Mindfulness in Eating Is Inversely Related to Binge Eating and Mood Disturbances in University Students in Health-Related Disciplines
Abstract
1. Introduction
2. Materials and Methods
2.1. Participants
2.2. Experimental Design and Measurements
2.3. Statistical Analysis
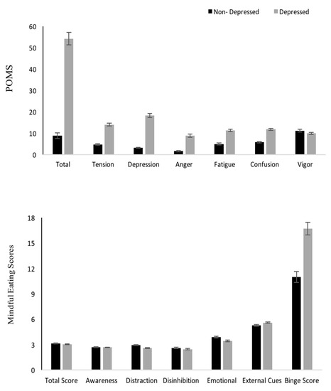
3. Results
3.1. Eating Behavior
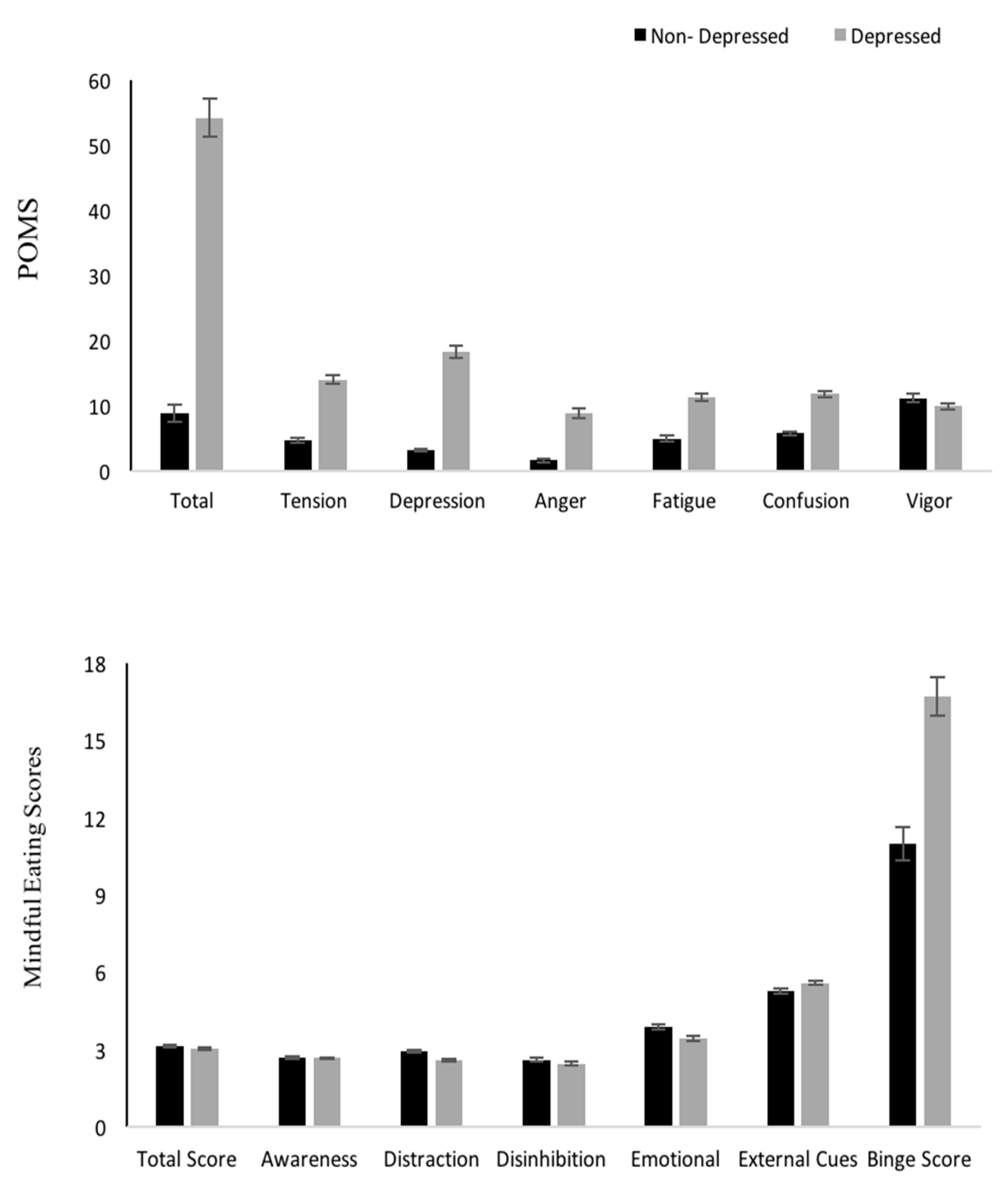
3.2. Mood State
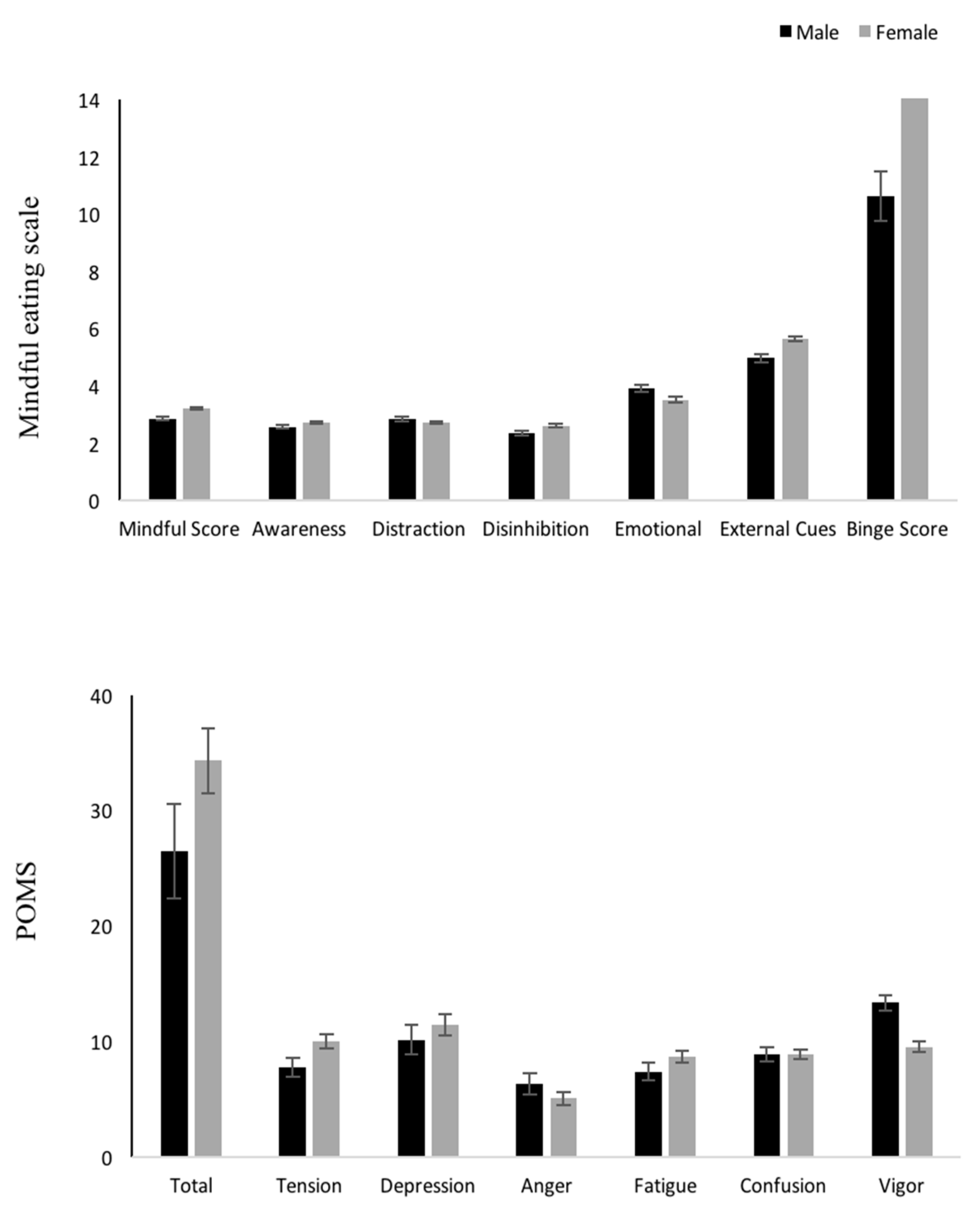
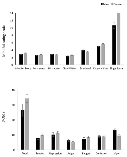
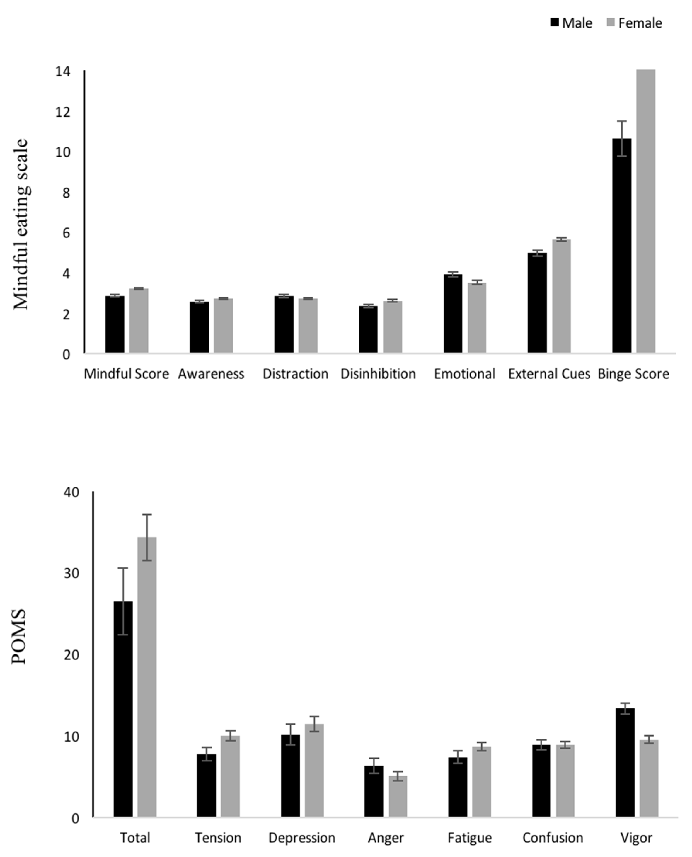
3.3. Gender Differences
3.4. Correlations
4. Discussion
5. Conclusions
Author Contributions
Funding
Acknowledgments
Conflicts of Interest
References
- Available online: https://www.mentalhealth.org.uk/blog/declining-state-student-mental-health-universities-and-what-can-be-done (accessed on 30 June 2019).
- Available online: https://www.bbc.co.uk/news/education-41148704 (accessed on 30 June 2019).
- Available online: https://www.theguardian.com/society/2019/feb/05/youth-unhappiness-uk-doubles-in-past-10-years (accessed on 30 June 2019).
- Tavolacci, M.P.; Grigioni, S.; Richard, L.; Meyrignac, G.; Dechelotte, P.; Ladner, J. Eating disorders and associated health risks among university students. J. Nutr. Educ. Behav. 2015, 47, 412–420. [Google Scholar] [CrossRef]
- Fichter, M.; Quadflieg, N. Mortality in eating disorders—Results of a large prospective clinical longitudinal study. Int. J. Eat. Disord. 2016, 49, 391–401. [Google Scholar] [CrossRef]
- Hudson, J.I.; Hiripi, E.; Pope, H.G., Jr.; Kessler, R.C. The prevalence and correlates of eating disorders in the National Comorbidity Survey Replication. Biol. Psychiatry 2007, 72, 164. [Google Scholar] [CrossRef]
- White, S.; Reynolds-Malear, J.B.; Cordero, E.E. Disordered eating and the use of unhealthy weight control methods in college students: 1995, 2002, and 2008. Eat. Disord. 2011, 19, 323–334. [Google Scholar] [CrossRef] [PubMed]
- Yu, Z.; Tan, M. Disordered Eating Behaviors and Food Addiction among Nutrition Major College Students. Nutrients 2016, 8, 673. [Google Scholar] [CrossRef] [PubMed]
- Available online: https://doi.org/10.1176/appi.books.9780890425596.dsm10 (accessed on 30 June 2019).
- Nicholls, W.; Devonport, T.; Blake, M. The association between emotions and eating behaviour in an obese population with binge eating disorder. Obes. Rev. 2016, 17, 30–42. [Google Scholar] [CrossRef] [PubMed]
- Lewer, M.; Nasrawi, N.; Schroeder, D.; Vocks, S. Body image disturbance in binge eating disorder: A comparison of obese patients with and without binge eating disorder regarding the cognitive, behavioral and perceptual component of body image. Eat. Weight Disord. 2016, 21, 115–125. [Google Scholar] [CrossRef] [PubMed]
- Humphreys, J.; Clopton, J.; Reich, D. Disordered Eating Behavior and Obsessive Compulsive Symptoms in College Students: Cognitive and Affective Similarities. Eat. Disord. 2007, 15, 247–259. [Google Scholar] [CrossRef] [PubMed]
- Smith, D.; Marcus, M.; Lewis, C.; Fitzgibbon, M.; Schreiner, P. Prevalence of binge eating disorder, obesity, and depression in a biracial cohort of young adults. Ann. Behav. Med. 1998, 20, 227–232. [Google Scholar] [CrossRef]
- Rikani, A.A.; Choudhry, Z.; Choudhry, A.M.; Ikram, H.; Asghar, M.W.; Kajal, D.; Waheed, A.; Mobassarah, N.J. A critique of the literature on etiology of eating disorder. Ann. Neurosci. 2013, 20, 157–161. [Google Scholar] [CrossRef]
- Lacaille, J.J.; Dauner, K.N.; Krambeer, R.J.; Pedersen, J. Psychosocial and environmental determinants of eating behaviors, physical activity, and weight change among college students: A qualitative analysis. J. Am. Coll. Health 2011, 59, 531–538. [Google Scholar] [CrossRef] [PubMed]
- Tanton, J.; Dodd, J.L.; Woodfield, L.; Mabhala, M. Eating Behaviours of British University Students: A Cluster Analysis on a Neglected Issue. Adv. Prev. Med. 2015, 2015, 1–8. [Google Scholar] [CrossRef] [PubMed]
- Bo, S.; Zoccali, R.; Ponzo, V.; Soldati, L.; De Carli, L.; Benso, A.; Fea, E.; Rainoldi, A.; Durazzo, M.; Fassino, S.; et al. University courses, eating problems and muscle dysmorphia: Are there any associations? J. Transl. Med. 2014, 12, 221. [Google Scholar] [CrossRef] [PubMed]
- Harris, N.; Gee, D.; D’Acquisto, D.; Ogan, D.; Pritchett, K. Eating disorder risk, exercise dependence, and body weight dissatisfaction among female nutrition and exercise science university majors. J. Behav. Addict. 2015, 4, 206–209. [Google Scholar] [CrossRef]
- Killion, L.; Rodriguez, A.; Rawlins, S.; Miguez, A.; Soledad, K. Relation between Body Image Satisfaction and Body Mass Index in a College Population (Psychology). Res. Q. Exerc. Sport 2003, 74. Available online: https://www.questia.com/library/journal/1G1–99492761/relation-between-body-image-satisfaction-and-body (accessed on 30 June 2019).
- Korinth, A.; Schiess, S.; Westenhoefer, J. Eating behaviour and eating disorders in students of nutrition sciences. Public Health Nutr. 2009, 13, 32–37. [Google Scholar] [CrossRef]
- Nergiz-Unal, R.; Bilgic, P.; Yabanci, N. High tendency to substantial concern on body shape and eating disorders risk of the students majoring Nutrition or Sport Sciences. Nutr. Res. Pr. 2014, 8, 713–718. [Google Scholar] [CrossRef]
- Mealha, V.; Ferreira, C.; Guerra, I.; Ravasco, P. Students of dietetics and nutrition; a high risk group of eating disorders? Nutr. Hosp. 2013, 28, 1558–1566. [Google Scholar]
- Reinstein, N.; Koszewski, W.M.; Chamberlin, B.; Smith-Johnson, C. Prevalence of eating disorders among dietetics students: Does nutrition education make a difference? J. Am. Diet. Assoc. 1992, 92, 949–953. [Google Scholar]
- Ströhle, A. Sports psychiatry: Mental health and mental disorders in athletes and exercise treatment of mental disorders. Eur. Arch. Psychiatry Clin. Neurosci. 2018, 269, 485–498. [Google Scholar] [CrossRef]
- Marzilli, E.; Cerniglia, L.; Cimino, S. A narrative review of binge eating disorder in adolescence: Prevalence, impact, and psychological treatment strategies. Adolesc. Health Med. Ther. 2018, 9, 17–30. [Google Scholar] [CrossRef]
- Currie, A. Sport and Eating Disorders—Understanding and Managing the Risks. Asian J. Sports Med. 2010, 1, 63–68. [Google Scholar] [CrossRef] [PubMed]
- American Dietetic Association. Position of the American Dietetic Association: Nutrition Intervention in the Treatment of Anorexia Nervosa, Bulimia Nervosa, and Other Eating Disorders. J. Am. Diet. Assoc. 2006, 106, 2073–2082. [Google Scholar] [CrossRef] [PubMed]
- Garner, D.; Anderson, M.; Keiper, C.; Whynott, R.; Parker, L. Psychotropic medications in adult and adolescent eating dis3orders: Clinical practice versus evidence-based recommendations. Eat. Weig. Disord. 2016, 21, 395–402. [Google Scholar] [CrossRef] [PubMed]
- Frank, G.; Shott, M. The Role of Psychotropic Medications in the Management of Anorexia Nervosa: Rationale, Evidence and Future Prospects. CNS Drugs. 2017, 30, 419–442. [Google Scholar] [CrossRef]
- Wanden-Berghe, R.; Sanz-Valero, J.; Wanden-Berghe, C. The Application of Mindfulness to Eating Disorders Treatment: A Systematic Review. Eat. Disord. 2011, 19, 34–48. [Google Scholar] [CrossRef]
- Katterman, S.N.; Kleinman, B.M.; Hood, M.M.; Nackers, L.M.; Corsica, J.A. Mindfulness meditation as an intervention for binge eating, emotional eating, and weight loss: A systematic review. Eat. Behav. 2014, 15, 197–204. [Google Scholar] [CrossRef]
- Godsey, J. The role of mindfulness based interventions in the treatment of obesity and eating disorders: An integrative review. Complement. Ther. Med. 2013, 21, 430–439. [Google Scholar] [CrossRef]
- Kristeller, J.L.; Wolever, R.Q. Mindfulness-Based Eating Awareness Training for Treating Binge Eating Disorder: The Conceptual Foundation. Eat. Disord. 2010, 19, 49–61. [Google Scholar] [CrossRef]
- Kristeller, J.; Wolever, R.; Sheets, V. Mindfulness-Based Eating Awareness Training (MB-EAT) for Binge Eating: A Randomized Clinical Trial. Mindfulness 2014, 5, 282–297. [Google Scholar] [CrossRef]
- O’Reilly, G.; Cook, L.; Spruijt-Metz, D.; Black, D. Mindfulness-based interventions for obesity-related eating behaviours: A literature review. Obes. Rev. 2014, 15, 453–461. [Google Scholar]
- Carrière, K.; Khoury, B.; Günak, M.; Knäuper, B. Mindfulness-based interventions for weight loss: A systematic review and meta-analysis. Obes. Rev. 2018, 19, 164–177. [Google Scholar]
- Mantzios, M.; Wilson, J.C. Mindfulness, Eating Behaviours, and Obesity: A Review and Reflection on Current Findings. Curr. Obes. Rep. 2015, 4, 141–146. [Google Scholar] [CrossRef]
- Moor, K.R.; Scott, A.J.; McIntosh, W.D. Mindful Eating and Its Relationship to Body Mass Index and Physical Activity Among University Students. Mindfulness 2012, 4, 269–274. [Google Scholar] [CrossRef]
- Masuda, A.; Price, M.; Latzman, R. Mindfulness Moderates the Relationship Between Disordered Eating Cognitions and Disordered Eating Behaviors in a Non-Clinical College Sample. J. Psychopathol. Behav. Assess. 2012, 34, 107–115. [Google Scholar] [CrossRef]
- Bahl, S.; Milne, G.R.; Ross, S.M.; Chan, K. Mindfulness: A Long-Term Solution for Mindless Eating by College Students. J. Public Policy Mark. 2013, 32, 173–184. [Google Scholar] [CrossRef]
- Taylor, M.B.; Daiss, S.; Krietsch, K. Associations among self-compassion, mindful eating, eating disorder symptomatology, and body mass index in college students. Transl. Issues Psychol. Sci. 2015, 1, 229–238. [Google Scholar] [CrossRef]
- Hendrickson, K.L.; Rasmussen, E.B. Mindful eating reduces impulsive food choice in adolescents and adults. Health Psychol. 2017, 36, 226–235. [Google Scholar] [CrossRef]
- Arch, J.J.; Brown, K.W.; Goodman, R.J.; Della Porta, M.D.; Kiken, L.G.; Tillman, S.R. Enjoying food without caloric cost: The impact of brief mindfulness on laboratory eating outcomes. Behav. Res. Ther. 2016, 79, 23–34. [Google Scholar] [CrossRef]
- Spielberger, C. Review of Profile of Mood States. Prof. Psychol. 1972, 3, 387–388. [Google Scholar] [CrossRef]
- Framson, C.; Kristal, A.R.; Schenk, J.M.; Littman, A.J.; Zeliadt, S.; Benitez, D. Development and Validation of Mindful Eating Questionnaire. J. Am. Diet. Assoc. 2009, 109, 1439–1444. [Google Scholar] [CrossRef]
- Gormally, J.; Black, S.; Daston, S.; Rardin, D. The assessment of binge eating severity among obese persons. Addict. Behav. 1982, 7, 47–55. [Google Scholar] [CrossRef]
- Isnard, P.; Michel, G.; Frelut, M.-L.; Vila, G.; Falissard, B.; Naja, W.; Navarro, J.; Mouren-Simeoni, M.-C. Binge eating and psychopathology in severely obese adolescents. Int. J. Eat. Disord. 2003, 34, 235–243. [Google Scholar] [CrossRef]
- Reavley, N.; Jorm, A.F. Prevention and early intervention to improve mental health in higher education students: A review. Early Interv. Psychiatry 2010, 4, 132–142. [Google Scholar] [CrossRef]
- Storrie, K.; Ahern, K.; Tuckett, A. A systematic review: Students with mental health problems-A growing problem. Int. J. Nurs. Pr. 2010, 16, 1–6. [Google Scholar] [CrossRef]
- Tecuta, L.; Fava, G.A.; Tomba, E. An innovative approach for the assessment of mood disturbances in patients with eating disorders. CNS Spectrums 2019, 15, 1–8. [Google Scholar] [CrossRef]
- Bourdier, L.; Orri, M.; Carre, A.; Gearhardt, A.; Romo, L.; Dantzer, C.; Berthoz, S. Are emotionally driven and addictive-like eating behaviors the missing links between psychological distress and greater body weight? Appetite 2018, 120, 536–546. [Google Scholar] [CrossRef]




| Variables | Student Sample (n = 221) |
|---|---|
| Participants | 221 |
| Age, y | 22.48 ± 0.34 |
| Gender, (%) | 15.84% Males 84.16% Females |
| Binge Total Score | 13.84 ± 0.52 |
| POMs Total Score | 31.93 ± 2.28 |
| POMs Tension | 9.38 ± 0.51 |
| POMs Depression | 10.81 ± 0.74 |
| POMs Anger | 5.30 ± 0.48 |
| POMs Fatigue | 8.21 ± 0.42 |
| POMs Confusion | 8.75 ± 0.34 |
| POMs Vigor | 10.53 ± 0.40 |
| Variables | Student Sample (n = 221) |
|---|---|
| MEQ Total Score | 3.11 ± 0.03 |
| MEQ Awareness | 2.69 ± 0.03 |
| MEQ Distraction | 2.74 ± 0.04 |
| MEQ Disinhibition | 2.54 ± 0.04 |
| MEQ Emotional | 3.64 ± 0.07 |
| MEQ External | 5.45 ± 0.06 |
| MEQ Scale | Binge Eating Total | POMS Total | Depression | Tension | Anger | Fatigue | Vigor |
|---|---|---|---|---|---|---|---|
| Total MEQ | −0.30 ** | −0.21 ** | −0.17 ** | −0.17 * | −0.20 ** | −0.19 ** | 0.02 |
| Distraction | −0.39 ** | −0.35 ** | −0.33 ** | −0.35 ** | −0.20 ** | −0.31 ** | 0.11 |
| Emotional | −0.65 ** | −0.32 ** | −0.27 ** | −0.19 ** | −0.22 ** | −0.33 ** | 0.29 ** |
| External | 0.22 ** | −0.12 | 0.08 | 0.13 * | 0.02 | 0.18 ** | −0.08 |
| Disinhibition | −0.48 ** | −0.14 ** | −0.13 | −0.06 | −0.12 | −0.11 | 0.10 |
| Awareness | −0.12 | −0.05 | 0.02 | −0.02 | 0.04 | −0.04 | −0.20 ** |
© 2020 by the authors. Licensee MDPI, Basel, Switzerland. This article is an open access article distributed under the terms and conditions of the Creative Commons Attribution (CC BY) license (http://creativecommons.org/licenses/by/4.0/).
Share and Cite
Giannopoulou, I.; Kotopoulea-Nikolaidi, M.; Daskou, S.; Martyn, K.; Patel, A. Mindfulness in Eating Is Inversely Related to Binge Eating and Mood Disturbances in University Students in Health-Related Disciplines. Nutrients 2020, 12, 396. https://doi.org/10.3390/nu12020396
Giannopoulou I, Kotopoulea-Nikolaidi M, Daskou S, Martyn K, Patel A. Mindfulness in Eating Is Inversely Related to Binge Eating and Mood Disturbances in University Students in Health-Related Disciplines. Nutrients. 2020; 12(2):396. https://doi.org/10.3390/nu12020396
Chicago/Turabian StyleGiannopoulou, Ifigeneia, Maria Kotopoulea-Nikolaidi, Sofia Daskou, Kathy Martyn, and Ashani Patel. 2020. "Mindfulness in Eating Is Inversely Related to Binge Eating and Mood Disturbances in University Students in Health-Related Disciplines" Nutrients 12, no. 2: 396. https://doi.org/10.3390/nu12020396
APA StyleGiannopoulou, I., Kotopoulea-Nikolaidi, M., Daskou, S., Martyn, K., & Patel, A. (2020). Mindfulness in Eating Is Inversely Related to Binge Eating and Mood Disturbances in University Students in Health-Related Disciplines. Nutrients, 12(2), 396. https://doi.org/10.3390/nu12020396

