Effect of Protein-Fortified Diet on Nitrogen Balance in Critically Ill Patients: Results from the OPINiB Trial
Abstract
1. Introduction
2. Materials and Methods
2.1. Study Design
2.2. Experimental Procedure
2.3. Data Collection
2.4. Outcomes
2.5. Ethics
2.6. Sample Size
2.7. Statistical Analysis
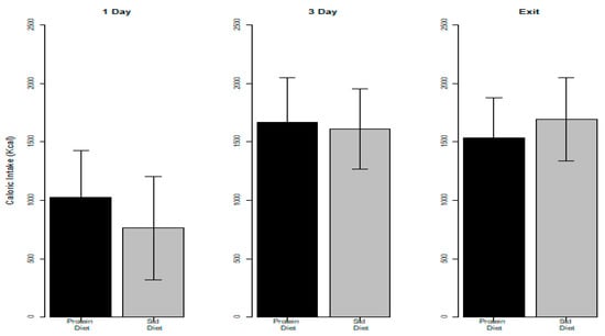
3. Results
4. Discussion
Study Limitations
5. Conclusions
Author Contributions
Funding
Acknowledgments
Conflicts of Interest
References
- Kreymann, G.; DeLegge, M.H.; Luft, G.; Hise, M.E.; Zaloga, G.P. The ratio of energy expenditure to nitrogen loss in diverse patient groups–A systematic review. Clin. Nuti. 2012, 31, 168–175. [Google Scholar] [CrossRef]
- Battezzati, A.; Viganò, R. Indirect calorimetry and nutritional problems in clinical practice. Acta. Diabetol. 2001, 38, 1–5. [Google Scholar] [CrossRef]
- Dickerson, R.N. Nitrogen balance and protein requirements for critically ill older patients. Nutrients 2016, 8, 226. [Google Scholar] [CrossRef] [PubMed]
- McClave, S.A.; Taylor, B.E.; Martindale, R.G.; Warren, M.M.; Johnson, D.R.; Braunschweig, C.; McCarthy, M.S.; Davanos, E.; Rice, T.W.; Cresci, G.A. Guidelines for the provision and assessment of nutrition support therapy in the adult critically ill patient: Society of critical care medicine (sccm) and american society for parenteral and enteral nutrition (aspen). J. Parenter. Enter. Nutr. 2016, 40, 159–211. [Google Scholar] [CrossRef]
- Ferrie, S.; Allman-Farinelli, M.; Daley, M.; Smith, K. Protein requirements in the critically ill: A randomized controlled trial using parenteral nutrition. J. Parenter. Enter. Nutr. 2016, 40, 795–805. [Google Scholar] [CrossRef] [PubMed]
- Japur, C.C.; Monteiro, J.P.; Marchini, J.S.; Garcia, R.W.D.; Basile-Filho, A. Can an adequate energy intake be able to reverse the negative nitrogen balance in mechanically ventilated critically ill patients? J. Crit. Care 2010, 25, 445–450. [Google Scholar] [CrossRef]
- Van Schijndel, R.J.S.; Weijs, P.J.; Koopmans, R.H.; Sauerwein, H.P.; Beishuizen, A.; Girbes, A.R. Optimal nutrition during the period of mechanical ventilation decreases mortality in critically ill, long-term acute female patients: A prospective observational cohort study. Crit. Care 2009, 13, R132. [Google Scholar] [CrossRef]
- Allingstrup, M.J.; Esmailzadeh, N.; Knudsen, A.W.; Espersen, K.; Jensen, T.H.; Wiis, J.; Perner, A.; Kondrup, J. Provision of protein and energy in relation to measured requirements in intensive care patients. Clin. Nuti. 2012, 31, 462–468. [Google Scholar] [CrossRef] [PubMed]
- Picolo, M.F.; Lago, A.F.; Menegueti, M.G.; Nicolini, E.A.; Basile-Filho, A.; Nunes, A.A.; Martins-Filho, O.A.; Auxiliadora-Martins, M. Harris-benedict equation and resting energy expenditure estimates in critically ill ventilator patients. Am. J. Crit. Care 2016, 25, e21–e29. [Google Scholar] [CrossRef]
- Danielis, M.; Lorenzoni, G.; Cavaliere, L.; Ruffolo, M.; Peressoni, L.; De Monte, A.; Muzzi, R.; Beltrame, F.; Gregori, D. Optimizing protein intake and nitrogen balance (opinib) in adult critically ill patients: A study protocol for a randomized controlled trial. JMIR Res. Protoc. 2017, 6, e78. [Google Scholar] [CrossRef] [PubMed]
- WHO. Obesity: Preventing and Managing the Global Epidemic; World Health Organization: Geneva, Switzerland, 2000. [Google Scholar]
- Berger, M.M.; Cayeux, M.-C.; Schaller, M.-D.; Soguel, L.; Piazza, G.; Chioléro, R.L. Stature estimation using the knee height determination in critically ill patients. E Spen Eur. E J. Clin. Nutr. Metab. 2008, 3, e84–e88. [Google Scholar] [CrossRef]
- Jivnani, S.; Iyer, S.; Umakumar, K.; Gore, M. Impact of enteral nutrition on nitrogen balance in patients of trauma. J. Emerg. Trauma Shock 2010, 3, 109. [Google Scholar]
- Harris, P.A.; Taylor, R.; Thielke, R.; Payne, J.; Gonzalez, N.; Conde, J.G. Research electronic data capture (redcap)—a metadata-driven methodology and workflow process for providing translational research informatics support. J. Biomed. Inform. 2009, 42, 377–381. [Google Scholar] [CrossRef] [PubMed]
- Benjamini, Y.; Hochberg, Y. Controlling the false discovery rate: A practical and powerful approach to multiple testing. J. R. Stat. Soc. Ser. B-Stat. Methodol. 1995, 57, 289–300. [Google Scholar] [CrossRef]
- R Core Team. R: A Language and Environment for Statistical Computing; R Foundation for Statistical Computing: Vienna, Austria, 2017. [Google Scholar]
- Helmreich, J.E. Regression modeling strategies with applications to linear models, logistic and ordinal regression and survival analysis. J. Stat. Softw. 2016, 70, 1–3. [Google Scholar] [CrossRef]
- Wickham, H. Ggplot2: Elegant Graphics for Data Analysis; Springer: New York, NY, USA, 2016. [Google Scholar]
- Hoffer, L.J.; Bistrian, B.R. What is the best nutritional support for critically ill patients? Hepatol. Surg. Nutr. 2014, 3, 172. [Google Scholar]
- Bendavid, I.; Zusman, O.; Kagan, I.; Theilla, M.; Cohen, J.; Singer, P. Early administration of protein in critically ill patients: A retrospective cohort study. Nutrients 2019, 11, 106. [Google Scholar] [CrossRef]
- Weijs, P.J.; Stapel, S.N.; Groot, S.D.; Driessen, R.H.; Jong, E.; Girbes, A.R.; Strack van Schijndel, R.J.; Beishuizen, A. Optimal protein and energy nutrition decreases mortality in mechanically ventilated, critically ill patients. J. Parenter. Enter. Nutr. 2012, 36, 60–68. [Google Scholar] [CrossRef] [PubMed]
- Scheinkestel, C.; Kar, L.; Marshall, K.; Bailey, M.; Davies, A.; Nyulasi, I.; Tuxen, D. Prospective randomized trial to assess caloric and protein needs of critically ill, anuric, ventilated patients requiring continuous renal replacement therapy. Nutrition 2003, 19, 909–916. [Google Scholar] [CrossRef]
- Wolfe, R.R.; Miller, S.L.; Miller, K.B. Optimal protein intake in the elderly. Clin. Nuti. 2008, 27, 675–684. [Google Scholar] [CrossRef] [PubMed]
- Beasley, J.M.; Katz, R.; Shlipak, M.; Rifkin, D.E.; Siscovick, D.; Kaplan, R. Dietary protein intake and change in estimated gfr in the cardiovascular health study. Nutrition 2014, 30, 794–799. [Google Scholar] [CrossRef]
- Zuo, X.-L.; Meng, F.-J. A care bundle for pressure ulcer treatment in intensive care units. Int. J. Nurs. Sci. 2015, 2, 340–347. [Google Scholar] [CrossRef]
- Shahin, E.S.; Dassen, T.; Halfens, R.J. Pressure ulcer prevalence and incidence in intensive care patients: A literature review. Nurs. Crit. Care 2008, 13, 71–79. [Google Scholar] [CrossRef]
- Theilla, M. Nutrition support for wound healing in the intensive care unit patient. World Rev. Nutr. Diet. 2013, 105, 179–189. [Google Scholar] [PubMed]
- Jensen, G.L.; Mirtallo, J.; Compher, C.; Dhaliwal, R.; Forbes, A.; Grijalba, R.F.; Hardy, G.; Kondrup, J.; Labadarios, D.; Nyulasi, I. Adult starvation and disease-related malnutrition: A proposal for etiology-based diagnosis in the clinical practice setting from the international consensus guideline committee. J. Parenter. Enter. Nutr. 2010, 34, 156–159. [Google Scholar] [CrossRef] [PubMed]
- Cunha, H.F.R.d.; Rocha, E.E.M.d.; Hissa, M. Protein requirements, morbidity and mortality in critically ill patients: Fundamentals and applications. Rev. Bras. Ter. Intensiva 2013, 25, 49–55. [Google Scholar] [CrossRef] [PubMed]
- Tomé, D.; Bos, C. Dietary protein and nitrogen utilization. J. Nutr. 2000, 130, 1868S–1873S. [Google Scholar] [CrossRef]




| Protein-Fortified Diet | Standard Diet | Overall | |
|---|---|---|---|
| n = 19 | n = 21 | n = 40 | |
| Age | 66.0 (57.0; 72.0) | 63.0 (46.0; 70.0) | 64.0 (50.5; 70.2) |
| Gender | |||
| Female | 42% (8) | 48% (10) | 45% (18) |
| Male | 58% (11) | 52% (11) | 55% (22) |
| BMI | 25.00 (23.00; 27.50) | 24.00 (21.00; 26.00) | 24.00 (21.75; 26.25) |
| Reason of admission to ICU | |||
| Organ failure | 37% (7) | 43% (9) | 40% (16) |
| Trauma | 26% (5) | 14% (3) | 20% (8) |
| Cerebrovascular disease | 21% (4) | 33% (7) | 28% (11) |
| Post-operative | 16% (3) | 10% (2) | 12% (5) |
| Comorbidities | |||
| Cerebrovascular insult | 5% (1) | 5% (1) | 5% (2) |
| Chronic obstructive pulmonary disease | 11% (2) | 10% (2) | 10% (4) |
| Coronary artery disease | 21% (4) | 10% (2) | 15% (6) |
| Diabetes | 26% (5) | 10% (2) | 18% (7) |
| Hypertension | 26% (5) | 33% (7) | 30% (12) |
| Anxiety and/or depression disorders | 5% (1) | 5% (1) | 5% (2) |
| Neoplasia | 0% (0) | 5% (1) | 2% (1) |
| At least 1 comorbidity | 58% (11) | 48% (10) | 52% (21) |
| Smoking habit | 0% (0) | 10% (2) | 5% (2) |
| APACHE 2 score | 17.00 (13.50; 22.00) | 17.00 (13.00; 22.00) | 17.00 (13.00; 22.00) |
| SAPS 2 score | 32.0 (28.0; 48.5) | 40.0 (31.0; 48.0) | 37.0 (29.8; 48.2) |
| Length of mechanical ventilation | 5.00 (4.00; 12.00) | 8.00 (6.00; 13.00) | 7.00 (5.00; 13.25) |
| Study exit | |||
| Acute renal or hepatic failure | 5% (1) | 0% (0) | 2% (1) |
| Death | 11% (2) | 33% (7) | 22% (9) |
| Transfer to another hospital | 21% (4) | 14% (3) | 18% (7) |
| Term of mechanical ventilation | 63% (12) | 52% (11) | 57% (23) |
| Protein-Fortified Diet | Standard Diet | Overall | p-value | |
|---|---|---|---|---|
| n = 19 | n = 21 | n = 40 | ||
| Day 1 | ||||
| Nitrogen balance (g) | −4.20 (−9.15; −2.20) | −11.80 (−14.10; −8.50) | −9.05 (−11.85; −4.10) | <0.001 |
| Creatinine (mg/dl) | 0.870 (0.555; 1.175) | 0.820 (0.560; 1.020) | 0.840 (0.558; 1.093) | 0.916 |
| ICU-acquired skin alterations | 11% (2) | 10% (2) | 10% (4) | 0.916 |
| Day 3 | ||||
| Nitrogen balance (g) | 0.50 (−2.15; 1.50) | −5.80 (−10.00; −1.90) | −2.35 (−7.97; 0.55) | 0.003 |
| Creatinine (mg/dl) | 0.79 (0.63; 1.03) | 0.63 (0.53; 0.96) | 0.75 (0.54; 1) | 0.336 |
| ICU-acquired skin alterations | 11% (2) | 24% (5) | 18% (7) | 0.336 |
| Study exit | ||||
| Nitrogen balance (g) | 0.1 (−3.4; 0.85) | −8.700 (−11.100; −5.200) | −5.15 (−9.05; 0.1) | <0.001 |
| Creatinine (mg/dl) | 0.8 (0.52; 0.99) | 0.6 (0.52; 0.77) | 0.69 (0.52; 0.9) | 0.523 |
| ICU-acquired skin alterations | 5% (1) | 38% (8) | 22% (9) | 0.013 |
© 2019 by the authors. Licensee MDPI, Basel, Switzerland. This article is an open access article distributed under the terms and conditions of the Creative Commons Attribution (CC BY) license (http://creativecommons.org/licenses/by/4.0/).
Share and Cite
Danielis, M.; Lorenzoni, G.; Azzolina, D.; Iacobucci, A.; Trombini, O.; De Monte, A.; Gregori, D.; Beltrame, F. Effect of Protein-Fortified Diet on Nitrogen Balance in Critically Ill Patients: Results from the OPINiB Trial. Nutrients 2019, 11, 972. https://doi.org/10.3390/nu11050972
Danielis M, Lorenzoni G, Azzolina D, Iacobucci A, Trombini O, De Monte A, Gregori D, Beltrame F. Effect of Protein-Fortified Diet on Nitrogen Balance in Critically Ill Patients: Results from the OPINiB Trial. Nutrients. 2019; 11(5):972. https://doi.org/10.3390/nu11050972
Chicago/Turabian StyleDanielis, Matteo, Giulia Lorenzoni, Danila Azzolina, Anna Iacobucci, Omar Trombini, Amato De Monte, Dario Gregori, and Fabio Beltrame. 2019. "Effect of Protein-Fortified Diet on Nitrogen Balance in Critically Ill Patients: Results from the OPINiB Trial" Nutrients 11, no. 5: 972. https://doi.org/10.3390/nu11050972
APA StyleDanielis, M., Lorenzoni, G., Azzolina, D., Iacobucci, A., Trombini, O., De Monte, A., Gregori, D., & Beltrame, F. (2019). Effect of Protein-Fortified Diet on Nitrogen Balance in Critically Ill Patients: Results from the OPINiB Trial. Nutrients, 11(5), 972. https://doi.org/10.3390/nu11050972

