Irregular Dietary Habits with a High Intake of Cereals and Sweets Are Associated with More Severe Gastrointestinal Symptoms in IBS Patients
Abstract
1. Introduction
2. Material and Methods
2.1. Study Design
2.2. Patients
2.3. Dietary Advice
2.4. Questionnaires
2.4.1. Study Questionnaire
2.4.2. Food Diaries
2.4.3. Rome IV Questionnaire
2.4.4. Irritable Bowel Syndrome-Symptom Severity Scale (IBS-SSS)
2.4.5. Visual Analog Scale for Irritable Bowel Syndrome (VAS-IBS)
2.4.6. Laboratory Analyses
2.5. Analyses
2.5.1. Categorization
2.5.2. Statistical Analyses
3. Results
3.1. Basal Characteristics
3.2. Gastrointestinal Symptoms
3.3. Laboratory Data
3.4. Dietary Habits
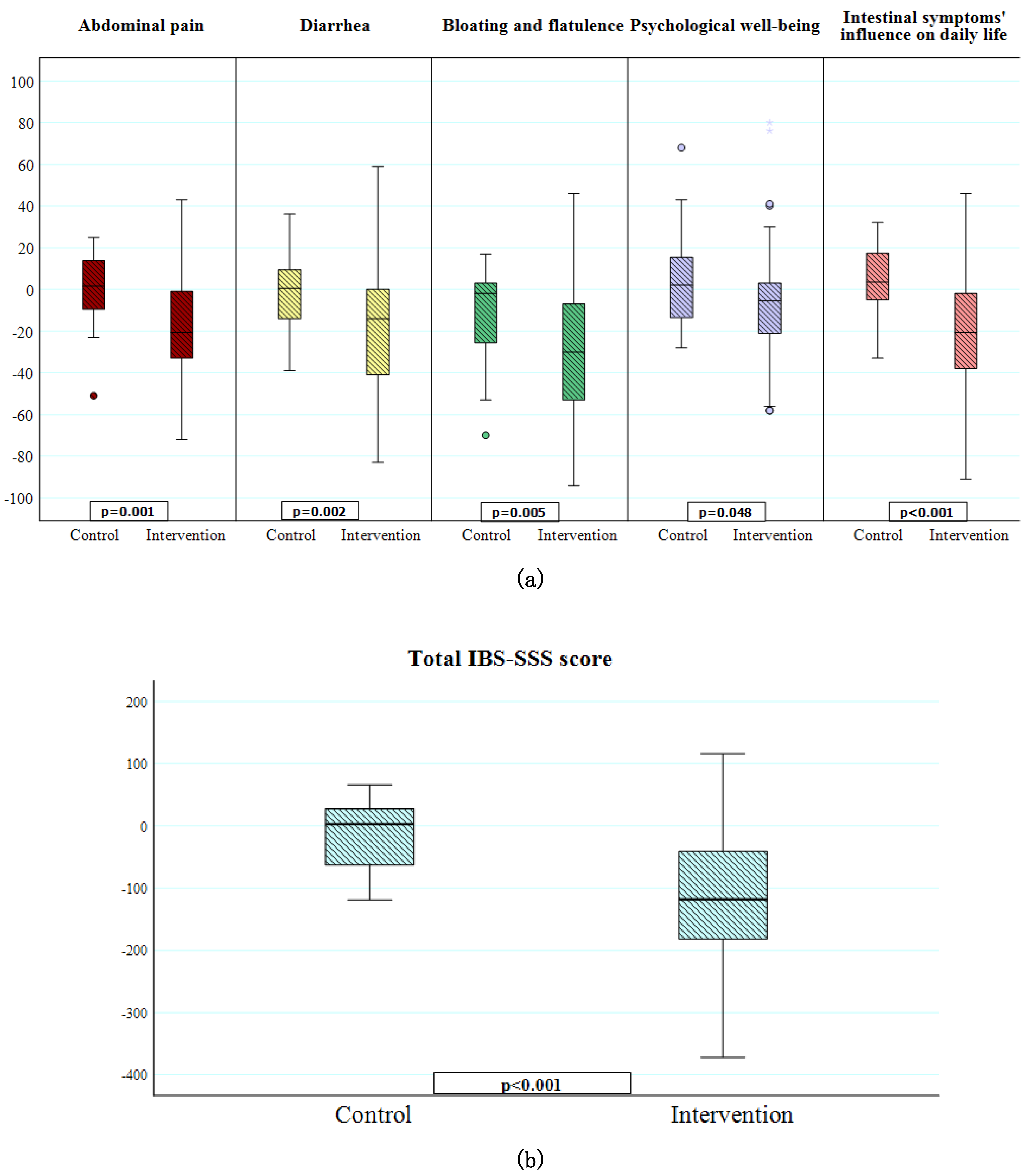
3.5. Effect of Dietary Advice
4. Discussion
5. Conclusions
Supplementary Materials
Author Contributions
Funding
Acknowledgments
Conflicts of Interest
References
- Lacy, B.E.; Mearin, F.; Chang, L.; Chey, W.D.; Lembo, A.J.; Simren, M.; Spiller, R. Bowel disorders. Gastroenterology 2016, 150, 1393–1407. [Google Scholar] [CrossRef] [PubMed]
- Leonard, M.M.; Sapone, A.; Catassi, C.; Fasano, A. Celiac Disease and Nonceliac Gluten Sensitivity: A Review. JAMA 2017, 318, 647–656. [Google Scholar] [CrossRef] [PubMed]
- National Institute for Health and Clinical Excellence. NICE Clinical Guideline61: Irritable Bowel Syndrome in Adults: Diagnosis and Management of Irritable Bowel Syndrome in Primary Care; NICE: London, UK, 2008; Last updated April 2017. [Google Scholar]
- Mitchell, H.; Porter, J.; Gibson, P.R.; Barrett, J.; Garg, M. Review article: Implementation of a diet low in FODMAPs for patients with irritable bowel syndrome-directions for future research. Aliment. Pharmacol. Ther. 2019, 49, 124–139. [Google Scholar] [CrossRef] [PubMed]
- Eswaran, S.L.; Chey, W.D.; Han-Markey, T.; Ball, S.; Jackson, K. A randomized controlled trial comparing the low FODMAP diet vs. modified NICE guidelines in US adults with IBS-D. Am. J. Gastroenterol. 2016, 111, 1824–1832. [Google Scholar] [CrossRef] [PubMed]
- Horstmann, S.W.; Lynch, K.M.; Arendt, E.K. Starch characteristics linked to gluten-free products. Foods 2017, 6, 29. [Google Scholar] [CrossRef] [PubMed]
- Treem, W.R. Clinical aspects and treatment of congenital sucrase-isomaltase deficiency. JPGN 2012, 55 (Suppl. 2), S7–S13. [Google Scholar] [CrossRef]
- Garcia-Etxebarria, K.; Zheng, T.; Bonfiglio, F.; Bujanda, L.; Dlugosz, A.; Lindberg, G.; Schmidt, P.T.; Karling, P.; Ohlsson, B.; Simren, M.; et al. Increased Prevalence of Rare Sucrase-isomaltase Pathogenic Variants in Irritable Bowel Syndrome Patients. Clin. Gastroenterol. Hepatol. 2018, 16, 1673–1676. [Google Scholar] [CrossRef] [PubMed]
- Sucrose Intolerance. Genetic Sucrase-Isomaltase Deficiency. Available online: https://www.sucroseintolerance.com/choosing-your-foods (accessed on 10 July 2018).
- Palsson, O.S.; Whitehead, W.E.; van Tilburg, M.A.L.; Chang, L.; Chey, W.; Crowell, M.D.; Keefer, L.; Lembo, A.J.; Parkman, H.P.; Rao, S.S.C.; et al. Development and validation of the Rome IV diagnostic questionnaire for adults. Gastroenterology 2016, 150, 1481–1491. [Google Scholar] [CrossRef]
- Francis, C.Y.; Morris, J.; Whorwell, P.J. The irritable bowel severity scoring system: A simple method of monitoring irritable bowel syndrome and its progress. Aliment. Pharmacol. Ther. 1997, 11, 395–402. [Google Scholar] [CrossRef]
- Bengtsson, M.; Ohlsson, B.; Ulander, K. Development and psychometric testing of the Visual Analogue Scale for Irritable Bowel Syndrome (VAS-IBS). BMC Gastroenterol. 2007, 7, 16. [Google Scholar] [CrossRef]
- Bengtsson, M.; Persson, J.; Sjölund, K.; Ohlsson, B. Further validation of the visual analogue scale for irritable bowel syndrome after use in clinical practice. Gastroenterol. Nurs. 2013, 36, 188–198. [Google Scholar] [CrossRef] [PubMed]
- Laboratoriemedicin. Available online: https://intra.skane.se/sidor/vardinformation-och-patientservice2/vardriktlinjer/laboratoriemedicin/ (accessed on 10 July 2018).
- Ohlsson, B.; Darwiche, G.; Roth, B.; Bengtsson, M.; Höglund, P. High fiber, fat and protein contents lead to increased satiety, reduced sweet cravings, and decreased gastrointestinal symptoms, independently of anthropometric, hormonal, and metabolic factors. J. Diabet. Metab. 2017, 8, 3. [Google Scholar] [CrossRef]
- Internetmedicin. Available online: https://www.internetmedicin.se/ (accessed on 10 April 2019).
- Nordic Council of Ministers. Nordic Nutrition Recommendations. 2012. Available online: http://www.norden-ilibrary.org/social-issues-migration-health/nordic-nutrition-recommendations-2012_nord2014-002 (accessed on 1 November 2017).
- Gericke, B.; Amiri, M.; Scott, C.R.; Naim, H.Y. Molecular pathogenicity of novel sucrase-isomaltase mutations found in congenital sucrase-isomaltase deficiency patients. Biochim. Biophys. Acta Mol. Basis Dis. 2017, 1863, 817–826. [Google Scholar] [CrossRef] [PubMed]
- Gibson, P.R.; Shepherd, S.J. Evidence-based dietary management of functional gastrointestinal symptoms: The FODMAP approach. J. Gastroenterol. Hepatol. 2010, 25, 1366–1373. [Google Scholar] [CrossRef] [PubMed]
- Staudacher, H.M.; Irving, P.M.; Lomer, M.C.; Anderson, J.L.; Barrett, J.S.; Muir, J.G.; Irving, P.M.; Whelan, K. Mechanisms and efficacy of dietary FODMAP restriction in IBS. Nat. Rev. Gastroenterol. Hepatol. 2014, 11, 256–266. [Google Scholar] [CrossRef] [PubMed]
- Moding, M.; Ohlsson, B. The role of fermentable carbohydrates and beverages in the symptomatology of functional gastrointestinal disease. Scand. J. Gastroenterol. 2017, 52, 1224–1234. [Google Scholar] [CrossRef]
- Ohlsson, B.; Manjer, J. Physical inactivity during leisure time and irregular meals are associated with functional gastrointestinal complaints in middle-aged and elder subjects. Scand. J. Gastroenterol. 2016, 51, 1299–1307. [Google Scholar] [CrossRef] [PubMed]
- Zaribaf, F.; Keshteli, A.H.; Esmaillzadeh, A.; Saneei, P.; Feizi, A.; Daghaghzadeh, H.; Feinle-Bisset, C.; Adibi, P. Empirically derived dietary habits are associated with irritable bowel syndrome. Eur. J. Clin. Nutr. 2018, 72, 1537–1547. [Google Scholar] [CrossRef] [PubMed]
- Khayyatzadeh, S.S.; Esmaillzadeh, A.; Saneei, P.; Keshteli, A.H.; Adibi, P. Dietary patterns and prevalence of irritable bowel syndrome in Iranian adults. Neurogastroenterol. Motil. 2016, 28, 1921–1933. [Google Scholar] [CrossRef]
- Buscail, C.; Sabate, J.M.; Bouchoucha, M.; Kesse-Guyot, E.; Hercberg, S.; Benamouzig, R.; Julia, C. Western dietary pattern is associated with irritable bowel syndrome in the French NutriNet cohort. Nutrients 2017, 9, 986. [Google Scholar] [CrossRef]
- Khayyatzadeh, S.S.; Kazemi-Bajestani, S.M.R.; Mirmousavi, S.J.; Heshmati, M.; Khoshmohabbat, S.; Ferns, G.A.; Ghayour-Mobarhan, M. Dietary behaviors in relation to prevalence of irritable bowel syndrome in adolescent girls. J. Gastroenterol. Hepatol. 2018, 33, 404–410. [Google Scholar] [CrossRef] [PubMed]
- Zinöcker, M.K.; Lindseth, I.A. The Western Diet-Microbiome-Host Interaction and Its Role in Metabolic Disease. Nutrients 2018, 10, 365. [Google Scholar] [CrossRef] [PubMed]
- Peterson, M.L.; Herber, R. Intestinal sucrase deficiency. Trans. Assoc. Am. Phys. 1967, 80, 275–283. [Google Scholar] [PubMed]
- Zheng, T.; Eswaran, S.; Chey, W.D.; D’Amato, D. Reduced efficiacy of low FODMAPs diet in IBS-D patients carrying sucrose isomaltase (SI) hypomorphic variants. Gut 2019. [Google Scholar] [CrossRef] [PubMed]
- Fernández-Bañares, F.; Rosinach, M.; Esteve, M.; Forné, M.; Espinós, J.C.; Maria Viver, J. Sugar malabsorption in functional abdominal bloating: A pilot study on the long-term effect of dietary treatment. Clin. Nutr 2006, 25, 824–831. [Google Scholar] [CrossRef]
- Tester, R.; Karkalas, J.; Qi, X. Starch structure and digestibility enzyme-substrate relationship. World Poult. Sci. J. 2004, 60, 186–195. [Google Scholar] [CrossRef]
- Van der Maarel, M.J.; van der Veen, B.; Uitdehaag, J.; Leemhuis, H.; Dijkhuizen, L. Properties and applications of starch-converting enzymes of the α-amylase family. J. Biotechnol. 2002, 94, 137–155. [Google Scholar] [CrossRef]
- Ohlsson, B. An Okinawan-based Nordic diet improves glucose and lipid metabolism in health and type 2 diabetes, in alignment with changes in the endocrine profile, whereas zonulin levels are elevated. Exp. Ther. Med. 2019, 17, 2883–2893. [Google Scholar] [CrossRef]
- Sibelli, A.; Chalder, T.; Everitt, H.; Chilcot, J.; Moss-Morris, R. Positive and negative affect mediate the bidirectional relationship between emotional processing and symptom severity and impact in irritable bowel syndrome. J. Psychosom. Res. 2018, 105, 1–13. [Google Scholar] [CrossRef]
- Calder, P.C.; Ahluwalia, N.; Brouns, F.; Buetler, T.; Clement, K.; Cunningham, K.; Esposito, K.; Jönsson, L.S.; Kolb, H.; Lansink, M.; et al. Dietary factors and low-grade inflammation in relation to overweight and obesity. Br. J. Nutr. 2011, 106 (Suppl. 3), S5–S78. [Google Scholar] [CrossRef]

| Parameters | Patients N = 105 |
|---|---|
| Sex (women/men) (n, %) | 82 (78.1)/23 (21.9) |
| Age (year) | 46.06 ± 13.11 |
| Body mass index (BMI) (kg/m2) | 21.67 ± 3.94 |
| Missing value | 7 |
| Education (n, %) | |
| Not completed school | 1 (1.0) |
| Primary school | 4 (3.8) |
| Secondary school | 23 (21.9) |
| Education at least 1 year after secondary school | 23 (21.9) |
| University | 52 (49.5) |
| Occupation (n, %) | |
| Working full time | 53 (50.5) |
| 99–51% | 13 (12.4) |
| 50% | 6 (5.7) |
| Sick leave | 5 (4.8) |
| Retirement | 16 (15.2) |
| Unemployed | 3 (2.9) |
| Student | 5 (4.8) |
| Parental leave | 1 (1.0) |
| Marital status (n, %) | |
| Single/living alone | 41 (39.0) |
| Married/cohabitated | 62 (59.0) |
| Smoking habits (n, %) | |
| Regular smoking | 6 (5.7) |
| Irregular smoking | 5 (4.8) |
| Ex-smoker | 37 (35.2) |
| Never smoked | 54 (51.4) |
| Snuff habits (n, %) | |
| Snuff user | 13 (12.4) |
| Ex-snuffer | 5 (4.8) |
| Never snuffed | 85 (81.0) |
| Alcohol standard glass/1week (n, %) | |
| <1 | 46 (43.8) |
| 1–4 | 40 (38.1) |
| 5–9 | 12 (11.4) |
| 10-14 | 3 (2.9) |
| ≥15 | 2 (1.9) |
| Strenuous exercise (min/week) | |
| Never | 11 (10.5) |
| <30 min | 24 (22.9) |
| 30–60 min | 16 (15.2) |
| 60–90 min | 12 (11.4) |
| 90–120 min | 14 (13.3) |
| >120 min | 26 (24.8) |
| Parameters | Values N = 105 | Number of Patients Outside Reference Values | Correlation between Psychological Well-being and GI Symptoms |
|---|---|---|---|
| IBS-SSS total score | 310 (248–353) | r = 0.203 p = 0.039 | |
| Abdominal pain Ref value: 5 (1–13) | 51 (36–65) | 103 | r = 0.121 p = 0.223 |
| Diarrhea Ref value: 3 (0–10) | 55 (11–73) | 103 | r = 0.087 p = 0.380 |
| Constipation Ref value: 6 (2–16) | 48 (1–72) | 96 | r = 0.216 p = 0.028 |
| Bloating and flatulence Ref value: 10 (2–23) | 78 (63–87) | 103 | r = 0.237 p = 0.016 |
| Vomiting and nausea Ref value: 2 (0–4) | 15 (2–48) | 101 | r = 0.100 p = 0.316 |
| Psychological well-being Ref value: 5 (2–15) | 49 (24–69) | 103 | |
| Intestinal symptoms’ influence on daily life Ref value: 2 (0–14) | 71 (52–839) | 103 | r = 0.331 P = 0.001 |
| CRP (mg/L) Ref value: <3.0 | 0.72 (0.60–1.72) | 19 | |
| Iron (µmol/L) Ref value: 9–34 | 16.10 (11.25–20.83) | 10 (9 below) | |
| Total iron binding capacity (µmol/L) Ref value: 47–80 | 63.99 (58.10–70.98) | 11 (2 below) | |
| Ferritin (µg/L) Ref value: (13–148) | 69.24 (41.58–139.32) | 30 (8 below) | |
| Folic acid (nmol/L) Ref value: ≥6 | 13.88 (10.41–21.24) | 4 | |
| Cobalamin (nmol/L) Ref value: 150–500 | 364.20 (258.72–429.08) | 16 (2 below) | |
| 25-OH Vitamin D (nmol/L) Ref value: >75 | 61.00 (52.02–74.00) | <50: 23 (21.1%) <75: 81 (77.1%) |
| Women N = 82 (n, %) | Men N = 23 (n, %) | p-Value | |
|---|---|---|---|
| Dietary habits | 1.00 | ||
| Regular habits | 40 (48.8) | 10 (43.5) | |
| Irregular habits | 41 (50.0) | 11 (47.8) | |
| Missing value | 1 (1.2) | 2 (8.7) | |
| Diet regimes | 0.041 | ||
| On a current diet | 59 (72.0) | 10 (43.5) | |
| Not on a current diet | 23 (28.0) | 11 (47.8) | |
| Missing value | 1 (1.2) | 2 (8.7) | |
| Pizza/burger intake | 0.049 | ||
| Intake | 33 (40.4) | 14 (91.3) | |
| No intake | 48 (58.5) | 7 (30.4) | |
| Missing value | 1 (1.2) | 2 (8.7) | |
| Soda intake | 0.608 | ||
| Sugar-rich | 14 (17.1) | 4 (17.4) | |
| Sugar-free | 10 (12.2) | 4 (17.4) | |
| No soda drinking | 57 (69.5) | 13 (56.5) | |
| Missing value | 1 (1.2) | 2 (8.7) |
| Parameters | Regular Habits N = 50 | Irregular Habits N = 52 | p-Value |
|---|---|---|---|
| IBS-SSS total score | 296 (236–350) | 329 (260–387) | 0.051 (0.029) * |
| Abdominal pain | 49 (36–62) | 56 (37–76) | 0.081 |
| Diarrhea | 56 (10–75) | 54 (10–72) | 0.924 |
| Constipation | 40 (1–68) | 64 (1–76) | 0.118 |
| Bloating and flatulence | 74 (52–82) | 84 (68–92) | 0.006 |
| Vomiting and nausea | 7 (1–31) | 24 (7–52) | 0.041 |
| Psychological well-being | 46 (24–61) | 54 (31–71) | 0.194 |
| Intestinal symptoms’ influence on daily life | 70 (47–81) | 70 (60–87) | 0.052 (0.018) * |
| CRP (mg/L) | 0.600 (0.6–1.495) | 0.92 (0.60–2.64) | 0.109 |
| Iron (µmol/L) | 16.40 (12.54–21.12) | 16.36 (10.35–18.94) | 0.244 |
| TIBC (µmol/L) | 61.43 (56.54–67.06) | 65.30 (58.46–72.48) | 0.116 |
| Ferritin (µg/L) | 88.11 (50.34–140.20) | 60.84 (30.83–133.45) | 0.044 (0.249) ** |
| Folic acid (nmol/L) | 14.40 (11.26–21.72) | 13.68 (9.70–20.84) | 0.239 |
| Cobalamin (nmol/L) | 368.70 (279.50–433.33) | 339.05 (251.92–417.98) | 0.408 |
| 25-OH Vitamin D (nmol/L) | 61.33 (52.32–70.50) | 59.30 (50.00–80.12) | 0.627 |
| Categories | Control Group N = 25 | Intervention Group N = 80 | p-Value | ||||
|---|---|---|---|---|---|---|---|
| Times/ day | Days/ 4 days | Times/ 4 days | Times/ day | Days/ 4 days | Times/ 4 days | ||
| Baseline Missing | 1 | 2 | |||||
| Meat | 1 (1–2) | 4 (1–4) | 4 (1.25–8) | 1 (1–2) | 4 (2–4) | 4 (2–8) | 0.393 |
| Fish/seafood | 1 (0–1) | 1 (0–2) | 1 (0–1.75) | 1 (0–1) | 1 (0–2) | 1 (0–2) | 0.806 |
| Vegetable/ legumes | 1 (1–1.75) | 3 (2–4) | 4 (2.25–4) | 1 (1–1) | 4 (3–4) | 4 (3–4) | 0.302 |
| Fruits/nuts | 1 (1–1) | 2 (2–4) | 2 (2–4) | 1 (1–1) | 3 (1–4) | 3 (1–4) | 0.652 |
| Dairy products | 1 (1–1.75) | 4 (2–4) | 4 (2–4) | 1 (1–2) | 3 (2–4) | 4 (2–8) | 0.604 |
| Cereals | 2 (1–2) | 4 (4–4) | 8 (4–8) | 2 (1–2) | 4 (4–4) | 8 (4–8) | 0.504 |
| Sweets/ soft drinks | 1 (1–2) | 4 (1–4) | 4 (2–8) | 1 (1–2) | 4 (2–4) | 4 (2–8) | 0.920 |
| After 2 weeks Missing | 3 | 6 | |||||
| Meat | 1 (1–2) | 3 (2–4) | 4 (2–7) | 1 (1–1) | 4 (2–4) | 4 (2–4) | 0.793 |
| Fish/seafood | 1 (0–1) | 1 (0–1.5) | 1 (0–1.25) | 1 (1–1) | 1 (1–2) | 1 (1–2) | 0.022 |
| Vegetable/ legumes | 1 (1–1.25) | 4 (2.5–4) | 4 (2.5–5) | 1 (1–2) | 4 (4–4) | 4 (4–8) | 0.034 |
| Fruits/nuts | 1 (0.75–2) | 2 (0.5–4) | 2 (0.5–5) | 2 (1–2.9) | 4 (3–4) | 8 (4–8) | <0.001 |
| Dairy products | 1 (1–1) | 4 (3–4) | 4 (3–4) | 1 (1–2) | 4 (3–4) | 4 (3–8) | 0.036 |
| Cereals | 2 (1–2) | 4 (4–4) | 8 (4–8) | 1 (1–2) | 4 (1–4) | 4 (1–8) | 0.002 |
| Sweets/soft drinks | 1 (0.75–2) | 3 (0.5–4) | 4 (0.5–4) | 0 (0–1) | 0 (0–2) | 0 (0–2) | 0.001 |
| GI Symptoms | Control | Intervention | p-Value Intervention | ||
|---|---|---|---|---|---|
| Baseline | 2 weeks | Baseline | 2 weeks | ||
| IBS-SSS total score | 310 (247–351) | 271 (238–325) | 306 (250–356) | 190 (118–282) | <0.001 |
| Abdominal pain | 49 (27–62) | 48 (26–63) | 52 (37–65) | 29 (8–52) | <0.001 |
| Diarrhea | 47 (5–70) | 33 (6–62) | 57 (18–76) | 18 (2–56) | <0.001 |
| Constipation | 54 (30–69) | 28 (2–68) | 47 (1–73) | 22 (0–50) | <0.001 |
| Bloating and flatulence | 78 (68–89) | 76 (54–87) | 78 (60–85) | 46 (12–61) | <0.001 |
| Vomiting and nausea | 29 (6–50) | 20 (3–38) | 11 (1–34) | 4 (0–28) | 0.003 |
| Psychological well-being | 47 (24–71) | 49 (31–66) | 50 (24–69) | 41 (14–60) | 0.002 |
| Intestinal symptoms’ influence on daily life | 68 (53–78) | 68 (63–84) | 72 (52–86) | 49 (19–68) | <0.001 |
| Missing value | 0 | 5 | 2 | 6 | |
© 2019 by the authors. Licensee MDPI, Basel, Switzerland. This article is an open access article distributed under the terms and conditions of the Creative Commons Attribution (CC BY) license (http://creativecommons.org/licenses/by/4.0/).
Share and Cite
Nilholm, C.; Larsson, E.; Roth, B.; Gustafsson, R.; Ohlsson, B. Irregular Dietary Habits with a High Intake of Cereals and Sweets Are Associated with More Severe Gastrointestinal Symptoms in IBS Patients. Nutrients 2019, 11, 1279. https://doi.org/10.3390/nu11061279
Nilholm C, Larsson E, Roth B, Gustafsson R, Ohlsson B. Irregular Dietary Habits with a High Intake of Cereals and Sweets Are Associated with More Severe Gastrointestinal Symptoms in IBS Patients. Nutrients. 2019; 11(6):1279. https://doi.org/10.3390/nu11061279
Chicago/Turabian StyleNilholm, Clara, Ewa Larsson, Bodil Roth, Rita Gustafsson, and Bodil Ohlsson. 2019. "Irregular Dietary Habits with a High Intake of Cereals and Sweets Are Associated with More Severe Gastrointestinal Symptoms in IBS Patients" Nutrients 11, no. 6: 1279. https://doi.org/10.3390/nu11061279
APA StyleNilholm, C., Larsson, E., Roth, B., Gustafsson, R., & Ohlsson, B. (2019). Irregular Dietary Habits with a High Intake of Cereals and Sweets Are Associated with More Severe Gastrointestinal Symptoms in IBS Patients. Nutrients, 11(6), 1279. https://doi.org/10.3390/nu11061279

