A Humanities-Based Explanation for the Effects of Emotional Eating and Perceived Stress on Food Choice Motives during the COVID-19 Pandemic
Abstract
1. Introduction
2. Materials and Methods
2.1. Study Design
2.2. Demographics
2.3. Assessment of Perceived Stress
2.4. Assessment of Food Choice Motives
2.5. Assessment of Emotional Eating
2.6. Statistical Analysis
3. Results
3.1. Demographics
3.2. Correlation Analysis
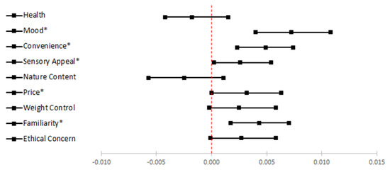
3.3. Mediation Analysis
4. Discussion
5. Interventions
6. Strengths and Limitations
Author Contributions
Funding
Acknowledgments
Conflicts of Interest
Abbreviations
| United States | (US) |
| Coronavirus Disease 2019 | (COVID-19) |
| confidence intervals | (CI) |
References
- Devonport, T.J.; Nicholls, W.; Fullerton, C. A systematic review of the association between emotions and eating behaviour in normal and overweight adult populations. J. Health Psychol. 2019, 24, 3–24. [Google Scholar] [CrossRef] [PubMed]
- Albott, C.S.; Wozniak, J.R.; McGlinch, B.P.; Wall, M.H.; Gold, B.S.; Vinogradov, S. Battle Buddies: Rapid Deployment of a Psychological Resilience Intervention for Health Care Workers During the Coronavirus Disease 2019 Pandemic. Anesth. Analg. 2020. [Google Scholar] [CrossRef] [PubMed]
- Elbay, R.Y.; Kurtulmuş, A.; Arpacıoğlu, S.; Karadere, E. Depression, anxiety, stress levels of physicians and associated factors in COVID-19 pandemics. Psychiatry Res. 2020, 290, 113130. [Google Scholar] [CrossRef] [PubMed]
- Lippi, G.; Henry, B.M.; Bovo, C.; Sanchis-Gomar, F. Health risks and potential remedies during prolonged lockdowns for coronavirus disease 2019 (COVID-19). Diagnosis 2020, 7, 85–90. [Google Scholar] [CrossRef] [PubMed]
- Liu, C.H.; Zhang, E.; Wong, G.T.F.; Hyun, S.; Hahm, H.C. Factors associated with depression, anxiety, and PTSD symptomatology during the COVID-19 pandemic: Clinical implications for U.S. young adult mental health. Psychiatry Res. 2020, 290, 113172. [Google Scholar] [CrossRef]
- McGinty, E.E.; Presskreischer, R.; Han, H.; Barry, C.L. Psychological Distress and Loneliness Reported by US Adults in 2018 and April 2020. J. Am. Med. Assoc. 2020, 324, 93–94. [Google Scholar] [CrossRef]
- Ozamiz-Etxebarria, N.; Dosil-Santamaria, M.; Picaza-Gorrochategui, M.; Idoiaga-Mondragon, N. Stress, anxiety, and depression levels in the initial stage of the COVID-19 outbreak in a population sample in the northern Spain. Cad. Saude Publica 2020, 36. [Google Scholar] [CrossRef]
- Park, C.L.; Russell, B.S.; Fendrich, M.; Finkelstein-Fox, L.; Hutchison, M.; Becker, J. Americans’ COVID-19 Stress, Coping, and Adherence to CDC Guidelines. J. Gen. Intern Med. 2020. [Google Scholar] [CrossRef]
- Pedrozo-Pupo, J.C.; Pedrozo-Cortés, M.J.; Campo-Arias, A. Perceived stress associated with COVID-19 epidemic in Colombia: An online survey. Cad. Saude Publica 2020, 36, e00090520. [Google Scholar] [CrossRef]
- Qiu, J.; Shen, B.; Zhao, M.; Wang, Z.; Xie, B.; Xu, Y. A nationwide survey of psychological distress among Chinese people in the COVID-19 epidemic: Implications and policy recommendations. Gen. Psychiatr. 2020, 33. [Google Scholar] [CrossRef]
- Rajkumar, R.P. COVID-19 and mental health: A review of the existing literature. Asian J. Psychiatr. 2020, 52, 102066. [Google Scholar] [CrossRef] [PubMed]
- Rehman, U.; Shahnawaz, M.G.; Khan, N.H.; Kharshiing, K.D.; Khursheed, M.; Gupta, K.; Kashyap, D.; Uniyal, R. Depression, Anxiety and Stress Among Indians in Times of Covid-19 Lockdown. Community Ment. Health J. 2020. [Google Scholar] [CrossRef] [PubMed]
- Killgore, W.D.S.; Cloonan, S.A.; Taylor, E.C.; Dailey, N.S. Loneliness: A signature mental health concern in the era of COVID-19. Psychiatry Res. 2020, 290, 113117. [Google Scholar] [CrossRef] [PubMed]
- Coyne, L.W.; Gould, E.R.; Grimaldi, M.; Wilson, K.G.; Baffuto, G.; Biglan, A. First Things First: Parent Psychological Flexibility and Self-Compassion During COVID-19. Behav. Anal. Pract. 2020, 1–7. [Google Scholar] [CrossRef] [PubMed]
- Niles, M.T.; Bertmann, F.; Belarmino, E.H.; Wentworth, T.; Biehl, E.; Neff, R.A. The Early Food Insecurity Impacts of COVID-19. MedRxiv 2020. [Google Scholar] [CrossRef] [PubMed]
- Wolfson, J.A.; Leung, C.W. Food Insecurity and COVID-19: Disparities in Early Effects for US Adults. Nutrients 2020, 12, 1648. [Google Scholar] [CrossRef] [PubMed]
- Rodgers, R.F.; Lombardo, C.; Cerolini, S.; Franko, D.L.; Omori, M.; Fuller-Tyszkiewicz, M.; Linardon, J.; Courtet, P.; Guillaume, S. The impact of the COVID-19 pandemic on eating disorder risk and symptoms. Int J. Eat. Disord 2020, 53, 1166–1170. [Google Scholar] [CrossRef]
- Shah, M.; Sachdeva, M.; Johnston, H. Eating disorders in the age of COVID-19. Psychiatry Res. 2020, 290, 113122. [Google Scholar] [CrossRef]
- Chao, A.M.; Jastreboff, A.M.; White, M.A.; Grilo, C.M.; Sinha, R. Stress, cortisol, and other appetite-related hormones: Prospective prediction of 6-month changes in food cravings and weight. Obes. Silver Spring 2017, 25, 713–720. [Google Scholar] [CrossRef]
- Harris, R.B.S. Chronic and acute effects of stress on energy balance: Are there appropriate animal models? Am. J. Physiol. Regul. Integr. Comp. Physiol. 2015, 308, R250–R265. [Google Scholar] [CrossRef]
- Adam, T.C.; Epel, E.S. Stress, eating and the reward system. Physiol. Behav. 2007, 91, 449–458. [Google Scholar] [CrossRef] [PubMed]
- Born, J.M.; Lemmens, S.G.T.; Rutters, F.; Nieuwenhuizen, A.G.; Formisano, E.; Goebel, R.; Westerterp-Plantenga, M.S. Acute stress and food-related reward activation in the brain during food choice during eating in the absence of hunger. Int. J. Obes. 2010, 34, 172–181. [Google Scholar] [CrossRef] [PubMed]
- Dallman, M.F. Stress-induced obesity and the emotional nervous system. Trends Endocrinol. Metab. 2010, 21, 159–165. [Google Scholar] [CrossRef] [PubMed]
- Yau, Y.H.C.; Potenza, M.N. Stress and Eating Behaviors. Minerva Endocrinol. 2013, 38, 255–267. [Google Scholar] [PubMed]
- Chaput, J.-P.; Drapeau, V.; Poirier, P.; Teasdale, N.; Tremblay, A. Glycemic instability and spontaneous energy intake: Association with knowledge-based work. Psychosom. Med. 2008, 70, 797–804. [Google Scholar] [CrossRef]
- Lemmens, S.G.; Rutters, F.; Born, J.M.; Westerterp-Plantenga, M.S. Stress augments food “wanting” and energy intake in visceral overweight subjects in the absence of hunger. Physiol. Behav. 2011, 103, 157–163. [Google Scholar] [CrossRef]
- Ulrich-Lai, Y.M.; Fulton, S.; Wilson, M.; Petrovich, G.; Rinaman, L. Stress Exposure, Food Intake, and Emotional State. Stress 2015, 18, 381–399. [Google Scholar] [CrossRef]
- Van Strien, T.; Gibson, E.L.; Baños, R.; Cebolla, A.; Winkens, L.H.H. Is comfort food actually comforting for emotional eaters? A (moderated) mediation analysis. Physiol. Behav. 2019, 211, 112671. [Google Scholar] [CrossRef]
- Zellner, D.A.; Loaiza, S.; Gonzalez, Z.; Pita, J.; Morales, J.; Pecora, D.; Wolf, A. Food selection changes under stress. Physiol. Behav. 2006, 87, 789–793. [Google Scholar] [CrossRef]
- El Ansari, W.; Berg-Beckhoff, G. Nutritional Correlates of Perceived Stress among University Students in Egypt. Int. J. Environ. Res. Public Health 2015, 12, 14164–14176. [Google Scholar] [CrossRef]
- Errisuriz, V.L.; Pasch, K.E.; Perry, C.L. Perceived stress and dietary choices: The moderating role of stress management. Eat. Behav. 2016, 22, 211–216. [Google Scholar] [CrossRef] [PubMed]
- Steptoe, A.; Lipsey, Z.; Wardle, J. Stress, hassles and variations in alcohol consumption, food choice and physical exercise: A diary study. Br. J. Health Psychol. 1998, 3, 51–63. [Google Scholar] [CrossRef]
- Tariq, S.; Tariq, S.; Tariq, S. Association of perceived stress with healthy and unhealthy food consumption among teenagers. J. Pak. Med. Assoc. 2019, 69, 1817–1821. [Google Scholar] [CrossRef] [PubMed]
- Ammar, A.; Brach, M.; Trabelsi, K.; Chtourou, H.; Boukhris, O.; Masmoudi, L.; Bouaziz, B.; Bentlage, E.; How, D.; Ahmed, M.; et al. Effects of COVID-19 Home Confinement on Eating Behaviour and Physical Activity: Results of the ECLB-COVID19 International Online Survey. Nutrients 2020, 12, 1583. [Google Scholar] [CrossRef] [PubMed]
- Di Renzo, L.; Gualtieri, P.; Pivari, F.; Soldati, L.; Attina, A.; Cinelli, G.; Leggeri, C.; Caparello, G.; Barrea, L.; Scerbo, F.; et al. Eating habits and lifestyle changes during COVID-19 lockdown: An Italian survey. J. Transl. Med. 2020, 18, 229. [Google Scholar] [CrossRef]
- Ashby, N.J.S. The Impact of the COVID-19 Pandemic on Unhealthy Eating in Populations with Obesity. Obes. Silver Spring 2020. [Google Scholar] [CrossRef]
- Bracale, R.; Vaccaro, C.M. Changes in food choice following restrictive measures due to Covid-19. Nutr. Metab. Cardiovasc. Dis. 2020. [Google Scholar] [CrossRef]
- Pellegrini, M.; Ponzo, V.; Rosato, R.; Scumaci, E.; Goitre, I.; Benso, A.; Belcastro, S.; Crespi, C.; De Michieli, F.; Ghigo, E.; et al. Changes in Weight and Nutritional Habits in Adults with Obesity during the “Lockdown” Period Caused by the COVID-19 Virus Emergency. Nutrients 2020, 12, 2016. [Google Scholar] [CrossRef]
- Sidor, A.; Rzymski, P. Dietary Choices and Habits during COVID-19 Lockdown: Experience from Poland. Nutrients 2020, 12, 1657. [Google Scholar] [CrossRef]
- Jones, M.O. Food Choice, Symbolism, and Identity: Bread and Butter Issues for Folkloristics and Nutrition Studies (American Folklore Society Presidential Address, October 2005). J. Am. Folk. 2007, 120, 129–177. [Google Scholar] [CrossRef]
- Kittler, P.G.; Sucher, K.P. Food and Culture, 3rd ed.; Thomson Wadsworth: Belmont, CA, USA, 2001. [Google Scholar]
- Eertmans, A.; Victoir, A.; Vansant, G.; Van den Bergh, O. Food-related personality traits, food choice motives and food intake: Mediator and moderator relationships. Food Qual. Prefer. 2005, 16, 714–726. [Google Scholar] [CrossRef]
- Januszewska, R.; Pieniak, Z.; Verbeke, W. Food choice questionnaire revisited in four countries. Does It Still Meas. Same? Appetite 2011, 57, 94–98. [Google Scholar] [CrossRef] [PubMed]
- Lê, J.; Dallongeville, J.; Wagner, A.; Arveiler, D.; Haas, B.; Cottel, D.; Simon, C.; Dauchet, L. Attitudes toward healthy eating: A mediator of the educational level-diet relationship. Eur. J. Clin. Nutr. 2013, 67, 808–814. [Google Scholar] [CrossRef] [PubMed]
- Pieniak, Z.; Verbeke, W.; Vanhonacker, F.; Guerrero, L.; Hersleth, M. Association between traditional food consumption and motives for food choice in six European countries. Appetite 2009, 53, 101–108. [Google Scholar] [CrossRef] [PubMed]
- Rankin, A.; Bunting, B.P.; Poínhos, R.; Lans, I.A.; Van Der Fischer, A.R.; Kuznesof, S.; Almeida, M.D.V.; Markovina, J.; Frewer, L.J.; Stewart-Knox, B.J. Food choice motives, attitude towards and intention to adopt personalised nutrition. Public Health Nutr. 2018, 21, 2606–2616. [Google Scholar] [CrossRef] [PubMed]
- Steptoe, A.; Pollard, T.; Wardle, J. Development of a Measure of the Motives Underlying the Selection of Food: The Food Choice Questionnaire. Appetite 1995, 25, 267–284. [Google Scholar] [CrossRef]
- Sun, Y.-H.C. Health concern, food choice motives, and attitudes toward healthy eating: The mediating role of food choice motives. Appetite 2008, 51, 42–49. [Google Scholar] [CrossRef]
- Pula, K.; Parks, C.D.; Ross, C.F. Regulatory focus and food choice motives. Prevention orientation associated with mood, convenience, and familiarity. Appetite 2014, 78, 15–22. [Google Scholar] [CrossRef]
- Blaylock, J.; Smallwood, D.; Kassel, K.; Variyam, J.; Aldrich, L. Economics, food choices, and nutrition. Food Policy 1999, 24, 269–286. [Google Scholar] [CrossRef]
- Konttinen, H.; Sarlio-Lähteenkorva, S.; Silventoinen, K.; Männistö, S.; Haukkala, A. Socio-economic disparities in the consumption of vegetables, fruit and energy-dense foods: The role of motive priorities. Public Health Nutr. 2013, 16, 873–882. [Google Scholar] [CrossRef]
- Kaplan, H.I.; Kaplan, H.S. The psychosomatic concept of obesity. J. Nerv. Ment. Dis. 1957, 125, 181–201. [Google Scholar] [CrossRef] [PubMed]
- Camilleri, G.M.; Méjean, C.; Kesse-Guyot, E.; Andreeva, V.A.; Bellisle, F.; Hercberg, S.; Péneau, S. The Associations between Emotional Eating and Consumption of Energy-Dense Snack Foods Are Modified by Sex and Depressive Symptomatology. J. Nutr. 2014, 144, 1264–1273. [Google Scholar] [CrossRef] [PubMed]
- Oliver, G.; Wardle, J.; Gibson, E.L. Stress and food choice: A laboratory study. Psychosom. Med. 2000, 62, 853–865. [Google Scholar] [CrossRef] [PubMed]
- Bailly, N.; Maitre, I.; Amanda, M.; Hervé, C.; Alaphilippe, D. The Dutch Eating Behaviour Questionnaire (DEBQ). Assessment of eating behaviour in an aging French population. Appetite 2012, 59, 853–858. [Google Scholar] [CrossRef] [PubMed]
- Baños, R.M.; Cebolla, A.; Etchemendy, E.; Felipe, S.; Rasal, P.; Botella, C. Validation of the Dutch Eating Behavior Questionnaire for Children (DEBQ-C) for use with Spanish children. Nutr. Hosp. 2011, 26, 890–898. [Google Scholar] [CrossRef] [PubMed]
- Nguyen-Rodriguez, S.T.; Chou, C.P.; Unger, J.B.; Spruijt-Metz, D. BMI as a moderator of perceived stress and emotional eating in adolescents. Eat. Behav. 2008, 9, 238–246. [Google Scholar] [CrossRef]
- Nolan, L.J.; Halperin, L.B.; Geliebter, A. Emotional Appetite Questionnaire. Construct validity and relationship with BMI. Appetite 2010, 54, 314–319. [Google Scholar] [CrossRef]
- Snoek, H.M.; Strien, T.V.; Janssens, J.M.a.M.; Engels, R.C.M.E. Emotional, external, restrained eating and overweight in Dutch adolescents. Scand. J. Psychol. 2007, 48, 23–32. [Google Scholar] [CrossRef]
- Hou, F.; Xu, S.; Zhao, Y.; Lu, Q.; Zhang, S.; Zu, P.; Sun, Y.; Su, P.; Tao, F. Effects of emotional symptoms and life stress on eating behaviors among adolescents. Appetite 2013, 68, 63–68. [Google Scholar] [CrossRef]
- Michels, N.; Sioen, I.; Braet, C.; Eiben, G.; Hebestreit, A.; Huybrechts, I.; Vanaelst, B.; Vyncke, K.; De Henauw, S. Stress, emotional eating behaviour and dietary patterns in children. Appetite 2012, 59, 762–769. [Google Scholar] [CrossRef]
- Bennett, J.; Greene, G.; Schwartz-Barcott, D. Perceptions of emotional eating behavior. A qualitative study of college students. Appetite 2013, 60, 187–192. [Google Scholar] [CrossRef] [PubMed]
- Long, L.M. Food and Folklore: A Reader; Bloomsbury Academic: London, UK, 2015. [Google Scholar]
- Long, L.M. Meaning-Centered Research in Food Studies. In Food Culture: Anthropology, Linguistics and Food Studies; Chrzan, J., Brett, J., Eds.; Berghahn Books: New York, NY, USA, 2017; Volume 2, pp. 204–217. [Google Scholar]
- Di Renzo, L.; Gualtieri, P.; Cinelli, G.; Bigioni, G.; Soldati, L.; Attinà, A.; Bianco, F.F.; Caparello, G.; Camodeca, V.; Carrano, E.; et al. Psychological Aspects and Eating Habits during COVID-19 Home Confinement: Results of EHLC-COVID-19 Italian Online Survey. Nutrients 2020, 12, 2152. [Google Scholar] [CrossRef] [PubMed]
- Long, L.M. Comfort Food in Culinary Tourism: Negotiating “Home” as Exotic and Familiar. In Comfort Food Meanings and Memories; University of Mississippi Press: Mississippi, MS, USA, 2017; pp. 126–149. [Google Scholar]
- Ashley, B.; Hollows, J.; Jones, S.; Taylor, B. Food and Cultural Studies; Routledge: London, UK, 2004. [Google Scholar]
- Counihan, C.; Van Esterik, P. Food and Culture: A Reader; Routledge: London, UK, 1997. [Google Scholar]
- Long, L.M. Food as Symbol. In Encyclopedia of Food and Culture; Charles Scribner’s Sons: New York, NY, USA, 2003; Volume 3, pp. 376–378. [Google Scholar]
- Falassi, A. Time Out of Time: Essays on the Festival; University of New Mexico Press: New Mexico, NM, USA, 1986. [Google Scholar]
- Turner, V. The Ritual Process: Structure and Anti-Structure. In Lewis Henry Morgan Lectures; Cornell University Press: Ithaca, NY, USA, 1969. [Google Scholar]
- Van Gennep, A. The Rites of Passage; University of Chicago Press: Chicago, IL, USA, 1960. [Google Scholar]
- Cohen, S.; Kamarck, T.; Mermelstein, R. A global measure of perceived stress. J. Health Soc. Behav 1983, 24, 385–396. [Google Scholar] [CrossRef] [PubMed]
- Strien, T.; Van Frijters, J.E.R.; Bergers, G.P.A.; Defares, P.B. The Dutch Eating Behavior Questionnaire (DEBQ) for assessment of restrained, emotional, and external eating behavior. Int. J. Eat. Disord. 1986, 5, 295–315. [Google Scholar] [CrossRef]
- Hayes, A.F. Introduction to Mediation, Moderation, and Conditional Process Analysis. In A Regression-Based Approach, 2nd ed.; Guilford Publications: New York, NY, USA, 2017; ISBN 978-1-4625-3465-4. [Google Scholar]
- Epel, E.; Lapidus, R.; McEwen, B.; Brownell, K. Stress may add bite to appetite in women: A laboratory study of stress-induced cortisol and eating behavior. Psychoneuroendocrinology 2001, 26, 37–49. [Google Scholar] [CrossRef]
- Ha, J.; Kim, J. Factors influencing perceived health status among elderly workers: Occupational stress, frailty, sleep quality, and motives for food choices. Clin. Interv. Aging 2019, 14, 1493–1501. [Google Scholar] [CrossRef]
- Anderson, E.N. Everyone Eats: Understanding Food and Culture; New York University Press: New York, NY, USA, 2005. [Google Scholar]
- Belasco, W. Food: The Key Concepts; Berg Publishers: Oxford, UK, 2008. [Google Scholar]
- Curtin, D.W.; Heldke, L.M. Cooking, Eating, Thinking: Transformative Philosophies of Food; Indiana University Press: Bloomington, IA, USA, 1992. [Google Scholar]
- Long, L.M. Greenbean Casserole and Midwestern Identity: A Regional Foodways Aesthetic and Ethos. Midwest. Folk. 2007, 33, 29–44. [Google Scholar]
- Vissar, M. The Rituals of Dinner: The Origins, Evolution, Eccentricities and Meaning of Table Manners; Penguin Books: London, UK, 1991. [Google Scholar]
- Brown, L.K.; Mussell, K. Ethnic and Regional Foodways in the United States: The Performance of Group Identity; The University of Tennessee Press: Knoxville, TN, USA, 1984. [Google Scholar]
- Douglas, M. Deciphering a Meal. Daedalus 1972, 101, 61–81. [Google Scholar]
- Jones, M.O.; Giuliano, B.; Krell, R. Front Matter. Western Folklore 1981, 40, I–V. [Google Scholar]
- Kalcik, S. Ethnic Foodways in America: Symbol and the Performance of Identity. In Ethnic and Regional Foodways in the United States: The Performance of Group Identity; The University of Tennessee Press: Knoxville, TN, USA, 1984; pp. 37–65. [Google Scholar]
- Kaplan, D.M. The Philosophy of Food; California Studies. In Food and Culture; University of California: Berkeley, CA, USA, 2012. [Google Scholar]
- Raspa, R. Exotic Foods among Italian Americans in Mormon, Utah: Food as Nostalgic Enactment of Identity. In Ethnic and Regional Foodways in the United States; University of Tennessee Press: Knoxville, TN, USA, 1984; pp. 185–194. [Google Scholar]
- Julier, A.P. Eating Together: Food, Friendship and Inequality; University of Illinois Press: Champaign, IL, USA, 2013. [Google Scholar]
- Murcott, A. Sociology of Food and Eating: Essays on the Sociological Significance of Food; Gower Pub Co: Aldershot, UK, 1983. [Google Scholar]
- Parasecoli, F. Bite Me: Food in Popular Culture; Berg Publishers: Oxford, UK, 2008. [Google Scholar]
- McEwan, K.; Marchand, L.; Shang, M.; Bucknell, D. Potential implications of COVID-19 on the Canadian pork industry. Can. J. Agric. Econ. Rev. Can. D’agroeconomie 2020, 68, 201–206. [Google Scholar] [CrossRef]
- Hobbs, J.E. Food supply chains during the COVID-19 pandemic. Can. J. Agric. Econ. Rev. Can. D’agroeconomie 2020, 68, 171–176. [Google Scholar] [CrossRef]
- van Strien, T. Causes of Emotional Eating and Matched Treatment of Obesity. Curr. Diab. Rep. 2018, 18. [Google Scholar] [CrossRef] [PubMed]
- Gold, P.W.; Chrousos, G.P. Organization of the stress system and its dysregulation in melancholic and atypical depression: High vs. low Crh/Ne States. Mol. Psychiatry 2002, 7, 254–275. [Google Scholar] [CrossRef] [PubMed]
- Clum, G.A.; Rice, J.C.; Broussard, M.; Johnson, C.C.; Webber, L.S. Associations between depressive symptoms, self-efficacy, eating styles, exercise and body mass index in women. J. Behav. Med. 2014, 37, 577–586. [Google Scholar] [CrossRef] [PubMed]
- Van Strien, T.; Winkens, L.; Toft, M.B.; Pedersen, S.; Brouwer, I.; Visser, M.; Lähteenmäki, L. The mediation effect of emotional eating between depression and body mass index in the two European countries Denmark and Spain. Appetite 2016, 105, 500–508. [Google Scholar] [CrossRef]
- Dallman, M.F.; Pecoraro, N.C.; La Fleur, S.E. Chronic stress and comfort foods: Self-medication and abdominal obesity. Brain Behav. Immun. 2005, 19, 275–280. [Google Scholar] [CrossRef]
- Tomiyama, A.J.; Dallman, M.F.; Epel, E.S. Comfort food is comforting to those most stressed: Evidence of the chronic stress response network in high stress women. Psychoneuroendocrinology 2011, 36, 1513–1519. [Google Scholar] [CrossRef]
- Locher, J.L. Comfort Food. In Encyclopedia of Food and Culture; Charles Scribner’s Sons: New York, NY, USA, 2002. [Google Scholar]
- Locher, J.; Yoels, W.C.; Maurer, D.; Ells, J.V. Comfort Foods: An Exploratory Journey into The Social and Emotional Significance of Food. Food Foodways 2005, 13, 273–297. [Google Scholar] [CrossRef]
- Craig, L.; Churchill, B. Dual-earner parent couples’ work and care during COVID-19. Gend. Work Organ. 2020. [Google Scholar] [CrossRef]
- Currie, J.; Eveline, J. E-technology and work/life balance for academics with young children. High. Educ. 2011, 62, 533–550. [Google Scholar] [CrossRef]
- Rofcanin, Y.; Anand, S. Human Relations virtual special issue: Flexible Work Practices and Work-Family Domain. Hum. Relat. 2020, 73, 1182–1185. [Google Scholar] [CrossRef]
- Cardel, M.I.; Dean, N.; Montoya-Williams, D. Preventing a Secondary Epidemic of Lost Early Career Scientists: Effects of COVID-19 Pandemic on Women with Children. Ann. Am. Thorac. Soc. 2020. [Google Scholar] [CrossRef] [PubMed]
- Warde, A. Convenience food: Space and timing. Br. Food J. 1999, 101, 518–527. [Google Scholar] [CrossRef]
- Severson, K.; Moskin, J. Food, a Basic Pleasure, is Suddenly Fraught. The New York Times, 17 March 2020. [Google Scholar]
- Mull, A. Americans Have Baked All the Flour Away: The pandemic is reintroducing the nation to its kitchens. The Atlantic, 12 May 2020. [Google Scholar]
- Armstrong, R.P. The Affecting Presence: An Essay in Humanistic Anthropology; University of Illinois Press: Champaign, IL, USA, 1971. [Google Scholar]
- Farmer, N.; Touchton-Leonard, K.; Ross, A. Psychosocial benefits of cooking interventions: A systematic review. Health Educ. Behav. 2018, 45, 167–180. [Google Scholar] [CrossRef]
- Gammon, K. Kneading to relax? How coronavirus prompted a surge in stress baking. The Guardian, 19 April 2020. [Google Scholar]
- Bauman, R. Verbal Art as Performance; Waveland Press: Long Grove, IL, USA, 1977. [Google Scholar]
- Jones, M.O. Exploring Folk Art; Utah State University Press: Logan, CO, USA, 1993. [Google Scholar]
- Vlach, J.M.; Bronner, S. Folk Art and Art Worlds: With a New Introduction; UMI Research Press: Ann Arbor, IL, USA, 1992. [Google Scholar]
- foodnavigator-usa.com From scratch cooking to home baking: What coronavirus-fueled trends could linger post-pandemic? Available online: https://www.foodnavigator-usa.com/Article/2020/04/13/From-scratch-cooking-to-home-baking-What-coronavirus-fueled-trends-could-linger-post-pandemic (accessed on 11 August 2020).
- Karpman, M.; Zuckerman, S.; Gonzalez, D.; Kenney, G.M. The COVID-19 Pandemic Is Straining Families’ Abilities to Afford Basic Needs. Available online: https://www.urban.org/research/publication/covid-19-pandemic-straining-families-abilities-afford-basic-needs (accessed on 29 July 2020).
- Dunn, C.G.; Kenney, E.; Fleischhacker, S.E.; Bleich, S.N. Feeding low-income children during the Covid-19 pandemic. N. Engl. J. Med. 2020, 382, e40. [Google Scholar] [CrossRef]
- Goldman, D. Grocery prices are soaring. Here’s what’s getting more expensive. CNN Business, 13 May 2020. [Google Scholar]
- Coibion, O.; Gorodnichenko, Y.; Weber, M. The Cost of the COVID-19 Crisis: Lockdowns, Macroeconomic Expectations and Consumer Spending; National Bureau Economic Research: Cambridge, MA, USA, 2020. [Google Scholar] [CrossRef]
- Hall, C.M.; Prayag, G.; Fieger, P.; Dyason, D. Beyond panic buying: Consumption displacement and COVID-19. J. Serv. Manag. 2020. [Google Scholar] [CrossRef]
- Luce, M.F. Choosing to avoid: Coping with negatively emotion-laden consumer decisions. J. Consum. Res. 1998, 24, 409–433. [Google Scholar] [CrossRef]
- Jones, M.O.; Long, L.M. Comfort Food Meanings and Meals; University of Mississippi Press: Mississippi, MS, USA, 2017. [Google Scholar]
- Jones, M.O. “Stressed” Spelled Backwards is “Desserts”: Self-Medicating Moods with Foods”. In Comfort Food Meanings and Memories; Jones, M.O., Ed.; University of Mississippi Press: Mississippi, MS, USA, 2017; pp. 17–41. [Google Scholar]
- Romm, C. Why Comfort Food Comforts. A new study looks at the intersection of taste, nostalgia, and loneliness. The Atlantic, 3 April 2015. [Google Scholar]
- Troisi, J.; Gabriel, S.; Derrick, J.L.; Geisler, A. Threatened belonging and preference for comfort food among the securely attached. Appetite 2015, 90, 58–64. [Google Scholar] [CrossRef]
- Troisi, J.D.; Gabriel, S. Chicken Soup Really Is Good for the Soul: “Comfort Food” Fulfills the Need to Belong. Psychol. Sci. 2011, 22, 747–753. [Google Scholar] [CrossRef]
- Arbit, N.; Ruby, M.; Rozin, P. Development and validation of the meaning of food in life questionnaire (MFLQ): Evidence for a new construct to explain eating behavior. Food Qual. Prefer. 2017, 59, 35–45. [Google Scholar] [CrossRef]
- McAuley, J. As the coronavirus upends their lives, the French flock back to bakeries for comfort. The Washington Post, 10 April 2020. [Google Scholar]
- Clemmensen, C.; Petersen, M.B.; Sørensen, T.I. Will the COVID-19 pandemic worsen the obesity epidemic? Nat. Rev. Endocrinol. 2020, 16, 469–470. [Google Scholar] [CrossRef] [PubMed]
- Dallman, M.F.; Pecoraro, N.; Akana, S.F.; la Fleur, S.E.; Gomez, F.; Houshyar, H.; Bell, M.E.; Bhatnagar, S.; Laugero, K.D.; Manalo, S. Chronic Stress and Obesity: A New View of ‘Comfort Food. ’ Proc. Natl. Acad. Sci. USA 2003, 100, 11696–11701. [Google Scholar] [CrossRef] [PubMed]
- Dietz, W.; Santos-Burgoa, C. Obesity and its Implications for COVID-19 Mortality. Obesity 2020, 28, 1005. [Google Scholar] [CrossRef] [PubMed]
- Kass, D.A.; Duggal, P.; Cingolani, O. Obesity could shift severe COVID-19 disease to younger ages. Lancet 2020, 395, 1544–1545. [Google Scholar] [CrossRef]
- Kassir, R. Risk of COVID-19 for patients with obesity. Obes Rev. 2020, 21. [Google Scholar] [CrossRef]
- Price-Haywood, E.G.; Burton, J.; Fort, D.; Seoane, L. Hospitalization and Mortality among Black Patients and White Patients with Covid-19. N. Engl. J. Med. 2020, 382, 2534–2543. [Google Scholar] [CrossRef]
- Manzoni, G.M.; Pagnini, F.; Gorini, A.; Preziosa, A.; Castelnuovo, G.; Molinari, E.; Riva, G. Can Relaxation Training Reduce Emotional Eating in Women with Obesity? An Exploratory Study with 3 Months of Follow-Up. J. Am. Diet. Assoc. 2009, 109, 1427–1432. [Google Scholar] [CrossRef]
- Tiwari, A.; Aggarwal, A.; Tang, W.; Drewnowski, A. Cooking at home: A strategy to comply with US dietary guidelines at no extra cost. Am. J. Prev. Med. 2017, 52, 616–624. [Google Scholar] [CrossRef]
- White, M.; Nieto, C.; Barquera, S. Good deeds and cheap marketing—The food industry in the times of COVID-19. Obesity 2020, 28, 1578–1579. [Google Scholar] [CrossRef]


| n (%) | |
|---|---|
| Gender | |
| Female | 664 (83.00%) |
| Male | 130 (16.25%) |
| Transgender | 6 (0.75%) |
| Age | |
| 18 – 24 | 60 (7.50%) |
| 25 – 34 | 167 (20.88%) |
| 35 – 44 | 169 (21.11%) |
| 44 – 54 | 145 (18.13%) |
| 55 – 64 | 67 (8.4%) |
| ≥65 | 192 (24.00%) |
| BMI * | |
| <18.5 | 18 (2.29%) |
| 18.5 − 24.9 | 273 (34.73%) |
| 25 − 29.9 | 213 (27.10%) |
| ≥30 | 282 (35.88%) |
| Education | |
| High school or below | 132 (16.50%) |
| Associate degree | 95 (11.88%) |
| Bachelor degree | 172 (21.50%) |
| Master’s/Doctorate degree | 343 (42.88%) |
| Other | 58 (7.25%) |
| Ethnicity | |
| White | 620 (77.50%) |
| Hispanic or Latino | 28 (3.50%) |
| Black or African American | 46 (5.75%) |
| American Indian or Alaska Native | 9 (1.13%) |
| Asian | 80 (10.00%) |
| Native Hawaiian or Pacific Islander | 1 (0.13%) |
| Other | 16 (2.00%) |
| Household income | |
| $0–$24,999 | 142 (17.75%) |
| $25,000–$49,999 | 154 (19.25%) |
| $50,000–$74,999 | 174 (21.75%) |
| $75,000–$99,999 | 120 (15.00%) |
| $100,000–$149,000 | 117 (14.63%) |
| ≥$150,000 | 93 (11.63%) |
| Perceived Stress | |
| Low stress | 211 (26.38%) |
| Moderate stress | 473 (59.13%) |
| High stress | 116 (14.50%) |
| Measures | 1 | 2 | 3 | 4 | 5 | 6 | 7 | 8 | 9 | 10 | 11 | Mean (SD) |
|---|---|---|---|---|---|---|---|---|---|---|---|---|
| Perceived Stress (1) | - | 0.2* | −0.07 | 0.3 * | 0.2 * | 0.03 | −0.14 * | 0.2 * | −0.05 | 0.1 * | −0.04 | 18.27 (7.34) |
| Emotional Eating (2) | - | - | −0.09 | 0.2 * | 0.2 * | 0.1 | −0.09 | 0.1 * | 0.05 | 0.1 * | 0.07 | 2.84 (1.17) |
| Health (3) | - | - | - | 0.2 * | 0.1 * | 0.3 * | 0.66 * | 0.06 | 0.5 * | 0.1 * | 0.4 * | 3.30 (0.91) |
| Mood (4) | - | - | - | - | 0.4 * | 0.5 * | 0.13 * | 0.1 * | 0.1 * | 0.4 * | 0.3 * | 2.97 (0.94) |
| Convenience (5) | - | - | - | - | - | 0.3 * | 0.03 | 0.4 * | 0.1 * | 0.4 * | 0.1 * | 3.48 (0.78) |
| Sensory Appeal (6) | - | - | - | - | - | - | 0.24 * | 0.1 * | 0.2 * | 0.4 * | 0.3 * | 3.42 (0.82) |
| Natural Content (7) | - | - | - | - | - | - | - | −0.04 | 0.5 * | 0.08 | 0.5 * | 2.78 (1.12) |
| Price (8) | - | - | - | - | - | - | - | - | 0.1 * | 0.2 * | 0.1 * | 3.56 (1.02) |
| Weight Control (9) | - | - | - | - | - | - | - | - | - | 0.1 * | 0.3 * | 2.63 (1.02) |
| Familiarity (10) | - | - | - | - | - | - | - | - | - | - | 0.3 * | 2.91 (0.90) |
| Ethical Concern (11) | - | - | - | - | - | - | - | - | - | - | - | 2.21 (1.04) |
| Consequent | |||||||||||||||
|---|---|---|---|---|---|---|---|---|---|---|---|---|---|---|---|
| M (Emotional Eating) | Y1 (Health) | Y2 (Mood) | Y3 (Convenience) | Y4 (Sensory Appeal) | |||||||||||
| Antecedent | Coeff. | SE | p | Coeff. | SE | p | Coeff. | SE | p | Coeff. | SE | P | Coeff. | SE | p |
| X (Perceived Stress) | 0.043 | 0.006 | <0.001 | −0.006 | 0.005 | 0.208 | 0.033 | 0.005 | <0.001 | 0.023 | 0.005 | <0.001 | 0.001 | 0.004 | 0.775 |
| M (Emotional Eating) | - | - | - | −0.042 | 0.028 | 0.144 | 0.168 | 0.028 | <0.001 | 0.139 | 0.024 | <0.001 | 0.062 | 0.026 | 0.018 |
| Constant | 2.356 | 0.267 | <0.001 | 3.072 | 0.219 | <0.001 | 1.694 | 0.215 | <0.001 | 2.198 | 0.242 | <0.001 | 3.181 | 0.202 | <0.001 |
| R2 = 0.084 | R2 = 0.058 | R2 = 0.159 | R2 = 0.109 | R2 = 0.025 | |||||||||||
| F(6760) = 11.646, p < 0.001 | F(7759) = 6.703, p < 0.001 | F(7759) = 20.462, p < 0.001 | F(7759) = 13.219, p < 0.001 | F(7759) = 2.77, p = 0.008 | |||||||||||
| Consequent | |||||||||||||||
| Y5 (Natural Content) | Y6 (Price) | Y7 (Weight Control) | Y8 (Familiarity) | Y9 (Ethical Concern) | |||||||||||
| Antecedent | Coeff. | SE | p | Coeff. | SE | p | Coeff. | SE | p | Coeff. | SE | P | Coeff. | SE | p |
| X (Perceived Stress) | −0.017 | 0.006 | 0.003 | 0.03 | 0.005 | <0.001 | −0.008 | 0.005 | 0.157 | 0.015 | 0.005 | 0.001 | −0.008 | 0.005 | 0.142 |
| M (Emotional Eating) | −0.06 | 0.035 | 0.09 | 0.074 | 0.031 | 0.016 | 0.059 | 0.033 | 0.072 | 0.101 | 0.028 | <0.001 | 0.064 | 0.033 | 0.049 |
| Constant | 2.813 | 0.271 | <0.001 | 3.6 | 0.237 | <0.001 | 2.34 | 0.252 | <0.001 | 2.573 | 0.218 | <0.001 | 1.75 | 0.252 | <0.001 |
| R2 = 0.06 | R2 = 0.132 | R2 = 0.025 | R2 = 0.049 | R2 = 0.059 | |||||||||||
| F(7759) = 6.841, p < 0.001 | F(7759) = 16.506, p < 0.001 | F(7759) = 2.78, p = 0.007 | F(7759) = 5.607, p < 0.001 | F(7759) = 6.815, p < 0.001 | |||||||||||
© 2020 by the authors. Licensee MDPI, Basel, Switzerland. This article is an open access article distributed under the terms and conditions of the Creative Commons Attribution (CC BY) license (http://creativecommons.org/licenses/by/4.0/).
Share and Cite
Shen, W.; Long, L.M.; Shih, C.-H.; Ludy, M.-J. A Humanities-Based Explanation for the Effects of Emotional Eating and Perceived Stress on Food Choice Motives during the COVID-19 Pandemic. Nutrients 2020, 12, 2712. https://doi.org/10.3390/nu12092712
Shen W, Long LM, Shih C-H, Ludy M-J. A Humanities-Based Explanation for the Effects of Emotional Eating and Perceived Stress on Food Choice Motives during the COVID-19 Pandemic. Nutrients. 2020; 12(9):2712. https://doi.org/10.3390/nu12092712
Chicago/Turabian StyleShen, Wan, Lucy M. Long, Chia-Hao Shih, and Mary-Jon Ludy. 2020. "A Humanities-Based Explanation for the Effects of Emotional Eating and Perceived Stress on Food Choice Motives during the COVID-19 Pandemic" Nutrients 12, no. 9: 2712. https://doi.org/10.3390/nu12092712
APA StyleShen, W., Long, L. M., Shih, C.-H., & Ludy, M.-J. (2020). A Humanities-Based Explanation for the Effects of Emotional Eating and Perceived Stress on Food Choice Motives during the COVID-19 Pandemic. Nutrients, 12(9), 2712. https://doi.org/10.3390/nu12092712

