 |
| AA (μg/mL) | 159.8 (133.8, 194.5) | 167.1 (144.2, 195.0) | 139.1 (110.5, 180.7) | 0.001 |
| DGLA (μg/mL) | 23.6 (19.6, 30.5) | 24.2 (20.1, 32.5) | 22.2 (18.4, 27.1) | 0.019 |
| EPA/AA | 0.26 (0.20, 0.40) | 0.27 (0.20, 0.40) | 0.26 (0.21, 0.39) | 0.812 |
| DHA/AA | 0.74 (0.62, 0.89) | 0.74 (0.60, 0.90) | 0.78 (0.63, 0.88) | 0.287 |
| AA + DGLA/EPA + DHA | 1.15 (0.90, 1.38) | 1.15 (0.90, 1.42) | 1.14 (0.95, 1.32) | 0.481 |
| GNRI | 97.7 ± 12.03 | 99.9 ± 11.59 | 90.8 ± 10.84 | < 0.001 |
| Univariate | Multivariate-1 | Multivariate-2 | |||||||
|---|---|---|---|---|---|---|---|---|---|
| HR | 95% CI | p | HR | 95% CI | p | HR | 95% CI | p | |
| Age, per 1 year | 1.06 | 1.01–1.11 | 0.009 | 1.05 | 0.99–1.10 | 1.102 | 1.06 | 1.00–1.13 | 0.042 |
| Male | 1.76 | 0.92–3.37 | 0.087 | 1.76 | 0.81–3.83 | 0.155 | 1.98 | 0.91–4.29 | 0.083 |
| Body mass index, per 1.0 kg/m2 | 0.90 | 0.82–0.98 | 0.017 | - | - | - | - | - | - |
| Hypertension | 0.52 | 0.26–1.06 | 0.071 | 0.65 | 0.26–1.59 | 0.342 | 1.13 | 0.45–2.82 | 0.793 |
| Dyslipidemia | 0.45 | 0.20–1.03 | 0.060 | 0.72 | 0.25–2.12 | 0.549 | 0.66 | 0.23–1.91 | 0.441 |
| Diabetes mellitus | 1.54 | 0.74–3.21 | 0.249 | 1.99 | 0.87–4.58 | 0.104 | 1.86 | 0.78–4.46 | 0.164 |
| Statin use | 0.34 | 0.12–0.95 | 0.040 | - | - | - | - | - | - |
| Hemoglobin, per 1.0 mg/dL | 0.82 | 0.70–0.96 | 0.013 | - | - | - | - | - | - |
| Albumin, per 1.0 g/dL | 0.34 | 0.18–0.63 | 0.001 | - | - | - | - | - | - |
| HDL-C, per 1 mg/dL | 0.96 | 0.93–1.00 | 0.054 | - | - | - | - | - | - |
| LDL-C, per 1 mg/dL | 0.98 | 0.96–0.99 | 0.004 | - | - | - | - | - | - |
| GNRI, per 1 index | 0.94 | 0.91–0.97 | <0.001 | 0.95 | 0.91–0.99 | 0.010 | 0.95 | 0.91–0.98 | 0.002 |
| High DGLA | 0.50 | 0.26–0.98 | 0.044 | 1.02 | 0.47–2.19 | 0.969 | - | - | - |
| High AA | 0.61 | 0.31–1.21 | 0.158 | - | - | - | - | - | - |
| High EPA | 0.52 | 0.27–1.01 | 0.055 | - | - | - | - | - | - |
| High DHA | 0.25 | 0.12–0.53 | <0.001 | - | - | - | 0.16 | 0.06–0.44 | <0.001 |
| High EPA/AA | 0.86 | 0.45–1.65 | 0.650 | - | - | - | - | ||
| High DHA/AA | 1.05 | 0.54–2.02 | 0.887 | - | - | - | - | ||
| High AA + DGLA/ EPA + DHA | 1.13 | 0.59–2.17 | 0.712 | - | - | - | - | ||
| Multivariate Analysis | |||
|---|---|---|---|
| Variables | HR | 95% CI | P |
| Age, per 1-year | 1.07 | 1.02–1.13 | 0.006 |
| Male | 1.67 | 0.87–3.22 | 0.123 |
| High DHA and high GNRI | Reference | ||
| High DHA and low GNRI | 1.14 | 0.28–4.64 | 0.858 |
| Low DHA and high GNRI | 3.03 | 0.80–11.48 | 0.104 |
| Low DHA and low GNRI | 8.48 | 2.47–29.07 | 0.001 |
Publisher’s Note: MDPI stays neutral with regard to jurisdictional claims in published maps and institutional affiliations. |
© 2021 by the authors. Licensee MDPI, Basel, Switzerland. This article is an open access article distributed under the terms and conditions of the Creative Commons Attribution (CC BY) license (http://creativecommons.org/licenses/by/4.0/).
Share and Cite
Matsuo, N.; Miyoshi, T.; Takaishi, A.; Kishinoue, T.; Yasuhara, K.; Tanimoto, M.; Nakano, Y.; Onishi, N.; Ueeda, M.; Ito, H. High Plasma Docosahexaenoic Acid Associated to Better Prognoses of Patients with Acute Decompensated Heart Failure with Preserved Ejection Fraction. Nutrients 2021, 13, 371. https://doi.org/10.3390/nu13020371
Matsuo N, Miyoshi T, Takaishi A, Kishinoue T, Yasuhara K, Tanimoto M, Nakano Y, Onishi N, Ueeda M, Ito H. High Plasma Docosahexaenoic Acid Associated to Better Prognoses of Patients with Acute Decompensated Heart Failure with Preserved Ejection Fraction. Nutrients. 2021; 13(2):371. https://doi.org/10.3390/nu13020371
Chicago/Turabian StyleMatsuo, Naoaki, Toru Miyoshi, Atsushi Takaishi, Takao Kishinoue, Kentaro Yasuhara, Masafumi Tanimoto, Yukari Nakano, Nobuhiko Onishi, Masayuki Ueeda, and Hiroshi Ito. 2021. "High Plasma Docosahexaenoic Acid Associated to Better Prognoses of Patients with Acute Decompensated Heart Failure with Preserved Ejection Fraction" Nutrients 13, no. 2: 371. https://doi.org/10.3390/nu13020371
APA StyleMatsuo, N., Miyoshi, T., Takaishi, A., Kishinoue, T., Yasuhara, K., Tanimoto, M., Nakano, Y., Onishi, N., Ueeda, M., & Ito, H. (2021). High Plasma Docosahexaenoic Acid Associated to Better Prognoses of Patients with Acute Decompensated Heart Failure with Preserved Ejection Fraction. Nutrients, 13(2), 371. https://doi.org/10.3390/nu13020371

