Extracting Canopy Surface Texture from Airborne Laser Scanning Data for the Supervised and Unsupervised Prediction of Area-Based Forest Characteristics
Abstract
:1. Introduction
2. Materials and Methods
2.1. Experimental Data
2.1.1. Study Area
2.1.2. ALS Data
2.1.3. Field Measurements
2.1.4. Field Plot Attributes Derived for the Evaluation
2.2. Canopy Height Model (CHM) Generation
2.3. Textural Feature Extraction from the CHM
2.3.1. HIST Features
2.3.2. PATCH Features
2.3.3. GLCM Features
2.3.4. LBP Features
2.3.5. Conventional Point-Based ALS Features
2.4. Supervised Prediction of Forest Attributes
2.5. Unsupervised Classification of the Forested Area
3. Results
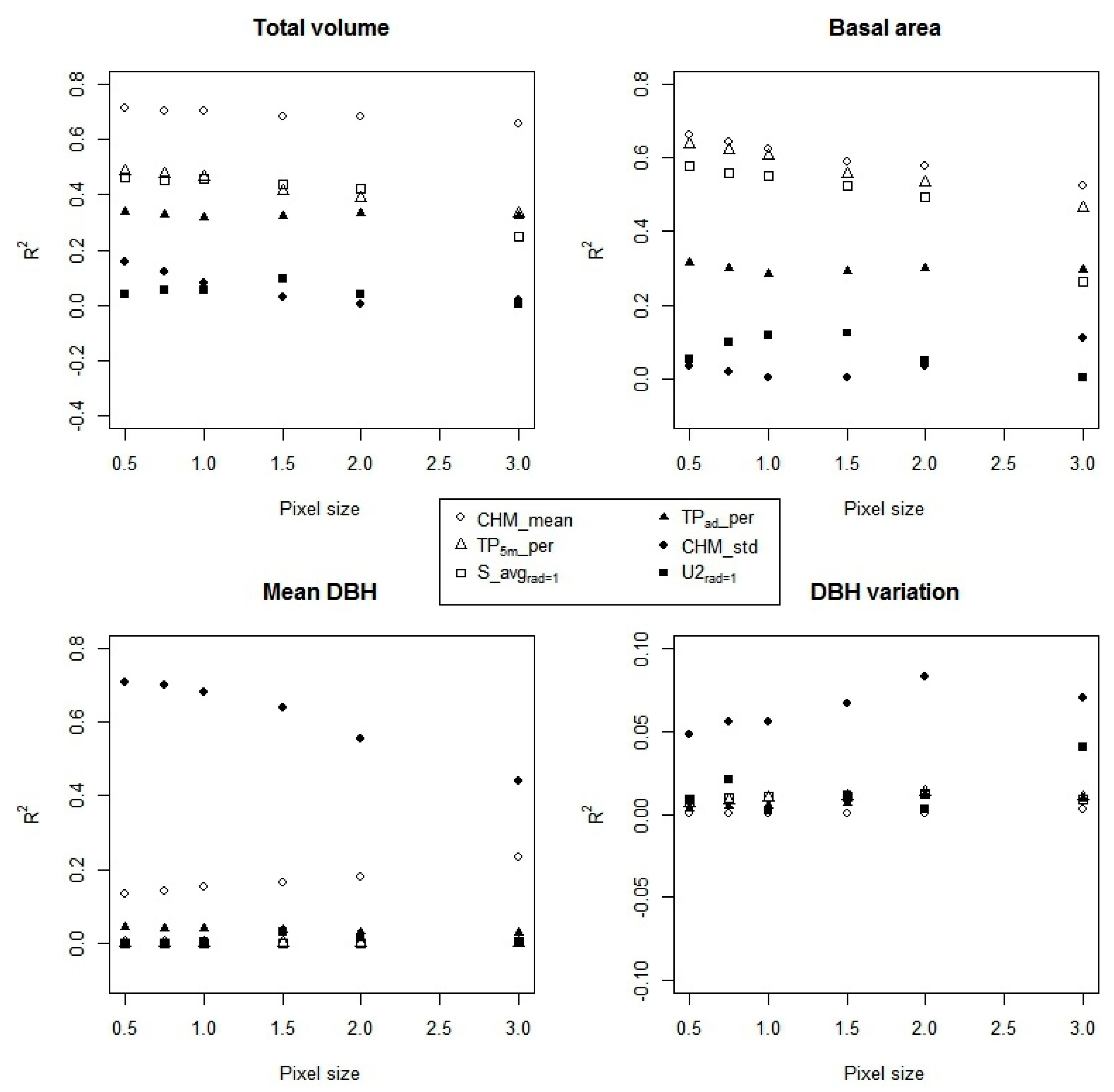
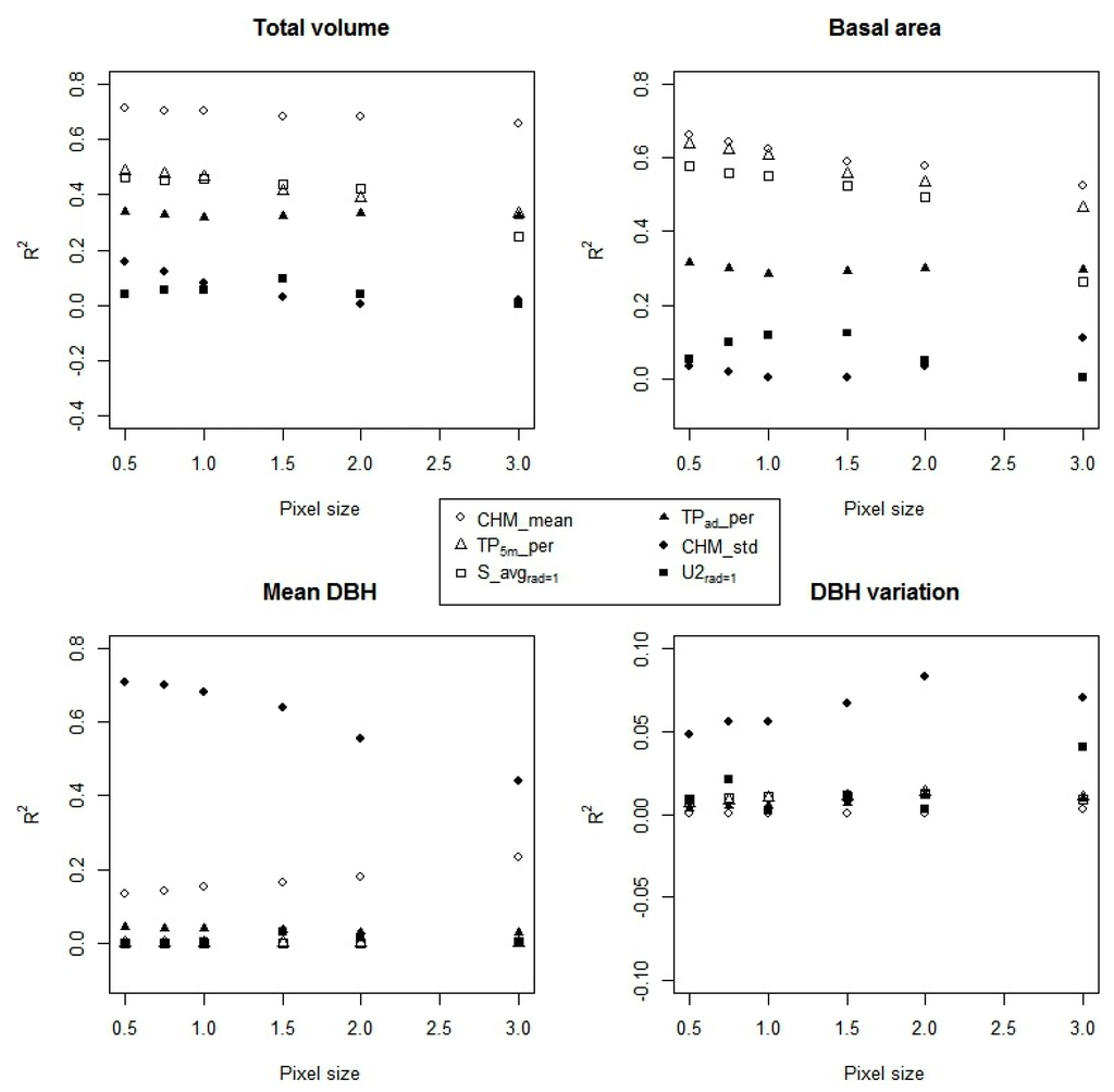
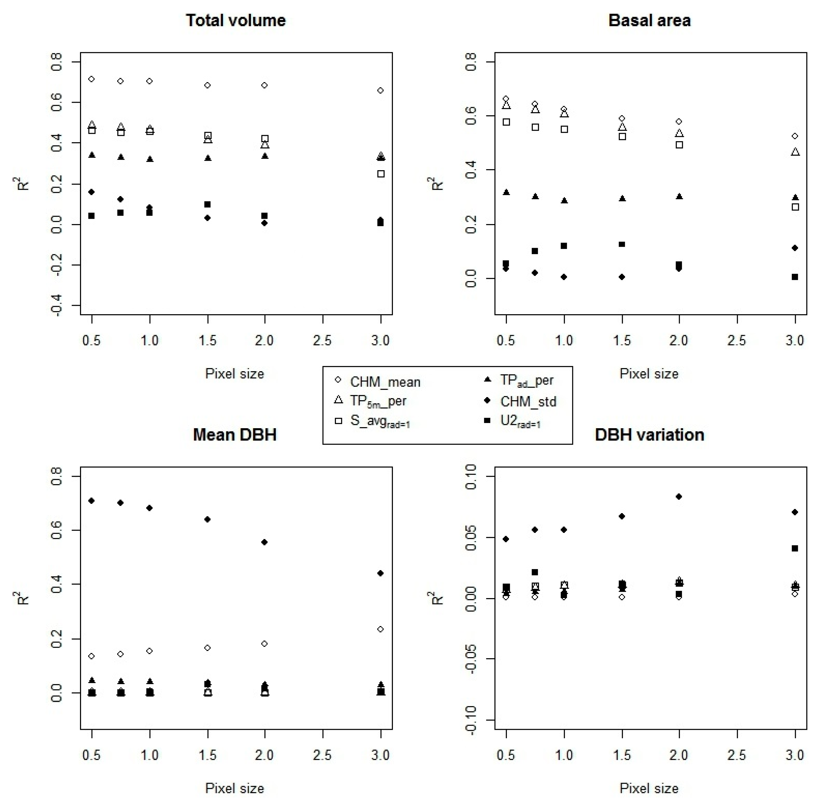
3.1. Effects of the CHM Parameters to the Textural Features
3.2. The Degree of Determination between the Textural Features and Forest Attributes
3.3. Prediction Accuracies Based on the Linear Regression Models
3.4. Unsupervised Classification
4. Discussion
5. Conclusions
Supplementary Materials
Acknowledgments
Author Contributions
Conflicts of Interest
References
- Maltamo, M.; Næsset, E.; Vauhkonen, J. Forestry Applications of Airborne Laser Scanning—Concepts and Case Studies, 1st ed.; Springer: Dordrecht, The Netherlands, 2014. [Google Scholar]
- Nord-Larsen, T.; Schumacher, J. Estimation of forest resources from a country wide laser scanning survey and national forest inventory data. Remote Sens. Environ. 2012, 119, 148–157. [Google Scholar] [CrossRef]
- Villikka, M.; Packalén, P.; Maltamo, M. The suitability of leaf-off airborne laser scanning data in an area-based forest inventory of coniferous and deciduous trees. Silva Fenn. 2012, 46, 99–110. [Google Scholar] [CrossRef]
- Kankare, V.; Vauhkonen, J.; Holopainen, M.; Vastaranta, M.; Hyyppä, J.; Hyyppä, H.; Alho, P. Sparse density, leaf-off airborne laser scanning data in aboveground biomass component prediction. Forests 2015, 6, 1839–1857. [Google Scholar] [CrossRef]
- Næsset, E. Predicting forest stand characteristics with airborne scanning laser using a practical two-stage procedure and field data. Remote Sens. Environ. 2002, 80, 88–99. [Google Scholar] [CrossRef]
- Næsset, E. Area-based inventory in Norway—From innovation to an operational reality. In Forestry Applications of Airborne Laser Scanning—Concepts and Case Studies, 1st ed.; Maltamo, M., Næsset, E., Vauhkonen, J., Eds.; Springer: Dordrecht, The Netherlands, 2014; pp. 215–240. [Google Scholar]
- Maltamo, M.; Packalen, P. Species-specific management inventory in Finland. In Forestry Applications of Airborne Laser Scanning—Concepts and Case Studies, Managing Forest Ecosystems, 1st ed.; Maltamo, M., Næsset, E., Vauhkonen, J., Eds.; Springer: Dordrecht, The Netherlands, 2014; pp. 241–252. [Google Scholar]
- White, J.C.; Wulder, M.A.; Varhola, A.; Vastaranta, M.; Coops, N.C.; Cook, B.D.; Pitt, D.; Woods, M. A Best Practices Guide for Generating Forest Inventory Attributes from Airborne Laser Scanning Data Using an Area-Based Approach (Version 2.0); Information Report FI-X-010; The Canadian Wood Fibre Centre: Victoria, BC, Canada, 2013. [Google Scholar]
- Magnussen, S.; Boudewyn, P. Derivations of stand heights from airborne laser scanner data with canopy-based quantile estimators. Can. J. For. Res. 1998, 28, 1016–1031. [Google Scholar] [CrossRef]
- Vauhkonen, J.; Seppänen, A.; Packalén, P.; Tokola, T. Improving species-specific plot volume estimates based on airborne laser scanning and image data using alpha shape metrics and balanced field data. Remote Sens. Environ. 2012, 124, 534–541. [Google Scholar] [CrossRef]
- Vauhkonen, J.; Næsset, E.; Gobakken, T. Deriving airborne laser scanning based computational canopy volume for forest biomass and allometry studies. ISPRS J. Photogramm. Remote Sens. 2014, 96, 57–66. [Google Scholar] [CrossRef]
- Vauhkonen, J.; Holopainen, M.; Kankare, V.; Vastaranta, M.; Viitala, R. Geometrically explicit description of forest canopy based on 3D triangulations of airborne laser scanning data. Remote Sens. Environ. 2016, 173, 248–257. [Google Scholar] [CrossRef]
- Vehmas, M.; Packalén, P.; Maltamo, M.; Eerikäinen, K. Using airborne laser scanning data for detecting canopy gaps and their understory type in mature boreal forest. Ann. For. Sci. 2011, 68, 825–835. [Google Scholar] [CrossRef]
- Bouvier, M.; Durrieu, S.; Fournier, R.A.; Renaud, J. Generalizing predictive models of forest inventory attributes using an area-based approach with airborne LiDAR data. Remote Sens. Environ. 2015, 156, 322–334. [Google Scholar] [CrossRef]
- Latifi, H.; Heurich, M.; Hartig, F.; Müller, J.; Krzystek, P.; Jehl, H.; Dech, S. Estimating over-and understorey canopy density of temperate mixed stands by airborne LiDAR data. Forestry 2016, 89, 69–81. [Google Scholar] [CrossRef]
- Lee, A.C.; Lucas, R.M. A LiDAR-derived canopy density model for tree stem and crown mapping in Australian forests. Remote Sens. Environ. 2007, 111, 493–518. [Google Scholar] [CrossRef]
- Ferraz, A.; Mallet, C.; Jacquemoud, S.; Rito Gonçalves, G.; Tomé, M.; Soares, P.; Gomes Pereira, L.; Bretar, F. Canopy density model: A new ALS-derived product to generate multilayer crown cover maps. IEEE Trans. Geosci. Remote Sens. 2015, 53, 6776–6790. [Google Scholar] [CrossRef]
- Hyyppä, J.; Yu, X.; Hyyppä, H.; Vastaranta, M.; Holopainen, M.; Kukko, A.; Kaartinen, H.; Jaakkola, A.; Vaaja, M.; Koskinen, J.; Alho, P. Advances in forest inventory using airborne laser scanning. Remote Sens. 2012, 4, 1190–1207. [Google Scholar] [CrossRef]
- Pippuri, I.; Kallio, E.; Maltamo, M.; Peltola, H.; Packalén, P. Exploring horizontal area-based metrics to discriminate the spatial pattern of trees and need for first thinning using airborne laser scanning. Forestry 2012, 85, 305–314. [Google Scholar] [CrossRef]
- Packalén, P.; Vauhkonen, J.; Kallio, E.; Peuhkurinen, J.; Pitkänen, J.; Pippuri, I.; Strunk, J.; Maltamo, M. Predicting the spatial pattern of trees by airborne laser scanning. Int. J. Remote Sens. 2013, 34, 5154–5165. [Google Scholar] [CrossRef]
- Cohen, W.B.; Spies, T.A. Estimating structural attributes of Douglas-fir/western hemlock forest stands from Landsat and SPOT imagery. Remote Sens. Environ. 1992, 41, 1–17. [Google Scholar] [CrossRef]
- Franklin, S.E.; Waring, R.H.; McCreight, R.W.; Cohen, W.B.; Fiorella, M. Aerial and satellite sensor detection and classification of western spruce budworm defoliation in a subalpine forest. Can. J. Remote Sens. 1995, 21, 299–308. [Google Scholar] [CrossRef]
- Wulder, M.A.; Franklin, S.E.; Lavigne, M.B. High spatial resolution optical image texture for improved estimation of forest stand leaf area index. Can. J. Remote Sens. 1996, 22, 441–449. [Google Scholar] [CrossRef]
- Franklin, S.E.; Hall, R.J.; Moskal, L.M.; Maudie, A.J.; Lavigne, M.B. Incorporating texture into classification of forest species composition from airborne multispectral images. Int. J. Remote Sens. 2000, 21, 61–79. [Google Scholar] [CrossRef]
- Franklin, S.E.; Wulder, M.A.; Gerylo, G.R. Texture analysis of IKONOS panchromatic data for Douglas-fir forest age class separability in British Columbia. Int. J. Remote Sens. 2001, 22, 2627–2632. [Google Scholar] [CrossRef]
- Muinonen, E.; Maltamo, M.; Hyppänen, H.; Vainikainen, V. Forest stand characteristics estimation using a most similar neighbor approach and image spatial structure information. Remote Sens. Environ. 2001, 78, 223–228. [Google Scholar] [CrossRef]
- Anttila, P. Nonparametric estimation of stand volume using spectral and spatial features of aerial photographs and old inventory data. Can. J. For. Res. 2002, 32, 1849–1857. [Google Scholar] [CrossRef]
- Tuominen, S.; Pekkarinen, A. Performance of different spectral and textural aerial photograph features in multi-source inventory. Remote Sens. Environ. 2005, 94, 256–268. [Google Scholar] [CrossRef]
- Maltamo, M.; Malinen, J.; Packalén, P.; Suvanto, A.; Kangas, J. Nonparametric estimation of stem volume using airborne laser scanning, aerial photography, and stand-register data. Can. J. For. Res. 2006, 36, 426–436. [Google Scholar] [CrossRef]
- Packalén, P.; Maltamo, M. Predicting the plot volume by tree species using airborne laser scanning and aerial photographs. For. Sci. 2006, 52, 611–622. [Google Scholar]
- Hyyppä, J.; Inkinen, M. Detecting and estimating attributes for single trees using laser scanner. Photogramm. J. Finland 1999, 16, 27–42. [Google Scholar]
- Vauhkonen, J.; Tokola, T.; Maltamo, M.; Packalén, P. Effects of pulse density on predicting characteristics of individual trees of Scandinavian commercial species using alpha shape metrics based on airborne laser scanning data. Can. J. Remote Sens. 2008, 34, S441–S459. [Google Scholar] [CrossRef]
- Heinzel, J.; Koch, B. Investigating multiple data sources for tree species classification in temperate forest and use for single tree delineation. Int. J. Appl. Earth Obs. Geoinfo. 2012, 18, 101–110. [Google Scholar] [CrossRef]
- Ozdemir, I.; Donoghue, D.N.M. Modelling tree size diversity from airborne laser scanning using canopy height models with image texture measures. For. Ecol. Manage. 2013, 295, 28–37. [Google Scholar] [CrossRef]
- Pippuri, I.; Suvanto, A.; Maltamo, M.; Korhonen, K.T.; Pitkänen, J.; Packalen, P. Classification of forest land attributes using multi-source resolution data. Int. J. Appl. Earth Obs. Geoinfo. 2016, 44, 11–22. [Google Scholar] [CrossRef]
- Haralick, R.M.; Shanmugam, K.; Dinstein, J. Textural features for image classification. IEEE Trans. Syst. Man Cybernetics 1973, 3, 610–621. [Google Scholar] [CrossRef]
- Ruiz, L.A.; Fdez-Sarría, A.; Recio, J.A. Texture feature extraction for classification of remote sensing data using wavelet decomposition: A comparative study. In Proceedings of the 20th ISPRS Conference, Istanbul, Turkey, 12–23 July 2004.
- Cressie, N. Statistics for Spatial Data: Wiley Series in Probability and Statistics; John Wiley & Sons: Hoboken, NJ, USA, 1993; pp. 105–209. [Google Scholar]
- St-Onge, B.A.; Cavayas, F. Estimating forest stand structure from high resolution imagery using the directional variogram. Int. J. Remote Sens. 1995, 16, 1999–2021. [Google Scholar] [CrossRef]
- St-Onge, B.A.; Cavayas, F. Automated forest structure mapping from high resolution imagery based on directional semivariogram estimates. Remote Sens. Environ. 1997, 61, 82–95. [Google Scholar] [CrossRef]
- Wulder, M.; Boots, B. Local spatial autocorrelation characteristics of remotely sensed imagery assessed with the Getis statistic. Int. J. Remote Sens. 1998, 19, 2223–2231. [Google Scholar] [CrossRef]
- Wallerman, J.; Holmgren, J. Estimating field-plot data of forest stands using airborne laser scanning and SPOT HRG data. Remote Sens. Environ. 2007, 110, 501–508. [Google Scholar] [CrossRef]
- Riitters, K.H.; O'Neill, R.V.; Hunsaker, C.T.; Wickham, J.D.; Yankee, D.H.; Timmins, S.P.; Jones, K.B.; Jackson, B.L. A factor analysis of landscape pattern and structure metrics. Landsc. Ecol. 1995, 10, 23–39. [Google Scholar] [CrossRef]
- Ojala, T.; Pietikäinen, M.; Mäenpää, T. Multiresolution gray-scale and rotation invariant texture classification with local binary patterns. IEEE Trans. Patt. Anal. Mach. Intell. 2002, 24, 971–987. [Google Scholar] [CrossRef]
- Varma, M.; Zisserman, A. A statistical approach to texture classification from single images. Int. J. Comput. Vis. 2005, 62, 61–81. [Google Scholar] [CrossRef]
- Varma, M.; Zisserman, A. A statistical approach to material classification using image patch exemplars. IEEE Trans. Patt. Anal. Mach. Intell. 2009, 31, 2032–2047. [Google Scholar] [CrossRef]
- Crosier, M.; Griffin, L.D. Using basic image features for texture classification. Int. J. Comput. Vis. 2010, 88, 447–460. [Google Scholar] [CrossRef]
- Perea, J.A.; Carlsson, G.A. Klein-Bottle-Based dictionary for texture representation. Int. J. Comput. Vision 2014, 107, 75–97. [Google Scholar] [CrossRef]
- Zimble, D.A.; Evans, D.L.; Carlson, G.C.; Parker, R.C.; Grado, S.C.; Gerard, P.D. Characterizing vertical forest structure using small-footprint airborne LiDAR. Remote Sens. Environ. 2003, 87, 171–182. [Google Scholar] [CrossRef]
- Maltamo, M.; Packalén, P.; Yu, X.; Eerikäinen, K.; Hyyppä, J.; Pitkänen, J. Identifying and quantifying structural characteristics of heterogeneous boreal forests using laser scanner data. For. Ecol. Manag. 2005, 216, 41–50. [Google Scholar] [CrossRef]
- Liu, X. Airborne LiDAR for DEM generation: Some critical issues. Progr. Phys. Geogr. 2008, 32, 31–49. [Google Scholar]
- Maltamo, M.; Bollandsås, O.M.; Næsset, E.; Gobakken, T.; Packalén, P. Different plot selection strategies for field training data in ALS-assisted forest inventory. Forestry 2011, 84, 23–31. [Google Scholar] [CrossRef]
- Dalponte, M.; Martinez, C.; Rodeghiero, M.; Gianelle, D. The role of ground reference data collection in the prediction of stem volume with LiDAR data in mountain areas. ISPRS J. Photogramm. Remote Sens. 2011, 66, 787–797. [Google Scholar] [CrossRef]
- Gobakken, T.; Korhonen, L.; Næsset, E. Laser-assisted selection of field plots for an area-based forest inventory. Silva Fenn. 2013. [Google Scholar] [CrossRef]
- Maltamo, M.; Ørka, H.O.; Bollandsås, O.M.; Gobakken, T.; Næsset, E. Using pre-classification to improve the accuracy of species-specific forest attribute estimates from airborne laser scanner data and aerial images. Scand. J. For. Res. 2015, 30, 336–345. [Google Scholar] [CrossRef]
- National Land Survey of Finland. File Service of Open Data. Available online: https://tiedostopalvelu.maanmittauslaitos.fi/tp/kartta?lang=en (accessed on 12 May 2016).
- Axelsson, P. DEM generation from laserscanner data using adaptive TIN models. Int. Arch. Photogramm. Remote Sens. 2000, 33, 16–22. [Google Scholar]
- Vilhomaa, J.; Laaksonen, H. Valtakunnallinen laserkeilaus—Testityöstä tuotantoon (in Finnish for “National laser scanning—From testing to production”). Photogramm. J. Finland 2011, 22, 82–91. [Google Scholar]
- Vauhkonen, J.; Imponen, J. Unsupervised classification of airborne laser scanning data to locate potential wildlife habitats for forest management planning. Forestry 2016. [Google Scholar] [CrossRef]
- Näslund, M. Skogsförsöksanstaltens gallringsförsök i tallskog (in Swedish for “Forestry Institute’s thinning trial in a pine forest”). Meddelanden 1936, 29, 169. [Google Scholar]
- Siipilehto, J. Improving the accuracy of predicted basal-area diameter distribution in advanced stands by determining stem number. Silva Fenn. 1999, 33, 281–301. [Google Scholar] [CrossRef]
- Laasasenaho, J. Taper curve volume functions for pine, spruce and birch. Comm. Inst. For. Fenn. 1982, 108, 1–74. [Google Scholar]
- Lu, G.Y.; Wong, D.W. An adaptive inverse-distance weighting spatial interpolation technique. Comput. Geosci. 2008, 34, 1044–1055. [Google Scholar] [CrossRef]
- Wu, J. Rotation Invariant Classification of 3D Surface Texture Using photometric Stereo. Ph.D. Thesis, Heriot-Watt University, Edinburgh, UK, 2003. [Google Scholar]
- Ojala, T.; Pietikäinen, M. Texture Classification. In CVonline—Compendium of Computer Vision; Fisher, R.B., Ed.; Available online: http://homepages.inf.ed.ac.uk/rbf/CVonline/LOCAL_COPIES/OJALA1/texclas.htm (accessed on 12 May 2016).
- Tuceryan, M.; Vain, A.K. Texture analysis. In Handbook of Pattern Recognition and Vision; Chen, C.H., Pau, L.F., Wang, P.S.P., Eds.; World Scientific: Singapore, Singapore, 1993; pp. 235–276. [Google Scholar]
- Ahonen, T.; Pietikäinen, M. Face description with local binary patterns: Application to face recognition. IEEE Trans. Patt. Anal. Mach. Intell. 2006, 28, 2037–2041. [Google Scholar] [CrossRef]
- Guo, Z.; Zhang, L.; Zhang, D. A completed modeling of local binary pattern operator for texture classification. IEEE Trans. Image Proc. 2010, 19, 1657–1663. [Google Scholar]
- Korhonen, L.; Peuhkurinen, J.; Malinen, J.; Suvanto, A.; Maltamo, M.; Packalén, P.; Kangas, J. The use of airborne laser scanning to estimate sawlog volumes. Forestry 2008, 81, 499–510. [Google Scholar]
- Nagelkerke, N.J.D. A note on a general definition of the coefficient of determination. Biometrika 1991, 78, 691–692. [Google Scholar] [CrossRef]
- Wood, E.M.; Pidgeon, A.M.; Radeloff, V.C.; Keuler, N.S. Image texture as a remotely sensed measure of vegetation structure. Remote Sens. Environ. 2012, 121, 516–526. [Google Scholar] [CrossRef]
- Kane, V.R.; McGaughey, R.J.; Bakker, J.D.; Gersonde, R.F.; Lutz, J.A.; Franklin, J.F. Comparisons between field-and LiDAR-based measures of stand structural complexity. Can. J. For. Res. 2010, 40, 761–773. [Google Scholar] [CrossRef]
- Leiterer, R.; Furrer, R.; Schaepman, M.E.; Morsdorf, F. Forest canopy-structure characterization: A data-driven approach. For. Ecol. Manag. 2015, 358, 48–61. [Google Scholar] [CrossRef]
- Pascual, C.; García-Abril, A.; García-Montero, L.G.; Martín-Fernández, S.; Cohen, W.B. Object-based semi-automatic approach for forest structure characterization using lidar data in heterogeneous Pinus sylvestris stands. For. Ecol. Manag. 2008, 255, 3677–3685. [Google Scholar] [CrossRef]
- Thompson, S.D.; Nelson, T.A.; Giesbrecht, I.; Frazer, G.; Saunders, S.C. Data-driven regionalization of forested and non-forested ecosystems in coastal British Columbia with LiDAR and RapidEye imagery. Appl. Geogr. 2016, 69, 35–50. [Google Scholar] [CrossRef]
- Hartigan, J.A.; Wong, M.A. A k-means clustering algorithm. Appl. Stat. 1979, 28, 100–108. [Google Scholar] [CrossRef]
- R Core Team. R: A Language and Environment for Statistical Computing; R Foundation for Statistical Computing: Vienna, Austria, 2016. [Google Scholar]
- Hornik, K. A clue for cluster ensembles. J. Stat. Softw. 2005, 14, 1–25. [Google Scholar] [CrossRef]
- Pesonen, A.; Leino, O.; Maltamo, M.; Kangas, A. Comparison of field sampling methods for assessing coarse woody debris and use of airborne laser scanning as auxiliary information. For. Ecol. Manag. 2009, 257, 1532–1541. [Google Scholar] [CrossRef]
- Mäkinen, A.; Korpela, I.; Tokola, T.; Kangas, A. Effects of imaging conditions on crown diameter measurements from high-resolution aerial images. Can. J. For. Res. 2006, 36, 1206–1217. [Google Scholar] [CrossRef]
- Niemi, M.; Vastaranta, M.; Peuhkurinen, J.; Holopainen, M. Forest inventory attribute prediction using airborne laser scanning in low-productive forestry-drained boreal peatlands. Silva Fenn. 2015, 49. [Google Scholar] [CrossRef]
- Vauhkonen, J.; Mehtätalo, L. Matching remotely sensed and field-measured tree size distributions. Can. J. For. Res. 2015, 45, 353–363. [Google Scholar] [CrossRef]
- Woodcock, C.E.; Strahler, A.H. The factor of scale in remote sensing. Remote Sens. Environ. 1987, 21, 311–332. [Google Scholar] [CrossRef]
- Korpela, I.; Hovi, A.; Morsdorf, F. Understory trees in airborne LiDAR data—Selective mapping due to transmission losses and echo-triggering mechanisms. Remote Sens. Environ. 2012, 119, 92–104. [Google Scholar] [CrossRef]




| Attribute | Range | Mean | SD * |
|---|---|---|---|
| V, m3ha−1 | 7.0–673.0 | 184.0 | 107.0 |
| G, m2ha−1 | 1.3–48.0 | 19.8 | 9.0 |
| DgM, cm | 8.4–42.7 | 22.9 | 6.9 |
| HgM, m | 7.9–32.3 | 19.0 | 4.7 |
| Vpine, m3ha−1 | 0–360.0 | 101.0 | 89.0 |
| Gpine, m2ha−1 | 0–33.1 | 10.6 | 8.7 |
| DgM_pine, cm | 5.3–50.0 | 24.3 | 9.0 |
| HgM_pine, m | 3.5–32.0 | 19.4 | 5.3 |
| Vspruce, m3ha−1 | 0–464.0 | 53.8 | 87.9 |
| Gspruce, m2ha−1 | 0–36.3 | 5.7 | 7.7 |
| DgM_spruce, cm | 5.0–40.0 | 15.9 | 9.8 |
| HgM_spruce, m | 4.0–32.5 | 13.7 | 7.6 |
| Vdeciduous, m3ha−1 | 0–228.0 | 29.0 | 43.2 |
| Gdeciduous, m2ha−1 | 0–24.9 | 3.5 | 4.9 |
| DgM_deciduous, cm | 5.0–52.0 | 16.3 | 9.3 |
| HgM_deciduous, m | 6.0–33.0 | 16.2 | 6.2 |
| Pixel Size | Mean | SD * |
|---|---|---|
| 0.5 m | 27% | 11% |
| 0.75 m | 49% | 13% |
| 1.0 m | 59% | 12% |
| 1.5 m | 93% | 6% |
| 2.0 m | 97% | 3% |
| 3.0 m | 100% | 2% |
| Group | Order | Scale | Image Data Source | Features and Their Abbreviations |
|---|---|---|---|---|
| HIST | 1st | global | Gray-level histogram | Mean (CHMmean), Standard deviation (CHMstd), Maximum (CHMmax) |
| PATCH | 2nd | global | Thresholded image a | Proportion of field plot total area covered by tree patches (TPt_%), Number of tree patches per hectare (TPt_den), Average area of tree patches (TPt_avg), Standard deviation of the area of tree patches (TPt_std), Average number of pixels in 4-neighborhood belonging to the same tree patch (TPt_N) |
| GLCM | 2nd | macro | Grey-level co-occurrence matrix b | Angular second moment (ASM), Contrast (CON), Correlation (COR), Sum of squares: variance (VAR), Inverse difference moment (IDM), Sum average (SAVG), Sum variance (SVAR), Sum entropy (SENT), Entropy (ENT), Difference variance (DVAR), Difference entropy (DENT), 2 × Information measure of correlation (IMC1, IMC2) |
| LBP | 2nd | micro | Local binary pattern (LBP) c | Uniformity of a LBP computed as percentages of at most 0 (U0), 2 (U2) or 4 (U4) bitwise transitions in the binary code of a circular neighborhood |
| Feature | V | G | DgM |
|---|---|---|---|
| CHMmean | 0.70 | 0.63 | 0.15 |
| CHMstd | 0.08 | 0.00 | 0.68 |
| CHMmax | 0.22 | 0.07 | 0.69 |
| TP5m_% | 0.47 | 0.61 | 0.00 |
| TP5m_N | 0.35 | 0.43 | 0.06 |
| TPad_% | 0.32 | 0.28 | 0.04 |
| TPad_N | 0.17 | 0.14 | 0.19 |
| CONlag = 1 | 0.02 | 0.01 | 0.01 |
| CONlag = 3 | 0.00 | 0.00 | 0.11 |
| CONlag = 5 | 0.00 | 0.01 | 0.22 |
| SAVGlag = 1 | 0.46 | 0.55 | 0.00 |
| SAVGlag = 3 | 0.46 | 0.55 | 0.00 |
| SAVGlag = 5 | 0.45 | 0.55 | 0.00 |
| U0,lag = 1 | 0.13 | 0.18 | 0.00 |
| U0,lag = 1 | 0.14 | 0.20 | 0.01 |
| U2,lag = 1 | 0.06 | 0.12 | 0.00 |
| U2,lag = 2 | 0.08 | 0.13 | 0.03 |
| H_meanFP | 0.43 | 0.22 | 0.51 |
| VegRFP | 0.38 | 0.58 | 0.00 |
| H70FP | 0.23 | 0.07 | 0.74 |
| Predictors | V, m3ha−1 | G, m2ha−1 | DgM, cm | |||
|---|---|---|---|---|---|---|
| RMSE | RMSE% | RMSE | RMSE% | RMSE | RMSE% | |
| CHM Textural Features a | ||||||
| The best feature | 59.8 | 32.6 | 5.6 | 28.3 | 3.7 | 16.3 |
| Set of 2 features | 54.3 | 29.6 | 5.2 | 26.2 | 3.4 | 15.0 |
| Set of 3 features | 52.3 | 28.5 | 4.9 | 24.6 | 3.3 | 14.6 |
| Set of 5 features | 50.6 | 27.6 | 4.8 | 23.9 | 3.1 | 13.7 |
| Point-based Features b | ||||||
| The best feature | 81.6 | 44.4 | 5.7 | 29.0 | 3.3 | 14.4 |
| Set of 2 features | 57.4 | 31.2 | 4.7 | 23.8 | 3.0 | 13.2 |
| Set of 3 features | 55.2 | 30.0 | 4.7 | 23.5 | 3.0 | 13.0 |
| Set of 5 features | 53.0 | 28.9 | 4.6 | 23.0 | 2.8 | 12.2 |
| CHM Textural Features and Point-based Features Combined c | ||||||
| The best feature | 59.8 | 32.6 | 5.6 | 28.3 | 3.3 | 14.4 |
| Set of 2 features | 54.3 | 29.6 | 4.9 | 24.5 | 3.0 | 13.2 |
| Set of 3 features | 52.3 | 28.5 | 4.7 | 23.5 | 2.9 | 12.5 |
| Set of 5 features | 49.3 | 26.8 | 4.4 | 21.9 | 2.7 | 11.8 |
© 2016 by the authors; licensee MDPI, Basel, Switzerland. This article is an open access article distributed under the terms and conditions of the Creative Commons Attribution (CC-BY) license (http://creativecommons.org/licenses/by/4.0/).
Share and Cite
Niemi, M.T.; Vauhkonen, J. Extracting Canopy Surface Texture from Airborne Laser Scanning Data for the Supervised and Unsupervised Prediction of Area-Based Forest Characteristics. Remote Sens. 2016, 8, 582. https://doi.org/10.3390/rs8070582
Niemi MT, Vauhkonen J. Extracting Canopy Surface Texture from Airborne Laser Scanning Data for the Supervised and Unsupervised Prediction of Area-Based Forest Characteristics. Remote Sensing. 2016; 8(7):582. https://doi.org/10.3390/rs8070582
Chicago/Turabian StyleNiemi, Mikko T., and Jari Vauhkonen. 2016. "Extracting Canopy Surface Texture from Airborne Laser Scanning Data for the Supervised and Unsupervised Prediction of Area-Based Forest Characteristics" Remote Sensing 8, no. 7: 582. https://doi.org/10.3390/rs8070582
APA StyleNiemi, M. T., & Vauhkonen, J. (2016). Extracting Canopy Surface Texture from Airborne Laser Scanning Data for the Supervised and Unsupervised Prediction of Area-Based Forest Characteristics. Remote Sensing, 8(7), 582. https://doi.org/10.3390/rs8070582

