Relationship between Nutrition and Alcohol Consumption with Blood Pressure: The ESTEBAN Survey
Abstract
1. Introduction
2. Methods
2.1. Study Design
2.2. Study Population
2.3. Dietary Intake Assessment
2.4. Blood Pressure and Other Anthropometric Measure Definitions
2.5. Disease Definitions
2.6. Socioeconomic Status
2.7. Statistical Analysis
3. Results
4. Discussion
4.1. DASH Score and Blood Pressure
4.2. Components of the DASH Score and BP
Animal Products
4.3. Gender Differences between Components of the DASH Score and BP
4.3.1. Salt Intake
4.3.2. Legumes and Wholegrains
4.3.3. Sugar-Sweetened Beverages
4.3.4. Alcohol Consumption
4.3.5. Strengths and Limitations
5. Conclusions
Author Contributions
Funding
Acknowledgments
Conflicts of Interest
References
- Beaglehole, R.; Bonita, R.; Horton, R.; Adams, C.; Alleyne, G.; Asaria, P.; Baugh, V.; Bekedam, H.; Billo, N.; Casswell, S.; et al. Priority actions for the non-communicable disease crisis. Lancet 2011, 377, 1438–1447. [Google Scholar] [CrossRef]
- WHO. A Global Brief on Hypertension. Available online: http://apps.who.int/iris/bitstream/10665/79059/1/WHO_DCO_WHD_2013.2_eng.pdf (accessed on 4 April 2019).
- Williams, B.; Mancia, G.; Spiering, W.; Rosei, E.A.; Azizi, M.; Burnier, M.; Clement, D.; Coca, A.; De Simone, G.; Dominiczak, A.; et al. 2018 Practice Guidelines for the management of arterial hypertension of the European Society of Hypertension and the European Society of Cardiology: ESH/ESC Task Force for the Management of Arterial Hypertension. J. Hypertens. 2018, 36, 2284–2309. [Google Scholar] [CrossRef] [PubMed]
- Kawamura, A.; Kajiya, K.; Kishi, H.; Inagaki, J.; Mitarai, M.; Oda, H.; Umemoto, S.; Kobayashi, S. Effects of the DASH-JUMP dietary intervention in Japanese participants with high-normal blood pressure and stage 1 hypertension: An open-label single-arm trial. Hypertens. Res. 2016, 39, 777–785. [Google Scholar] [CrossRef] [PubMed]
- Lelong, H.; Blacher, J.; Baudry, J.; Adriouch, S.; Galan, P.; Fezeu, L.; Hercberg, S.; Kesse-Guyot, E. Individual and Combined Effects of Dietary Factors on Risk of Incident Hypertension: Prospective Analysis from the NutriNet-Santé Cohort. Hypertension 2017, 70, 712–720. [Google Scholar] [CrossRef] [PubMed]
- Lelong, H.; Blacher, J.; Menai, M.; Galan, P.; Fezeu, L.; Hercberg, S.; Kesse-Guyot, E. Association between Blood Pressure and Adherence to French Dietary Guidelines. Am. J. Hypertens. 2016, 29, 948–958. [Google Scholar] [CrossRef] [PubMed]
- De Pergola, G.; D’Alessandro, A. Influence of Mediterranean Diet on Blood Pressure. Nutrients 2018, 10, 1700. [Google Scholar] [CrossRef] [PubMed]
- Appel, L.J.; Champagne, C.M.; Harsha, D.W.; Cooper, L.S.; Obarzanek, E.; Elmer, P.J.; Stevens, V.J.; Vollmer, W.M.; Lin, P.-H.; Svetkey, L.P.; et al. Effects of comprehensive lifestyle modification on blood pressure control: Main results of the PREMIER clinical trial. JAMA 2003, 289, 2083–2093. [Google Scholar]
- Blumenthal, J.A.; Babyak, M.A.; Hinderliter, A.; Watkins, L.L.; Craighead, L.; Lin, P.-H.; Caccia, C.; Johnson, J.; Waugh, R.; Sherwood, A. Effects of the DASH diet alone and in combination with exercise and weight loss on blood pressure and cardiovascular biomarkers in men and women with high blood pressure: The ENCORE study. Arch. Intern. Med. 2010, 170, 126–135. [Google Scholar] [CrossRef]
- Appel, L.J.; Moore, T.J.; Obarzanek, E.; Vollmer, W.M.; Svetkey, L.P.; Sacks, F.M.; Bray, G.A.; Vogt, T.M.; Cutler, J.A.; Windhauser, M.M.; et al. A clinical trial of the effects of dietary patterns on blood pressure. DASH Collaborative Research Group. N. Engl. J. Med. 1997, 336, 1117–1124. [Google Scholar] [CrossRef]
- Toledo, E.; de A Carmona-Torre, F.; Alonso, A.; Puchau, B.; Zulet, M.A.; Martinez, J.A.; Martinez-Gonzalez, M.A. Hypothesis-oriented food patterns and incidence of hypertension: 6-year follow-up of the SUN (Seguimiento Universidad de Navarra) prospective cohort. Public Health Nutr. 2010, 13, 338–349. [Google Scholar] [CrossRef]
- Bendinelli, B.; Masala, G.; Bruno, R.M.; Caini, S.; Saieva, C.; Boninsegni, A.; Ungar, A.; Ghiadoni, L.; Palli, D. A priori dietary patterns and blood pressure in the EPIC Florence cohort: A cross-sectional study. Eur. J. Nutr. 2018, 58, 455–466. [Google Scholar] [CrossRef] [PubMed]
- Saneei, P.; Salehi-Abargouei, A.; Esmaillzadeh, A.; Azadbakht, L. Influence of Dietary Approaches to Stop Hypertension (DASH) diet on blood pressure: A systematic review and meta-analysis on randomized controlled trials. Nutr. Metab. Cardiovasc. Dis. 2014, 24, 1253–1261. [Google Scholar] [CrossRef] [PubMed]
- Briasoulis, A.; Agarwal, V.; Messerli, F.H. Alcohol consumption and the risk of hypertension in men and women: A systematic review and meta-analysis. J. Clin. Hypertens. 2012, 14, 792–798. [Google Scholar] [CrossRef] [PubMed]
- Roerecke, M.; Tobe, S.W.; Kaczorowski, J.; Bacon, S.L.; Vafaei, A.; Hasan, O.S.M.; Krishnan, R.J.; Raifu, A.O.; Rehm, J. Sex-Specific Associations between Alcohol Consumption and Incidence of Hypertension: A Systematic Review and Meta-Analysis of Cohort Studies. J. Am. Heart Assoc. 2018, 7, e008202. [Google Scholar] [CrossRef] [PubMed]
- Balicco, A.; Oleko, A.; Boschat, L.; Deschamps, V.; Saoudi, A.; Zeghnoun, A.; Fillol, C. Esteban design: A cross-sectional health survey about environment, biomonitoring, physical activity and nutrition (2014–2016). Toxicol. Anal. Clin. 2017, 29, 517–537. [Google Scholar]
- Fung, T.T.; Chiuve, S.E.; McCullough, M.L.; Rexrode, K.M.; Logroscino, G.; Hu, F.B. Adherence to a DASH-style diet and risk of coronary heart disease and stroke in women. Arch. Intern. Med. 2008, 168, 713–720. [Google Scholar] [CrossRef] [PubMed]
- Ketteler, M.; Block, G.A.; Evenepoel, P.; Fukagawa, M.; Herzog, C.A.; McCann, L.; Moe, S.M.; Shroff, R.; Tonelli, M.A.; Toussaint, N.D.; et al. Diagnosis, Evaluation, Prevention, and Treatment of Chronic Kidney Disease-Mineral and Bone Disorder: Synopsis of the Kidney Disease: Improving Global Outcomes 2017 Clinical Practice Guideline Update. Ann. Intern. Med. 2018, 168, 422–430. [Google Scholar] [CrossRef] [PubMed]
- Schneider, S. The International Standard Classification of Education 2011; Class and Stratification Analysis (Comparative Social Research); Birkelund, G.E., Ed.; Emerald Group Publishing Limited: Bingley, UK, 2013; Volume 30. [Google Scholar]
- Ndanuko, R.N.; Tapsell, L.C.; Charlton, K.E.; Neale, E.P.; Batterham, M.J. Dietary Patterns and Blood Pressure in Adults: A Systematic Review and Meta-Analysis of Randomized Controlled Trials. Adv. Nutr. 2016, 7, 76–89. [Google Scholar] [CrossRef]
- Harrington, J.M.; Fitzgerald, A.P.; Kearney, P.M.; McCarthy, V.J.C.; Madden, J.; Browne, G.; Dolan, E.; Perry, I.J. DASH diet score and distribution of blood pressure in middle-aged men and women. Am. J. Hypertens. 2013, 26, 1311–1320. [Google Scholar] [CrossRef]
- Dauchet, L.; Kesse-Guyot, E.; Czernichow, S.; Bertrais, S.; Estaquio, C.; Péneau, S.; Vergnaud, A.-C.; Chat-Yung, S.; Castetbon, K.; Deschamps, V.; et al. Dietary patterns and blood pressure change over 5-y follow-up in the SU.VI.MAX cohort. Am. J. Clin. Nutr. 2007, 85, 1650–1656. [Google Scholar] [CrossRef]
- Schulze, M.B.; Hoffmann, K.; Kroke, A.; Boeing, H. Risk of hypertension among women in the EPIC-Potsdam Study: Comparison of relative risk estimates for exploratory and hypothesis-oriented dietary patterns. Am. J. Epidemiol. 2003, 158, 365–373. [Google Scholar] [CrossRef] [PubMed]
- Borgi, L.; Curhan, G.C.; Willett, W.C.; Hu, F.B.; Satija, A.; Forman, J.P. Long-term intake of animal flesh and risk of developing hypertension in three prospective cohort studies. J. Hypertens. 2015, 33, 2231–2238. [Google Scholar] [CrossRef] [PubMed]
- Miura, K.; Greenland, P.; Stamler, J.; Liu, K.; Daviglus, M.L.; Nakagawa, H. Relation of vegetable, fruit, and meat intake to 7-year blood pressure change in middle-aged men: The Chicago Western Electric Study. Am. J. Epidemiol. 2004, 159, 572–580. [Google Scholar] [CrossRef] [PubMed]
- Ufnal, M.; Zadlo, A.; Ostaszewski, R. TMAO: A small molecule of great expectations. Nutrition 2015, 31, 1317–1323. [Google Scholar] [CrossRef] [PubMed]
- Ufnal, M.; Jazwiec, R.; Dadlez, M.; Drapala, A.; Sikora, M.; Skrzypecki, J. Trimethylamine-N-oxide: A carnitine-derived metabolite that prolongs the hypertensive effect of angiotensin II in rats. Can. J. Cardiol. 2014, 30, 1700–1705. [Google Scholar] [CrossRef] [PubMed]
- Lelong, H.; Galan, P.; Kesse-Guyot, E.; Fezeu, L.; Hercberg, S.; Blacher, J. Relationship between nutrition and blood pressure: A cross-sectional analysis from the NutriNet-Santé Study, a French web-based cohort study. Am. J. Hypertens. 2015, 28, 362–371. [Google Scholar] [CrossRef] [PubMed]
- He, J.; Gu, D.; Chen, J.; Jaquish, C.E.; Rao, D.C.; Hixson, J.E.; Chen, J.; Duan, X.; Huang, J.; Chen, C.-S.; et al. Gender difference in blood pressure responses to dietary sodium intervention in the GenSalt study. J. Hypertens. 2009, 27, 48–54. [Google Scholar] [CrossRef]
- Vernay, M.; Aïdara, M.; Salanave, B.; Deschamps, V.; Malon, A.; Oleko, A.; Mallion, J.-M.; Hercberg, S.; Castetbon, K. Diet and blood pressure in 18–74-year-old adults: The French Nutrition and Health Survey (ENNS, 2006–2007). J. Hypertens. 2012, 30, 1920–1927. [Google Scholar] [CrossRef]
- Yang, Y.; Dong, B.; Zou, Z.; Wang, S.; Dong, Y.; Wang, Z.; Ma, J. Association between Vegetable Consumption and Blood Pressure, Stratified by BMI, among Chinese Adolescents Aged 13–17 Years: A National Cross-Sectional Study. Nutrients 2018, 10, 451. [Google Scholar] [CrossRef]
- Whelton, P.K.; He, J.; Cutler, J.A.; Brancati, F.L.; Appel, L.J.; Follmann, D.; Klag, M.J. Effects of oral potassium on blood pressure. Meta-analysis of randomized controlled clinical trials. JAMA 1997, 277, 1624–1632. [Google Scholar] [CrossRef]
- Whelton, S.P.; Hyre, A.D.; Pedersen, B.; Yi, Y.; Whelton, P.K.; He, J. Effect of dietary fiber intake on blood pressure: A meta-analysis of randomized, controlled clinical trials. J. Hypertens. 2005, 23, 475–481. [Google Scholar] [CrossRef] [PubMed]
- Sun, B.; Shi, X.; Wang, T.; Zhang, D. Exploration of the Association between Dietary Fiber Intake and Hypertension among U.S. Adults Using 2017 American College of Cardiology/American Heart Association Blood Pressure Guidelines: NHANES 2007–2014. Nutrients 2018, 10, 1091. [Google Scholar] [CrossRef] [PubMed]
- Chiavaroli, L.; Viguiliouk, E.; Nishi, S.K.; Mejia, S.B.; Rahelić, D.; Kahleová, H.; Salas-Salvadó, J.; Kendall, C.W.; Sievenpiper, J.L. DASH Dietary Pattern and Cardiometabolic Outcomes: An Umbrella Review of Systematic Reviews and Meta-Analyses. Nutrients 2019, 11, 338. [Google Scholar] [CrossRef] [PubMed]
- Coudray, C.; Demigné, C.; Rayssiguier, Y. Effects of dietary fibers on magnesium absorption in animals and humans. J. Nutr. 2003, 133, 1–4. [Google Scholar] [CrossRef] [PubMed]
- Greger, J.L. Nondigestible carbohydrates and mineral bioavailability. J. Nutr. 1999, 129, 1434S–1435S. [Google Scholar] [CrossRef]
- Beale, A.L.; Kaye, D.M.; Marques, F.Z. The role of the gut microbiome in sex differences in arterial pressure. Biol. Sex. Differ. 2019, 10, 22. [Google Scholar] [CrossRef]
- Kim, S.; Goel, R.; Kumar, A.; Qi, Y.; Lobaton, G.; Hosaka, K.; Mohammed, M.; Handberg, E.M.; Richards, E.M.; Pepine, C.J.; et al. Imbalance of gut microbiome and intestinal epithelial barrier dysfunction in patients with high blood pressure. Clin. Sci. 2018, 132, 701–718. [Google Scholar] [CrossRef]
- Marques, F.Z.; Nelson, E.; Chu, P.-Y.; Horlock, D.; Fiedler, A.; Ziemann, M.; Tan, J.K.; Kuruppu, S.; Rajapakse, N.W.; El-Osta, A.; et al. High-Fiber Diet and Acetate Supplementation Change the Gut Microbiota and Prevent the Development of Hypertension and Heart Failure in Hypertensive Mice. Circulation 2017, 135, 964–977. [Google Scholar] [CrossRef]
- Pluznick, J.L.; Protzko, R.J.; Gevorgyan, H.; Peterlin, Z.; Sipos, A.; Han, J.; Brunet, I.; Wan, L.-X.; Rey, F.; Wang, T.; et al. Olfactory receptor responding to gut microbiota-derived signals plays a role in renin secretion and blood pressure regulation. Proc. Natl. Acad. Sci. USA 2013, 110, 4410–4415. [Google Scholar] [CrossRef]
- Malik, A.H.; Akram, Y.; Shetty, S.; Malik, S.S.; Njike, V.Y. Impact of sugar-sweetened beverages on blood pressure. Am. J. Cardiol. 2014, 113, 1574–1580. [Google Scholar] [CrossRef]
- Komnenov, D.; Levanovich, P.E.; Rossi, N.F. Hypertension Associated with Fructose and High Salt: Renal and Sympathetic Mechanisms. Nutrients 2019, 11, 569. [Google Scholar] [CrossRef] [PubMed]
- Mas-Capdevila, A.; Iglesias-Carres, L.; Arola-Arnal, A.; Aragonès, G.; Aleixandre, A.; Bravo, F.I.; Muguerza, B. Evidence that Nitric Oxide is Involved in the Blood Pressure Lowering Effect of the Peptide AVFQHNCQE in Spontaneously Hypertensive Rats. Nutrients 2019, 11, 225. [Google Scholar] [CrossRef] [PubMed]
- Brito, J.O.; Ponciano, K.; Figueroa, D.; Bernardes, N.; Sanches, I.C.; Irigoyen, M.C.; De Angelis, K. Parasympathetic dysfunction is associated with insulin resistance in fructose-fed female rats. Braz. J. Med. Biol. Res. 2008, 41, 804–808. [Google Scholar] [CrossRef] [PubMed]
- Rebello, T.; Hodges, R.E.; Smith, J.L. Short-term effects of various sugars on antinatriuresis and blood pressure changes in normotensive young men. Am. J. Clin. Nutr. 1983, 38, 84–94. [Google Scholar] [CrossRef] [PubMed]
- Singh, A.K.; Amlal, H.; Haas, P.J.; Dringenberg, U.; Fussell, S.; Barone, S.L.; Engelhardt, R.; Zuo, J.; Seidler, U.; Soleimani, M. Fructose-induced hypertension: Essential role of chloride and fructose absorbing transporters PAT1 and Glut5. Kidney Int. 2008, 74, 438–447. [Google Scholar] [CrossRef]
- Feig, D.I.; Mazzali, M.; Kang, D.-H.; Nakagawa, T.; Price, K.; Kannelis, J.; Johnson, R.J. Serum uric acid: A risk factor and a target for treatment? J. Am. Soc. Nephrol. 2006, 17, S69–S73. [Google Scholar] [CrossRef]
- He, F.J.; Marrero, N.M.; MacGregor, G.A. Salt intake is related to soft drink consumption in children and adolescents: A link to obesity? Hypertension 2008, 51, 629–634. [Google Scholar] [CrossRef]
- Taylor, B.; Irving, H.M.; Baliunas, D.; Roerecke, M.; Patra, J.; Mohapatra, S.; Rehm, J. Alcohol and hypertension: Gender differences in dose-response relationships determined through systematic review and meta-analysis. Addiction 2009, 104, 1981–1990. [Google Scholar] [CrossRef]
- Frezza, M.; di Padova, C.; Pozzato, G.; Terpin, M.; Baraona, E.; Lieber, C.S. High blood alcohol levels in women. The role of decreased gastric alcohol dehydrogenase activity and first-pass metabolism. N. Engl. J. Med. 1990, 322, 95–99. [Google Scholar] [CrossRef]
- Seppä, K.; Laippala, P.; Sillanaukee, P. Drinking pattern and blood pressure. Am. J. Hypertens. 1994, 7, 249–254. [Google Scholar] [CrossRef]
- Marchi, K.C.; Muniz, J.J.; Tirapelli, C.R. Hypertension and chronic ethanol consumption: What do we know after a century of study? World J. Cardiol. 2014, 6, 283–294. [Google Scholar] [CrossRef]
- Sahna, E.; Kurcer, Z.; Ozturk, F.; Cengiz, N.; Vardi, N.; Birincioglu, M.; Olmez, E. Effects of chronic ethanol consumption on alpha-adrenergic-induced contractions and endothelium-dependent relaxations in rat thoracic aorta. Pharmacol. Res. 2000, 41, 629–633. [Google Scholar] [CrossRef] [PubMed]
- Takac, I.; Schröder, K.; Brandes, R.P. The Nox family of NADPH oxidases: Friend or foe of the vascular system? Curr. Hypertens. Rep. 2012, 14, 70–78. [Google Scholar] [CrossRef] [PubMed]
- Millwood, I.Y.; Walters, R.G.; Mei, X.W.; Guo, Y.; Yang, L.; Bian, Z.; Bennett, D.A.; Chen, Y.; Dong, C.; Hu, R.; et al. Conventional and genetic evidence on alcohol and vascular disease aetiology: A prospective study of 500,000 men and women in China. Lancet 2019, 393, 1831–1842. [Google Scholar] [CrossRef]
- Van Duyn, M.A.; Pivonka, E. Overview of the health benefits of fruit and vegetable consumption for the dietetics professional: Selected literature. J. Am. Diet. Assoc. 2000, 100, 1511–1521. [Google Scholar] [CrossRef]
- Roerecke, M.; Kaczorowski, J.; Tobe, S.W.; Gmel, G.; Hasan, O.S.M.; Rehm, J. The effect of a reduction in alcohol consumption on blood pressure: A systematic review and meta-analysis. Lancet Public Health 2017, 2, e108–e120. [Google Scholar] [CrossRef]



| Characteristics | All | Men | Women | p Value * |
|---|---|---|---|---|
| N | 2 105 | 945 | 1160 | |
| Age (years) | 47.2 (14.6) | 47.7 (14.3) | 46.7 (14.8) | 0.61 |
| Familial status | <0.0001 | |||
| Couple | 68.4% | 72.7% | 64.5% | |
| Single | 31.6% | 27.3% | 35.5% | |
| Education level | <0.0001 | |||
| <High school diploma | 32.3% | 32.0% | 32.0% | |
| Undergraduate degree | 56.5% | 56.1% | 56.9% | |
| Postgraduate degree | 11.2% | 11.3% | 11.1% | |
| Income | <0.0001 | |||
| Very high (>4200) | 10.5% | 12.6% | 8.4% | |
| High | 40.6% | 39.9% | 41.2% | |
| Medium | 27.2% | 28.2% | 26.2% | |
| Low (<1600) | 21.8% | 19.3% | 24.2% | |
| Contract | 0.0003 | |||
| Indefinite contract | 84.9% | 89.4% | 80.9% | |
| Fixed-term contract | 15.1% | 10.6% | 19.1% | |
| BMI (kg/m2) | 25.9 (5.1) | 26.1 (4.4) | 25.7 (5.2) | <0.0001 |
| Alcohol (g/day) | 8.2 (9.9) | 12.4 (11.9) | 4.3 (5.3) | <0.0001 |
| DASH score | 23 (4) | 23 (4) | 24 (4) | <0.0001 |
| Vegetables (g/day) | 191.2 (71.6) | 189.5 (73.2) | 192.71 (70.2) | 0.44 |
| Legumes (g/day) | 12.7 (6.1) | 16.2 (6.6) | 9.5 (3.7) | <0.0001 |
| Red and processed meats (g/day) | 126.1 (36.9) | 148.5 (33.3) | 105.4 (26.6) | <0.0001 |
| Dairy products (g/day) | 75.1 (106.9) | 82.4 (120.3 | 68.3 (92.7) | 0.0009 |
| Wholegrains (g/day) | 2.84 (3.87) | 3.0 (3.9) | 2.6 (3.8) | 0.001 |
| Juice and fruits (g/day) | 220.4 (129.9) | 224.7 (135.6) | 216.5 (124.7) | 0.09 |
| Sweetened beverages (g/day) | 76.3 (152.9) | 87.6 (158.5) | 65.9 (146.9) | <0.0001 |
| Salt (g/day) | 8.2 (2.7) | 9.3 (2.8) | 7.2 (2.2) | <0.0001 |
| Current smoker | 23.9% | 27.1% | 20.9% | <0.0001 |
| Physical activity | ||||
| High | 10.6% | 15.6% | 6.1% | <0.0001 |
| Moderate | 51.3% | 56.2% | 46.9% | |
| Low | 38.1% | 28.2% | 47.0% | |
| Diabetes | 6.5% | 7.7% | 5.4% | <0.0001 |
| Hypercholesterolemia | 21.2% | 22.3% | 20.1% | 0.31 |
| Chronic kidney disease | 1.8% | 1.3% | 2.3% | 0.04 |
| Previous CV disease | 4.5% | 5.8% | 3.2% | 0.0002 |
| Systolic BP | 127 (19) | 132 (18) | 122 (18) | <0.0001 |
| Diastolic BP | 77 (11) | 79 (11) | 75 (10) | <0.0001 |
| Pulse pressure | 50 (13) | 53 (13) | 47 (12) | |
| Mean BP | ||||
| Hypertension | 31.3% | 38.1% | 25.0% | <0.0001 |
| Antihypertensive drugs ** | 48.9% | 47.5% | 51.1% | <0.0001 |
| Men | Women | ||||||||
|---|---|---|---|---|---|---|---|---|---|
| r2 value (%) | Estimate | Std | p value | r2 value (%) | Estimate | Std | p Value | ||
| SBP * | DASH score | 0.14 | −0.13 | (0.07) | <0.0001 | 1.13 | −0.61 | (0.17) | <0.0001 |
| DBP * | 0.13 | −0.10 | (0.05) | <0.0001 | 1.12 | −0.27 | (0.10) | <0.0001 | |
| SBP ** | Alcohol consumption | 0.83 | 0.15 | (0.03) | 0.007 | - | 0.05 | (0.05) | 0.14 |
| DBP ** | 0.77 | 0.11 | (0.02) | 0.009 | - | 0.01 | (0.01) | 0.16 |
| Men | Women | ||||||||
|---|---|---|---|---|---|---|---|---|---|
| Parameters | r2 value | Est. | Std | p Value | r2 value | Est. | Std | p Value | |
| Systolic blood pressure | Vegetables | - | −0.01 | (0.01) | 0.44 | - | −0.005 | (0.01) | 0.56 |
| Legumes | 0.5 | −0.31 | (0.15) | 0.001 | 1.8 | −0.86 | (0.22) | 0.0001 | |
| Red and processed meats | 0.1 | 0.12 | (0.03) | <0.0001 | 0.1 | 0.15 | (0.03) | <0.0001 | |
| Dairy products | - | −0.001 | (0.008) | 0.15 | - | −0.005 | (0.008) | 0.35 | |
| Wholegrains | 0.4 | −0.59 | (0.21) | 0.007 | - | −0.39 | (0.21) | 0.06 | |
| Juice and fruits | - | −0.003 | (0.007) | 0.58 | - | −0.005 | (0.008) | 0.51 | |
| Sweetened beverages | 0.9 | 0.02 | (0.008) | 0.03 | 0.4 | 0.02 | (0.007) | 0.04 | |
| Salt | - | 0.03 | (0.36) | 0.92 | 0.1 | 1.63 | (0.43) | 0.0002 | |
| Alcohol consumption | 0.8 | 0.15 | (0.2) | 0.001 | - | 0.03 | (0.06) | 0.18 | |
| Parameters | r2 value | Est. | Std | p Value | r2 value | Est. | Std | p Value | |
| Diastolic blood pressure | Vegetables | - | −0.001 | (0.009) | 0.57 | - | −0.0001 | (0.008) | 0.67 |
| Legumes | 0.5 | −0.19 | (0.07) | 0.008 | 1.9 | −0.52 | (0.13) | 0.0001 | |
| Red and processed meats | 0.1 | 0.07 | (0.01) | <0.0001 | 0.1 | 0.14 | (0.01) | <0.0001 | |
| Dairy products | - | −0.001 | (0.005) | 0.14 | - | −0.09 | (0.01) | 0.34 | |
| Wholegrains | 0.4 | −0.37 | (0.12) | 0.004 | - | −0.25 | (0.12) | 0.05 | |
| Juice and fruits | - | −0.001 | (0.004) | 0.72 | - | −0.003 | (0.005) | 0.54 | |
| Sweetened beverages | 0.9 | 0.01 | (0.004) | 0.03 | 0.4 | 0.01 | (0.004) | 0.03 | |
| Salt | - | 0.68 | (0.21) | 0.75 | 0.1 | 0.99 | (0.26) | 0.0002 | |
| Alcohol consumption | 0.8 | 0.09 | (0.05) | 0.002 | - | 0.03 | (0.08) | 0.16 |
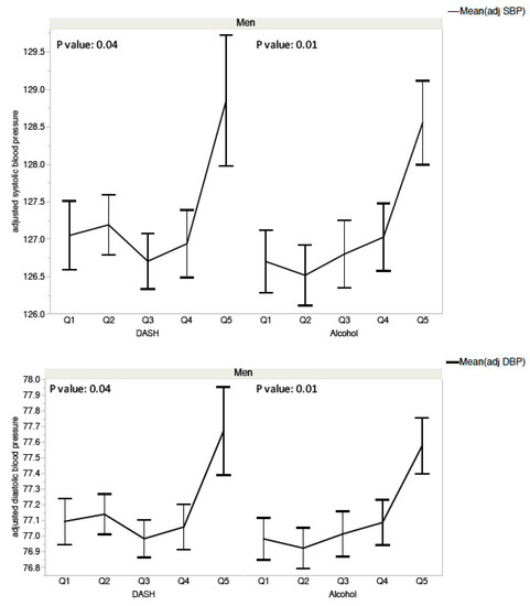
| DASH | MEN Score | Q5 17 (2) | Q4 21 (0.7) | Q3 23 (.78) | Q2 25 (0.7) | Q1 28 (2) | p value |
| SBP | 128.8 (7.4) | 126.9 (5.7) | 126.7 (5.8) | 127.1 (5.9) | 127.0 (6.3) | 0.04 | |
| DBP | 77.7 (2.4) | 77.1 (1.8) | 76.9 (1.8) | 77.1 (1.9) | 77.1 (2.0) | 0.04 | |
| WOMEN score | Q5 18 (2) | Q4 22 (0.9) | Q3 24 (0.8) | Q2 27 (0.8) | Q1 30 (2) | p value | |
| SBP | 126.9 (5.6) | 126.5 (5.3) | 126.1 (5.0) | 125.9 (4.9) | 125.4 (3.9) | 0.01 | |
| DBP | 77.0 (1.8) | 76.9 (1.7) | 76.8 (1.6) | 76.7 (1.5) | 76.6 (1.2) | 0.02 | |
| Alcohol | MEN g/day | Q5 31.5 (8.0) | Q4 17.2 (2.7) | Q3 8.7 (1.8) | Q2 3.9 (1.1) | Q1 1.3 (0.9) | p value |
| SBP | 128.6 (7.3) | 127.0 (5.9) | 126.7 (5.9) | 126.6 (5.3) | 125.6 (5.5) | 0.01 | |
| DBP | 77.6 (2.4) | 77.1 (1.9) | 77.1 (1.7) | 76.9 (1.8) | 76.8 (1.5) | 0.01 | |
| WOMEN g/day | Q5 14.3 (5.3) | Q4 5.2 (1.2) | Q3 2.5 (0.4) | Q2 1.2 (0.2) | Q1 0.5 (0.4) | p value | |
| SBP | 126.5 (5.0) | 126.1 (5.0) | 125.9 (4.5) | 126.0 (5.2) | 125.9 (4.8) | 0.74 | |
| DBP | 76.9 (1.5) | 76.8 (1.6) | 76.7 (1.5) | 76.7 (1.6) | 76.7 (1.6) | 0.73 |
© 2019 by the authors. Licensee MDPI, Basel, Switzerland. This article is an open access article distributed under the terms and conditions of the Creative Commons Attribution (CC BY) license (http://creativecommons.org/licenses/by/4.0/).
Share and Cite
Vallée, A.; Gabet, A.; Deschamps, V.; Blacher, J.; Olié, V. Relationship between Nutrition and Alcohol Consumption with Blood Pressure: The ESTEBAN Survey. Nutrients 2019, 11, 1433. https://doi.org/10.3390/nu11061433
Vallée A, Gabet A, Deschamps V, Blacher J, Olié V. Relationship between Nutrition and Alcohol Consumption with Blood Pressure: The ESTEBAN Survey. Nutrients. 2019; 11(6):1433. https://doi.org/10.3390/nu11061433
Chicago/Turabian StyleVallée, Alexandre, Amélie Gabet, Valérie Deschamps, Jacques Blacher, and Valérie Olié. 2019. "Relationship between Nutrition and Alcohol Consumption with Blood Pressure: The ESTEBAN Survey" Nutrients 11, no. 6: 1433. https://doi.org/10.3390/nu11061433
APA StyleVallée, A., Gabet, A., Deschamps, V., Blacher, J., & Olié, V. (2019). Relationship between Nutrition and Alcohol Consumption with Blood Pressure: The ESTEBAN Survey. Nutrients, 11(6), 1433. https://doi.org/10.3390/nu11061433

