Comparison of the Selected State-Of-The-Art 3D Indoor Scanning and Point Cloud Generation Methods
Abstract
:1. Introduction
2. Theory on Point Cloud Quality
2.1. On Metrics
2.2. Formulating the Problems with the Indoor Point Clouds
- Completeness problem: p2p comparison should be plausible even when the other point cloud is somewhat incomplete (or over-complete), e.g., if the measurement route chosen by the operator leads to missing (or extra) surfaces in the resulting point cloud. Incompleteness may also follow from visual obstructions.
- Outliers are produced by windows, reflecting surfaces or method properties that may be regarded as artifacts. p2p comparison should detect these.
- Multi-scale problem: In human-built indoor environments, all details exist for a purpose and accordingly have defined semantics, i.e., names. The noise level of the scanning method should be sufficiently low to successfully capture the smallest named details. However, in addition to containing these small details, indoor spaces span large distances. Capturing a model spanning large distances with high spatial resolution is data intensive and threatens computational tractability.
- When the characteristic length of features , accuracy and precision can be separated, and the correct object shape is recovered.
- When or less, however, problems occur:
- (a)
- Features cannot be properly captured, making object shapes unrecoverable.
- (b)
- Accuracy and precision cannot be reliably separated.
2.3. The Proposed Metric
3. Methods and Materials
3.1. Reference Data
3.2. Matterport
3.3. NavVis
3.4. Zebedee
3.5. Kaarta Stencil
3.6. Leica Pegasus: Backpack
3.7. Würzburg Backpack
3.8. Aalto VILMA
3.9. FGI Slammer
4. Test Sites
4.1. Hallway
4.2. Car Park
4.3. Startup Sauna
5. Results
5.1. Proposed Metrics on Full Point Clouds
5.2. Rigidness of Point Clouds Using a Floor Subset
5.3. Benchmarking the 3D Capabilities of the Mapping Systems Using a Floor Subset
6. Discussion
7. Conclusions
Acknowledgments
Author Contributions
Conflicts of Interest
Appendix A
Appendix B
References
- Musialski, P.; Wonka, P.; Aliaga, D.G.; Wimmer, M.; van Gool, L.; Purgathofer, W. A Survey of Urban Reconstruction. Comput. Graph. Forum 2013, 32, 146–177. [Google Scholar] [CrossRef]
- Tang, P.; Huber, D.; Akinci, B.; Lipman, R.; Lytle, A. Automatic reconstruction of as-built building information models from laser-scanned point clouds: A review of related techniques. Autom. Constr. 2010, 19, 829–843. [Google Scholar] [CrossRef]
- Volk, R.; Stengel, J.; Schultmann, F. Building Information Modeling (BIM) for existing buildings—Literature review and future needs. Autom. Constr. 2014, 38, 109–127. [Google Scholar] [CrossRef]
- Kaartinen, H.; Hyyppä, J.; Vastaranta, M.; Kukko, A.; Jaakkola, A.; Yu, X.; Pyörälä, J.; Liang, X.; Liu, J.; Wang, Y.; et al. Accuracy of Kinematic Positioning Using Global Satellite Navigation Systems under Forest Canopies. For. Trees Livelihoods 2015, 6, 3218–3236. [Google Scholar] [CrossRef]
- Lauterbach, H.; Borrmann, D.; Heß, R.; Eck, D.; Schilling, K.; Nüchter, A. Evaluation of a Backpack-Mounted 3D Mobile Scanning System. Remote Sens. 2015, 7, 13753–13781. [Google Scholar] [CrossRef]
- Lehtola, V.V.; Virtanen, J.P.; Vaaja, M.T.; Hyyppä, H.; Nüchter, A. Localization of a mobile laser scanner via dimensional reduction. ISPRS J. Photogramm. Remote Sens. 2016, 121, 48–59. [Google Scholar] [CrossRef]
- Bosse, M.; Zlot, R.; Flick, P. Zebedee: Design of a Spring-Mounted 3-D Range Sensor with Application to Mobile Mapping. IEEE Trans. Robot. 2012, 28, 1104–1119. [Google Scholar] [CrossRef]
- Zhang, J.; Singh, S. LOAM: Lidar odometry and mapping in real-time. In Proceedings of the Robotics: Science and Systems Conference (RSS), Berkeley, CA, USA, 14–16 July 2014; pp. 109–111. [Google Scholar]
- Liu, T.; Carlberg, M.; Chen, G.; Chen, J.; Kua, J.; Zakhor, A. Indoor localization and visualization using a human-operated backpack system. In Proceedings of the 2010 International Conference on Indoor Positioning and Indoor Navigation, Zurich, Switzerland, 15–17 September 2010; pp. 1–10. [Google Scholar]
- Furukawa, Y.; Curless, B.; Seitz, S.M.; Szeliski, R. Reconstructing building interiors from images. In Proceedings of the 2009 IEEE 12th International Conference on Computer Vision, Kyoto, Japan, 29 September–2 October 2009; pp. 80–87. [Google Scholar]
- Lehtola, V.V.; Kurkela, M.; Hyyppä, H. Automated image-based reconstruction of building interiors—A case study. Photogramm. J. Finl. 2014, 24. [Google Scholar] [CrossRef]
- Jung, J.; Yoon, S.; Ju, S.; Heo, J. Development of kinematic 3D laser scanning system for indoor mapping and as-built BIM using constrained SLAM. Sensors 2015, 15, 26430–26456. [Google Scholar] [CrossRef] [PubMed]
- Weinmann, M.; Jutzi, B.; Hinz, S.; Mallet, C. Semantic point cloud interpretation based on optimal neighborhoods, relevant features and efficient classifiers. ISPRS J. Photogramm. Remote Sens. 2015, 105, 286–304. [Google Scholar] [CrossRef]
- Holst, C.; Kuhlmann, H. Challenges and present fields of action at laser scanner based deformation analyses. J. Appl. Geod. 2016, 10, 17–25. [Google Scholar] [CrossRef]
- Sirmacek, B.; Shen, Y.; Lindenbergh, R.; Diakite, A.; Zlatanova, S. Comparison of Zeb1 and Leica C10 indoor laser scanning point clouds. ISPRS Ann. Photogramm. Remote Sens. Spat. Inf. Sci. 2016, 3, 143–149. [Google Scholar] [CrossRef]
- Tsakiri, M.; Anagnostopoulos, V. Change Detection in Terrestrial Laser Scanner Data Via Point Cloud Correspondence. Int. J. Eng. Innov. Res. 2015, 4, 476–486. [Google Scholar]
- Schwertfeger, S.; Jacoff, A.S.; Scrapper, C.; Pellenz, J.; Kleiner, A. Evaluation of Maps using Fixed Shapes: The Fiducial Map Metric. In Proceedings of the 2010 Performance Metrics for Intelligent Systems (PerMIS ’10) Workshop, Baltimore, MD, USA, 28–30 September 2011. [Google Scholar]
- Schwertfeger, S.; Birk, A. Evaluation of Map Quality by Matching and Scoring High-Level, Topological Map Structures. In Proceedings of the IEEE International Conference on Robotics and Automation (ICRA ’13), Karlsruhe, Germany, 6–10 May 2013. [Google Scholar]
- Wulf, O.; Nüchter, A.; Hertzberg, J.; Wagner, B. Benchmarking Urban 6D SLAM. J. Field Rob. (JFR) 2008, 25, 148–163. [Google Scholar] [CrossRef]
- Mukupa, W.; Roberts, G.W.; Hancock, C.M.; Al-Manasir, K. A review of the use of terrestrial laser scanning application for change detection and deformation monitoring of structures. Surv. Rev. 2017, 49, 99–116. [Google Scholar] [CrossRef]
- Scaioni, M. On the estimation of rigid-body transformation for tls registration. ISPRS Int. Arch. Photogramm. Remote Sens. Spat. Inf. Sci. 2012, XXXIX-B5, 601–606. [Google Scholar] [CrossRef]
- Gelfand, N.; Ikemoto, L.; Rusinkiewicz, S.; Levoy, M. Geometrically stable sampling for the ICP algorithm. In Proceedings of the Fourth International Conference on 3-D Digital Imaging and Modeling, Banff, AL, Canada, 6–10 October 2003; pp. 260–267. [Google Scholar]
- Immersive 3D Spaces for real-world applications, Matterport. Available online: https://matterport.com/ (accessed on 21 October 2016).
- Navvis. Digitizing indoors—NavVis. Available online: http://www.navvis.com (accessed on 20 October 2016).
- Leica Geosystems. Leica Pegasus: Backpack. Available online: http://www.leica-geosystems.com (accessed on 1 Feburary 2017).
- Kaarta. Stencil. Available online: http://www.kaarta.com (accessed on 1 Feburary 2017).
- Lehtola, V.V.; Virtanen, J.P.; Kukko, A.; Kaartinen, H.; Hyyppä, H. Localization of mobile laser scanner using classical mechanics. ISPRS J. Photogramm. Remote Sens. 2015, 99, 25–29. [Google Scholar] [CrossRef]
- Kaijaluoto, R.; Kukko, A.; Hyyppä, J. Precise indoor localization for mobile laser scanner. Int. Arch. Photogramm. Remote Sens. Spat. Inf. Sci. 2015, XL-4/W5, 1–6. [Google Scholar] [CrossRef]
- Girardeau-Montaut, D.; Roux, M.; Marc, R.; Thibault, G. Change detection on points cloud data acquired with a ground laser scanner. Int. Arch. Photogramm. Remote Sens. Spat. Inf. Sci. 2005, 36, W19. [Google Scholar]
- Monserrat, O.; Crosetto, M. Deformation measurement using terrestrial laser scanning data and least squares 3D surface matching. ISPRS J. Photogramm. Remote Sens. 2008, 63, 142–154. [Google Scholar] [CrossRef]
- Sithole, G.; Vosselman, G. Experimental comparison of filter algorithms for bare-Earth extraction from airborne laser scanning point clouds. ISPRS J. Photogramm. Remote Sens. 2004, 59, 85–101. [Google Scholar] [CrossRef]
- Oesau, S.; Lafarge, F.; Alliez, P. Indoor scene reconstruction using feature sensitive primitive extraction and graph-cut. ISPRS J. Photogramm. Remote Sens. 2014, 90, 68–82. [Google Scholar] [CrossRef]
- Mémoli, F.; Sapiro, G. A Theoretical and Computational Framework for Isometry Invariant Recognition of Point Cloud Data. Found. Comput. Math. 2005, 5, 313–347. [Google Scholar] [CrossRef]
- Bronstein, A.M.; Bronstein, M.M.; Kimmel, R.; Mahmoudi, M.; Sapiro, G. A Gromov-Hausdorff Framework with Diffusion Geometry for Topologically-Robust Non-rigid Shape Matching. Int. J. Comput. Vis. 2009, 89, 266–286. [Google Scholar] [CrossRef]
- Mémoli, F. Gromov—Wasserstein Distances and the Metric Approach to Object Matching. Found. Comput. Math. 2011, 11, 417–487. [Google Scholar] [CrossRef]
- Ezra, E.; Sharir, M.; Efrat, A. On the performance of the ICP algorithm. Comput. Geom. 2008, 41, 77–93. [Google Scholar] [CrossRef]
- Khoshelham, K.; Elberink, S.O. Accuracy and resolution of kinect depth data for indoor mapping applications. Sensors 2012, 12, 1437–1454. [Google Scholar] [CrossRef] [PubMed]
- Zhang, J.; Singh, S. Low-drift and real-time lidar odometry and mapping. Auton. Robot. 2016, 41, 1–16. [Google Scholar] [CrossRef]
- Kohlbrecher, S.; Von Stryk, O.; Meyer, J.; Klingauf, U. A flexible and scalable slam system with full 3D motion estimation. In Proceedings of the 2011 IEEE International Symposium on Safety, Security, and Rescue Robotics, Kyoto, Japan, 1–5 November 2011; pp. 155–160. [Google Scholar]
- Borrmann, D.; Elseberg, J.; Lingemann, K.; Nüchter, A.; Hertzberg, J. Globally consistent 3D mapping with scan matching. Robot. Auton. Syst. 2008, 56, 130–142. [Google Scholar] [CrossRef]
- Lehtola, V.V.; Virtanen, J.P.; Rönnholm, P.; Nüchter, A. Localization corrections for mobile laser scanner using local support-based outlier filtering. ISPRS Ann. Photogramm. Remote Sens. Spat. Inf. Sci. 2016, III-4, 81–88. [Google Scholar] [CrossRef]
- Karto Robotics. Available online: http://www.kartorobotics.com (accessed on 20 October 2016).
- ROS.org | Powering the world’s robots. Available online: http://www.ros.org (accessed on 20 October 2016).























| Method | Properties | Captured Data (with Plot Color) | |||
|---|---|---|---|---|---|
| Range | Data Gathering | Hallway | Car Park | Startup Sauna | |
| TLS | 270 m/120 m | 1 Mpts/s | 1 h, Leica | 2 h, Leica | 4 h, Faro |
| VILMA | <120 m | 1 Mpts/s | w | ||
| Würzburg backpack | 160 m | 0.1 Mpts/s | w | w | w |
| NavVis | 30 m (laser) | 6 × 16 Mpix | w | w* | |
| Matterport | 6 m | 3 × 0.3 Mpix | 1 h | 2 h | 3 h |
| Slammer | 120 m | 2 × 1 Mpts/s | w | w- | |
| Zebedee | 15–30 m | ∼0.05 Mpts/s | w | ||
| Pegasus | 100 m | 2 × 0.3 Mpts/s | w | ||
| Stencil | 100 m | 0.3 Mpts/s | w | w | |
| Rank | System | |
|---|---|---|
| #1 | Slammer | 0.020342 |
| #2 | Zebedee | 0.044997 |
| #2 | NavVis | 0.051218 |
| #3 | Stencil | 0.055545 |
| #3 | Würzburg | 0.054806 |
| #4 | Pegasus | 0.064676 |
| #5 | Matterport | 0.078289 |
| System | |
|---|---|
| NavVis | 0.2 m |
| Würzburg | 0.2 m |
| Stencil | 0.2 m |
| Matterport | 1.0 m |
| VILMA | 2.0 m |
| System | STD (mm) |
|---|---|
| Slammer | 5 |
| NavVis | 10 |
| Stencil | 14 |
| Zebedee | 20 |
| Pegasus | 29 |
| Matterport | 67 |
| Würzburg | 132 |
| Method | Strength | Weakness |
|---|---|---|
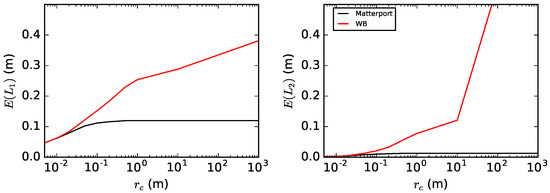
| TLS | Survey-grade | Cumbersome, slow (Table 1) |
| VILMA | Proof-of-concept in 6 DoF intrinsic localization with one 2D scanner | Experimental |
| Würzburg backpack | Proof-of-concept in laser-only backpack | Experimental |
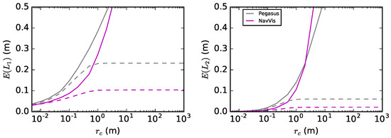
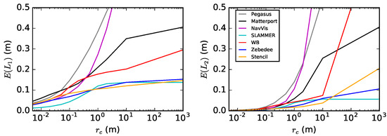
| NavVis | Precision (Figure 16 and Table 4), photo-realistic point clouds | Use restricted to near-flat surfaces (Table 1 w *) |
| Matterport | Photo-realistic VR | Inaccurate (Figure 16 and Figure 21); not mobile |
| Slammer | Precision (Figure 14 and Table 2 and Table 4) | Experimental, use on flat surfaces only (Table 1 w-) |
| Zebedee | Hand-held | Low data capture rate for non-online method (Table 1) |
| Pegasus | Seamless indoor-outdoor (SLAM-GNSS) registration | Indoor localization (Figure 15 and Figure 21) |
| Stencil | On-line map | Double surfaces (Figure 20) |
© 2017 by the authors. Licensee MDPI, Basel, Switzerland. This article is an open access article distributed under the terms and conditions of the Creative Commons Attribution (CC BY) license (http://creativecommons.org/licenses/by/4.0/).
Share and Cite
Lehtola, V.V.; Kaartinen, H.; Nüchter, A.; Kaijaluoto, R.; Kukko, A.; Litkey, P.; Honkavaara, E.; Rosnell, T.; Vaaja, M.T.; Virtanen, J.-P.; et al. Comparison of the Selected State-Of-The-Art 3D Indoor Scanning and Point Cloud Generation Methods. Remote Sens. 2017, 9, 796. https://doi.org/10.3390/rs9080796
Lehtola VV, Kaartinen H, Nüchter A, Kaijaluoto R, Kukko A, Litkey P, Honkavaara E, Rosnell T, Vaaja MT, Virtanen J-P, et al. Comparison of the Selected State-Of-The-Art 3D Indoor Scanning and Point Cloud Generation Methods. Remote Sensing. 2017; 9(8):796. https://doi.org/10.3390/rs9080796
Chicago/Turabian StyleLehtola, Ville V., Harri Kaartinen, Andreas Nüchter, Risto Kaijaluoto, Antero Kukko, Paula Litkey, Eija Honkavaara, Tomi Rosnell, Matti T. Vaaja, Juho-Pekka Virtanen, and et al. 2017. "Comparison of the Selected State-Of-The-Art 3D Indoor Scanning and Point Cloud Generation Methods" Remote Sensing 9, no. 8: 796. https://doi.org/10.3390/rs9080796
APA StyleLehtola, V. V., Kaartinen, H., Nüchter, A., Kaijaluoto, R., Kukko, A., Litkey, P., Honkavaara, E., Rosnell, T., Vaaja, M. T., Virtanen, J.-P., Kurkela, M., El Issaoui, A., Zhu, L., Jaakkola, A., & Hyyppä, J. (2017). Comparison of the Selected State-Of-The-Art 3D Indoor Scanning and Point Cloud Generation Methods. Remote Sensing, 9(8), 796. https://doi.org/10.3390/rs9080796

