Ingestion of Carbohydrate Prior to and during Maximal, Sprint Interval Cycling Has No Ergogenic Effect: A Randomized, Double-Blind, Placebo Controlled, Crossover Study
Abstract
1. Introduction
2. Materials and Methods
2.1. Participants
2.2. Study Design
2.3. Experimental Protocol
2.4. Performance Outcomes
2.5. Physiological Outcomes
2.6. Oxygen Uptake and Respiratory Exchange Ratio
2.7. Blood Lactate Quantification
2.8. Heart Rate and RPE
2.9. Statistical Analysis
3. Results
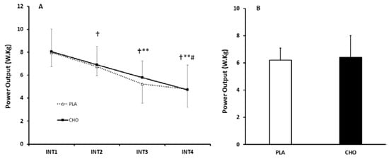
3.1. Performance
3.2. Physiological Responses
3.2.1. Oxygen Uptake and Respiratory Exchange Ratio
3.2.2. Blood Lactate
4. Discussion
4.1. Potential Impact of CHO on Performance
4.2. Evidence for Performance Effects of CHO Ingestion and SIE
4.3. Practical Applications
4.4. Limitations
5. Conclusions
Author Contributions
Funding
Acknowledgments
Conflicts of Interest
References
- Baker, L.B.; Rollo, I.; Stein, K.W.; Jeukendrup, A.E. Acute effects of carbohydrate supplementation on intermittent sports performance. Nutrients 2015, 7, 5733–5763. [Google Scholar] [CrossRef] [PubMed]
- Jeukendrup, A. A step towards personalized sports nutrition: Carbohydrate intake during exercise. Sports Med. 2014, 44, 25–33. [Google Scholar] [CrossRef]
- Kerksick, C.; Harvey, T.; Stout, J.; Campbell, B.; Wilborn, C.; Kreider, R.; Kalman, D.; Ziegenfuss, T.; Lopez, H.; Landis, J. International Society of Sports Nutrition position stand: Nutrient timing. J. Int. Soc. Sports Nutr. 2008, 5, 17. [Google Scholar] [CrossRef]
- Patterson, S.D.; Gray, S.C. Carbohydrate-gel supplementation and endurance performance during intermittent high-intensity shuttle running. Int. J. Sport Nutr. Exerc. Metab. 2007, 17, 445–455. [Google Scholar] [CrossRef]
- Davison, G.; McClean, C.; Brown, J.; Madigan, S.; Gamble, D.; Trinick, T.; Duly, E. The effects of ingesting a carbohydrate-electrolyte beverage 15 minutes prior to high-intensity exercise performance. Res. Sports Med. 2008, 16, 155–166. [Google Scholar] [CrossRef] [PubMed]
- Foskett, A.; Williams, C.; Boobis, L.; Tsintzas, K. Carbohydrate availability and muscle energy metabolism during intermittent running. Med. Sci. Sports Exerc. 2008, 40, 96–103. [Google Scholar] [CrossRef] [PubMed]
- MacInnis, M.J.; Gibala, M.J. Physiological adaptations to interval training and the role of exercise intensity. J. Physiol. 2017, 595, 2915–2930. [Google Scholar] [CrossRef] [PubMed]
- Koral, J.; Oranchuk, D.J.; Herrera, R.; Millet, G.Y. Six sessions of sprint interval training improves running performance in trained athletes. J. Strength Cond. Res. 2018, 32, 617. [Google Scholar] [CrossRef]
- Macpherson, T.W.; Weston, M. The effect of low-volume sprint interval training on the development and subsequent maintenance of aerobic fitness in soccer players. Int. J. Sports Physiol. Perform. 2015, 10, 332–338. [Google Scholar] [CrossRef]
- Sloth, M.; Sloth, D.; Overgaard, K.; Dalgas, U. Effects of sprint interval training on VO 2max and aerobic exercise performance: A systematic review and meta-analysis. Scand. J. Med. Sci. Sports 2013, 23, e341–e352. [Google Scholar] [CrossRef]
- Gist, N.H.; Fedewa, M.V.; Dishman, R.K.; Cureton, K.J. Sprint interval training effects on aerobic capacity: A systematic review and meta-analysis. Sports Med. 2014, 44, 269–279. [Google Scholar] [CrossRef] [PubMed]
- Bishop, D.J.; Botella, J.; Granata, C. CrossTalk opposing view: Exercise training volume is more important than training intensity to promote increases in mitochondrial content. J. Physiol. 2019, 597, 4115–4118. [Google Scholar] [CrossRef] [PubMed]
- Gibala, M.J.; McGee, S.L.; Garnham, A.P.; Howlett, K.F.; Snow, R.J.; Hargreaves, M. Brief intense interval exercise activates AMPK and p38 MAPK signaling and increases the expression of PGC-1α in human skeletal muscle. J. Appl. Physiol. 2009, 106, 929–934. [Google Scholar] [CrossRef] [PubMed]
- Burgomaster, K.A.; Hughes, S.C.; Heigenhauser, G.J.; Bradwell, S.N.; Gibala, M.J. Six sessions of sprint interval training increases muscle oxidative potential and cycle endurance capacity in humans. J. Appl. Physiol. 2005, 98, 1985–1990. [Google Scholar] [CrossRef] [PubMed]
- Craig, N.; Pyke, F.; Norton, K. Specificity of test duration when assessing the anaerobic lactacid capacity of high-performance track cyclists. Int. J. Sports Med. 1989, 10, 237–242. [Google Scholar] [CrossRef] [PubMed]
- Gardner, S.A.; Martin, T.D.; Barras, M.; Jenkins, G.D.; Hahn, G.A. Power output demands of elite track sprint cycling. Int. J. Perform. Anal. Sport 2005, 5, 149–154. [Google Scholar] [CrossRef]
- Martin, J.C.; Davidson, C.J.; Pardyjak, E.R. Understanding sprint-cycling performance: The integration of muscle power, resistance, and modeling. Int. J. Sports Physiol. Perform. 2007, 2, 5–21. [Google Scholar] [CrossRef]
- Pomportes, L.; Brisswalter, J.; Hays, A.; Davranche, K. Effect of carbohydrate intake on maximal power output and cognitive performances. Sports 2016, 4, 49. [Google Scholar] [CrossRef]
- Lee, C.-L.; Cheng, C.-F.; Astorino, T.A.; Lee, C.-J.; Huang, H.-W.; Chang, W.-D. Effects of carbohydrate combined with caffeine on repeated sprint cycling and agility performance in female athletes. J. Int. Soc. Sports Nutr. 2014, 11, 17. [Google Scholar] [CrossRef]
- Krings, B.M.; Peterson, T.J.; Shepherd, B.D.; McAllister, M.J.; Smith, J.W. Effects of carbohydrate ingestion and carbohydrate mouth rinse on repeat sprint performance. Int. J. Sport Nutr. Exerc. Metab. 2017, 27, 204–212. [Google Scholar] [CrossRef] [PubMed]
- Cermak, N.M.; van Loon, L.J. The use of carbohydrates during exercise as an ergogenic aid. Sports Med. 2013, 43, 1139–1155. [Google Scholar] [CrossRef] [PubMed]
- Urdampilleta, A.; Arribalzaga, S.; Viribay, A.; Castañeda-Babarro, A.; Seco-Calvo, J.; Mielgo-Ayuso, J. Effects of 120 vs. 60 and 90 g/h Carbohydrate Intake during a Trail Marathon on Neuromuscular Function and High Intensity Run Capacity Recovery. Nutrients 2020, 12, 2094. [Google Scholar] [CrossRef] [PubMed]
- Viribay, A.; Arribalzaga, S.; Mielgo-Ayuso, J.; Castañeda-Babarro, A.; Seco-Calvo, J.; Urdampilleta, A. Effects of 120 g/h of Carbohydrates Intake during a Mountain Marathon on Exercise-Induced Muscle Damage in Elite Runners. Nutrients 2020, 12, 1367. [Google Scholar] [CrossRef] [PubMed]
- Bogdanis, G.C.; Nevill, M.E.; Boobis, L.H.; Lakomy, H. Contribution of phosphocreatine and aerobic metabolism to energy supply during repeated sprint exercise. J. Appl. Physiol. 1996, 80, 876–884. [Google Scholar] [CrossRef]
- Bogdanis, G.C.; Nevill, M.E.; Boobis, L.H.; Lakomy, H.; Nevill, A.M. Recovery of power output and muscle metabolites following 30 s of maximal sprint cycling in man. J. Physiol. 1995, 482, 467–480. [Google Scholar] [CrossRef]
- Burgomaster, K.A.; Cermak, N.M.; Phillips, S.M.; Benton, C.R.; Bonen, A.; Gibala, M.J. Divergent response of metabolite transport proteins in human skeletal muscle after sprint interval training and detraining. Am. J. Physiol. Regul. Integr. Comp. Physiol. 2007, 292, R1970–R1976. [Google Scholar] [CrossRef]
- Jonvik, K.L.; van Dijk, J.-W.; Senden, J.M.; van Loon, L.J.; Verdijk, L.B. The effect of beetroot juice supplementation on dynamic apnea and intermittent sprint performance in elite female water polo players. Int. J. Sport Nutr. Exerc. Metab. 2018, 28, 468–473. [Google Scholar] [CrossRef]
- Parolin, M.L.; Chesley, A.; Matsos, M.P.; Spriet, L.L.; Jones, N.L.; Heigenhauser, G.J. Regulation of skeletal muscle glycogen phosphorylase and PDH during maximal intermittent exercise. Am. J. Physiol. Endocrinol. Metab. 1999, 277, E890–E900. [Google Scholar] [CrossRef] [PubMed]
- Hulston, C.J.; Wallis, G.A.; Jeukendrup, A.E. Exogenous CHO oxidation with glucose plus fructose intake during exercise. Med. Sci. Sports Exerc. 2009, 41, 357–363. [Google Scholar] [CrossRef]
- Costill, D.; Saltin, B. Factors limiting gastric emptying during rest and exercise. J. Appl. Physiol. 1974, 37, 679–683. [Google Scholar] [CrossRef]
- Jones, N.L.; McCartney, N.; Graham, T.; Spriet, L.; Kowalchuk, J.; Heigenhauser, G.; Sutton, J. Muscle performance and metabolism in maximal isokinetic cycling at slow and fast speeds. J. Appl. Physiol. 1985, 59, 132–136. [Google Scholar] [CrossRef]
- Putman, C.; Jones, N.; Lands, L.; Bragg, T.; Hollidge-Horvat, M.; Heigenhauser, G. Skeletal muscle pyruvate dehydrogenase activity during maximal exercise in humans. Am. J. Physiol. Endocrinol. Metab. 1995, 269, E458–E468. [Google Scholar] [CrossRef] [PubMed]
- Lohse, K.; Sainani, K.; Taylor, J.A.; Butson, M.L.; Knight, E.; Vickers, A. Systematic Review of the use of “Magnitude-Based Inference” in Sports Science and Medicine. SportRχiv 2020. [Google Scholar] [CrossRef] [PubMed]
- Colombani, P.C.; Mannhart, C.; Mettler, S. Carbohydrates and exercise performance in non-fasted athletes: A systematic review of studies mimicking real-life. Nutr. J. 2013, 12, 16. [Google Scholar] [CrossRef] [PubMed]
- Burke, L. Fueling strategies to optimize performance: Training high or training low? Scand. J. Med. Sci. Sports 2010, 20, 48–58. [Google Scholar] [CrossRef]
- Close, G.L.; Kasper, A.M.; Morton, J.P. From paper to podium: Quantifying the translational potential of performance nutrition research. Sports Med. 2019, 49, 25–37. [Google Scholar] [CrossRef] [PubMed]
- Guerra, B.; Guadalupe-Grau, A.; Fuentes, T.; Ponce-González, J.G.; Morales-Alamo, D.; Olmedillas, H.; Guillén-Salgado, J.; Santana, A.; Calbet, J.A. SIRT1, AMP-activated protein kinase phosphorylation and downstream kinases in response to a single bout of sprint exercise: Influence of glucose ingestion. Eur. J. Appl. Physiol. 2010, 109, 731–743. [Google Scholar] [CrossRef]



| Variable | PRE | INT1 | INT2 | INT3 | INT4 | Aggregated |
|---|---|---|---|---|---|---|
| Heart Rate (bpm) PLA CHO Main Effect Time | 77 ± 9 83 ± 12 | 164 ± 13 158 ± 13 * | 171 ± 10 170 ± 7 *† | 172 ± 15 171 ± 10 *† | 166 ± 12 167 ± 10 * | 169 ± 9 167 ± 7 |
| (mL.kg.min−1) PLA CHO Main Effect Time | 4 ± 2 7 ± 4 | 32 ± 12 32 ± 15 * | 29 ± 15 27 ± 14 * | 27 ± 13 26 ± 12 * | 31 ± 8 28 ± 10 * | 29 ± 9 28 ± 11 |
| RER PLA CHO Main Effect Time | 0.88 ± 0.09 0.85 ± 0.13 | 0.99 ± 0.18 0.99 ± 0.18 | 1.09 ± 0.31 1.06 ± 0.27 * | 1.20 ± 0.19 1.14 ± 0.16 *† | 0.97 ± 0.25 0.95 ± 0.16 # | 1.03 ± 0.07 1.00 ± 0.06 |
| RPE (AU) PLA CHO | - - | 18 ± 3 17 ± 3 | 18 ± 2 18 ± 2 | 19 ± 1 19 ± 1 | 20 ± 1 19 ± 2 | 19 ± 2 18 ± 2 |
© 2020 by the authors. Licensee MDPI, Basel, Switzerland. This article is an open access article distributed under the terms and conditions of the Creative Commons Attribution (CC BY) license (http://creativecommons.org/licenses/by/4.0/).
Share and Cite
McMahon, G.; Thornbury, A. Ingestion of Carbohydrate Prior to and during Maximal, Sprint Interval Cycling Has No Ergogenic Effect: A Randomized, Double-Blind, Placebo Controlled, Crossover Study. Nutrients 2020, 12, 2223. https://doi.org/10.3390/nu12082223
McMahon G, Thornbury A. Ingestion of Carbohydrate Prior to and during Maximal, Sprint Interval Cycling Has No Ergogenic Effect: A Randomized, Double-Blind, Placebo Controlled, Crossover Study. Nutrients. 2020; 12(8):2223. https://doi.org/10.3390/nu12082223
Chicago/Turabian StyleMcMahon, Gerard, and Aaron Thornbury. 2020. "Ingestion of Carbohydrate Prior to and during Maximal, Sprint Interval Cycling Has No Ergogenic Effect: A Randomized, Double-Blind, Placebo Controlled, Crossover Study" Nutrients 12, no. 8: 2223. https://doi.org/10.3390/nu12082223
APA StyleMcMahon, G., & Thornbury, A. (2020). Ingestion of Carbohydrate Prior to and during Maximal, Sprint Interval Cycling Has No Ergogenic Effect: A Randomized, Double-Blind, Placebo Controlled, Crossover Study. Nutrients, 12(8), 2223. https://doi.org/10.3390/nu12082223
