Relationships of S-Band Radar Backscatter and Forest Aboveground Biomass in Different Forest Types
Abstract
1. Introduction
2. Experimental Section
2.1. Description of Study Sites
2.2. Field Data
2.3. MIMICS-I Modelling
2.4. SAR Data
3. Results and Discussion
3.1. S-Band Backscattering Simulation by MIMICS-I Model
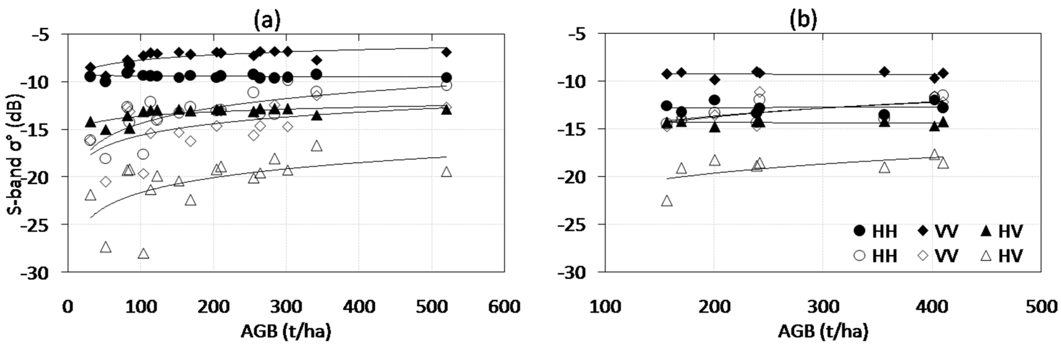
3.2. Comparison between MIMICS-I Simulations and SAR Data to Forest Aboveground Biomass
3.3. MIMICS-I Simulated S-Band Backscatter against Forest Biomass
3.3.1. Broadleaved Forest Stand
3.3.2. Needleleaved Forest Stand
3.4. Model Accuracy
4. Conclusions
Acknowledgments
Author Contributions
Conflicts of Interest
Appendix A
| Tapajós | Parameter | Units | Primary Forest (6) | Secondary Forest (12) |
| Trunk layer | Height | m | 6, 5, 5, 6, 6, 6 | 5, 4.4, 3.1, 3, 5, 5, 4, 4, 4, 2.5, 2, 2 |
| Diameter | m | 1.4, 1.2, 1.2, 1.3, 1.3, 1.5 | 1.2, 0.9, 0.6, 0.5, 0.8, 0.7, 0.6, 0.7, 0.8, 0.5, 0.5, 0.3 | |
| Canopy density | m−2 | 0.29, 0.3, 0.28, 0.23, 0.27, 0.17 | 0.24, 0.11, 0.15, 0.31, 0.11, 0.16, 0.14, 0.26, 0.08, 0.07, 0.09, 0.17 | |
| Crown layer | Crown thickness | m | 6, 6.2, 6.2, 6.5, 6.7, 7 | 5.3, 5, 4, 3.7, 4.7, 4.2, 3.9, 3.9, 3.3, 3, 2.8, 1.7 |
| Soil | Sand | % | 44 | |
| Silt | % | 26 | ||
| Clay | % | 30 | ||
| Cameroon | Parameter | Units | Broadleaved (24) | |
| Trunk layer | Height | m | 3, 3, 3, 4, 3, 4, 3, 3, 3, 3, 3, 3, 6, 4, 7, 4, 6, 6, 7, 7, 8, 6, 8, 7 | |
| Diameter | m | 1.1, 1.7, 1.6, 2, 1.2, 1.8, 1.8, 1.1, 1.1, 1.5, 1.5, 1.7, 1.2, 1.4, 2, 1.2, 1.4, 1.2, 1.4, 2, 2.1, 1.3, 2.3, 2.4 | ||
| Canopy density | m−2 | 0.04, 0.13, 0.21, 0.1, 0.2, 0.24, 0.31, 0.27, 0.45, 0.24, 0.39, 0.28, 0.57, 0.27, 0.46, 0.79, 0.51, 0.47, 0.64, 0.46, 0.46, 0.64, 0.61, 0.51 | ||
| Crown layer | Crown thickness | m | 3.6, 3.5, 3.2, 4.1, 2.7, 4, 3.9, 3.2, 2.3, 3.3, 3.7, 4.3, 6.8, 4.9, 8.4, 5.1, 5.8, 6, 6.6, 6.6, 8.8, 6.5, 9.4, 7.6 | |
| Soil | Sand | % | 48 | |
| Silt | % | 22 | ||
| Clay | % | 30 | ||
| Kashmir | Parameter | Units | Broadleaved (8) | Needleleaved (31) |
| Trunk layer | Height | m | 5, 5, 10, 10, 10, 4, 4, 4 | 10, 10, 8, 10, 10, 10, 6, 8, 8, 4, 5, 11, 4, 12, 13, 15, 12, 13, 7.8, 13, 12, 10, 8, 7, 6, 8, 7, 6, 7, 10, 5 |
| Diameter | m | 1.4, 1.4, 3.8, 3.5, 3.8, 1.2, 1.3, 1.3 | 6.2, 5.4, 4.1, 6.1, 5.9, 5.6, 2.6, 3.7, 2.8, 1.5, 1.8, 6.3, 2, 5.8, 7.6, 12, 7.6, 6.1, 4.7, 6.5, 5.6, 8, 4.6, 6, 2.3, 2.9, 1.9, 2.1, 2.2, 5.3, 1.9 | |
| Canopy density | m−2 | 1.13, 1.15, 0.34, 0.38, 0.34, 2.19, 1.7, 1.8 | 0.13, 0.16, 0.3, 0.12, 0.15, 0.18, 0.16, 0.1, 0.45, 0.9, 0.8, 0.09, 0.52, 0.25, 0.04, 0.06, 0.1, 0.1, 0.1, 0.1, 0.1, 0.1, 0.12, 0.03, 0.6, 0.2, 0.79, 0.77, 0.26, 0.09, 0.76 | |
| Crown layer | Crown thickness | m | 5.7, 5.7, 14.5, 12.3, 13, 3.9, 4.2, 3.9 | 12.7, 10, 8.3, 12, 11.9, 9.5, 6, 7.3, 7.7, 5, 6, 13, 4.2, 12.3, 14.7, 14.2, 13.2, 14.3, 10, 13, 13.2, 12.6, 8.6, 10, 7.4, 8.3, 7, 7.7, 7.6, 13.2, 6.1 |
| Soil | Sand | % | 44 | |
| Silt | % | 37 | ||
| Clay | % | 19 | ||
| DNP | Parameter | Units | Broadleaved (28) | |
| Trunk layer | Height | m | 3, 7, 8, 6, 7, 7, 4, 7, 10, 6, 10, 5, 10, 6, 7, 9, 8, 6, 6, 7, 9, 7, 14, 9, 9, 7, 8, 9 | |
| Diameter | m | 1.9, 2.1, 2.5, 2.5, 1.8, 2.5, 2, 2.4, 3.5, 2.5, 3.3, 1.9, 3.9, 2.4, 2.6, 3.5, 2.9, 2.4, 2.6, 3.1, 2.6, 2.6, 2.6, 4.1, 2.7, 3, 2.2, 3.8 | ||
| Canopy density | m−2 | 0.13, 0.2, 0.16, 0.18, 0.2, 0.18, 0.2, 0.21, 0.08, 0.12, 0.1, 0.14, 0.08, 0.09, 0.17, 0.1, 0.17, 0.12, 0.06, 0.14, 0.14, 0.17, 0.12, 0.1, 0.15, 0.1, 0.13, 0.12 | ||
| Crown layer | Crown thickness | m | 3.6, 7.1, 11, 7.9, 7.7, 10.6, 5.6, 7.2, 10, 7.3, 11.2, 5.9, 11.7, 7, 8.8, 11.9, 10.4, 6.4, 7, 10.4, 10.5, 9.7, 16.6, 9.5, 10.7, 8, 8.6, 10.9 | |
| Soil | Sand | % | 45 | |
| Silt | % | 33 | ||
| Clay | % | 22 | ||
References
- Saatchi, S.S.; Harris, N.L.; Brown, S.; Lefsky, M.; Mitchard, E.T.; Salas, W.; Zutta, B.R.; Buermann, W.; Lewis, S.L.; Hagen, S.; et al. Benchmark map of forest carbon stocks in tropical regions across three continents. Proc. Natl. Acad. Sci. USA 2011, 108, 9899–9904. [Google Scholar] [CrossRef] [PubMed]
- Mitchard, E.T.A.; Feldpausch, T.R.; Brienen, R.J.W.; Lopez-Gonzalez, G.; Monteagudo, A.; Baker, T.R.; Lewis, S.L.; Lloyd, J.; Quesada, C.A.; Gloor, M.; et al. Markedly divergent estimates of Amazon forest carbon density from ground plots and satellites. Glob. Ecol. Biogeogr. 2014, 23, 935–946. [Google Scholar] [CrossRef] [PubMed]
- Woodhouse, I.H.; Mitchard, E.T.A.; Brolly, M.; Maniatis, D.; Ryan, C.M. Radar backscatter is not a 'direct measure' of forest biomass. Nat. Clim. Chang. 2012, 2, 556–557. [Google Scholar] [CrossRef]
- Clark, D.B.; Kellner, J.R. Tropical forest biomass estimation and the fallacy of misplaced concreteness. J. Veg. Sci. 2012, 23, 1191–1196. [Google Scholar] [CrossRef]
- Lucas, R.M.; Armston, J.; Fairfax, R.; Fensham, R.; Accad, A.; Carreiras, J.; Kelley, J.; Bunting, P.; Clewley, D.; Bray, S.; et al. An evaluation of the ALOS PALSAR L-band backscatter—Above ground biomass relationship Queensland, Australia: Impacts of surface moisture condition and vegetation structure. IEEE J. Sel. Top. Appl. Earth Obs. Remote Sens. 2010, 3, 576–593. [Google Scholar] [CrossRef]
- Mitchard, E.T.A.; Saatchi, S.S.; Lewis, S.L.; Feldpausch, T.R.; Woodhouse, I.H.; Sonké, B.; Rowland, C.; Meir, P. Measuring biomass changes due to woody encroachment and deforestation/degradation in a forest–savanna boundary region of Central Africa using multi-temporal L-band radar backscatter. Remote Sens. Environ. 2011, 115, 2861–2873. [Google Scholar] [CrossRef]
- Santos, J.R.; Freitas, C.C.; Araujo, L.S.; Dutra, L.V.; Mura, J.C.; Gama, F.F.; Soler, L.S.; Sant’Anna, S.J.S. Airborne P-band SAR applied to the aboveground biomass studies in the Brazilian tropical rainforest. Remote Sens. Environ. 2003, 87, 482–493. [Google Scholar] [CrossRef]
- Yatabe, S.M.; Leckie, D.G. Clearcut and forest-type discrimination in satellite SAR imagery. Can. J. Remote Sens. 1995, 21, 455–467. [Google Scholar] [CrossRef]
- Fransson, J.E.S.; Walter, F.; Olsson, H. Identification of clear felled areas using Spot P and Almaz-1 SAR data. Int. J. Remote Sens. 1999, 20, 3583–3593. [Google Scholar] [CrossRef]
- Rosenqvist, Å. Evaluation of JERS-1, ERS-1 and Almaz SAR backscatter for rubber and oil palm stands in West Malaysia. Int. J. Remote Sens. 1996, 17, 3219–3231. [Google Scholar] [CrossRef]
- Olsson, H.; Naslund, B.; Hagner, O.; Sylvander, R. Early experience on the use of satellite borne S-band sar over Swedish forests. In Workshop on Remote Sensing for Forestry Applications; Report EUR 14445 EN; Commission of the European Communities JRC ISPRA: Copenhagen, Denmark, 1991; pp. 223–230. [Google Scholar]
- Brown, R.J.; Brisco, B.; Ahern, F.; Yatabe, S.M.; Drieman, J. Preliminary ERS-1 assessment for Canadian agriculture and forestry applications. In Proceedings of the First ERS-1 Symposium, Cannes, France, 4–6 November 1992; pp. 611–616. [Google Scholar]
- Lopez-Sanchez, J.M.; Ballester-Berman, J.D.; Fortuny-Guasch, J. Indoor wide-band polarimetric measurements on maize plants a study of the differential extinction. IEEE Trans. Geosci. Remote Sens. 2006, 44, 758–767. [Google Scholar] [CrossRef]
- Sun, Q.; Zhang, F.; Shao, Y.; Liu, L.; Wang, G.; Bian, Z.; Li, K. S-band backscattering analysis of wheat using tower-based scatterometer. In Proceedings of the 2012 IEEE International Geoscience and Remote Sensing Symposium, Munich, Germany, 22–27 July 2012; pp. 4621–4624. [Google Scholar]
- Lopez-Sanchez, J.M.; Fortuny-Guasch, J.; Cloude, S.R.; Sieber, A.J. Indoor polarimetric radar measurements on vegetation samples at L, S, C and X band. J. Electromagn. Waves Appl. 2000, 14, 205–231. [Google Scholar] [CrossRef]
- Guida, R.; Natale, A.; Bird, R.; Whittaker, P.; Cohen, M.; Hall, D. Canopy classification with S-band polarimetric SAR data. In Proceedings of the 2012 IEEE International Geoscience and Remote Sensing Symposium, Munich, Germany, 22–27 July 2012; pp. 6535–6538. [Google Scholar]
- Natale, A.; Guida, R.; Bird, R.; Whittaker, P.; Hall, D.; Cohen, M. Validation of S-band data performance for future space borne SAR missions. In Proceedings of the 9th European Conference on Synthetic Aperture Radar, Nurnberg, Germany, 24 April 2012; pp. 75–78. [Google Scholar]
- Van Beijma, S.; Comber, A.; Lamb, A. Random forest classification of salt marsh vegetation habitats using quad-polarimetric airborne SAR, elevation and optical RS data. Remote Sens. Environ. 2014, 149, 118–129. [Google Scholar] [CrossRef]
- Woodhouse, I.H. Predicting backscatter-biomass and height-biomass trends using a macroecology model. IEEE Trans. Geosci. Remote Sens. 2006, 44, 871–877. [Google Scholar] [CrossRef]
- Fransson, J.E.S.; Israelsson, H. Estimation of stem volume in boreal forests using ERS-1 C- and JERS-1 L-band SAR data. Int. J. Remote Sens. 1999, 20, 123–137. [Google Scholar] [CrossRef]
- Brolly, M.; Woodhouse, I.H. Vertical backscatter profile of forests predicted by a macroecological plant model. Int. J. Remote Sens. 2013, 34, 1026–1040. [Google Scholar] [CrossRef]
- Smith-Jonforsen, G.; Folkesson, K.; Hallberg, B.; Ulander, L.M.H. Effects of forest biomass and stand consolidation on P-band backscatter. IEEE Geosci. Remote Sens. Lett. 2007, 4, 669–673. [Google Scholar] [CrossRef]
- Le Toan, T.; Beaudoin, A.; Riom, J.; Guyon, D. Relating forest biomass to SAR data. IEEE Trans. Geosci. Remote Sens. 1992, 30, 403–411. [Google Scholar] [CrossRef]
- Baker, J.R.; Mitchell, P.L.; Cordey, R.A.; Groom, G.B.; Settle, J.J.; Stileman, M.R. Relationships between physical characteristics and polarimetric radar backscatter for Corsican pine stands in Thetford Forest, U.K. Int. J. Remote Sens. 1994, 15, 2827–2849. [Google Scholar] [CrossRef]
- Le Toan, T.; Quegan, S.; Davidson, M.W.J.; Balzter, H.; Paillou, P.; Papathanassiou, K.; Plummer, S.; Rocca, F.; Saatchi, S.; Shugart, H.; et al. The BIOMASS mission: Mapping global forest biomass to better understand the terrestrial carbon cycle. Remote Sens. Environ. 2011, 115, 2850–2860. [Google Scholar] [CrossRef]
- Ningthoujam, R.K.; Balzter, H.; Tansey, K.; Morrison, K.; Johnson, S.C.M.; Gerard, F.; George, C.; Malhi, Y.; Burbidge, G.; Doody, S.; et al. Airborne S-band SAR for forest biophysical retrieval in temperate mixed forests of the UK. Remote Sens. 2016, 8, 609. [Google Scholar] [CrossRef]
- Crutchley, S.P.; Small, F.; Bowden, M. Savernake Forest: A Report for the National Mapping Programme; English Heritage: Swindon, UK, 2009; pp. 1–75. [Google Scholar]
- Hall, J.E.; Kirby, K.J.; Whitbread, A.M. National Vegetation Classification: Field Guide to Woodland; Joint Nature Conservation Committee: Peterborough, UK, 2004. [Google Scholar]
- Radambrasil, P. Folha SA. 21 Santare´m; Geologia, Geomorfologia, Solos, Vegetac a˜o e uso Potencial da Terra; Levantamento de Recursos Naturais, 10: Rio de janeiro, Brazil, 1976; 522p. [Google Scholar]
- Doumenge, C.; Ndinga, A.; Nembot, T.F.; Tchanou, Z.; Ondo, V.M.; Nze, N.O.; Bourobou, B.H.P.; Ngoye, A. Forest biodiversity conservation in atlantic regions of Central Africa: Ii. Identifying a network of critical sites. Bois For. Trop. 2003, 296, 43–58. [Google Scholar]
- Feldpausch, T.R.; Banin, L.; Phillips, O.L.; Baker, T.R.; Lewis, S.L.; Quesada, C.A.; Affum-Baffoe, K.; Arets, E.J.M.M.; Berry, N.J.; Bird, M.; et al. Height-diameter allometry of tropical forest trees. Biogeosciences 2011, 8, 1081–1106. [Google Scholar] [CrossRef]
- Champion, H.G.; Seth, S.K. A Revised Survey of Forest Types of India; New Delhi Government Publication: New Delhi, India, 1968. [Google Scholar]
- Environmental Change Network; Centre for Ecology and Hydrology. Data Citation Code: Ecn:Rn12/14. Available online: http://data.ecn.ac.uk (accessed on 22 January 2015).
- Wani, A.A. Integrated Resource Assessment of Forest Carbon Stock in Himalayan Region of South Kashmir. Ph.D. Thesis, Forestry (Forest Management), Forest Research Institute, Deemed University, Dehradun, India, 2013. [Google Scholar]
- Ningthoujam, R.K. Forest Cover, Stand Volume and Biomass Assessment in Dudhwa National Park Using Satellite Remote Sensing Data (Optical and Envisat ASAR). Master’s Thesis, Andhra University, Visakhapatnam, India, 2007. Available online: www.iirs.gov.in/iirs/sites/default/files/StudentThesis/biomass_assessment__asar__ramesh.pdf (accessed on 31 October 2007).
- Zianis, D.; Muukkonen, P.; Mäkipää, R.; Mencuccini, M. Biomass and stem volume equations for tree species in Europe. Silva Fenn. Monogr. 2005, 4, 4–63. [Google Scholar]
- Brown, S.; Gillespie, A.J.R.; Lugo, A.E. Biomass estimation methods for tropical forest with applications to forest inventory data. For. Sci. 1989, 35, 881–902. [Google Scholar]
- Uhl, C.; Buschbacher, R.; Serrão, E.A.S. Abandonned pastures in eastern amazonia: I. Patterns of plant sucession. J. Ecol. 1988, 76, 663–681. [Google Scholar] [CrossRef]
- Chave, J.; Andalo, C.; Brown, S.; Cairns, M.A.; Chambers, J.Q.; Eamus, D.; Fölster, H.; Fromard, F.; Higuchi, N.; Kira, T.; et al. Tree allometry and improved estimation of carbon stocks and balance in tropical forests. Oecologia 2005, 145, 87–99. [Google Scholar] [CrossRef] [PubMed]
- Forest Survey of India. Volume Equations for Forests of India, Nepal, and Bhutan; Forest Survey of India, Ministry of Environment & Forests, Government of India: India, 1996; p. 249. [Google Scholar]
- Ulaby, F.T.; Sarabandi, K.; McDonald, K.; Whitt, M.; Dobson, M.C. Michigan microwave canopy scattering model. Int. J. Remote Sens. 1990, 11, 1223–1253. [Google Scholar] [CrossRef]
- Bosisio, A.V.; Dechambre, M. Predictions of microwave attenuation through vegetation: A comparison with measurements. Int. J. Remote Sens. 2004, 25, 3973–3997. [Google Scholar] [CrossRef]
- Karam, M.A.; Amar, F.; Fung, A.K.; Mougin, E.; Lopes, A.; Le Vine, D.M.; Beaudoin, A. A microwave polarimetric scattering model for forest canopies based on vector radiative transfer theory. Remote Sens. Environ. 1995, 53, 16–30. [Google Scholar] [CrossRef]
- Liang, P.; Moghaddam, M.; Pierce, L.E.; Lucas, R.M. Radar backscattering model for multilayer mixed-species forests. IEEE Trans. Geosci. Remote Sens. 2005, 43, 2612–2626. [Google Scholar] [CrossRef]
- Grover, K.; Quegan, S.; Freitas, C.D. Quantitative estimation of tropical forest cover by SAR. IEEE Trans. Geosci. Remote Sens. 1999, 37, 479–490. [Google Scholar] [CrossRef]
- Batjes, N.H. World Soil Property Estimates for Broad-Scale Modelling (Wise30sec); Report 2015/01; Isric—World Soil Information: Wageningen, The Netherlands, 2015. [Google Scholar]
- Airbus. Airborne SAR Demonstrator Facility (Airsar) d2: User Guide; Airbus Defence and Space: Hampshire, UK, 2013; pp. 1–43. [Google Scholar]
- Morrison, K.; Bennett, J.; Solberg, S. Ground-based C-band tomographic profiling of a conifer forest stand. Int. J. Remote Sens. 2013, 34, 7838–7853. [Google Scholar] [CrossRef]




| Site (Forest Type) | Structural Characteristics |
|---|---|
| Savernake forest (Temperate Mixed Deciduous, Conifer) | Dominant broadleaved and conifer species have high density wood (30 m tall, 50 cm diameter), closed multi-storey canopy. |
| Wytham Woods (Temperate Mixed Deciduous) | Mature broadleaved trees are having density wood up to 180 cm diameter and 30 m tall closed, multi-level canopy. |
| Tapajós (Tropical Primary Ombrophilous Forests of Lowlands, Secondary forest stages-initial, intermediate, advanced) | Mature trees up to 40 m tall, closed, multi-storey canopy. Secondary forests are fast growing up to 15 m tall with more open canopies. |
| Cameroon (Tropical humid forest-savanna) | Open savanna with 10–30% canopy cover and 10 m tall, up to closed canopy dense forest with tree heights reaching up to 45 m. |
| Kashmir (Temperate Himalayan dry deciduous-subalpine Fir, alpine scrub, pastures) | Primarily irregular (uneven aged) conifer species attaining a height up to 35 m and 190 cm diameter. Broadleaved species occur sparsely at lower and alpine elevations. |
| Dudhwa National Park (Tropical Semi-evergreen, Moist deciduous) | Mature broadleaved species have density wood up to 45 m tall, 200 cm diameter with high density multi-storey canopy. |
| Site (Plots) | Average CH (m) | Average DBH (cm) | Stand Density (trees/ha) | AGB (t/ha) | Allometric Equations |
|---|---|---|---|---|---|
| SF-WW (25) | 6–23 | 7–42 | 20–350 | 31–520 | [36] |
| Tapajós (24) | 7–13.2 | 6.5–15.85 | 141–305 | 8–271.82 | [37,38] |
| Cameroon (24) | 6.6–14.6 | 11.7–24.6 | 42–641 | 6–456 | [39] |
| Kashmir (39) | 8–29 | 13–120 | 40–1800 | 29.5–136 | [40] |
| DNP (28) | 10–27 | 15–45 | 88–220 | 40–453 | [40] |
| Parameter | Units | Broadleaved (17 Stands) | Needleleaved (8 Stands) | |
|---|---|---|---|---|
| Trunk layer | Height | m | 4, 3, 5, 3, 7, 8, 7, 8, 7, 10, 7, 6, 11, 12, 11, 8, 11 | 8, 10, 5, 10, 8, 12, 5, 7 |
| Diameter | m | 1.7, 1.25, 1.26, 0.7, 1.6, 1.8, 2.6, 1.8, 1.5, 3.6, 2.6, 1.8, 3.3, 3.2, 2.2, 3.8, 2.3 | 1.9, 2.8, 0.8, 2.9, 1.8, 4.2, 1.2, 2.3 | |
| Canopy density | m−2 | 0.02, 0.02, 0.08, 0.35, 0.02, 0.02, 0.03, 0.02, 0.03, 0.02, 0.05, 0.18, 0.04, 0.04, 0.03, 0.02, 0.05 | 0.07, 0.07, 0.06, 0.06, 0.03, 0.04, 0.08, 0.03 | |
| Moisture (gravimetric) | - | 0.5 | 0.6 | |
| Crown layer | Crown thickness | m | 5.2, 3, 6, 3.2, 7, 7.3, 8, 8.9, 6.9, 11.9, 8.3, 7.1, 12.5, 11.6, 11.4, 8.2, 10.9 | 11, 9.2, 5, 10.2, 7.3, 15, 5.4, 7.8 |
| Leaf/needle density | m−3 | 830 | 100,000 | |
| Leaf/needle moisture (gravimetric) | - | 0.8 | 0.8 | |
| Leaf Area Index (single-sided) | - | 5 | 11.9 | |
| Branch density (1st, 2nd, 3rd, 4th) | m−3 | 4.1, 0.04, 0.45, 0.37 | 3.4 | |
| Branch length (1st, 2nd, 3rd, 4th) | m | 0.75, 1.15, 0.52, 0.33 | 2.0 | |
| Branch diameter (1st, 2nd, 3rd, 4th) | cm | 0.7, 1.6, 0.9, 0.57 | 2.0 | |
| Branch Moisture | - | 0.4 | 0.6 | |
| Leaf/needle/branch orientation | - | Uniform | Uniform | |
| Dielectric constant (trunk, branch) | - | 0.4 | 0.6 | |
| Dielectric constant (leaf) | - | 0.8 | 0.8 | |
| Soil | Soil root mean square height | cm | 0.45 | 0.45 |
| Soil Correlation length | cm | 18.75 | 18.75 | |
| Soil moisture (volumetric) | - | 0.15 | 0.15 | |
| Sand | % | 53 | 53 | |
| Silt | % | 28 | 28 | |
| Clay | % | 19 | 19 |
| Site | Wytham Woods | Savernake Forest |
|---|---|---|
| Acquisition date | 23 June 2014 | 24 June 2014 |
| Day and Time (local time) | Monday, 12 h 15 m GMT | Tuesday, 15 h 39 m GMT |
| Aircraft altitude (m) | 2407 | 3201 |
| Look angles (°) | 16–43.3 | 16–42.5 |
| Image size (pixels) | 26,633 (azimuth) × 1021 (range) | 41,810 (azimuth) × 1298 (range) |
| Polarisation | HH, VV, HV, VH | HH, VV, HV, VH |
| Pixel spacing (m) | 0.75 | 0.75 |
| Polarisation | AirSAR | MIMICS-I | ||||||
|---|---|---|---|---|---|---|---|---|
| Broadleaved | Needleleaved | Broadleaved | Needleleaved | |||||
| r2 | RMSE (t/ha) | r2 | RMSE (t/ha) | r2 | RMSE (t/ha) | r2 | RMSE (t/ha) | |
| HH | 0.58 | 1.50 ** | 0.47 | 0.96 * | 0.01 | 0.38 ns | 0.00 | 0.63 ns |
| VV | 0.27 | 2.12 * | 0.32 | 1.21 ns | 0.52 | 0.56 ** | 0.00 | 0.34 ns |
| HV | 0.31 | 2.53 * | 0.36 | 1.25 ns | 0.48 | 0.52 ** | 0.00 | 0.23 ns |
| Site | Polarisation | r2 | RMSE (t/ha) | Slope Confidence Interval | |
|---|---|---|---|---|---|
| Lower 95% | Upper 95% | ||||
| Tapajós | HH | 0.39 | 0.23 * | −9.94 | −9.17 |
| VV | 0.84 | 0.28 *** | −10.51 | −9.57 | |
| HV | 0.79 | 0.3 *** | −16.17 | −15.18 | |
| Cameroon | HH | 0.07 | 0.5 ns | −10.18 | −8.3 |
| VV | 0.63 | 0.52 *** | −11.81 | −9.88 | |
| HV | 0.53 | 0.57 *** | −17.55 | −15.41 | |
| Himalaya | HH | 0.91 | 0.49 ** | 16.99 | 5.47 |
| VV | 0.66 | 0.18 * | −12.52 | −8.11 | |
| HV | 0.88 | 0.19 ** | −22.04 | −17.47 | |
| Dudhwa | HH | 0.22 | 0.25 ** | −9.02 | −7.33 |
| VV | 0.33 | 0.35 ** | −10.38 | −8.06 | |
| HV | 0.34 | 0.28 ** | −15.82 | −13.91 | |
| Polarisation | Savernake/WW | Tapajós | Cameroon | Himalaya | Dudhwa | |||||
|---|---|---|---|---|---|---|---|---|---|---|
| r2 | RMSE | r2 | RMSE | r2 | RMSE | r2 | RMSE | r2 | RMSE | |
| HH | 0.1 | 122.53 ns | 0.00 | 92.24 ns | 0.00 | 112.51 ns | 0.9 | 33.8 ** | 0.34 | 155.92 * |
| VV | 0.32 | 106.48 * | 0.76 | 44.74 *** | 0.59 | 71.39 *** | 0.78 | 50.43 ** | 0.58 | 125.17 * |
| HV | 0.31 | 107.04 * | 0.71 | 48.99 *** | 0.57 | 73.37 *** | 0.87 | 37.88 ** | 0.34 | 155.86 * |
| Polarisation | r2 | RMSE | Slope Confidence Interval | |
|---|---|---|---|---|
| Lower 95% | Upper 95% | |||
| HH | 0.0 | 1.09 ns | −15.66 | −9.05 |
| VV | 0.16 | 0.16 * | −10.23 | −9.25 |
| HV | 0.01 | 0.2 ns | −15.15 | −13.9 |
© 2017 by the authors. Licensee MDPI, Basel, Switzerland. This article is an open access article distributed under the terms and conditions of the Creative Commons Attribution (CC BY) license (http://creativecommons.org/licenses/by/4.0/).
Share and Cite
Ningthoujam, R.K.; Balzter, H.; Tansey, K.; Feldpausch, T.R.; Mitchard, E.T.A.; Wani, A.A.; Joshi, P.K. Relationships of S-Band Radar Backscatter and Forest Aboveground Biomass in Different Forest Types. Remote Sens. 2017, 9, 1116. https://doi.org/10.3390/rs9111116
Ningthoujam RK, Balzter H, Tansey K, Feldpausch TR, Mitchard ETA, Wani AA, Joshi PK. Relationships of S-Band Radar Backscatter and Forest Aboveground Biomass in Different Forest Types. Remote Sensing. 2017; 9(11):1116. https://doi.org/10.3390/rs9111116
Chicago/Turabian StyleNingthoujam, Ramesh K., Heiko Balzter, Kevin Tansey, Ted R. Feldpausch, Edward T. A. Mitchard, Akhlaq A. Wani, and Pawan K. Joshi. 2017. "Relationships of S-Band Radar Backscatter and Forest Aboveground Biomass in Different Forest Types" Remote Sensing 9, no. 11: 1116. https://doi.org/10.3390/rs9111116
APA StyleNingthoujam, R. K., Balzter, H., Tansey, K., Feldpausch, T. R., Mitchard, E. T. A., Wani, A. A., & Joshi, P. K. (2017). Relationships of S-Band Radar Backscatter and Forest Aboveground Biomass in Different Forest Types. Remote Sensing, 9(11), 1116. https://doi.org/10.3390/rs9111116

