Association of Dietary n3 and n6 Fatty Acids Intake with Hypertension: NHANES 2007–2014
Abstract
1. Introduction
2. Materials and Methods
2.1. Data Source and Study Population
2.2. Blood Pressure and Definition of Hypertension
2.3. Dietary n3 and n6 Fatty Acids Intake
2.4. Covariates
2.5. Statistical Analysis
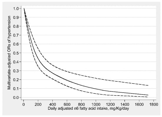
3. Results
4. Discussion
5. Conclusions
Author Contributions
Funding
Conflicts of Interest
References
- Kearney, P.M.; Whelton, M.; Reynolds, K.; Muntner, P.; Whelton, P.K.; He, J. Global Burden of Hypertension: Analysis of Worldwide Data. Lancet 2005, 365, 217–223. [Google Scholar] [CrossRef]
- Zhang, Y.; Moran, A.E. Trends in the Prevalence, Awareness, Treatment, and Control of Hypertension among Young Adults in the United States, 1999 to 2014. Hypertension 2017, 70, 736–742. [Google Scholar] [CrossRef]
- Benjamin, E.J.; Blaha, M.J.; Chiuve, S.E.; Cushman, M.; Das, S.R.; Deo, R.; de Ferranti, S.D.; Floyd, J.; Fornage, M.; Gillespie, C.; et al. Heart Disease and Stroke Statistics-2017 Update: A Report from the American Heart Association. Circulation 2017, 135, 146–603. [Google Scholar] [CrossRef] [PubMed]
- Lim, S.S.; Vos, T.; Flaxman, A.D.; Danaei, G.; Shibuya, K.; Adair-Rohani, H.; Amann, M.; Anderson, H.R.; Andrews, K.G.; Aryee, M.; et al. A Comparative Risk Assessment of Burden of Disease and Injury Attributable to 67 Risk Factors and Risk Factor Clusters in 21 Regions, 1990-2010: A Systematic Analysis for the Global Burden of Disease Study 2010. Lancet 2012, 380, 2224–2260. [Google Scholar] [CrossRef]
- Ninomiya, T. Risk of Stroke in Kidney Disease. Contrib. Nephrol. 2013, 179, 58–66. [Google Scholar] [PubMed]
- Hisham, N.F.; Bayraktutan, U. Epidemiology, Pathophysiology, and Treatment of Hypertension in Ischaemic Stroke Patients. J. Stroke Cerebrovasc. Dis. 2013, 22, 4–14. [Google Scholar] [CrossRef] [PubMed]
- Faraco, G.; Iadecola, C. Hypertension: A Harbinger of Stroke and Dementia. Hypertension 2013, 62, 810–817. [Google Scholar] [CrossRef]
- Ljutic, D.; Kes, P. The Role of Arterial Hypertension in the Progression of Non-Diabetic Glomerular Diseases. Nephrol. Dial. Transplant. 2003, 18, 28–30. [Google Scholar] [CrossRef] [PubMed][Green Version]
- Chen, J.; Zhang, C.; Wu, Y.; Zhang, D. Association between Hypertension and the Risk of Parkinson’s Disease: A Meta-Analysis of Analytical Studies. Neuroepidemiology 2019, 52, 181–192. [Google Scholar] [CrossRef]
- Whelton, P.K.; Carey, R.M.; Aronow, W.S.; Casey, D.E., Jr.; Collins, K.J.; Himmelfarb, C.D.; DePalma, S.M.; Gidding, S.; Jamerson, K.A.; Jones, D.W.; et al. 2017 Acc/Aha/Aapa/Abc/Acpm/Ags/Apha/Ash/Aspc/Nma/Pcna Guideline for the Prevention, Detection, Evaluation, and Management of High Blood Pressure in Adults: A Report of the American College of Cardiology/American Heart Association Task Force on Clinical Practice Guidelines. J. Am. Coll. Cardiol. 2018, 71, 127–248. [Google Scholar]
- Wu, L.; Sun, D.; He, Y. Fruit and Vegetables Consumption and Incident Hypertension: Dose-Response Meta-Analysis of Prospective Cohort Studies. J. Hum. Hypertens. 2016, 30, 573–580. [Google Scholar] [CrossRef] [PubMed]
- Li, B.; Li, F.; Wang, L.; Zhang, D. Fruit and Vegetables Consumption and Risk of Hypertension: A Meta-Analysis. J. Clin. Hypertens. (Greenwich) 2016, 18, 468–476. [Google Scholar] [CrossRef] [PubMed]
- Borgi, L.; Muraki, I.; Satija, A.; Willett, W.C.; Rimm, E.B.; Forman, J.P. Fruit and Vegetable Consumption and the Incidence of Hypertension in Three Prospective Cohort Studies. Hypertension 2016, 67, 288–293. [Google Scholar] [CrossRef] [PubMed]
- Lelong, H.; Blacher, J.; Baudry, J.; Adriouch, S.; Galan, P.; Fezeu, L.; Hercberg, S.; Kesse-Guyot, E. Individual and Combined Effects of Dietary Factors on Risk of Incident Hypertension: Prospective Analysis from the Nutrinet-Sante Cohort. Hypertension 2017, 70, 712–720. [Google Scholar] [CrossRef] [PubMed]
- Sun, B.; Shi, X.; Wang, T.; Zhang, D. Exploration of the Association between Dietary Fiber Intake and Hypertension among U.S. Adults Using 2017 American College of Cardiology/American Heart Association Blood Pressure Guidelines: Nhanes 2007(–)2014. Nutrients 2018, 10, 1091. [Google Scholar] [CrossRef]
- Yao, J.; Hu, P.; Zhang, D. Associations between Copper and Zinc and Risk of Hypertension in Us Adults. Biol. Trace Elem. Res. 2018, 186, 346–353. [Google Scholar] [CrossRef]
- Nakamura, H.; Hara, A.; Tsujiguchi, H.; Nguyen, T.T.T. Relationship between Dietary N-6 Fatty Acid Intake and Hypertension: Effect of Glycated Hemoglobin Levels. Nutrients 2018, 10, 1825. [Google Scholar] [CrossRef]
- Kambayashi, Y.; Miyagi, S.; Yamada, Y.; Suzuki, K.; Shimizu, Y.; Nakamura, H.; Colussi, G.; Catena, C.; Novello, M.; Bertin, N.; et al. Impact of Omega-3 Polyunsaturated Fatty Acids on Vascular Function and Blood Pressure: Relevance for Cardiovascular Outcomes. Nutrients 2017, 27, 191–200. [Google Scholar]
- Cao, Y.; Lu, L.; Liang, J.; Liu, M.; Li, X.; Sun, R.; Zheng, Y.; Zhang, P. Omega-3 Fatty Acids and Primary and Secondary Prevention of Cardiovascular Disease. Cell Biochem. Biophys. 2015, 72, 77–81. [Google Scholar] [CrossRef]
- Lorente-Cebrian, S.; Costa, A.G.; Navas-Carretero, S.; Zabala, M.; Martinez, J.A.; Moreno-Aliaga, M.J. Role of Omega-3 Fatty Acids in Obesity, Metabolic Syndrome, and Cardiovascular Diseases: A Review of the Evidence. J. Physiol. Biochem. 2013, 69, 633–651. [Google Scholar] [CrossRef]
- Maki, K.C.; Dicklin, M.R. Omega-3 Fatty Acid Supplementation and Cardiovascular Disease Risk: Glass Half Full or Time to Nail the Coffin Shut? Nutrients 2018, 10, 864. [Google Scholar] [CrossRef]
- Elagizi, A.; Lavie, C.J.; Marshall, K.; DiNicolantonio, J.J.; O’Keefe, J.H.; Milani, R.V. Omega-3 Polyunsaturated Fatty Acids and Cardiovascular Health: A Comprehensive Review. Prog. Cardiovasc Dis. 2018, 61, 76–85. [Google Scholar] [CrossRef] [PubMed]
- Tortosa-Caparros, E.; Navas-Carrillo, D.; Marin, F.; Orenes-Pinero, E. Anti-Inflammatory Effects of Omega 3 and Omega 6 Polyunsaturated Fatty Acids in Cardiovascular Disease and Metabolic Syndrome. Crit. Rev. Food Sci. Nutr. 2017, 57, 3421–3429. [Google Scholar] [CrossRef] [PubMed]
- Delgado, G.E.; Marz, W.; Lorkowski, S.; von Schacky, C.; Kleber, M.E. Omega-6 Fatty Acids: Opposing Associations with Risk-the Ludwigshafen Risk and Cardiovascular Health Study. J. Clin. Lipidol. 2017, 11, 1082–1090. [Google Scholar] [CrossRef] [PubMed]
- Balk, E.M.; Lichtenstein, A.H. Omega-3 Fatty Acids and Cardiovascular Disease: Summary of the 2016 Agency of Healthcare Research and Quality Evidence Review. Nutrients 2017, 9, 865. [Google Scholar] [CrossRef]
- Simopoulos, A.P. An Increase in the Omega-6/Omega-3 Fatty Acid Ratio Increases the Risk for Obesity. Nutrients 2016, 8, 128. [Google Scholar] [CrossRef]
- Martinez-Fernandez, L.; Laiglesia, L.M.; Huerta, A.E.; Martinez, J.A.; Moreno-Aliaga, M.J. Omega-3 Fatty Acids and Adipose Tissue Function in Obesity and Metabolic Syndrome. Prostaglandins Lipid Mediat. 2015, 121, 24–41. [Google Scholar] [CrossRef]
- Albracht-Schulte, K.; Kalupahana, N.S.; Ramalingam, L.; Wang, S.; Rahman, S.M.; Robert-McComb, J.; Moustaid-Moussa, N. Omega-3 Fatty Acids in Obesity and Metabolic Syndrome: A Mechanistic Update. Psychopharmacology (Berl) 2018, 58, 1–16. [Google Scholar] [CrossRef]
- Yary, T.; Voutilainen, S.; Tuomainen, T.P.; Ruusunen, A.; Nurmi, T.; Virtanen, J.K. Omega-6 Polyunsaturated Fatty Acids, Serum Zinc, Delta-5-and Delta-6-Desaturase Activities and Incident Metabolic Syndrome. J. Hum. Nutr. Diet. 2017, 30, 506–514. [Google Scholar] [CrossRef]
- Brayner, B.; Kaur, G.; Keske, M.A.; Livingstone, K.M. Fads Polymorphism, Omega-3 Fatty Acids and Diabetes Risk: A Systematic Review. Nutrients 2018, 10, 758. [Google Scholar] [CrossRef] [PubMed]
- Jamilian, M.; Samimi, M.; Ebrahimi, F.A.; Hashemi, T.; Taghizadeh, M.; Razavi, M.; Sanami, M.; Asemi, Z. The Effects of Vitamin D and Omega-3 Fatty Acid Co-Supplementation on Glycemic Control and Lipid Concentrations in Patients with Gestational Diabetes. Nutrients 2017, 11, 459–468. [Google Scholar] [CrossRef] [PubMed]
- Chen, C.; Yang, Y.; Yu, X.; Hu, S.; Shao, S. Association between Omega-3 Fatty Acids Consumption and the Risk of Type 2 Diabetes: A Meta-Analysis of Cohort Studies. J. Diabetes Investig. 2017, 8, 480–488. [Google Scholar] [CrossRef]
- Thota, R.N.; Acharya, S.H.; Abbott, K.A.; Garg, M.L. Curcumin and Long-Chain Omega-3 Polyunsaturated Fatty Acids for Prevention of Type 2 Diabetes (Cop-D): Study Protocol for a Randomised Controlled Trial. Trials 2016, 17, 565. [Google Scholar] [CrossRef]
- Strom, M.; Halldorsson, T.I.; Mortensen, E.L.; Torp-Pedersen, C.; Olsen, S.F. Fish, N-3 Fatty Acids, and Cardiovascular Diseases in Women of Reproductive Age: A Prospective Study in a Large National Cohort. Hypertension 2012, 59, 36–43. [Google Scholar] [CrossRef]
- Levinson, P.D.; Iosiphidis, A.H.; Saritelli, A.L.; Herbert, P.N.; Steiner, M. Effects of N-3 Fatty Acids in Essential Hypertension. Am. J. Hypertens. 1990, 3, 754–760. [Google Scholar] [CrossRef] [PubMed]
- Knapp, H.R.; FitzGerald, G.A. The Antihypertensive Effects of Fish Oil. A Controlled Study of Polyunsaturated Fatty Acid Supplements in Essential Hypertension. N. Engl. J. Med. 1989, 320, 1037–1043. [Google Scholar] [CrossRef] [PubMed]
- Mirmiran, P.; Hosseinpour-Niazi, S.; Naderi, Z.; Bahadoran, Z.; Sadeghi, M.; Azizi, F. Association between Interaction and Ratio of Omega-3 and Omega-6 Polyunsaturated Fatty Acid and the Metabolic Syndrome in Adults. Nutrition 2012, 28, 856–863. [Google Scholar] [CrossRef]
- Wang, L.; Manson, J.E.; Forman, J.P.; Gaziano, J.M.; Buring, J.E.; Sesso, H.D. Dietary Fatty Acids and the Risk of Hypertension in Middle-Aged and Older Women. Hypertension 2010, 56, 598–604. [Google Scholar] [CrossRef]
- Djousse, L.; Arnett, D.K.; Pankow, J.S.; Hopkins, P.N.; Province, M.A.; Ellison, R.C. Dietary Linolenic Acid Is Associated with a Lower Prevalence of Hypertension in the Nhlbi Family Heart Study. Hypertension 2005, 45, 368–373. [Google Scholar] [CrossRef]
- Centers for Disease, Control, and Prevention. Physician Examination Procedures Manual. Available online: https://www.cdc.gov/nchs/data/nhanes/nhanes_05_06/PE.Pdf (accessed on 26 July 2018).
- Naqvi, A.Z.; Davis, R.B.; Mukamal, K.J. Dietary Fatty Acids and Peripheral Artery Disease in Adults. Atherosclerosis 2012, 222, 545–550. [Google Scholar] [CrossRef]
- U.S. Department of Agriculture, Agricultural Research Service. Usda Food and Nutrient Database for Dietary Studies. Available online: https://Www.Cdc.Gov/Nchs/Tutorials/Dietary/Surveyorientation/ Resourcedietaryanalysis/Intro.Htm (accessed on 26 July 2018).
- Ueshima, H.; Stamler, J.; Elliott, P.; Chan, Q.; Brown, I.J.; Carnethon, M.R.; Daviglus, M.L.; He, K.; Moag-Stahlberg, A.; Rodriguez, B.L.; et al. Food Omega-3 Fatty Acid Intake of Individuals (Total, Linolenic Acid, Long-Chain) and Their Blood Pressure: Intermap Study. Hypertension 2007, 50, 313–319. [Google Scholar] [CrossRef] [PubMed]
- Appel, L.J.; Miller, E.R., 3rd; Seidler, A.J.; Whelton, P.K. Does Supplementation of Diet with ‘Fish Oil’ Reduce Blood Pressure? A Meta-Analysis of Controlled Clinical Trials. Arch. Intern. Med. 1993, 153, 1429–1438. [Google Scholar] [CrossRef]
- Skilton, M.R.; Raitakari, O.T.; Celermajer, D.S. High Intake of Dietary Long-Chain Omega-3 Fatty Acids Is Associated with Lower Blood Pressure in Children Born with Low Birth Weight: Nhanes 2003–2008. Hypertension 2013, 61, 972–976. [Google Scholar] [CrossRef]
- Nestel, P.; Shige, H.; Pomeroy, S.; Cehun, M.; Abbey, M.; Raederstorff, D. The N-3 Fatty Acids Eicosapentaenoic Acid and Docosahexaenoic Acid Increase Systemic Arterial Compliance in Humans. Am. J. Clin. Nutr. 2002, 76, 326–330. [Google Scholar] [CrossRef] [PubMed]
- Knapp, H.R. Dietary Fatty Acids in Human Thrombosis and Hemostasis. Am. J. Clin. Nutr. 1997, 65, 1687–1698. [Google Scholar] [CrossRef]
- Mori, T.A. Effect of Fish and Fish Oil-Derived Omega-3 Fatty Acids on Lipid Oxidation. Redox Rep. 2004, 9, 193–197. [Google Scholar] [CrossRef]
- Hoffmann, P.; Block, H.U.; Beitz, J.; Taube, C.; Forster, W.; Wortha, P.; Singer, P.; Naumann, E.; Heine, H. Comparative Study of the Blood Pressure Effects of Four Different Vegetable Fats on Young, Spontaneously Hypertensive Rats. Lipids 1986, 21, 733–737. [Google Scholar] [CrossRef]
- Rupp, H.; Turcani, M.; Ohkubo, T.; Maisch, B.; Brilla, C.G. Dietary Linolenic Acid-Mediated Increase in Vascular Prostacyclin Formation. Mol. Cell. Biochem. 1996, 162, 59–64. [Google Scholar] [CrossRef]
- Petersson, H.; Basu, S.; Cederholm, T.; Riserus, U. Serum Fatty Acid Composition and Indices of Stearoyl-Coa Desaturase Activity Are Associated with Systemic Inflammation: Longitudinal Analyses in Middle-Aged Men. Br. J. Nutr. 2008, 99, 1186–1189. [Google Scholar] [CrossRef]
- Petersson, H.; Lind, L.; Hulthe, J.; Elmgren, A.; Cederholm, T.; Riserus, U. Relationships between Serum Fatty Acid Composition and Multiple Markers of Inflammation and Endothelial Function in an Elderly Population. Atherosclerosis 2009, 203, 298–303. [Google Scholar] [CrossRef]
- Shimokawa, H.; Vanhoutte, P.M. Dietary Omega 3 Fatty Acids and Endothelium-Dependent Relaxations in Porcine Coronary Arteries. Am. J. Physiol. 1989, 256, 968–973. [Google Scholar] [CrossRef]
- Chu, Z.M.; Yin, K.; Beilin, L.J. Fish Oil Feeding Selectively Attenuates Contractile Responses to Noradrenaline and Electrical Stimulation in the Perfused Mesenteric Resistance Vessels of Spontaneously Hypertensive Rats. Clin. Exp. Pharmacol. Physiol. 1992, 19, 177–181. [Google Scholar] [CrossRef]
- Fischer, R.; Dechend, R.; Qadri, F.; Markovic, M.; Feldt, S.; Herse, F.; Park, J.K.; Gapelyuk, A.; Schwarz, I.; Zacharzowsky, U.B.; et al. Dietary N-3 Polyunsaturated Fatty Acids and Direct Renin Inhibition Improve Electrical Remodeling in a Model of High Human Renin Hypertension. Hypertension 2008, 51, 540–546. [Google Scholar] [CrossRef]
- Echeverria, F.; Ortiz, M.; Valenzuela, R.; Videla, L.A. Long-Chain Polyunsaturated Fatty Acids Regulation of Ppars, Signaling: Relationship to Tissue Development and Aging. Prostaglandins Leukot. Essent. Fatty Acids 2016, 114, 28–34. [Google Scholar] [CrossRef]
- Lasztity, N.; Hamvas, J.; Biro, L.; Nemeth, E.; Marosvolgyi, T.; Decsi, T.; Pap, A.; Antal, M. Effect of Enterally Administered N-3 Polyunsaturated Fatty Acids in Acute Pancreatitis—A Prospective Randomized Clinical Trial. Clin. Nutr. 2005, 24, 198–205. [Google Scholar] [CrossRef]
- Huang, T.; Wahlqvist, M.L.; Li, D. Docosahexaenoic Acid Decreases Plasma Homocysteine Via Regulating Enzyme Activity and Mrna Expression Involved in Methionine Metabolism. Nutrition 2010, 26, 112–119. [Google Scholar] [CrossRef]
- Vessby, B. Dietary Fat, Fatty Acid Composition in Plasma and the Metabolic Syndrome. Curr. Opin. Lipidol. 2003, 14, 15–19. [Google Scholar] [CrossRef]



| Non-Hypertension | Hypertension | p Value | |
|---|---|---|---|
| Number of Participants (%) | 9458 (51.3) | 8976 (48.7) | |
| Age group (%) 1 | <0.01 | ||
| 18–39 years | 5212 (55.1) | 1245 (13.9) | |
| 40–59 years | 2956 (31.3) | 3026 (33.7) | |
| 60–79 years | 1127 (11.9) | 3783 (42.1) | |
| ≥80 years | 163 (1.7) | 922 (10.3) | |
| Gender (%) 1 | <0.01 | ||
| Male | 4403 (46.6) | 4613 (51.4) | |
| Female | 5055 (53.4) | 4363 (48.6) | |
| Race (%) 1 | <0.01 | ||
| Mexican American | 1670 (17.7) | 1041 (11.6) | |
| Other Hispanic | 1083 (11.5) | 767 (8.5) | |
| Non-Hispanic White | 4108 (43.4) | 4254 (47.4) | |
| Non-Hispanic Black | 1584 (16.7) | 2302 (25.6) | |
| Other race | 1013 (10.7) | 612 (6.8) | |
| Educational level (%) 1 | <0.01 | ||
| Below high school | 2197 (23.2) | 2435 (27.2) | |
| High school | 2061 (21.8) | 2233 (24.9) | |
| Above high school | 5192 (54.9) | 4299 (27.9) | |
| Marital status (%) 1 | 0.706 | ||
| Married/Living with partner | 5141 (59.6) | 5276 (59.4) | |
| Widowed/Divorced/Separated/Never married | 3478 (40.4) | 3611 (40.6) | |
| Household income (%) 1 | <0.01 | ||
| <$20,000 | 1770 (19.5) | 2067 (23.9) | |
| ≥$20,000 | 7293 (80.5) | 6570 (76.1) | |
| Body mass index (%) 1 | <0.01 | ||
| <25 kg/m2 | 3660 (38.7) | 1850 (20.7) | |
| 25 to <30 kg/m2 | 3113 (32.9) | 2917 (32.6) | |
| ≥30 kg/m2 | 2677 (28.3) | 4179 (46.7) | |
| Work activity (%) 1 | <0.01 | ||
| Vigorous activity | 1871 (19.8) | 1470 (16.4) | |
| Moderate activity | 2118 (22.4) | 1861 (20.7) | |
| Other | 5469 (57.8) | 5645 (62.9) | |
| Recreational activity (%) 1 | <0.01 | ||
| Vigorous activity | 2815 (29.8) | 1216 (13.5) | |
| Moderate activity | 2414 (25.5) | 2524 (28.1) | |
| Other | 4229 (44.7) | 5236 (58.3) | |
| Smoking at least 100 cigarettes in life (%) 1 | 3663 (38.7) | 4287 (47.8) | <0.01 |
| Have at least 12 alcohol drinks/year (%) 1 | 6351 (67.1) | 6013 (67.0) | 0.818 |
| Diabetes (%) 1 | 446 (4.7) | 1757 (19.6) | <0.01 |
| Total energy intake (kcal/day) 2 | 1977 (1043) | 1837.5 (957.5) | <0.01 |
| Total adjusted n3 fatty acid intake (mg/kg/day) 2 | 20.37 (16.05) | 17.51 (13.92) | <0.01 |
| Total adjusted n6 fatty acid intake (mg/kg/day) 2 | 189.16 (141.81) | 159.24 (121.98) | <0.01 |
| n6:n3 ratio 2 | 9.11 (3.17) | 8.91 (3.05) | <0.01 |
| Case/Participants | Crude 1 | Model 1 1 | Model 2 1 | |
|---|---|---|---|---|
| Adjusted n3 (mg/Kg/day) | ||||
| <14.65 | 3398/6138 | 1.00 (Ref.) | 1.00 (Ref.) | 1.00 (Ref.) |
| 14.65 to <24.32 | 3036/6158 | 0.79 (0.71–0.88) ** | 0.78 (0.68–0.90) ** | 0.78 (0.67–0.91) ** |
| ≥24.32 | 2542/6138 | 0.62 (0.56–0.69) ** | 0.58 (0.52–0.65) ** | 0.58 (0.49–0.68) ** |
| Adjusted n6 (mg/Kg/day) | ||||
| <135.78 | 3460/6138 | 1.00 (Ref.) | 1.00 (Ref.) | 1.00 (Ref.) |
| 135.78 to <221.11 | 3029/6158 | 0.75 (0.68–0.83) ** | 0.71 (0.62–0.80) ** | 0.70 (0.62–0.80) ** |
| ≥221.11 | 2487/6138 | 0.58 (0.53–0.64) ** | 0.58 (0.52–0.65) ** | 0.53 (0.45–0.63) ** |
| n6:n3 ratio | ||||
| <8.11 | 3143/6138 | 1.00 (Ref.) | 1.00 (Ref.) | 1.00 (Ref.) |
| 8.11 to <10.04 | 3023/6158 | 1.00 (0.91–1.10) | 1.13 (1.01–1.26) * | 1.10 (0.99–1.23) |
| ≥10.04 | 2810/6138 | 0.82 (0.73–0.93) ** | 0.96 (0.84–1.09) | 0.92 (0.80–1.06) |
| Male | Female | |||||
|---|---|---|---|---|---|---|
| Crude 1 | Model 1 1 | Model 1 | Crude 1 | Model 1 1 | Model 2 1 | |
| Adjusted n3 (mg/Kg/day) | ||||||
| <14.65 | 1.00 (Ref.) | 1.00 (Ref.) | 1.00 (Ref.) | 1.00 (Ref.) | 1.00 (Ref.) | 1.00 (Ref.) |
| 14.65 to <24.32 | 0.74 (0.64–0.87) ** | 0.77 (0.64–0.93) ** | 0.77 (0.63–0.95) * | 0.81 (0.69–0.96) * | 0.78 (0.64–0.95) * | 0.78 (0.63–0.97) * |
| ≥24.32 | 0.60 (0.51–0.71) ** | 0.61 (0.51–0.73) ** | 0.61 (0.48–0.79) ** | 0.62 (0.53–0.72) ** | 0.54 (0.46–0.65) ** | 0.53 (0.41–0.68) ** |
| Adjusted n6 (mg/Kg/day) | ||||||
| <135.78 | 1.00 (Ref.) | 1.00 (Ref.) | 1.00 (Ref.) | 1.00 (Ref.) | 1.00 (Ref.) | 1.00 (Ref.) |
| 135.78 to <221.11 | 0.66 (0.56–0.77) ** | 0.65 (0.54–0.78) ** | 0.63 (0.52–0.75) ** | 0.81 (0.68–0.96) * | 0.76 (0.62–0.92) ** | 0.76 (0.61–0.96) * |
| ≥221.11 | 0.53 (0.46–0.61) ** | 0.56 (0.47–0.66) ** | 0.49 (0.38–0.63) ** | 0.60 (0.51–0.70) ** | 0.59 (0.49–0.70) ** | 0.56 (0.43–0.72) ** |
| n6:n3 ratio | ||||||
| <8.11 | 1.00 (Ref.) | 1.00 (Ref.) | 1.00 (Ref.) | 1.00 (Ref.) | 1.00 (Ref.) | 1.00 (Ref.) |
| 8.11 to <10.04 | 0.94 (0.81–1.08) | 1.07 (0.91–1.25) | 1.05 (0.90–1.24) | 1.06 (0.91–1.23) | 1.18 (0.98–1.42) | 1.14 (0.95–1.38) |
| ≥10.04 | 0.80 (0.68–0.95) * | 0.90 (0.76–1.08) | 0.87 (0.73–1.05) | 0.83 (0.70–0.97) * | 1.02 (0.84–1.24) | 0.98 (0.81–1.20) |
| Hypertension | Stage 1 Hypertension | Stage 2 Hypertension | |||||||
|---|---|---|---|---|---|---|---|---|---|
| Crude 1 | Model 1 1 | Model 2 1 | Crude 2 | Model 1 2 | Model 2 2 | Crude 2 | Model 1 2 | Model 2 2 | |
| Adjusted n3 (mg/Kg/day) | |||||||||
| <15.46 | 1.00 (Ref.) | 1.00 (Ref.) | 1.00 (Ref.) | 1.00 (Ref.) | 1.00 (Ref.) | 1.00 (Ref.) | 1.00 (Ref.) | 1.00 (Ref.) | 1.00 (Ref.) |
| 15.46 to <25.58 | 0.82 (0.71–0.96) * | 0.81 (0.69–0.96) * | 0.76 (0.64–0.91) ** | 0.89 (0.80–1.01) | 0.86 (0.77–0.97) * | 0.82 (0.72–0.93) ** | 0.86 (0.74–0.99) * | 0.86 (0.74–1.01) | 0.82 (0.69–0.96) * |
| ≥25.58 | 0.71 (0.62–0.80) ** | 0.67 (0.59–0.77) ** | 0.60 (0.50–0.73) ** | 0.73 (0.64–0.82) ** | 0.70 (0.62–0.80) ** | 0.63 (0.54–0.74) ** | 0.64 (0.55–0.75) ** | 0.66 (0.56–0.77) ** | 0.63 (0.51–0.77) ** |
| Adjusted n6 (mg/Kg/day) | |||||||||
| <144.81 | 1.00 (Ref.) | 1.00 (Ref.) | 1.00 (Ref.) | 1.00 (Ref.) | 1.00 (Ref.) | 1.00 (Ref.) | 1.00 (Ref.) | 1.00 (Ref.) | 1.00 (Ref.) |
| 144.81 to <233.31 | 0.79 (0.69–0.90) ** | 0.75 (0.65–0.86) ** | 0.69 (0.59–0.80) ** | 0.85 (0.75–0.95) ** | 0.82 (0.73–0.93) ** | 0.77 (0.68–0.88) ** | 0.69 (0.60–0.80) ** | 0.71 (0.61–0.83) ** | 0.66 (0.56–0.78) ** |
| ≥233.31 | 0.65 (0.57–0.73) ** | 0.63 (0.55–0.71) ** | 0.52 (0.43–0.62) ** | 0.70 (0.62–0.78) ** | 0.70 (0.62–0.79) ** | 0.57 (0.49–0.67) ** | 0.54 (0.46–0.63) ** | 0.62 (0.52–0.73) ** | 0.54 (0.44–0.67) ** |
| n6:n3 ratio | |||||||||
| <8.17 | 1.00 (Ref.) | 1.00 (Ref.) | 1.00 (Ref.) | 1.00 (Ref.) | 1.00 (Ref.) | 1.00 (Ref.) | 1.00 (Ref.) | 1.00 (Ref.) | 1.00 (Ref.) |
| 8.17 to <10.13 | 1.07 (0.93–1.23) | 1.16 (1.00–1.35) | 1.15 (0.99–1.33) | 0.98 (0.87–1.10) | 1.06 (0.94–1.19) | 1.04 (0.92–1.18) | 0.86 (0.75–1.00) | 1.03 (0.88–1.21) | 0.99 (0.84–1.17) |
| ≥10.13 | 0.90 (0.77–1.06) | 0.97 (0.81–1.14) | 0.95 (0.79–1.14) | 0.93 (0.83–1.05) | 1.00 (0.89–1.14) | 0.96 (0.85–1.09) | 0.73 (0.63–0.85) ** | 0.91 (0.78–1.08) | 0.85 (0.72–1.01) |
© 2019 by the authors. Licensee MDPI, Basel, Switzerland. This article is an open access article distributed under the terms and conditions of the Creative Commons Attribution (CC BY) license (http://creativecommons.org/licenses/by/4.0/).
Share and Cite
Chen, J.; Sun, B.; Zhang, D. Association of Dietary n3 and n6 Fatty Acids Intake with Hypertension: NHANES 2007–2014. Nutrients 2019, 11, 1232. https://doi.org/10.3390/nu11061232
Chen J, Sun B, Zhang D. Association of Dietary n3 and n6 Fatty Acids Intake with Hypertension: NHANES 2007–2014. Nutrients. 2019; 11(6):1232. https://doi.org/10.3390/nu11061232
Chicago/Turabian StyleChen, Jiahao, Baoqi Sun, and Dongfeng Zhang. 2019. "Association of Dietary n3 and n6 Fatty Acids Intake with Hypertension: NHANES 2007–2014" Nutrients 11, no. 6: 1232. https://doi.org/10.3390/nu11061232
APA StyleChen, J., Sun, B., & Zhang, D. (2019). Association of Dietary n3 and n6 Fatty Acids Intake with Hypertension: NHANES 2007–2014. Nutrients, 11(6), 1232. https://doi.org/10.3390/nu11061232

