Sparsity-Inducing Super-Resolution Passive Radar Imaging with Illuminators of Opportunity
Abstract
:1. Introduction
2. Parametric Passive Radar Imaging Model
3. Super-Resolution Imaging for Passive Radar
3.1. RELAX-Based Passive Radar Imaging
3.2. CS-Based Passive Radar Super-Resolution Imaging
3.3. Further Discussions
3.3.1. Influence of Noise
3.3.2. Influence of Measurements
3.3.3. Why CS Performs Better Than ESPRIT and RELAX
4. Simulation and Analysis
4.1. Frequency Estimation of Scatterers Applying CS
4.2. Position Estimation Using the Proposed Method
4.3. Resolution Comparison
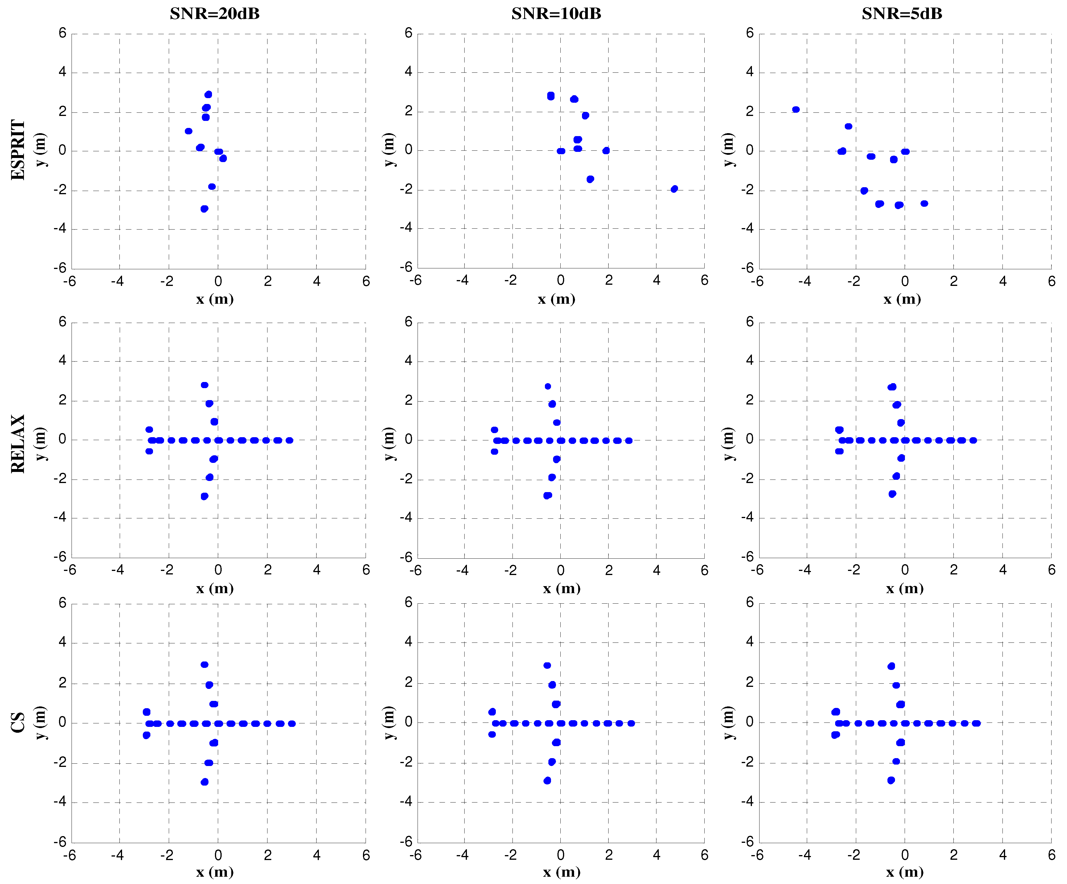
4.4. Imaging Performance versus SNR
4.5. Imaging Performance versus Measurements
5. Conclusions
Acknowledgments
Author Contributions
Conflicts of Interest
References
- Howland, P.E.; Maksimiuk, D.; Reitsma, G. FM radio based bistatic radar. IEE P-Radar Sonor Navig. 2005, 152, 107–115. [Google Scholar] [CrossRef]
- Dilallo, A.; Farina, A.; Fulcoli, R.; Genovesi, P.; Lalli, R.; Mancinelli, R. Design, development and test on real data of an FM based prototypical passive radar. In Proceedings of the IEEE Radar Conference, Rome, Italy, 26–30 May 2008; pp. 1–6.
- Glende, M.; Heckenbach, J.; Kuschel, H.; Muller, S.; Schell, J.; Schumacher, C. Experimental passive radar system using digital illuminators (DAB/DVB-T). In Proceedings of the International Radar Symposium, Cologne, Germany, 5–7 Septemper 2007.
- Raout, J. Sea target detection using passive DVB-T based radar. In Proceedings of the 2008 International Conference on Radar, Adelaide, Australia, 2–5 September 2008; pp. 695–700.
- Sun, H.; Tan, D.K.; Lu, Y.; Lesturgie, M. Applications of passive surveillance radar system using cell phone base station illuminators. IEEE Aerosp. Electron. Syst. Mag. 2010, 25, 10–18. [Google Scholar] [CrossRef]
- Howland, P.E. Target tracking using television-based bistatic radar. IEE P-Radar Sonor Navig. 1999, 146, 166–174. [Google Scholar] [CrossRef]
- Wang, Y.; Jiang, Y. ISAR imaging of non-uniform rotating target via range instantaneous Doppler derivatives algorithm. IEEE J. Sel. Top. Appl. Earth Observ. Remote Sens. 2014, 7, 167–176. [Google Scholar] [CrossRef]
- Zhang, S.; Sun, S.; Zhang, W.; Zong, Z.; Yeo, T.S. High-resolution bistatic ISAR image formation for high-speed and complex-motion targets. IEEE J. Sel. Top. Appl. Earth Observ. Remote Sens. 2015, 8, 3520–3531. [Google Scholar] [CrossRef]
- Wu, Y.; Munson, D.C. Wide-angle ISAR passive imaging using soothed pseudo Wigner-Ville distribution. In Proceedings of the 2001 IEEE Radar Conference, Atlanta, GA, USA, 1–3 May 2001; pp. 363–368.
- Suwa, K.; Nakamura, S.; Morita, S.; Wakayama, T.; Maniwa, H.; Oshima, T.; Maekawa, R.; Matsuda, S.; Tachihara, T. ISAR imaging of an aircraft target using ISDB-T digital TV based passive bistatic radar. In Proceedings of the IEEE International Geoscience and Remote Sensing Symposium, Honolulu, HI, USA, 25–30 July 2010; pp. 4103–4105.
- Nakamura, S.; Suwa, K.; Morita, S.; Yamamoto, K.; Wakayama, T.; Oshima, T.; Maekawa, R.; Matsuda, S. An experimental study of enhancement of the cross-range resolution of ISAR imaging using ISDB-T digital TV based bistatic radar. In Proceedings of the IEEE International Geoscience and Remote Sensing Symposium, Vancouver, BC, Canada, 24–29 July 2011; pp. 2837–2840.
- Olivadese, D.; Giusti, E.; Petri, D.; Martorella, M.; Capria, A.; Berizzi, F.; Soleti, R. Passive ISAR imaging of ships by using DVB-T signals. In Proceedings of the IET International Conference on Radar Systems, Glasgow, UK, 22–25 October 2012; pp. 287–290.
- Olivadese, D.; Giusti, E.; Petri, D.; Martorella, M.; Capria, A.; Berizzi, F. Passive ISAR imaging with DVB-T Signals. IEEE Trans. Geosci. Remote Sens. 2013, 51, 4508–4517. [Google Scholar] [CrossRef]
- Li, Y.; Liu, J. ESPRIT super-resolution imaging algorithm based on external illuminators. In Proceedings of the 1st Asian and Pacific Conference on Synthetic Aperture Radar, Huanshan, China, 5–9 November 2007; pp. 232–235.
- Roy, R.; Kailath, T. ESPRIT—Estimation of signal parameters via rotational invariance techniques. IEEE Trans. Acoust. Speech Signal Process. 1999, 37, 984–995. [Google Scholar] [CrossRef]
- Li, J.; Stoica, P. Efficient mixed-spectrum estimation with applications to target feature extraction. IEEE Trans. Signal Process. 1996, 44, 281–295. [Google Scholar]
- Bi, Z.; Li, J.; Liu, Z. Super resolution SAR imaging via parametric spectral estimation methods. IEEE Tans. Aerosp. Electron. Syst. 1999, 35, 267–281. [Google Scholar]
- Qiu, W.; Giusti, E.; Martorella, M.; Berizzi, F.; Zhao, H.; Fu, Q. Compressive sensing for passive ISAR with DVB-T signal. In Proceedings of the International Radar Symposium, Dresden, Germany, 19–21 June 2013; pp. 113–118.
- Wang, S.; Tang, Y.; Liu, C.; Wang, T.; Chen, W. Sparse passive radar imaging based on FM stations using the U-ESPRIT for moving target. In Proceedings of the IET International Radar Conference, Xi’an, China, 14–16 April 2013; pp. 1–6.
- Yarman, C.E.; Wang, L.; Yazici, B. Passive synthetic aperture radar imaging with single-frequency sources of opportunity. In Proceedings of the IEEE Radar Conference, Washington, DC, USA, 10–14 May 2010; pp. 949–954.
- Mason, E.; Son, I.Y.; Yazici, B. Passive synthetic aperture radar imaging using low-rank matrix recovery methods. IEEE J. Sel. Topics Signal Process. 2015, 9, 1570–1582. [Google Scholar] [CrossRef]
- Jennrich, R.I. Asymptotic properties of nonlinear least squares estimators. Ann. Appl. Stat. 1969, 40, 633–643. [Google Scholar]
- Candes, E.; Romberg, J.; Tao, T. Robust uncertainly principles: Exact signal reconstruction form highly incomplete frequency information. IEEE Trans. Inf. Theory 2006, 52, 489–509. [Google Scholar] [CrossRef]
- Zhang, S.; Xiao, B.; Zong, Z. Improved compressed sensing for high-resolution ISAR image reconstruction. Chin. Sci. Bull. 2014, 59, 2918–2926. [Google Scholar] [CrossRef]
- Rao, W.; Li, G.; Wang, X.; Xia, X.G. Adaptive sparse recovery by parametric l1 weighted minimization for ISAR imaging of uniformly rotating targets. IEEE J. Sel. Top. Appl. Earth Obs. Remote Sens. 2013, 6, 942–952. [Google Scholar] [CrossRef]
- Wu, Y.; Zhang, S.; Kang, H.; Yeo, T.S. Fast marginalized sparse Bayesian learning for 3-D interferometric ISAR image formation via super-resolution ISAR imaging. IEEE J. Sel. Top. Appl. Earth Obs. Remote Sens. 2015, 8, 4942–4951. [Google Scholar] [CrossRef]
- Zhang, S.; Zhang, W.; Zong, Z.; Tian, Z.; Yeo, T.S. High-resolution bistatic ISAR imaging based on two-dimensional compressed sensing. IEEE Trans. Antennas Propag. 2015, 63, 2098–2111. [Google Scholar] [CrossRef]
- Tropp, J.A.; Gilbert, A.C. Signal recovery from random measurements via orthogonal matching pursuit. IEEE Trans. Inf. Theory 2007, 53, 4655–4666. [Google Scholar] [CrossRef]
- Chen, S.; Donoho, D.; Saunders, M.A. Atomic decomposition by basis pursuit. SIAM J. Sci. Comput. 1999, 20, 33–61. [Google Scholar] [CrossRef]
- Gorodnitsky, I.F.; Rao, B.D. Sparse signal reconstructions from limited data using focuss: A re-weighted minimum norm algorithm. IEEE Trans. Signal Process. 1997, 45, 699–716. [Google Scholar] [CrossRef]
- Candes, E.; Wakin, M.B.; Boyd, S.P. Enhancing sparsity by reweighted l1 minimization. J. Fourier Anal. Appl. 2008, 14, 877–905. [Google Scholar] [CrossRef]
- Fang, J.; Li, J.; Shen, Y.; Li, H.B.; Li, S. Super-resolution compressed sensing: An iterative reweighted algorithm for joint parameter learning and sparse signal recovery. IEEE Signal Process. Lett. 2014, 21, 761–765. [Google Scholar]
- Shen, Y.; Fang, J.; Li, H.B. Exact reconstruction analysis of log-sum minimization for compressed sensing. IEEE Signal Process. Lett. 2013, 20, 1223–1226. [Google Scholar] [CrossRef]
- Rohling, H. Radar CFAR thresholding in clutter and multiple target situations. IEEE Trans. Aerosp. Electron. Syst. 1983, 19, 608–621. [Google Scholar] [CrossRef]








| Scatterers | 1 | 2 | 3 | 4 | 5 | 6 |
|---|---|---|---|---|---|---|
| Theoretical value (MHz) | 0 | −4.2980 | 24.7450 | −23.0681 | 8.9707 | −0.5399 |
| Estimated value (MHz) | 0.1050 | −4.2910 | 24.7400 | −23.0770 | 8.9580 | −0.5340 |
| MSE (%) | 0.12 |
| Scatterers | 1 | 2 | 3 | 4 | 5 | 6 |
|---|---|---|---|---|---|---|
| Theoretical value (MHz) | 0 | −17.3256 | 23.6312 | −16.8711 | 21.0209 | 12.9645 |
| Estimated value (MHz) | −0.0110 | −17.1390 | 23.4770 | −16.7030 | 21.0270 | 12.9720 |
| MSE (%) | 0.14 |
| Super-Resolution Algorithm | |||
|---|---|---|---|
| SNR (dB) | ESPRIT | RELAX | Proposed CS |
| 20 | 0.3560 | 0.0095 | 0.0023 |
| 10 | 0.4045 | 0.0154 | 0.0025 |
| 5 | 0.4608 | 0.0279 | 0.0029 |
| Super-Resolution Algorithm | |||
|---|---|---|---|
| Measurements | ESPRIT | RELAX | Proposed CS |
| 50% of echo data | 0.4028 | 0.1854 | 0.0017 |
| 25% of echo data | 0.5223 | 0.2931 | 0.0075 |
| 12.5% of echo data | 0.9830 | 0.7796 | 0.0143 |
© 2016 by the authors; licensee MDPI, Basel, Switzerland. This article is an open access article distributed under the terms and conditions of the Creative Commons Attribution (CC-BY) license (http://creativecommons.org/licenses/by/4.0/).
Share and Cite
Zhang, S.; Zhang, Y.; Wang, W.-Q.; Hu, C.; Yeo, T.S. Sparsity-Inducing Super-Resolution Passive Radar Imaging with Illuminators of Opportunity. Remote Sens. 2016, 8, 929. https://doi.org/10.3390/rs8110929
Zhang S, Zhang Y, Wang W-Q, Hu C, Yeo TS. Sparsity-Inducing Super-Resolution Passive Radar Imaging with Illuminators of Opportunity. Remote Sensing. 2016; 8(11):929. https://doi.org/10.3390/rs8110929
Chicago/Turabian StyleZhang, Shunsheng, Yongqiang Zhang, Wen-Qin Wang, Cheng Hu, and Tat Soon Yeo. 2016. "Sparsity-Inducing Super-Resolution Passive Radar Imaging with Illuminators of Opportunity" Remote Sensing 8, no. 11: 929. https://doi.org/10.3390/rs8110929
APA StyleZhang, S., Zhang, Y., Wang, W.-Q., Hu, C., & Yeo, T. S. (2016). Sparsity-Inducing Super-Resolution Passive Radar Imaging with Illuminators of Opportunity. Remote Sensing, 8(11), 929. https://doi.org/10.3390/rs8110929
