The Impact of a Motor Imagery-Based Training Program on Agility, Speed, and Reaction Time in a Sample of Young Tennis Athletes during Ramadan Fasting: Insights and Implications from a Randomized, Controlled Experimental Trial
Abstract
1. Introduction
2. Material and Methods
2.1. Sample Size Computation
2.2. Participants
2.3. Procedure
- First step: the imaging modality envisaged was external. This stage was managed by a video recording, which includes sequences for rapid movements to the next striking point, changes of direction in different axes, fixings for ground support, then rapid engagement to get in motion, powerful, and precise services. Participants were asked to mentally see themselves as if they were watching each other on a video screen. The steps were: (A) to think of a situation in the first person, (B) to imagine moving quickly to the next striking point, (C) to imagine changing direction in different axes, (D) to imagine fixing solid supports to the ground and then quickly leaving these supports to start in motion, and (E) to imagine performing powerful and precise services, by taking an interval of about 10 s between each imagination act.
- Second step: the imaging modality considered was internal. The participants were invited to experiment, and feel the sensations that were evoked in a real situation of physical practice, for the different skills already seen in the video sequences, by taking an interval of about 10 s between each imagination. During these evocations, the participants, who felt the need, could speak softly or mimic the movement. The participant used here the technique of body simulation of movement which has proven to be the most effective [23].
- Third step: Through informal discussions, the experimenter explains to participants the usefulness and effects of imagery. He stresses the importance of the adequacy between the goal pursued (building confidence or improving the technical and physical quality of the gesture) and the modality or perspective of imagery used. Chronometers of the type digital stopwatch (iSport JG021 Pro) were equipped for the athletes in order to properly control the duration of the mental simulation of the 10 imagination acts of each session.
2.4. Measures
2.5. Statistical Analyses
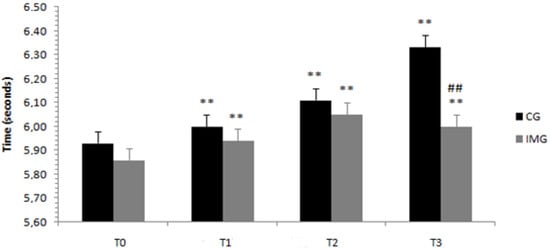
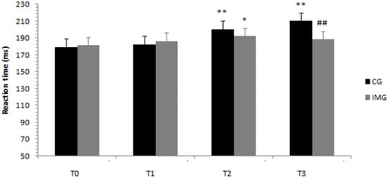
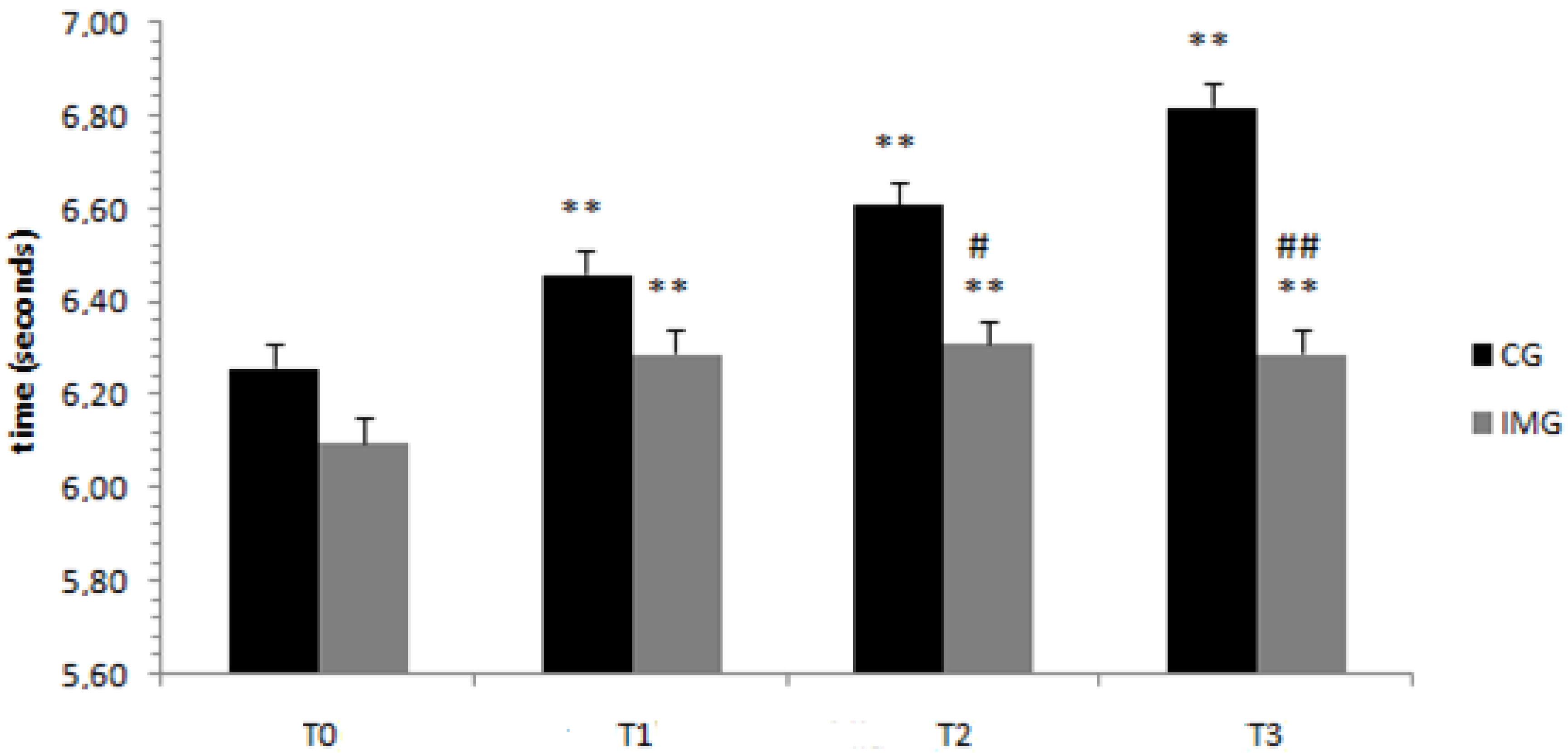
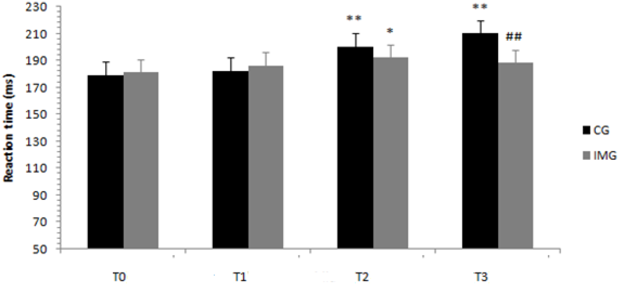
3. Results
4. Discussion
4.1. Effects of Ramadan Fasting on Physical Performance Outcomes of Tennis Athletes
4.2. Effects of a Motor Imagery Training Program on Physical Performance Outcomes in Tennis during the Ramadan Fast
4.3. Limitations of the Study
5. Conclusions
Author Contributions
Funding
Acknowledgments
Conflicts of Interest
References
- Maughan, R.J. Fasting and Sport: An introduction. Br. J. Sports Med. 2010, 44, 473–475. [Google Scholar] [CrossRef]
- Judelson, D.A.; Maresh, C.M.; Anderson, J.M.; Armstrong, L.E.; Casa, D.J.; Kraemer, W.J. Hydration and muscular performance: Does fluid balance affects strength, power and high-intensity endurance? Sports Med. 2007, 37, 907–921. [Google Scholar] [CrossRef] [PubMed]
- Bouhlel, H.; Shephard, R.J.; Gmada, N.; Aouichaoui, C.; Peres, G.; Tabka, Z.; Bouhlel, E. Act of Ramadan observance on maximal muscular performance of trained men. Clin. J. Sport Med. 2013, 23, 222–227. [Google Scholar] [CrossRef] [PubMed]
- Memari, A.H.; Kordi, R.; Panahi, N.; Nikookar, L.R.; Abdollahi, M.; Akbarnejad, A. Effect of Ramadan fasting on body composition and physical performance in female athletes. Asian J. Sports Med. 2011, 2, 161–168. [Google Scholar] [CrossRef] [PubMed]
- Meckel, Y.; Ismaeel, A.; Eliakim, A. The effect of the Ramadan fast on physical performance and dietary habits in adolescent soccer players. Eur. J. Appl. Physiol. 2008, 102, 651–657. [Google Scholar] [CrossRef] [PubMed]
- Kovacs, M.S. Applied physiology of tennis performance. Br. J. Sports Med. 2006, 40, 381–386. [Google Scholar] [CrossRef] [PubMed]
- Brody, H. Serving strategy. ITF Coach. Sport Sci. Rev. 2003, 31, 2–3. [Google Scholar]
- Pereira, T.J.C.; Nakamura, F.Y.; Jesus, M.T.; Vieira, L.R.L.; Misuta, M.S.; Barros, R.M.L.; Moura, F.A. Analysis of the distances covered and technical actions performed by professional tennis players during official matches. J. Sports Sci. 2016, 35, 361–368. [Google Scholar] [CrossRef]
- Fernandez, J.; Wiewelhove, T.; Ferrauti, A. High intensity interval training vs. repeated sprint training in tennis. J. Strength Cond. Res. 2012, 26, 53–62. [Google Scholar] [CrossRef]
- Miller, M.G.; Herniman, J.J.; Ricard, M.D.; Cheatarm, C.; Michael, T.J. The effects of a 6-week plyometric training program on agility. J. Sports Sci. Med. 2006, 5, 459–465. [Google Scholar]
- Ebben, W.P.; Watts, P.B. A review of combined weight training and plyometric training modes: Complex training. J. Sports Sci. Med. 2002, 1, 42–46. [Google Scholar] [CrossRef]
- DiRienzo, F.; Blache, Y.; Kanthack, T.F.D.; Monteil, K.; Collet, C.; Guillot, A. Short term effects on integrated motor imagery practice on muscle activation and force performance. Neuroscience 2015, 305, 146–156. [Google Scholar] [CrossRef]
- Guillot, A.; Di Rienzo, F.; Pialoux, V.; Simon, G.; Skinner, S.; Rogowski, I. Implementation of Motor Imagery during Specific Aerobic Training Session in Young Tennis Players. PLoS ONE 2015, 10, e0143331. [Google Scholar] [CrossRef]
- Battaglia, C.; D’Artibale, E.; Fiorilli, G.; Piazza, M.; Tsopani, D.; Giombini, A.; Calcagno, G.; di Cagno, A. Use of video observation and motor imagery on jumping performance in national rhythmic gymnastics athletes. Hum. Mov. Sci. 2014, 38, 225–234. [Google Scholar] [CrossRef] [PubMed]
- Slimani, M.; Tod, D.; Chaabene, H.; Miarka, B.; Chamari, K. Effects of mental imagery on muscular strength in healthy and patient participants: A systematic review. J. Sports Sci. Med. 2016, 15, 434–450. [Google Scholar] [PubMed]
- Sureshet, K.P.; Chandrashekara, S. Sample size estimation and power analysis for clinical research studies. J. Hum. Reprod. Sci. 2012, 5, 7–13. [Google Scholar] [CrossRef]
- Fortes, L.D.; Almeida, S.S.; Nascimento-Júnior, J.R.; Fiorese, L.; Lima-Junior, D.D.; Ferreira, M.E. Effect of motor imagery training on tennis service performance in young tennis athletes. J. Sport Psychol. 2019, 28, 157–168. [Google Scholar]
- Wang, Z.; Wang, S.; Shi, F.Y.; Guan, Y.; Wu, Y.; Zhang, Z.; Shen, C.; Zeng, W.; Wang, D.H.; Zhang, J. The effect of motor imagery with specific implement in expert badminton player. Neuroscience 2014, 275, 102–112. [Google Scholar] [CrossRef]
- Loison, B.; Moussaddaq, A.S.; Cormier, J.; Richard, I.; Ferrapie, A.L.; Ramond, A.; Dinomais, M. Translation and validation of the french Mouvement Imagery Questionnaire–Revised second version(MIQ-RS). Ann. Phys. Rehabil. Med. 2013, 56, 157–173. [Google Scholar] [CrossRef]
- Murphy, S.M.; Jowdy, D.P.; Durtschi, S. Imagery Perspective Survey; U.S. Olympic Training Center: Colorado Springs, CO, USA, 1990. [Google Scholar]
- Fortes, L.S.; Lira, H.A.A.S.; Lima, R.C.P.; Almeida, S.S.; Ferreira, M.E.C. Mental training generates positive effect on competitive anxiety of young swimmers? Rev. Bras. Cine Antropom. E Desempenho Hum. 2016, 18, 353–361. [Google Scholar] [CrossRef]
- Li-Wei, Z.; Qi-Wei, M.; Orlick, T.; Zitzelsberger, L. The effect of mental training on performance enhancement with 7-10 year-old children. Sport Psychol. 1992, 6, 230–241. [Google Scholar] [CrossRef]
- Meacci, W.G.; Price, E.E. Acquisition and retention of golf putting skill through the relaxation, visualization, and body reheasal intervention. Res. Q. Exerc. Sport 1985, 56, 176–179. [Google Scholar] [CrossRef]
- Sassi, R.H.; Dardouri, W.; Yahmed, M.H.; Gmada, N.; Mahfoudhi, M.E.; Gharbi, Z. Relative and absolute reliability of a modified agility t-test and its relationship with vertical jump and straight sprint. J. Strength Cond. Res. 2009, 23, 1644–1651. [Google Scholar] [CrossRef] [PubMed]
- Avilés, C.; Pérez, L.R.; Sang, D.; Navia, J. Le retour de service au tennis: Une combinaison de capacités d’adaptation et de réaction. ITF Coach. Sport Sci. Rev. 2014, 64, 6–8. [Google Scholar]
- Hammouda, O.; Chtourou, H.; Chahed, H.; Ferchichi, S.; Chaouachi, A.; Kallel, C.; Miled, A.; Chamari, K.; Souissi, N. High intensity exercise affects diurnal variation of some biological markers in trained subjects. Int. J. Sports Med. 2012, 33, 886–891. [Google Scholar] [CrossRef] [PubMed]
- Chaouachi, A.; Coutts, A.J.; Chamari, K.; Wong, D.P.; Chaouachi, M.; Chtara, M.; Roky, R.; Amri, M. Effect of Ramadan intermittent fasting on aerobic and anaerobic performance and perception of fatigue in male elite judo athletes. J. Strength Cond. Res. 2009, 23, 2702–2709. [Google Scholar] [CrossRef] [PubMed]
- Bouhlel, H.; Latiri, I.; Zarrrouk, N.; Bigard, X.; Shephard, R.; Tabka, Z.; Bouhlel, E. Effect of Ramadan observance and maximal exercise on simple and choice reaction times in trained men. Sci. Sports. 2014, 29, 131–137. [Google Scholar] [CrossRef]
- Roky, R.; Iraki, L.; Haj Khlifa, R.; Lakhdar Ghazal, N.; Hakkou, F. Day-time alertness, mood, psychomotor performances, and oral temperature during Ramadan intermittent fasting. Ann. Nutr. Metab. 2000, 44, 101–107. [Google Scholar] [CrossRef]
- Gopinathan, P.M.; Picham, G.; Sharma, M.A. Role of dehydration instress induced variations in mental performance. Arch. Environ. Health 1988, 43, 15–27. [Google Scholar] [CrossRef]
- Grego, F.; Vallier, J.M.; Collardeau, M.; Bermon, S.; Ferrari, P.; Candito, M. Effects of long duration exercise on cognitive function, blood glucose, and counter regulatory hormones in malecyclists. Neurosci. Lett. 2004, 364, 76–80. [Google Scholar] [CrossRef]
- Gutierrez, A.; Gonzalez-Gross, M.; Delgado, M.; Castillo, M.J. Three days fasting in sportsmen decreases physical work capacity but not strength or perception-reaction time. Int. J. Sport Nutr. Exerc. Metab. 2001, 11, 420–429. [Google Scholar] [CrossRef]
- Aloui, A.; Chaouachi, A.; Chtourou, H.; Wong, D.P.; Haddad, M.; Chamari, K.; Souissi, N. Effects of Ramadan on the diurnal variations of repeated-sprint performance. Int. J. Sports Physiol. Perform. 2013, 8, 254–263. [Google Scholar] [CrossRef] [PubMed]
- Fekih, S.; Zguira, M.S.; Koubaa, A.; Masmoudi, L.; Bragazzi, N.L.; Jarraya, M. Effects of Motor Mental Imagery Training on Tennis Service Performance during the Ramadan Fasting: A Randomized, Controlled Trial. Nutrients 2020, 12, 1035. [Google Scholar] [CrossRef]
- Waterhouse, J. Effects of Ramadan on physical performance: Chronobiological considerations. Br. J. Sports Med. 2010, 44, 509–515. [Google Scholar] [CrossRef]
- Sweileh, N.; Schnitzler, A.; Hunter, G.R.; Davis, B. Body composition and energy metabolism in resting and exercising Muslims during Ramadan fast. J. Sports Med. Phys. Fit. 1992, 32, 156–163. [Google Scholar]
- Maughan, R.J. Fluid and electrolyte loss and replacement in exercise. J. Sports Sci. 1991, 9, 117–242. [Google Scholar] [CrossRef] [PubMed]
- Feltz, D.L.; Landers, D.M. The effects of mental practice on motor skill learning and performance: A meta-analysis. J. Sport Psychol. 1983, 5, 25–57. [Google Scholar] [CrossRef]
- Holmes, P.; Calmels, C. A neuroscientific review of imagery and observation use in sport. J. Mot. Behav. 2008, 40, 433–445. [Google Scholar] [CrossRef] [PubMed]
- Davis, I.V.H.; van Anders, S.M.; Ngan, E.T.; Woodward, T.S.; Van Snellenberg, J.X.; Mayberg, H.S.; Liotti, M. Neural, Mood, and Endocrine responses in elite athletes relative to successful and failed performance videos. J. Clin. Sport Psychol. 2012, 6, 6–21. [Google Scholar] [CrossRef][Green Version]
- Martin, K.A.; Moritz, S.E.; Hall, C.R. Imagery use in sport: A literature review and applied model. Sport Psychol. 1999, 13, 245–268. [Google Scholar] [CrossRef]
- Ruffino, C.; Papaxanthis, C.; Lebon, F. Neural plasticity during motor learning with motor imagery practice: Review and perspectives. Neuroscience 2016, 341, 61–78. [Google Scholar] [CrossRef] [PubMed]
- Fontani, G.; Migliorini, S.; Benocci, R.; Facchini, A.; Casini, M.; Corradeschi, F. Effect of mental imagery on the development of skilled motor actions. Percept. Mot. Skills 2007, 105, 803–826. [Google Scholar] [CrossRef]
- Asma Aloui, H.C.; Omar Hammouda, H.S.; Anis Chaouachi, K.C. Effects of Ramadan on the diurnal variations of physical performance and perceived exertion in adolescent soccer players. Biol. Rhythm. Res. 2013, 44, 869–875. [Google Scholar] [CrossRef]





| Variables | Imagery Training Group | Control Group | p |
|---|---|---|---|
| Mean (SD) | Mean (SD) | ||
| Age (years) | 16.9 ± 0.64 | 16.7 ± 0.59 | 0.41 |
| Body mass (kg) | 67.5 ± 2.96 | 66.12 ± 6.83 | 0.50 |
| BMI (kg/m2) | 22.02 ± 0.58 | 21.73 ± 0.87 | 0.31 |
| Height (m) | 1.75 ± 0.04 | 1.74 ± 0.06 | 0.70 |
| Number of years of training | 5.4 ± 1.2 | 5.7 ± 1.18 | 0.48 |
| MIQ-RS | |||
| VMI | 5.2 ± 0.5 | - | - |
| KMI | 5.4 ± 0.4 | - | - |
| Variables | Before Ramadan | End of Ramadan |
|---|---|---|
| Mean (SD) | Mean (SD) | |
| Calorie intake (kcal/day) | 2956 ± 133.4 | 2947.0 ± 154.3 |
| Protein (%) | 18.7 ± 2.8 | 19.2 ± 2.2 |
| Lipids (%) | 31.2 ± 3.9 | 30.5 ± 4.1 |
| Carbohydrate (%) | 52.3 ± 5.1 | 52.1 ± 4.6 |
| Parameters | Groups | Before Ramadan (T0) | Beginning of Ramadan (T1) | Middle of Ramadan (T2) | End of Ramadan (T3) |
|---|---|---|---|---|---|
| Mean (SD) | Mean (SD) | Mean (SD) | Mean (SD) | ||
| Body mass (kg) | Control group | 66.12 ± 6.83 | 65.67 ± 6.88 | 65.35 ± 6.86 * | 64.94 ± 6.89 * |
| Imagery training group | 67.52 ± 2.96 | 67.16 ± 2.85 | 66.82 ± 2.83 * | 66.45 ± 2.87 * | |
| Body mass index (kg/m2) | Control group | 21.73 ± 0.87 | 21.58 ± 0.94 | 21.47 ± 0.93 * | 21.33 ± 0.94 * |
| Imagery training group | 22.02 ± 0.58 | 21.91 ± 0.59 | 21.80 ± 0.57 * | 21.68 ± 0.57 * |
Publisher’s Note: MDPI stays neutral with regard to jurisdictional claims in published maps and institutional affiliations. |
© 2020 by the authors. Licensee MDPI, Basel, Switzerland. This article is an open access article distributed under the terms and conditions of the Creative Commons Attribution (CC BY) license (http://creativecommons.org/licenses/by/4.0/).
Share and Cite
Fekih, S.; Zguira, M.S.; Koubaa, A.; Ghariani, I.; Zguira, H.; Bragazzi, N.L.; Jarraya, M. The Impact of a Motor Imagery-Based Training Program on Agility, Speed, and Reaction Time in a Sample of Young Tennis Athletes during Ramadan Fasting: Insights and Implications from a Randomized, Controlled Experimental Trial. Nutrients 2020, 12, 3306. https://doi.org/10.3390/nu12113306
Fekih S, Zguira MS, Koubaa A, Ghariani I, Zguira H, Bragazzi NL, Jarraya M. The Impact of a Motor Imagery-Based Training Program on Agility, Speed, and Reaction Time in a Sample of Young Tennis Athletes during Ramadan Fasting: Insights and Implications from a Randomized, Controlled Experimental Trial. Nutrients. 2020; 12(11):3306. https://doi.org/10.3390/nu12113306
Chicago/Turabian StyleFekih, Sofien, Mohamed Sami Zguira, Abdessalem Koubaa, Imed Ghariani, Hamdi Zguira, Nicola Luigi Bragazzi, and Mohamed Jarraya. 2020. "The Impact of a Motor Imagery-Based Training Program on Agility, Speed, and Reaction Time in a Sample of Young Tennis Athletes during Ramadan Fasting: Insights and Implications from a Randomized, Controlled Experimental Trial" Nutrients 12, no. 11: 3306. https://doi.org/10.3390/nu12113306
APA StyleFekih, S., Zguira, M. S., Koubaa, A., Ghariani, I., Zguira, H., Bragazzi, N. L., & Jarraya, M. (2020). The Impact of a Motor Imagery-Based Training Program on Agility, Speed, and Reaction Time in a Sample of Young Tennis Athletes during Ramadan Fasting: Insights and Implications from a Randomized, Controlled Experimental Trial. Nutrients, 12(11), 3306. https://doi.org/10.3390/nu12113306

