Isoamericanoic Acid B from Acer tegmentosum as a Potential Phytoestrogen
Abstract
1. Introduction
2. Materials and Methods
2.1. General Experimental Procedures
2.2. Plant Material
2.3. Extraction, Fractionation, and Purification Methods
2.4. Computational Analysis
2.5. Cell Culture and WST-1 Cell Cytotoxicity Assays
2.6. E-Screen Assay
2.7. RT-PCR Assay
- (1)
- α-actin Forward: 5′-GGAGCAATGATCTTGATCTT-3′
- (2)
- α-actin Reverse: 5′-CCTTCTGGGCATGGAGTCCT-3′
- (3)
- pS2 Forward: 5′-CATGGAGAACAAGGTGATCTG-3′
- (4)
- pS2 Reverse: 5′-CAGAAGCGTGTCTGAGGTGTC-3′
2.8. Molecular Docking
2.9. Statistical Analysis
3. Results and Discussion
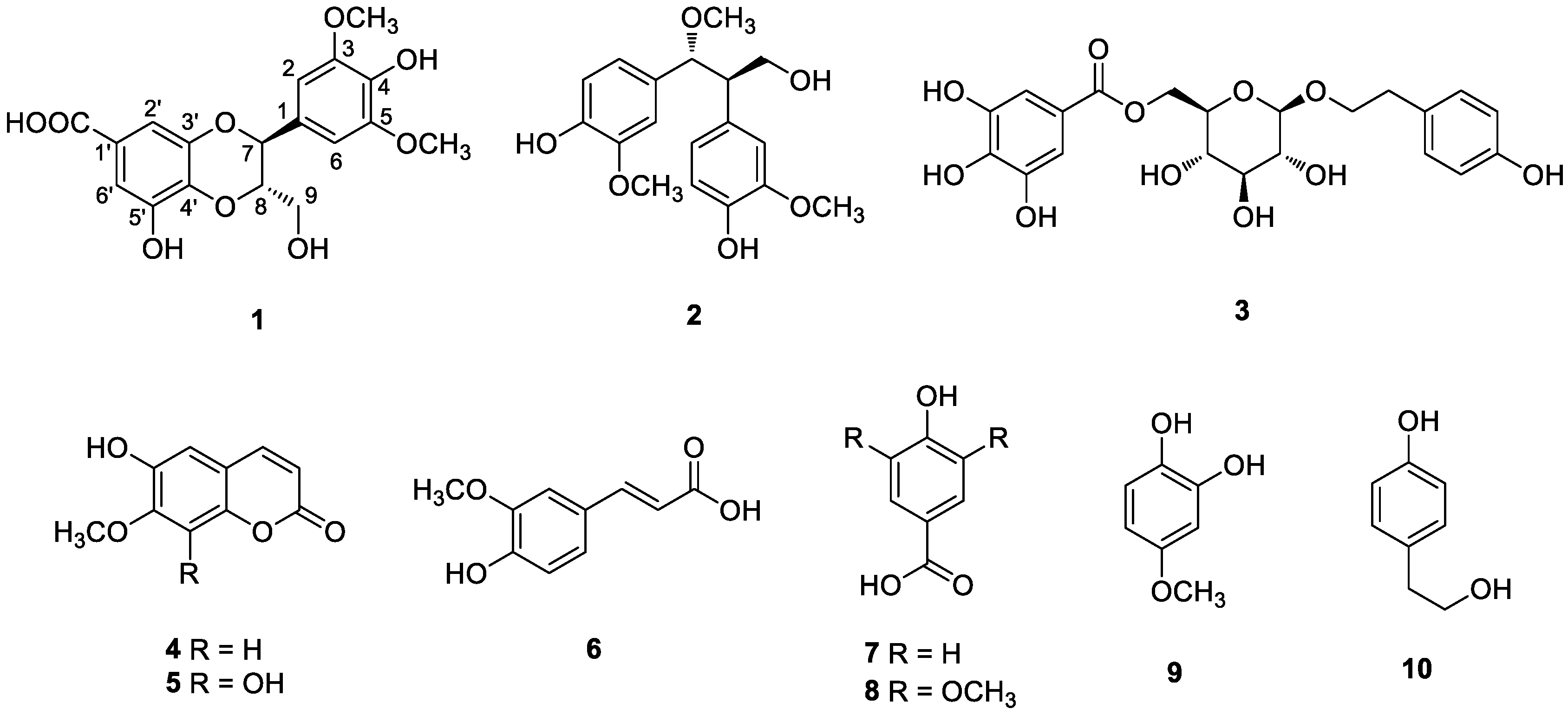
3.1. Phytochemical Investigation and Isolation of Compounds
3.2. Structural Identification of the Isolated Compounds
3.3. Estrogenicity of Compounds Isolated from A. Tegmentosum
3.4. Molecular Docking of Compound 1 into ER-α and ER-β
4. Conclusions
Supplementary Materials
Author Contributions
Funding
Conflicts of Interest
References
- Jia, M.; Dahlman-Wright, K.; Gustafsson, J. Estrogen receptor alpha and beta in health and disease. Best Pract. Res. Clin. Endocrinol. Metab. 2015, 29, 557–568. [Google Scholar] [CrossRef] [PubMed]
- Hayashi, S.I.; Eguchi, H.; Tanimoto, K.; Yoshida, T.; Omoto, Y.; Inoue, A.; Yoshida, N.; Yamaguchi, Y. The expression and function of estrogen receptor alpha and beta in human breast cancer and its clinical application. Endocrine Relat. Cancer 2003, 10, 193–202. [Google Scholar] [CrossRef]
- Shearman, A.M.; Karasik, D.; Gruenthal, K.M.; Demissie, S.; Cupples, L.A.; Housman, D.E.; Kiel, D.P. Estrogen receptor beta polymorphisms are associated with bone mass in women and men: The Framingham Study. J. Bone Miner. Res. 2004, 19, 773–781. [Google Scholar] [CrossRef] [PubMed]
- Straub, R.H. The complex role of estrogens in inflammation. Endocrine Rev. 2007, 28, 521–574. [Google Scholar] [CrossRef] [PubMed]
- Nanashima, N.; Horie, K.; Maeda, H. Phytoestrogenic activity of blackcurrant anthocyanins is partially mediated through estrogen receptor beta. Molecules 2018, 23, 74. [Google Scholar] [CrossRef] [PubMed]
- Raheja, S.; Girdhar, A.; Lather, V.; Pandita, D. Biochanin A: Phytoestrogen with therapeutic potential. Trends Food Sci. Technol. 2018, 79, 55–66. [Google Scholar] [CrossRef]
- Lee, W.; Ko, K.R.; Kim, H.; Lee, D.S.; Nam, I.; Lim, S.; Kim, S. Dehydrodiconiferyl alcohol inhibits osteoclast differentiation and ovariectomy-induced bone loss through acting as an estrogen receptor agonist. J. Nat. Prod. 2018, 81, 1343–1356. [Google Scholar] [CrossRef]
- Yu, T.; Lee, J.; Lee, Y.G.; Byeon, S.E.; Kim, M.H.; Sohn, E.H.; Lee, Y.J.; Lee, S.G.; Cho, J.Y. In vitro and in vivo anti-inflammatory effects of ethanol extract from Acer tegmentosum. J. Ethnopharmacol. 2010, 128, 139–147. [Google Scholar] [CrossRef]
- Tung, N.H.; Ding, Y.; Kim, S.K.; Bae, K.H.; Kim, Y.H. Total peroxyl radical-scavenging capacity of the chemical components from the stems of Acer tegmentosum maxim. J. Agric. Food. Chem. 2008, 56, 10510–10514. [Google Scholar] [CrossRef]
- Park, K.M.; Yang, M.C.; Lee, K.H.; Kim, K.R.; Choi, S.U.; Lee, K.R. Cytotoxic phenolic constituents of Acer tegmentosum maxim. Arch. Pharm. Res. 2006, 29, 1086–1090. [Google Scholar] [CrossRef]
- Chang, B.Y.; Jung, Y.S.; Yoon, C.S.; Oh, J.S.; Hong, J.H.; Kim, Y.C.; Kim, S.Y. Fraxin prevents chemically induced hepatotoxicity by reducing oxidative stress. Molecules 2017, 22, 587. [Google Scholar] [CrossRef] [PubMed]
- Kim, S.; Hur, S.J.; Kim, K.H.; Gi, K.S.; Whang, W.K. Antioxidant and anti-inflammatory compounds isolated from Acer tegmentosum. J. Med. Plant Res. 2012, 6, 3971–3976. [Google Scholar]
- Liu, Q.; Shin, E.; Ahn, M.J.; Hwang, B.Y.; Lee, M.K. Anti-adipogenic activity of Acer tegmentosum and its constituent, catechin in 3T3-L1 cells. Nat. Prod. Sci. 2011, 17, 212–215. [Google Scholar]
- Yu, J.S.; Moon, E.; Kim, K.H. A new cerebroside from the twigs of Lindera glauca (Sieb. et Zucc.) Blume. Bioorg. Chem. 2017, 74, 122–125. [Google Scholar] [CrossRef]
- Shin, S.H.; Lee, S.R.; Lee, E.; Kim, K.H.; Byun, S. Caffeic acid phenethyl ester from the twigs of Cinnamomum cassia inhibits malignant cell transformation by inducing c-Fos degradation. J. Nat. Prod. 2017, 80, 2124–2130. [Google Scholar] [CrossRef] [PubMed]
- Lee, S.R.; Nam, J.W.; Kim, K.H. New triterpenoids from the stems of Cornus walteri. Chem. Pharm. Bull. 2017, 65, 683–686. [Google Scholar] [CrossRef] [PubMed]
- Lee, S.R.; Moo, E.; Kim, K.H. Neolignan and monoterpene glycoside from the seeds of Pharbitis nil. Phytochem. Lett. 2017, 20, 98–101. [Google Scholar] [CrossRef]
- Yu, J.S.; Roh, H.; Lee, S.; Jung, K.; Baek, K.; Kim, K.H. Antiproliferative effect of Momordica cochinchinensis seeds on human lung cancer cells and isolation of the major constituents. Braz. J. Pharmacogn. 2017, 27, 329–333. [Google Scholar] [CrossRef]
- Perez, P.; Pulgar, R.; Olea-Serrano, F.; Villalobos, M.; Rivas, A.; Metzler, M.; Pedraza, V.; Olea, N. The estrogenicity of bisphenol A-related diphenylalkanes with various substituents at the central carbon and the hydroxy groups. Environ. Health Perspect. 1998, 106, 167–174. [Google Scholar] [CrossRef]
- Tanenbaum, D.M.; Wang, Y.; Williams, S.P.; Sigler, P.B. Crystallographic comparison of the estrogen and progesterone receptor’s ligand binding domains. Proc. Natl. Acad. Sci. USA 1998, 95, 5998–6003. [Google Scholar] [CrossRef]
- Souza, P.C.T.; Textor, L.C.; Melo, D.C.; Nascimento, A.S.; Skaf, M.S.; Polikarpov, I. An alternative conformation of ERβ bound to estradiol reveals H12 in a stable antagonist position. Sci Rep. 2017, 7, 3509. [Google Scholar] [CrossRef] [PubMed]
- Wada, D.; Yasui, Y.; Tokuda, H.; Tanaka, R. Anti-tumor-initiating effects of phenolic compounds isolated from the bark of Picea jezoensis var. jezoensis. Bioorg. Med. Chem. 2009, 17, 6414–6421. [Google Scholar] [CrossRef] [PubMed]
- Nguyen, P.; Yang, J.; Uddin, M.N.; Park, S.; Lim, S.; Jung, D.; Williams, D.R.; Oh, W. Protein tyrosine phosphatase 1B (PTP1B) inhibitors from Morinda citrifolia (Noni) and their insulin mimetic activity. J. Nat. Prod. 2013, 76, 2080–2087. [Google Scholar] [CrossRef] [PubMed]
- Guz, N.R.; Stermitz, F.R. Synthesis and structures of regioisomeric hydnocarpin-type flavonolignans. J. Nat. Prod. 2000, 63, 1140–1145. [Google Scholar] [CrossRef] [PubMed]
- Wang, Y.X.; Zhou, L.; Wang, J.; Lin, B.; Wang, X.B.; Huang, X.X.; Song, S.J. Enantiomeric lignans with anti-β-amyloid aggregation activity from the twigs and leaves of Pithecellobium clypearia Benth. Bioorg. Chem. 2018, 77, 579–585. [Google Scholar] [CrossRef] [PubMed]
- Zhu, J.X.; Ren, J.; Qin, J.J.; Cheng, X.R.; Zeng, Q.; Zhang, F.; Yan, S.K.; Jin, H.Z.; Zhang, W.D. Phenylpropanoids and lignanoids from Euonymus acanthocarpus. Arch. Pharm. Res. 2012, 35, 1739–1747. [Google Scholar] [CrossRef]
- Kim, J.; Kim, H.; Kim, S.; Lee, K.; Ham, I.; Whang, W. Antioxidative compounds from Quercus salicina Blume Stem. Arch. Pharm. Res. 2008, 31, 274–278. [Google Scholar] [CrossRef]
- Jerezano, A.; Jimenez, F.; Carmen Cruz, M.; Montiel, L.E.; Delgado, F.; Tamariz, J. New approach for the construction of the coumarin frame and application in the total synthesis of natural products. Helv. Chim. Acta 2011, 94, 185–198. [Google Scholar] [CrossRef]
- Hauer, H.; Germer, S.; Elsäßer, J.; Ritter, T. Benzopyranones and their sulfate esters from Pelargonium sidoides. Planta Med. 2010, 76, 350–352. [Google Scholar] [CrossRef]
- Prachayasittikul, S.; Suphapong, S.; Worachartcheewan, A.; Lawung, R.; Ruchirawat, S.; Prachayasittikul, V. Bioactive metabolites from Spilanthes acmella Murr. Molecules 2009, 14, 850–867. [Google Scholar] [CrossRef]
- Saitǒ, H.; Yokoi, M.; Aida, M.; Kodama, M.; Oda, T.; Sato, Y. 13C NMR spectra of para-substituted methoxybenzenes and phenols in the solid state: Examination of chemical shift non-equivalence in ortho and meta carbons related to non-equivalent electron distribution, and application to assignment of peaks in meso-hexestrol and its derivatives. Magn. Reson. Chem. 1988, 26, 155–161. [Google Scholar]
- Pan, S.M.; Ding, H.Y.; Chang, W.L.; Lin, H.C. Phenols from the aerial parts of Leonurus sibiricus. Chin. Pharm. J. 2006, 58, 35–40. [Google Scholar]
- Bernet, A.; Seifert, K. A new approach to sesquiterpene arenes of the 9,11-drimenyl type (= [(1E,2RS,4aRS,8aRS)-octahydro-2,5,5,8a-tetramethylnaphthalen-1(2H)-ylidene] methyl type). Helv. Chim. Acta 2006, 89, 784–796. [Google Scholar] [CrossRef]
- Takaya, Y.; Furukawa, T.; Miura, S.; Akutagawa, T.; Hotta, Y.; Ishikawa, N.; Niwa, M. Antioxidant constituents in distillation residue of Awamori spirits. J. Agric. Food. Chem. 2007, 55, 75–79. [Google Scholar] [CrossRef] [PubMed]
- Hill, D.A.; Crider, M.; Hill, S.R. Hormone therapy and other treatment for symptoms of menopause. Am. Fam. Physician 2016, 94, 884–889. [Google Scholar] [PubMed]
- Moreira, A.C.; Silva, A.M.; Santos, M.S.; Sardao, V.A. Phytoestrogen as alternative hormone replacement therapy in menopause: What is real, what is unknown. J. Steroid Biochem. Mol. Biol. 2014, 143, 61–71. [Google Scholar] [CrossRef]
- Ross, R.K.; Paganini-Hill, A.; Wan, P.C.; Pike, M.C. Effect of hormone replacement therapy on breast cancer risk: Estrogen versus estrogen plus progestin. J. Nat. Cancer Inst. 2000, 92, 328–332. [Google Scholar] [CrossRef]
- Anandhi Senthilkumar, H.; Fata, J.E.; Kennelly, E.J. Phytoestrogens: The current state of research emphasizing breast pathophysiology. Phytother. Res. 2018, 32, 1707–1719. [Google Scholar] [CrossRef]
- Kim, J.; Petz, L.N.; Ziegier, Y.S.; Wood, J.R.; Potthoff, S.J.; Nardulli, A.M. Regulation of the estrogen-responsive pS2 gene in MCF-7 human breast cancer cells. J. Steroid. Biochem. Mol. Biol. 2000, 74, 157–168. [Google Scholar] [CrossRef]
- Zhao, C.; Dahlman-Wright, K.; Gustafsson, J.A. Estrogen signaling via estrogen receptor (beta). J. Bio. Chem. 2010, 285, 39575–39579. [Google Scholar] [CrossRef]
- Leung, Y.K.; Lee, M.T.; Lam, H.M.; Tarapore, P.; Ho, S.M. Estrogen receptor-beta and breast cancer: Translating biology into clinical practice. Steroids 2012, 77, 727–737. [Google Scholar] [CrossRef] [PubMed]
- Oseni, T.; Patel, R.; Pyle, J.; Jordan, V.C. Selective estrogen receptor modulators and phytoestrogens. Planta Med. 2008, 74, 1656–1665. [Google Scholar] [CrossRef] [PubMed]
- Campbell, S.; Whitehead, M. Oestrogen therapy and the menopausal syndrome. Clin. Obstet. Gynaecol. 1977, 4, 31–47. [Google Scholar] [PubMed]





| Position | 1 | |
|---|---|---|
| δC | δH (J in Hz) | |
| 1 | 128.3 s | |
| 2,6 | 106.1 d | 6.64 s |
| 3,5 | 149.7 s | |
| 4 | 137.6 s | |
| 7 | 78.2 d | 4.75 d (8.0) |
| 8 | 80.4 d | 4.07 m |
| 9 | 62.3 t | 3.47 dd (12.0, 6.0) |
| 3.56 d (12.0) | ||
| 1′ | 125.5 s | |
| 2′ | 111.3 d | 7.04 br s |
| 3′ | 145.7 s | |
| 4′ | 137.5 s | |
| 5′ | 147.3 s | |
| 6′ | 111.4 d | 7.04 br s |
| 3,5-OMe | 57.0 q | 3.77 s |
| 1′-COOH | 170.9 s | |
| ER-α (pdb id: 1A52) | ER-β (pdb id: 5TOA) | ||||||
|---|---|---|---|---|---|---|---|
| Ligand | Surflex-Dock Score (−logKd) | Kd | Gibbs Free Energy * (ΔGbind) | Ligand | Surflex-Dock Score (−logKd) | Kd | Gibbs Free Energy * (ΔGbind) |
| 1 | 1.7299 | 1.86 × 10−2 | −2.36 kcal/mol | 1 | 1.9724 | 1.06 × 10−2 | −2.69 kcal/mol |
| 17β-estradiol | 5.2866 | 5.15 × 10−6 | −7.21 kcal/mol | 17β-estradiol | 4.1318 | 7.38 × 10−5 | −5.63 kcal/mol |
© 2018 by the authors. Licensee MDPI, Basel, Switzerland. This article is an open access article distributed under the terms and conditions of the Creative Commons Attribution (CC BY) license (http://creativecommons.org/licenses/by/4.0/).
Share and Cite
Lee, S.R.; Park, Y.J.; Han, Y.B.; Lee, J.C.; Lee, S.; Park, H.-J.; Lee, H.-J.; Kim, K.H. Isoamericanoic Acid B from Acer tegmentosum as a Potential Phytoestrogen. Nutrients 2018, 10, 1915. https://doi.org/10.3390/nu10121915
Lee SR, Park YJ, Han YB, Lee JC, Lee S, Park H-J, Lee H-J, Kim KH. Isoamericanoic Acid B from Acer tegmentosum as a Potential Phytoestrogen. Nutrients. 2018; 10(12):1915. https://doi.org/10.3390/nu10121915
Chicago/Turabian StyleLee, Seoung Rak, Yong Joo Park, Yu Bin Han, Joo Chan Lee, Seulah Lee, Hyun-Ju Park, Hae-Jeung Lee, and Ki Hyun Kim. 2018. "Isoamericanoic Acid B from Acer tegmentosum as a Potential Phytoestrogen" Nutrients 10, no. 12: 1915. https://doi.org/10.3390/nu10121915
APA StyleLee, S. R., Park, Y. J., Han, Y. B., Lee, J. C., Lee, S., Park, H.-J., Lee, H.-J., & Kim, K. H. (2018). Isoamericanoic Acid B from Acer tegmentosum as a Potential Phytoestrogen. Nutrients, 10(12), 1915. https://doi.org/10.3390/nu10121915

