Impacts of Airborne Lidar Pulse Density on Estimating Biomass Stocks and Changes in a Selectively Logged Tropical Forest
Abstract
1. Introduction
2. Material and Methods
2.1. Study Area
2.2. Field Data Collection
2.3. Lidar Data Acquisition and Processing
- (i)
- Lidar data thinning: Lidar data from both 2012 and 2014 were thinned from the original pulse density of 13.8 and 37.5 pulses·m−2 to lower densities of 12, 10, 8, 6, 4, 2, 0.8, 0.6, 0.4 and 0.2 pulses·m−2. An example of the pulse density reduction is shown in Figure 2. The reduction of pulse density was executed using the algorithm implemented in the ThinData utility of the FUSION toolkit [24]. The algorithm first identifies all the returns that belong to a pulse, and randomly reduces the number of pulses until achieving the desired pulse density within a certain grid cell size (e.g., in this case 50 m). To evaluate the uncertainty in the thinning process, we generated 30 random replicates for each lidar dataset and target density.
- (ii)
- Digital terrain models and lidar data above ground height normalization: Ground returns were classified using the Progressive Triangulated Irregular Network (TIN) densification algorithm implemented in lasground [25] (settings: step is 10 m, bulge is 0.5 m, spike is 1 m, offset is 0.05 m), and 1 m DTMs were created for each of the reduced pulse density datasets using the blast2dem utility in Lastools [25]. Afterwards, the lidar datasets were normalized to height aboveground by subtraction of the DTM elevation from the Z coordinate of each return projected above the ground. In particular, the impacts of pulse density were assessed under two DTM scenarios. First, under the DTM scenario DS1, where the lidar datasets from both 2012 and 2014 were height normalized using the DTMs created from their respective thinned dataset. Second, under the DTM scenario DS2, where to simulate the impact of pulse density on subsequent acquisition, the DTMs generated at the highest pulse density (37.5 pulse·m−2) from 2014 were used to normalize the lidar datasets from both 2012 and 2014.
- (iii)
- Lidar-derived Mean Height (HMEAN): In this study, HMEAN, the mean height of all returns above 1.3 m in height, was computed at plot and landscape levels. Herein, even though the plot corners were geolocated with differential GNSS to within <1 m in most cases (Longo et al., 2016), we chose to optimize plot location to reflect canopy conditions. It is common to find trees with crown diameters larger than 30 m in the study area. When large tree stems are found outside of a plot, substantial proportions of their crowns may fall inside a plot thereby influencing lidar metrics such as HMEAN. To avoid these effects, we iteratively shifted each plot within a 25 m square neighbourhood on the lidar canopy height model (CHM) for improved co-registration, and consequently to achieve a better correlation between AGB and HMEAN. After this procedure, we observed that the plot centers were moved an average of 18.38 m (sd ± 6.32 m) from the initial plot locations. Finally, at the landscape level, HMEAN was computed in grids with a cell size of 50 m × 50 m.
2.4. Aboveground Biomass Change Estimation and Mapping
2.5. Assessing Effects of Pulse Density on Lidar-Derived Mean Canopy Height
2.6. Assessing Impacts of Pulse Density on the Aboveground Biomass Stocks and Change Estimation at the Plot and Landscape Levels
3. Results
3.1. Impacts of Lidar Pulse Density on Mean Canopy Height (HMEAN)
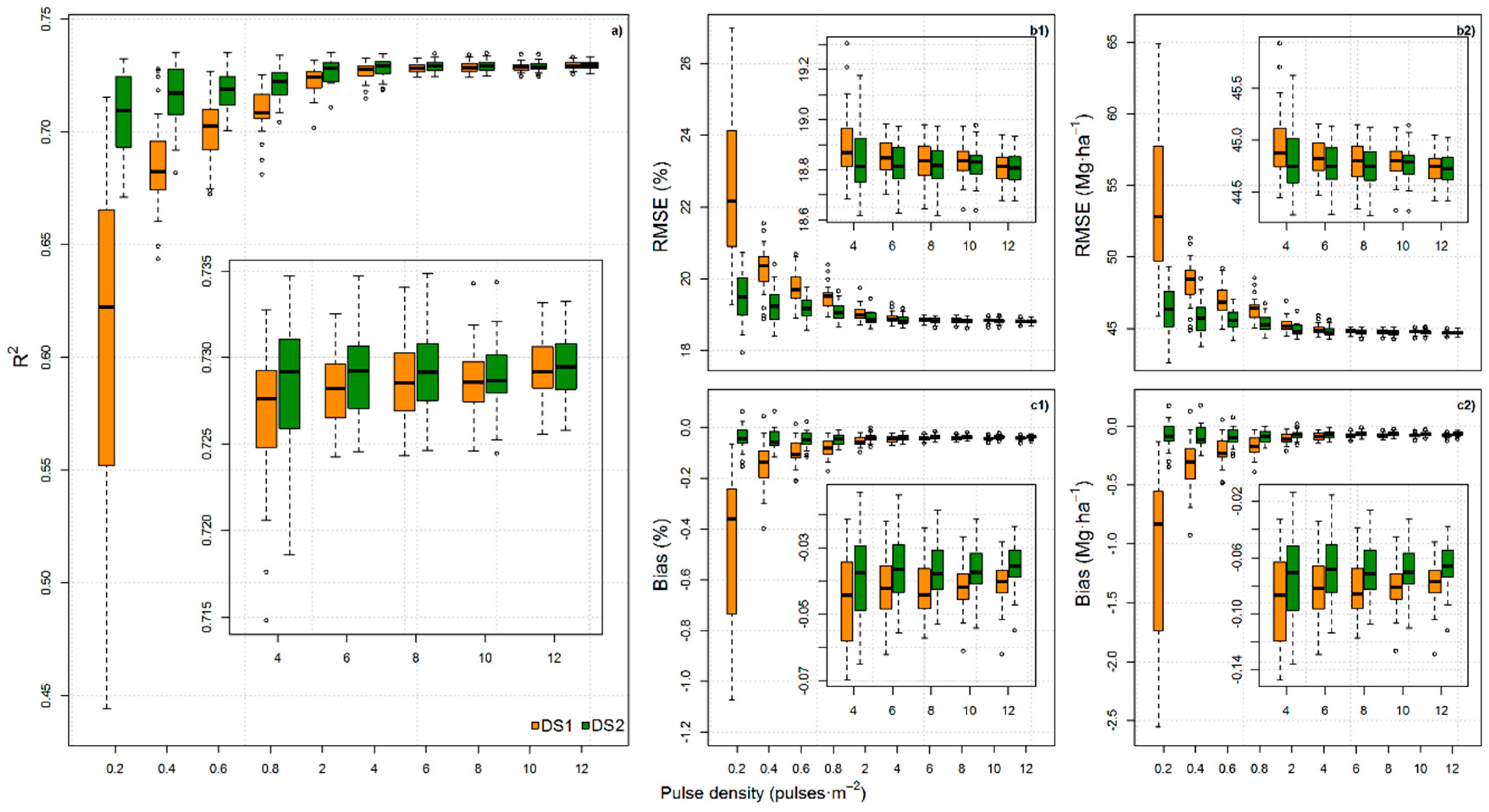
3.2. Effects of Lidar Pulse Density on AGB Modelling
3.3. Impacts of Lidar Pulse Density on AGB Stocks and AGB Change Estimation at the Plot and Landscape Levels
4. Discussion
5. Conclusions
Supplementary Materials
Acknowledgments
Author Contributions
Conflicts of Interest
References
- Hansen, M.C.; Potapov, P.V.; Moore, R.; Hancher, M.; Turubanova, S.A.; Tyukavina, A.; Thau, D.; Stehman, S.V.; Goetz, S.J.; Loveland, T.R.; et al. High-resolution global maps of 21st-century forest cover change. Science 2013, 342, 850–853. [Google Scholar] [CrossRef] [PubMed]
- Nepstad, D.; McGrath, D.; Stickler, C.; Alencar, A.; Azevedo, A.; Swette, B.; Bezerra, T.; DiGiano, M.; Shimada, J.; Motta, R.S.; et al. Slowing Amazon deforestation through public policy and interventions in beef and soy supply chains. Science 2014, 344, 1118–1123. [Google Scholar] [CrossRef] [PubMed]
- Matricardi, E.A.T.; Skole, D.; Pedlowski, M.A.; Fernandes, L.C. Assessment of tropical forest degradation by selective logging and fire using Landsat imagery. Remote Sens. Environ. 2010, 114, 1117–1129. [Google Scholar] [CrossRef]
- Vidal, E.; West, T.A.P.; Putz, F.E. Recovery of biomass and merchantable timber volumes twenty years after conventional and reduced-impact logging in amazonian Brazil. For. Ecol. Manag. 2016, 376, 1–8. [Google Scholar] [CrossRef]
- Asner, G.P.; Knapp, D.E.; Broadbent, E.N.; Oliveira, P.J.; Keller, M.; Silva, J.N. Selective logging in the brazilian Amazon. Science 2005, 310, 480–482. [Google Scholar] [CrossRef] [PubMed]
- Longo, M.; Keller, M.; dos-Santos, M.N.; Leitold, V.; Pinagé, E.R.; Baccini, A.; Saatchi, S.; Nogueira, E.M.; Batistella, M.; Morton, D.C. Aboveground biomass variability across intact and degradedforests in the Brazilian Amazon. Glob. Biogeochem. Cycles 2016, 30, 1639–1660. [Google Scholar] [CrossRef]
- D’Oliveira, M.V.N.; Reutebuch, S.E.; McGaughey, R.J.; Andersen, H.E. Estimating forest biomass and identifying low-intensity logging areas using airborne scanning lidar in Antimary State Forest, Acre State, Western Brazilian Amazon. Remote Sens. Environ. 2002, 124, 479–491. [Google Scholar] [CrossRef]
- Andersen, H.E.; Reutebuch, S.E.; McGaughey, R.J.; d’Oliveira, M.V.N.; Keller, M. Monitoring selective logging in western Amazonia with repeat lidar flights. Remote Sens. Environ. 2014, 151, 157–165. [Google Scholar] [CrossRef]
- Asner, G.P.; Mascaro, J. Mapping tropical forest carbon: Calibrating plot estimates to a simple LiDAR metric. Remote Sens. Environ. 2014, 140, 614–624. [Google Scholar] [CrossRef]
- Drake, J.B.; Dubayah, R.O.; Clark, D.B.; Knox, R.G.; Blair, J.B.; Hofton, M.A.; Chazdon, R.L.; Weishampel, J.F.; Prince, S. Estimation of tropical forest structural characteristics using large-footprint lidar. Remote Sens. Environ. 2002, 79, 305–319. [Google Scholar] [CrossRef]
- Drake, J.B.; Dubayah, R.O.; Knox, R.G.; Clark, D.B.; Blair, J.B. Sensitivity of large-footprint lidar to canopy structure and biomass in a neotropical rainforest. Remote Sens. Environ. 2002, 81, 378–392. [Google Scholar] [CrossRef]
- Dubayah, R.O.; Sheldon, S.L.; Clark, D.B.; Hofton, M.A.; Blair, J.B.; Hurtt, G.C. Estimation of tropical forest height and biomass dynamics using lidar remote sensing at La Selva, Costa Rica. J. Geophys. Res. 2010, 115. [Google Scholar] [CrossRef]
- Meyer, V.; Saatchi, S.S.; Chave, J.; Dalling, J.W.; Bohlman, S.; Fricker, G.A.; Robinson, C.; Neumann, M.; Hubbell, S. Detecting tropical forest biomass dynamics from repeated airborne lidar measurements. Biogeosciences 2013, 10, 5421–5438. [Google Scholar] [CrossRef]
- Silva, C.A.; Klauberg, C.; Hudak, A.T.; Vierling, L.A.; Liesenberg, V.; Carvalho, S.P.C.; Rodriguez, L.C.E. Principal component approach for predicting the stem volume in Eucalyptus plantations in Brazil using airborne lidar data. Forestry 2016, 89, 1–12. [Google Scholar] [CrossRef]
- Silva, C.A.; Klauberg, C.; Hudak, A.T.; Vierling, L.A.; Jaafar, W.S.W.M.; Mohan, M.; Garcia, M.; Ferraz, A.; Cardil, A.; Saatchi, S. Predicting Stem Total and Assortment Volumes in an Industrial Pinus taeda L. Forest Plantation Using Airborne Laser Scanning Data and Random Forest. Forests 2017, 8, 254. [Google Scholar] [CrossRef]
- Magnusson, M.; Fransson, J.E.S.; Holmgren, J. Effects on estimation accuracy of forest variables using different pulse density. For. Sci. 2007, 53, 619–626. [Google Scholar]
- Jakubowski, M.K.; Guo, Q.H.; Kelly, M. Tradeoffs between lidar pulse density and forest measurement accuracy. Remote Sens. Environ. 2013, 130, 245–253. [Google Scholar] [CrossRef]
- Le Quéré, C.; Moriarty, R.; Andrew, R.M.; Canadell, J.G.; Sitch, S.; Korsbakken, J.I.; Friedlingstein, P.; Peters, G.P.; Andres, R.J.; Boden, T.A.; et al. Global Carbon Budget. Earth Syst. Sci. Data 2015, 7, 349–396. [Google Scholar] [CrossRef]
- Leitold, V.; Keller, M.; Morton, D.C.; Cook, B.D.; Shimabukuro, Y.E. Airborne lidar-based estimates of tropical forest structure in complex terrain: Opportunities and trade-offs for REDD+. Carbon Balance Manag. 2015, 10, 2–12. [Google Scholar] [CrossRef] [PubMed]
- Ota, T.; Kajisa, T.; Mizoue, N.; Yoshida, S.; Takao, G.; Hirata, Y.; Furuya, N.; Sano, T.; Ponce-Hernandez, R.; Ahmed, O.S.; et al. Estimating aboveground carbon using airborne lidar in Cambodian tropical seasonal forests for REDD+ implementation. J. For. Res. 2015, 20, 484–492. [Google Scholar] [CrossRef]
- Alvares, C.A.; Stape, J.L.; Sentelhas, P.C.; Gonçalves, J.L.M. Modeling monthly mean air temperature for Brazil. Theor. Appl. Climatol. 2013, 113, 407–427. [Google Scholar] [CrossRef]
- RADAMBRASI. Projeto RADAMBRASIL: 1973–1983—Levantamento de Recursos Naturais; Ministério das Minas e Energia, Departamento Nacional de Produção Mineral: Rio de Janeiro, Brazil, 1983; Volume 1–23. [Google Scholar]
- Chave, J.; Andalo, C.; Brown, S.; Cairns, M.A.; Chambers, J.Q.; Eamus, D.; Fölster, H.; Fromard, F.; Higuchi, N.; Kira, T.; et al. Tree allometry and improved estimation of carbon stocks and balance in tropical forests. Oecologia 2005, 145, 87–99. [Google Scholar] [CrossRef] [PubMed]
- McGauchey, R.J. FUSION/LDV: Software for LiDAR Data Analysis and Visualization. Forest Service Pacific Northwest Research Station USDA: Seattle, WA, USA, 2015. Available online: http://forsys.cfr.washington.edu/fusion/FUSION_manual.pdf (accessed on 15 October 2016).
- Isenburg, M. LAStools—Efficient Tools for Lidar Processing. 2016. Available online: http://www.cs.unc.edu/~isenburg/lastools/ (accessed on 3 October 2016).
- R Core Team. R: A Language and Environment for Statistical Computing. R Foundation for Statistical Computing: Vienna, Austria, 2015. Available online: https://www.r-project.org/ (accessed on 15 May 2016).
- McRoberts, D. A model-based approach to estimating forest area. Remote Sens. Environ. 2006, 103, 56–66. [Google Scholar] [CrossRef]
- Weisbin, C.R.; Lincoln, W.; Saatchi, S. A systems engineering approach to estimating uncertainty in above-ground biomass (AGB) derived from remote-sensing data. Syst. Eng. 2014, 17, 361–373. [Google Scholar] [CrossRef]
- Garcia, M.; Saatchi, S.; Casas, A.; Koltunov, A.; Ustin, S.; Ramirez, C.; Garcia-Gutierrez, J.; Balzter, H. Quantifying biomass consumption and carbon release from the California Rim fire by integrating airborne lidar and Landsat OLI data. J. Geophys. Res. Biogeosci. 2017, 122, 340–353. [Google Scholar] [CrossRef] [PubMed]
- McRoberts, D.E.; Bollandsås, O.M.; Næsset, E. Modeling and estimating change. In Forestry Applications of Airborne Laser Scanning; Concepts and Case Studies; Maltamo, M., Naesset, E., Vauhkonen, J., Eds.; Springer: Dordrecht, The Netherlands, 2014; pp. 293–313. [Google Scholar]
- Hansen, E.; Gobakken, T.; Næsset, E. Effects of pulse density on digital terrain models and canopy metrics using airborne laser scanning in a tropical rainforest. Remote Sens. 2015, 7, 8453–8468. [Google Scholar] [CrossRef]
- Magnussen, S.; Næsset, E.; Gobakken, T. Remote sensing of environment reliability of lidar derived predictors of forest inventory attributes: A case study with Norway spruce. Remote Sens. Environ. 2010, 114, 700–712. [Google Scholar] [CrossRef]
- Strunk, J.; Temesgen, H.; Andersen, H.E.; Flewelling, J.P.; Madsen, L. Effects of lidar pulse density and sample size on a model-assisted approach to estimate forest inventory variables. Can. J. Remote Sens. 2012, 38, 644–654. [Google Scholar] [CrossRef]
- Singh, K.K.; Chen, G.; McCarter, J.B.; Meentemeyer, R.K. Effects of LiDAR point density and landscape context on estimates of urban forest biomass. ISPRS J. Photogramm. Remote Sens. 2015, 101, 310–322. [Google Scholar] [CrossRef]
- Hudak, A.T.; Crookston, N.L.; Evans, J.S.; Falkowski, M.J.; Smith, A.M.S.; Gessler, P.E. Regression modeling and mapping of coniferous forest basal area and tree density from discrete-return LiDAR and multispectral satellite data. Can. J. Remote Sens. 2006, 32, 126–138. [Google Scholar] [CrossRef]
- Næsset, E.; Bjerknes, K.O. Estimating tree heights and number of stems in young forest stands using airborne laser scanner data. Remote Sens. Environ. 2001, 78, 328–340. [Google Scholar] [CrossRef]
- Næsset, E. Predicting forest stand characteristics with airborne scanning laser using a practical two-stage procedure and field data. Remote Sens. Environ. 2002, 80, 88–99. [Google Scholar] [CrossRef]
- Silva, C.A.; Klauberg, C.; de Pádua, S.; Hudak, A.T.; Rodriguez, L.C. Mapping aboveground carbon stocks using LiDAR data in Eucalyptus spp. plantations in the state of São Paulo, Brazil. Sci. For. 2014, 42, 591–604. [Google Scholar]
- Naesset, E.; Gobakken, T. Estimation of above- and below-ground biomass across regions of the boreal forest zone using airborne laser. Remote Sens. Environ. 2008, 112, 3079–3090. [Google Scholar] [CrossRef]
- Silva, C.A.; Hudak, A.T.; Klauberg, C.; Vierling, L.A.; Gonzalez-Benecke, C.; de Padua Chaves Carvalho, S.; Rodriguez, L.C.E.; Cardil, A. Combined effect of pulse density and grid cell size on predicting and mapping aboveground carbon in fast-growing Eucalyptus forest plantation using airborne LiDAR data. Carbon Balance Manag. 2017, 12, 13. [Google Scholar] [CrossRef] [PubMed]
- Hudak, A.T.; Strand, E.K.; Vierling, L.A.; Byrne, J.C.; Eitel, J.U.H.; Martinuzzi, S.; Falkowski, M.J. Quantifying aboveground forest carbon pools and fluxes from repeat LiDAR surveys. Remote Sens. Environ. 2012, 123, 25–40. [Google Scholar] [CrossRef]
- Silva, C.A.; Hudak, A.; Vierling, L.A.; Loudermilk, L.; O’brien, J.J.; Hiers, J.; Jack, J.; Gonzalez-Benecke, C.A.; Lee, H.; Falkowskie, M.J.; et al. Imputation of individual longleaf pine ( Mill.) Tree attributes from field and LiDAR Data. Can. J. Remote Sens. 2016, 42, 554–573. [Google Scholar] [CrossRef]
- Garcia, M.; Saatchi, S.; Ferraz, A.; Silva, C.A.; Ustin, S.; Koltunov, A.; Balzter, H. Impact of data model and point density on aboveground forest biomass estimation from airborne LiDAR. Carbon Balance Manag. 2017, 12, 4. [Google Scholar] [CrossRef] [PubMed]
- Tesfamichael, S.G.; Ahmed, F.B.; van Aardt, J.A.N. Investigating the impact of discrete-return LiDAR point density on estimations of mean and dominant plot-level tree height in Eucalyptus grandis plantations. Int. J. Remote Sens. 2010, 31, 2925–2940. [Google Scholar] [CrossRef]
- Lovell, J.L.; Jupp, D.L.B.; Newnham, G.J.; Coops, N.C.; Culvenor, D.S. Simulation study for finding optimal lidar acquisition parameters for forest height retrieval. For. Ecol. Manag. 2005, 214, 398–412. [Google Scholar] [CrossRef]
- Watt, M.S.; Meredith, A.; Watt, P.; Gunn, A. The influence of LiDAR pulse density on the precision of inventory metrics in young unthinned Douglas-fir stands during initial and subsequent LiDAR acquisitions. N. Z. J. For. Sci. 2014, 44, 2–9. [Google Scholar] [CrossRef]
- Wilkes, P.; Jones, S.D.; Suarez, L.; Haywood, A.; Mellor, A.; Woodgate, W.; Soto-berelov, M.; Skidmore, A.K. Understanding the effects of ALS pulse density for metric retrieval across diverse forest types. Photogramm. Eng. Remote Sens. 2015, 81, 625–635. [Google Scholar] [CrossRef]
- Shenkin, A.; Bolker, B.; Peña-Claros, M.; Licona, J.C.; Putz, F.E. Fates of treesdamaged by logging in Amazonian Bolivia. For. Ecol. Manag. 2015, 357, 50–59. [Google Scholar] [CrossRef]
- Hummel, S.; Hudak, A.T.; Uebler, E.H.; Falkowski, M.J.; Megown, K.A. A comparison of accuracy and cost of LiDAR versus stand exam data for landscape management on the Malheur national forest. J. For. 2015, 109, 267–273. [Google Scholar]









| Field Attributes | min | max | mean | sd |
|---|---|---|---|---|
| dbh (cm) | 10.00 | 186.00 | 32.70 | 20.16 |
| AGB (kg·tree−1) | 22.46 | 73,700 | 1804 | 3684 |
| AGB (Mg·ha−1) | 65.34 | 525.79 | 238.11 | 86.48 |
| Data Attributes | 2012 | 2014 |
|---|---|---|
| Lidar system | ALTM 3100 | ALTM300 |
| Flight Altitude (m) | 850 | 850 |
| Acquisition Date | 27–29 July 2012 | 26–27 December 2014 |
| Scan Angle (°) | 11 | 12 |
| Scanning Frequency (Kz; Hz) | 59.8 | 83.0 |
| Pulse Density (pulses·m−2) | 13.8 | 37.5 |
| Datum | Sirgas 2000 | Sirgas 2000 |
| DTM Scenario | Model Parameter Estimates | Lidar Pulse Density (pulse·m−2) | |||||||||
|---|---|---|---|---|---|---|---|---|---|---|---|
| 0.2 | 0.4 | 0.6 | 0.8 | 2 | 4 | 6 | 8 | 10 | 12 | ||
| DS1 | 0.50 ± 0.35 | 0.22 ± 0.05 | 0.20 ± 0.03 | 0.18 ± 0.02 | 0.16 ± 0.01 | 0.16 ± 0.01 | 0.16 ± 0.00 | 0.16 ± 0.00 | 0.15 ± 0.00 | 0.15 ± 0.00 | |
| 2.08 ± 0.19 | 2.29 ± 0.07 | 2.33 ± 0.05 | 2.36 ± 0.03 | 2.39 ± 0.02 | 2.40 ± 0.01 | 2.41 ± 0.01 | 2.41 ± 0.01 | 2.41 ± 0.01 | 2.41 ± 0.01 | ||
| DS2 | 0.19 ± 0.03 | 0.17 ± 0.02 | 0.17 ± 0.01 | 0.16 ± 0.01 | 0.16 ± 0.01 | 0.16 ± 0.00 | 0.16 ± 0.00 | 0.15 ± 0.00 | 0.15 ± 0.00 | 0.15 ± 0.00 | |
| 2.35 ± 0.05 | 2.38 ± 0.04 | 2.39 ± 0.02 | 2.39 ± 0.02 | 2.41 ± 0.01 | 2.41 ± 0.01 | 2.41 ± 0.01 | 2.41 ± 0.01 | 2.41 ± 0.01 | 2.41 ± 0.01 | ||
| Pulse Density (pulse·m−2) | AGB 2012 (Mg·ha−1) | AGB 2014 (Mg·ha−1) | (Mg·ha−1) | |||
|---|---|---|---|---|---|---|
| Mean + Sd | Std Error | Mean + Sd | Std Error | Mean + Sd | Std Error | |
| DTM Scenario 1 (DS1) | ||||||
| 0.2 | 262.54 ± 78.93 | 1.12 | 278.42 ± 84.7 | 1.19 | 15.88 ± 33.09 | 2.64 |
| 0.4 | 266.56 ± 87.63 | 1.23 | 284.49 ± 94.59 | 1.31 | 17.93 ± 36.04 | 2.80 |
| 0.6 | 267.46 ± 89.5 | 1.25 | 286.00 ± 96.9 | 1.33 | 18.54 ± 36.61 | 2.80 |
| 0.8 | 268.18 ± 90.7 | 1.27 | 287.08 ± 98.39 | 1.35 | 18.9 ± 37.03 | 2.82 |
| 2 | 268.88 ± 92.26 | 1.29 | 288.41 ± 100.53 | 1.37 | 19.53 ± 37.71 | 2.84 |
| 4 | 268.96 ± 92.61 | 1.29 | 288.66 ± 100.98 | 1.37 | 19.69 ± 37.86 | 2.84 |
| 6 | 269.03 ± 92.79 | 1.29 | 288.74 ± 101.17 | 1.38 | 19.7 ± 37.92 | 2.85 |
| 8 | 269.11 ± 92.85 | 1.29 | 288.70 ± 101.16 | 1.38 | 19.59 ± 37.96 | 2.88 |
| 10 | 269.26 ± 93.01 | 1.29 | 288.70 ± 101.21 | 1.38 | 19.44 ± 38.08 | 2.93 |
| 12 | 269.45 ± 93.17 | 1.30 | 288.73 ± 101.28 | 1.38 | 19.28 ± 38.22 | 2.97 |
| DTM Scenario 2 (DS2) | ||||||
| 0.2 | 268.09 ± 90.32 | 1.26 | 291.3 ± 99.16 | 1.35 | 22.58 ± 37.22 | 2.41 |
| 0.4 | 268.43 ± 91.41 | 1.28 | 291.90 ± 100.42 | 1.37 | 22.84 ± 37.61 | 2.44 |
| 0.6 | 268.54 ± 91.8 | 1.28 | 292.14 ± 100.91 | 1.37 | 22.97 ± 37.8 | 2.44 |
| 0.8 | 268.87 ± 92.25 | 1.29 | 292.59 ± 101.43 | 1.38 | 23.08 ± 37.98 | 2.45 |
| 2 | 269.07 ± 92.77 | 1.29 | 292.92 ± 102.08 | 1.38 | 23.21 ± 38.22 | 2.47 |
| 4 | 269.05 ± 92.81 | 1.29 | 292.95 ± 102.13 | 1.38 | 23.25 ± 38.22 | 2.47 |
| 6 | 269.12 ± 92.92 | 1.29 | 293.02 ± 102.25 | 1.38 | 23.26 ± 38.25 | 2.48 |
| 8 | 269.18 ± 92.96 | 1.29 | 292.98 ± 102.21 | 1.38 | 23.16 ± 38.29 | 2.49 |
| 10 | 269.31 ± 93.1 | 1.30 | 292.98 ± 102.25 | 1.38 | 23.04 ± 38.4 | 2.52 |
| 12 | 269.48 ± 93.23 | 1.30 | 292.99 ± 102.29 | 1.38 | 22.89 ± 38.52 | 2.56 |
© 2017 by the authors. Licensee MDPI, Basel, Switzerland. This article is an open access article distributed under the terms and conditions of the Creative Commons Attribution (CC BY) license (http://creativecommons.org/licenses/by/4.0/).
Share and Cite
Silva, C.A.; Hudak, A.T.; Vierling, L.A.; Klauberg, C.; Garcia, M.; Ferraz, A.; Keller, M.; Eitel, J.; Saatchi, S. Impacts of Airborne Lidar Pulse Density on Estimating Biomass Stocks and Changes in a Selectively Logged Tropical Forest. Remote Sens. 2017, 9, 1068. https://doi.org/10.3390/rs9101068
Silva CA, Hudak AT, Vierling LA, Klauberg C, Garcia M, Ferraz A, Keller M, Eitel J, Saatchi S. Impacts of Airborne Lidar Pulse Density on Estimating Biomass Stocks and Changes in a Selectively Logged Tropical Forest. Remote Sensing. 2017; 9(10):1068. https://doi.org/10.3390/rs9101068
Chicago/Turabian StyleSilva, Carlos Alberto, Andrew Thomas Hudak, Lee Alexander Vierling, Carine Klauberg, Mariano Garcia, António Ferraz, Michael Keller, Jan Eitel, and Sassan Saatchi. 2017. "Impacts of Airborne Lidar Pulse Density on Estimating Biomass Stocks and Changes in a Selectively Logged Tropical Forest" Remote Sensing 9, no. 10: 1068. https://doi.org/10.3390/rs9101068
APA StyleSilva, C. A., Hudak, A. T., Vierling, L. A., Klauberg, C., Garcia, M., Ferraz, A., Keller, M., Eitel, J., & Saatchi, S. (2017). Impacts of Airborne Lidar Pulse Density on Estimating Biomass Stocks and Changes in a Selectively Logged Tropical Forest. Remote Sensing, 9(10), 1068. https://doi.org/10.3390/rs9101068

