Abstract
Urban area expansion is one of the most critical types of worldwide change, and most urban areas are experiencing increased growth in population and infrastructure development. Urban change leads to many changes in the daily activities of people living within an affected area. Many studies have suggested that urbanization and crime are related. However, they focused particularly on land uses, types of land use, and urban forms, such as the physical features of neighbourhoods, roads, shopping centres, and bus stations. Understanding the correlation between urban area expansion and crime is very important for criminologists and urban planning decision-makers. In this study, we have used satellite images to measure urban expansion over a 10-year period and tested the correlations between these expansions and the number of criminal activities within these specific areas. The results show that there is a measurable relationship between urban expansion and criminal activities. Our findings support the crime opportunity theory as one possibility, which suggests that population density and crime are conceptually related. We found the correlations are stronger where there has been greater urban growth. Many other factors that may affect crime rate are not included in this paper, such as information on the spatial details of the population, city planning, economic considerations, the distance from the city centre, neighbourhood quality, and police numbers. However, this study will be of particular interest to those who aim to use remote sensing to study patterns of crime.
1. Introduction
Many researchers have suggested that criminal activities and urban growth changes are related. These studies have focused particularly on land uses, types of land use, and urban forms, such as the physical features of neighbourhoods [], roads [], shopping centres, and bus stations [,,]. However, knowing the correlation between expansion of urban areas and crime is very important for criminologists and urban planning decision-makers. In this paper, we attempt to investigate the link between the expansion of urban areas and the potential for crime by analysing satellite images over time together with the number of crimes committed during the same timeframe using remote sensing techniques.
Environmental criminology is a very important aspect to understand when dealing with crime and for crime prevention. Additionally, studying people‘s interactions with environmental factors, such as the points of transportation, work, shopping centres or even the outskirts of the city, can help in crime prediction [,,,]. Boessen and Hipp have reported that although recent studies tend to split the crime study areas into small scales, such as streets blocks or blocks of houses, the surrounding areas have an extensive impact [].
Urban area expansion is one of the most critical types of worldwide change, and most urban areas are experiencing increased growth in population and infrastructure development. Increases in urbanization lead to many changes in the daily activities of people living within an affected area. Urban area expansions, over time, can also change the potential for crime []. Usually, people are attracted to large cities because they are social and economic centres; however, this makes them more opportune places for crime to occur. Crime is an intricate issue, and many researchers have concurred that a connection between crime and land use exists [,]. Theories about opportunity for crime suggest that crime and population are related; where there is a density of crime, there is a density of population []. This opportunity increases when targets are found in an appropriate place and there is no surveillance in the urban area [,]. Crime and the fear of crime blight and drain the social and economic vitality out of urban life [,]. Urbanization increase and growing city environments have the potential to influence the timing and placement of criminal activities [,,,]. Urbanization information, such as zoning and area characteristics, can help us understand patterns of criminal activity [].
Urban and neighbourhood changes, and government planning programs, play key roles in the increase in criminal activity []. Commonly, urban areas around the world have had annual increases to their populations, which lead to increases in urban areas. However, planning and management of these increases are different from society to society and from government to government. Good urban planning in urban areas is playing an important role in the provision of a society’s needs, such as infrastructure development, ecosystem management, and safety controls, while poor planning leads to more societal problems, such as drugs and crime [,]. Urban area expansion also affects cities at finer scales, such as at the neighbourhood level; thus, growing environments play an essential role in shaping the criminal activity within a given area [,,]. Some urban area combinations and designs can make chances for crime greater, such as blocking surveillance sight lines. By contrast, other urban combinations and designs can help in preventing crime [].
To create a safe environment, it is important to understand the link between urbanization change (increase) and opportunities for crime. Understanding the relationship between crime and urbanization will help us to make the right decisions and develop good strategies that can aid in crime prevention, as well as reduce the opportunity for crimes to be committed. It can also help police agencies so that they can be at the right place at the right time; that is, where we expect or predict crime to happen. In addition, it can assist in decisions, such as where to locate police stations when new ones are established and help determine which areas need more surveillance. Hence, the appropriate use of land can help build safer environments and help reduce the opportunity for crime [].
The relationship between urbanization and opportunity for crime has been studied by researchers who investigated theories in the field of environmental criminology []. However, very few studies have considered urbanization change over time using remote sensing to study crime. Remote sensing techniques are powerful tools to analyse change, and it can help in such issues to detect the changes on the Earth’s surface. In 2013, Nazri examined the spatial relationship between urbanization and criminal activities in Malaysia. Although his study focused on urban planning, he established a strong association between neighbourhood increase and opportunity for crime. Stucky and Ottensmann [] have researched the link between violent crime and urban areas, and they investigated whether this relationship is affected by socioeconomic and demographic characteristics. They obtained a variance of results, where some non-residential areas had a high rate of violent crime, while some areas had lower rates. They also found some urbanized areas were affected by socioeconomic disadvantage. Zhang [] analysed the relationship between bus ridership and crime. He found that high population density and urbanized area characteristics catalysed criminal activity and tended to make it cluster crime around bus stops. In 2002, Schmitz and his colleagues have selected three images on three different dates to determine the increase in settlement in a particular area of Bredell, in eastern Gauteng, South Africa [].
Moving in the opposite direction, some researchers have studied the link between demolitions or decreases in urban areas and criminal activity. Frazier, Bagchi-Sen and Knight [] examined the relationship between demolitions and crime. The aim of their study was to identify the high and low hot spots of demolition and criminal activity over a five-year period when the city was shrinking. They found a relationship between demolition areas and migration and patterns of crime in the affected areas. The movement of crime was toward the city’s edges and suburbs. These findings can help in understanding the patterns of crime during the implementation of demolition projects in shrinking cities. In 1999, Cullen and Levitt analysed the link between city crime rates and population decrease. Sometimes populations decline and citizens migrate toward other cities to get better services in other urban areas. Highly-educated families tend to leave the city because of changes in the crime rate that affect their safety. Cullen and Levitt found a relationship between crime and urban flight, and their results suggest that every crime report corresponds with a decrease of approximately one person in the city population [].
Literature in environmental criminology confirms that there is a link between urban expansion and opportunities for crime to happen. In this paper, we investigated urban expansion and examined the correlation between urban area expansion and opportunity for crime. However, little research has previously examined this link digitally by using remote sensing techniques as a classification model to extract the exact urban expansions to compare with crime rates.
Rapid urban expansion in Saudi Arabia started from the period of the oil boom in the 1950s []. Since that time, the three important urban centres in the country, Riyadh, Jeddah, and Dammam, have experienced rapid growth. Riyadh and Jeddah are some of the fastest growing cities in the world [,]. For example, the spatial coverage of Riyadh was less than in 1916 [] and, in the last century, the population of Riyadh was less than 15,000 people. Currently, it has around eight million people and it is projected to exceed 10 million by 2020 []. Makkah province includes the holy city, Makkah, which receives millions of pilgrims every year []. The second city in this province is Jeddah, which is growing in importance as a seaport on the east coast of the Red Sea. The peak growth of Jeddah was in the late 1960s, when it ranked as one of the fastest growing cities in the world []. East Area, which is considered the richest oil area in Saudi Arabia, has most of the petroleum production companies. It includes the most important industrial city, which is Al-Jubail. For urban planning in Saudi Arabia, decision-making is a centralized process, so urban planning is a top-down process which is coordinated by the Ministry of Municipal and Rural Affairs across the country. This makes public participation and the ability to access planning data very limited [].
Modern spatial techniques are powerful tools to analyse such issues and investigate these types of correlations. They may be used to promote a better understanding and provide the right ideas to support decision-makers, helping them in the decision-making process regarding crime prevention.
This paper identifies, digitally, the link between urban expansion and the opportunity for crime, and seeks to answer the question of whether there is a relationship between expansion of urbanised areas and crime rates. It also shows the type of this correlation. Urban change detection models have become important tools for analysing the side effects associated with urban expansion over time. They can measure the consequences and causes of urbanization and urban growth and determine whether there have been economic or social effects. However, the objective of this research paper is to use remote sensing to analyse and test the relationship between the urban increase that has occurred from 2003 to 2012 and the opportunity for crime in Saudi Arabia.
2. Study Area
This study was conducted in four different provinces of Saudi Arabia, including Riyadh, Makkah, the East Area, and Tabouk (Figure 1). According to the Central Department of Statistics and Information of Saudi Arabia [], the first three provinces are considered to be the most populated and fastest growing areas in Saudi Arabia, while Tabouk is considered to be one of the slowest growing. Riyadh Province is located in the central part of the country and includes the capital city (Riyadh). Riyadh is the largest city in Saudi Arabia in urbanized form. As of 2012, it had a population of approximately 7,309,966 people [], and it has been considered the second-most populated area, whereas Makkah had the largest populating with approximately 7,471,975 people. Makkah Province is located in the west of the country. It is the second largest urbanized area after Riyadh. It has three main cities: Makkah, Jeddah, and Al-Taif. Makkah is considered a spiritual place for Muslims around the world and is situated in the province’s centre. Millions of Muslims visit Makkah every year. Jeddah is the important commercial port on the west coast (Red Sea). Al-Taif is the third city in the Makkah region, and is located in a mountainous area in the southeast of the province. The East Area is the third province in the country. It contains six main cities, including Dammam, Al-Khobar, Al-Dhahran, Ras Tanura, Al-Qatif, and Al-Jubail. As of 2012, it had a population of approximately 4,414,278 people. It is considered to be the richest oil area in Saudi Arabia, wherein the most petroleum production exists. Tabouk Province is a member of the remaining nine provinces in Saudi Arabia. It has an average urban growth compared to the other small provinces; however, it is still smaller than the other three provinces listed above. In 2012, its population was estimated to be 845,857 people. It is located in the northwest of Saudi Arabia and shares borders with Egypt and Jordan.

Figure 1.
Selected study areas in Saudi Arabia.
3. Data
3.1. Population and Criminal Data
The data for common criminal cases were collected by the Ministry of Justice annually; they include the number of judicial rulings on cases such as drug activity, theft, murder, assault, alcohol, and outrageous cases (sex-related crime) []. These data span the 10 years from 2003 to 2012, and it should be noted that the criminal data are based on cases that have been finalized judicially, by instrument or decision, which gives it a high level of accuracy [,]. The individual crimes are not geocoded; they are reported at a provincial level. Population values in the four provinces during the period from 2003 to 2012 were obtained from the Central Department of Statistics and Information of Saudi Arabia [] (Table 1). The analysis was undertaken at the provincial level. Four provinces were used: Riyadh, Makkah, East Area, and Tabouk. The total number of criminal cases over the 10 years for all criminal activities (drug, theft, murder, assault, alcohol, and outrageous cases) were 103,896 for Riyadh, 123,749 for Makkah, 48,571 for East Area, and 12,009 for Tabouk.

Table 1.
Study areas, population, and selected Landsat images used for this study.
3.2. Satellite Data
Seven Landsat images from 2003, taken by the Enhanced Thematic Mapper Plus (ETM+), and seven images from 2012 and 2013, taken by an Operational Land Imager (OLI) and Thermal Infrared Sensor (TIRS), have been used in this study covering the four provinces and were acquired from the USGS website [] (Table 1). We have selected cloud-free images for both the 2003 and the 2012–2013 time periods. In the 2003 data, the ETM+ images were already corrected from scan line errors caused by the failing of the scan line corrector (SLC). This study aims to detect the expansion of urban cover and its relationship to increase of crime rates in the selected cities. Therefore, the differences in date between images were not considered, for the images themselves were enough for this study’s purposes. For example, in Riyadh Province, there were two images at different times where the first one was in August and the other was in January. The short period differences in the satellite images in the same year would have no effect on the analysis because the purpose was only to detect the urban expansion. Thus, the changes on urban area during short periods are not considered.
4. Processing
4.1. Image-to-Image Geometric Registration
The Landsat images were geometrically rectified to UTM zone 37 for the Makkah and Tabouk provinces, zone 38 for Riyadh, and zone 39 for the East Area. However, there was a shift in the images of Riyadh and the East Area. To use ETM+ data for analysis, the images needed to be registered to the other images and geometrically corrected. A third-order polynomial function was used to register the 2012 images to the images of 2003 for these two provinces, which share the same path and row, with 25 control points in the X and Y dimensions. The root mean square (RMS) error was 0.2 pixels. This approach was described by Goshtasby [].
4.2. Mosaic Processing
Layer stacking was applied to merge all of the bands of level-1 product images. Afterwards, where Riyadh, Makkah, and the East Area needed two separate images, we have applied mosaic processing to merge the two images in order to cover the urban areas of these three provinces.
4.3. Images Subset
To determine the exact urban area based on administrative provinces, we have used image subsets to extract the urban area boundaries. None of the images had cloud cover. We carefully selected clear images because the main aim of this study was to obtain the urban area changes so we could investigate the link between urban area expansion and the crime rate over time. While the main purpose was to obtain the difference of digital number (DN) between urban areas, there was no need to use a complex model, such as an atmospheric correction model [].
4.4. Classifications and Accuracy Assessment
We used a subset of images to determine the urbanization area boundaries for two dates: 2003 and 2013. Maximum likelihood classification (MLC) was applied based on the spectral bands. This was done pixel by pixel to compare the digital values of two image classifications [].
The region of interest (ROI) tool in the ENVI software package (ENVI 5.1 (2013), “Exelis Inc.”, Boulder, CO, USA) was used to apply stratified random sampling (SRS) for four main land cover features—water, vegetation, urban areas, and bare land—on all of the provinces’ images separately. In addition, manual editing was applied on the classification result to increase the accuracy of our final result. Thus, we have corrected misclassified objects in all of the images to modify incorrect classification. Accuracy assessment is an essential technique to assess the quality of final results of classifications (see []). The producer’s, user’s, overall accuracies, and kappa coefficient were analysed for all image classifications to compare the results with reference data and validate the classification results in confusion matrices (Table 2).

Table 2.
Accuracy assessment of classification.
For accuracy assessment, we repeated sample taking (using the SRS method) several times on each map until we had obtained the appropriate accuracy (Table 2). The purpose of classification was to extract only the urban area. Thus, other land cover features were considered to be non-urban features. The pixels of urban class was converted to hectares. The increase of urban area from 2003 to 2013 was calculated for all of the provinces based on a pixel size of 30 m, which is computed as:
where A is the area in hectare, and p is pixel size.
This increase was divided by the number of years to obtain the annual increase (Table 3). The annual increase was added to the study years, starting with 2003, to obtain the urbanization area for each year so as to be able to use it for the regression analysis. We have used only these two dates (2003–2013) for two reasons. First, the main aim was to calculate the gross change of urban area. Second, the real changes of each year did not have much effect on the final result, where the estimated yearly change was enough for the analysis.

Table 3.
Urban change over time.
4.5. Statistical Approach
After converting the urban areas from pixels to hectares, we have compared the estimated annual change in urban area to the annual crime rate for each study region. Crime, overall, was divided by the number of population for each region yearly, and these values (crimes per person in each region) were multiplied by 1000 to give crimes per 1000 population to determine criminal cases per 1000 persons per year. Many statistical approaches were tested to determine which type would be the most suitable approach for our data. Most of these approaches share the assumption that data should be included under some conditions, such as number of variables (e.g., multiple regression needs two or more independent variables), linear relationship, interval or ratio level, significant outliers, and assumption of bivariate normality. We found that the best statistical approach is the Spearman’s rank-order correlation because it is nonparametric (distribution-free). This approach can be used to measure the strength of the relationship between two variables, whether these variables are continuous, ordinal, or one continuous and one ordinal. When we tested for linear relationships, we discovered there was no clear linear relationship that existed in all data variables to use linear regression, making it suitable for analysis using Spearman’s correlation rather than Pearson’s correlation []. Spearman’s rank-order correlation can be used in two methods. Whether the data have tied ranks depends on the type of data. Since the data did not have tied ranks, we used the follwing equation:
where (di) is the difference between paired ranks, which are crime and urban area expansion, and (n) is the number of cases.
Figure 2 shows the study processes starting with satellite images and crime data analyses that were used to help for conversion to two variables, urban area expansion and annual crime rate, so as to be able undertake the suitable statistical testing approach.

Figure 2.
Research process.
5. Results
5.1. Classification Maps
Figure 3, Figure 4, Figure 5 and Figure 6 explain the result of classification for urban area expansion in Riyadh, Makkah, the East Area, and Tabouk, respectively. These expansions took place during the 10-year span from 2003 to 2012. The blue colour shows urban areas in 2003, while the red colour shows the urban extension area in 2012. Riyadh Province includes the capital city and has one of the highest populations and largest growing areas. It had the highest extension of urban area, with an increase in urban area around 54%. Makkah Province includes the largest commercial port on the west coast (Jeddah), and its urban areas have expanded by approximately 47.1% from 2003 to 2012. The East Area is considered to be the third-largest province in the country and is located on the east coast. It was determined to be the third-largest, as it had an urban area expansion of 37.05%. The last province explored was Tabouk. The urban area in Tabouk has increased in urban area by only about 8% during the period of the study (Table 3).

Figure 3.
Urban expansion area in Riyadh.

Figure 4.
Urban expansion in area the East Area.

Figure 5.
Urban expansion in Makkah.

Figure 6.
Urban expansion in Tabouk.
5.2. Correlation between Crime and Urban Area Expansion
5.2.1. Riyadh Province
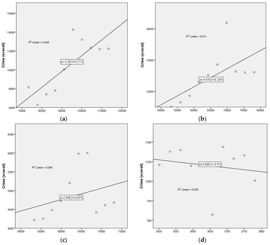
A Spearman’s rank-order correlation was run to assess the relationship between urban change over the period of time and crime rate in all four provinces (Table 4). In Riyadh Province, preliminary analyses showed the relationship to be linear with both variables normally distributed, as assessed by the Shapiro–Wilk test (p > 0.5), and there were no outliers. There was a positive correlation between urban expansion and crime (rs(8) = 0.697, p < 0.05) where urban increase explained 66.62% of the variation in the crime rate in Riyadh (Figure 7). However, Hauke and Kossowski reported that Spearman’s rank correlation coefficient is not necessarily a significant measure of the strength relationship between two variables [].

Table 4.
Spearman’s rank-order correlation test results.

Figure 7.
Correlation coefficient between overall crime and urban expansion in Riyadh, Makkah, the East Area, and Tabouk. (a) Urban changes in Riyadh (ha); (b) Urban changes in Makkah (ha); (c) Urban changes in East Area (ha); (d) Urban changes in Tabouk (ha).
5.2.2. Makkah Province
In testing the relationship between crime overall and urban expansion in Makkah Province, the Spearman correlation coefficient suggests a positive correlation (rs = 0.782). An increase in overall crime during the period was strongly associated with an increase in urban area (rs(8) = 0.782, p < 0.05) (Figure 7).
5.2.3. The East Area
When Spearman’s rank-order correlation approach was run to test the relationship between overall crime and urban land, the preliminary data assessed by the visual inspection of a scatterplot showed that the relationship was not exactly monotonic. Although the linear equation shows that there is a small positive relationship, the correlation was not strong (rs(8) = 0.43, p > 0.05) and we can say that there was no significant correlation (Figure 7).
5.2.4. Tabouk
There was no significant correlation between these two variables in Tabouk Province. The correlation coefficient was negative; it was −0.2 with a p-value of 0.580, where it exceeded 0.05 (Figure 7). In Riyadh and Makkah, there was a statistically significant relationship between crime and urban expansion; thus, we reject the null hypothesis (no correlation exists) and accept the alternative hypothesis (the correlation between crime and urban expansion over time exists). In the East Area, the statistical significance of the relationship between crime and urban expansion over the time period examined was notably less than in Riyadh and Makkah. There was no significant correlation between crime and urban expansion in the East Area and Tabouk.
Deductively, there was a positive correlation between urban expansion and crime (rs(8) = 0.697, p < 0.05), where urban expansion explained 66% of the variation in the crime rate in Riyadh. In Makkah Province, the coefficient also suggests a positive correlation (rs = 0.782). In the East Area, the correlation was not strong (rs(8) = 0.43, p > 0.05). There was no significant correlation between urban area expansion and crime in Tabouk Province. Thus, the correlations were stronger where there has been larger urban expansion.
6. Discussion
Many researchers have suggested that criminal activities and land use changes are related. These studies have focused particularly on land uses, types of land use, and urban forms, such as the physical features of neighbourhoods [], roads [], and shopping centres and bus stations [,,]. In this paper, we attempted to investigate the link between the extension area of urbanization and the potential for crime by analysing satellite images over time together with the number of crimes during the same timeframe using remote sensing techniques.
Our findings show a positive association between increase in the urban area and the crime rate. The urban area change of Riyadh Province was 54.5%, and the analyses showed a correlation between urban change and the crime rate that was stronger than in the other provinces. Our findings also showed that in low-expansion urban areas, such as Tabouk (the change in Tabouk was only 8% during study period), there was no significant relationship between these two variables. It is clear that this correlation increases gradually whenever the urban expansion increases. The increase of the urban area in Makkah was 47.1%, and there was a noted correlation, but less than in Riyadh, where . The same held true in the East Area. Urban area expansion was 37%, and there was still a correlation, but less than in Makkah, where . Consequently, there is an increase in the crime rate where urban areas increase. These results support studies that confirm an existing link between expansion of urban areas and crime, where crime rate increases whenever urbanization areas increase. Accordingly, we can say that the study answers the research question of whether there is a relationship between expansion of urbanized areas and crime rates.
This also helps to explain the difference in crime rates between large and small cities. Criminals find more opportunities to commit crime in large cities than in small ones. In addition, the size and types of population are different between large cities and small ones. Workers, visitors, and migrants are considered as essential components of crime in large cities, while they do not have the same effects in smaller cities. Daily, people’s activities depend on land use and an area’s function. Crime place and crime density are different in any given city depending on how near or far they are from a city centre, shopping mall, or bus station. The opportunity for crime could be greater in commercial areas where there are elevated populations and targets during the day compared to residential areas []. Information such as this aids us in understanding how a city’s land use corresponds to crime patterns across the urban landscape [].
Crimes are neither random nor unique, but they do share many features and characteristics []. There are many factors that can affect crime rates related to land use change over time, such as city planning, economic considerations, distance from the city centre, neighbourhood quality, and police numbers. However, herein, our aim was to investigate the link between urban area expansion and crime. We found that there is a relationship between urban expansion and criminal activities, where this relationship increases whenever urbanization increases.
7. Conclusions
Land use change in urban forms is a notable phenomenon around the world and over time. Land use change detection models have become important tools for studying changes that occur over a given land. They help in analysing the effects associated with these changes over time, for both consequences and causes of urban and land use growth and their economic or social effects. In this study, we have used satellite images of our study area to measure urban change over a period of 10 years and test the correlations between these changes and the number of criminal activities of these areas. The results have shown that there is a measurable relationship between urban increase and criminal activity. Our findings support the crime opportunity theory as one of the possibilities, which suggests that population density and crime are conceptually related. A stronger positive correlation was found where there was greater urban area increase, and vice versa. There was a strong positive correlation between urban expansion and crime in Riyadh and Makkah Provinces (rs(8) = 0.697, p < 0.05). In Riyadh, urban increase explained 66% of the variation in the crime rate, while in Makkah Province, the coefficient also suggests a positive correlation (rs = 0.782). Urban expansion was 47% in Makkah. In the East Area, the correlation was not strong (rs(8) = 0.43, p > 0.05), where the correlation with urban area expansion was 37%. In Tabouk Province, there was no significant correlation between urban area expansion and crime, where the urban area increase was only 8%. Thus, we found the correlations were stronger where there has been a larger urban change. Many other factors that may affect the crime rate are not included in this paper, such as information on the spatial details of the population, city planning, economic considerations, distance from the city centre, neighbourhood quality, and police numbers. The sole aim of this paper was to investigate the link between urban area expansion and crime rate over time by analysing satellite images digitally. This study will be of particular interest to those who aim to use remote sensing to study patterns of crime.
Author Contributions
Mofza Algahtany and Lalit Kumar conceived and designed the study; Mofza Algahtany performed the classifications and analysed the data; Mofza Algahtany wrote the paper; and Lalit Kumar revised the manuscript.
Conflicts of Interest
There is no conflict of interest.
References
- Taylor, R.B.; Harrell, A. Physical Environment and Crime; US Department of Justice, Office of Justice Programs, National Institute of Justice: Washington, DC, USA, 1996.
- Newton, A.; Felson, M. Editorial: Crime patterns in time and space: The dynamics of crime opportunities in urban areas. Crime Sci. 2015, 4, 1–5. [Google Scholar] [CrossRef]
- Phillips, C. A review of CCTV evaluations: Crime reduction effects and attitudes towards its use. Crime Prev. Stud. 1999, 10, 123–155. [Google Scholar]
- Levine, N.; Wachs, M.; Shirazi, E. Crime at bus stops: A study of environmental factors. J. Archit. Plan. Res. 1986, 3, 339–361. [Google Scholar]
- Kinney, J.B.; Brantingham, P.L.; Wuschke, K.; Kirk, M.G.; Brantingham, P.J. Crime attractors, generators and detractors: Land use and urban crime opportunities. Built Environ. 2008, 34, 62–74. [Google Scholar] [CrossRef]
- Brantingham, P.J.; Brantingham, P.L. Environmental Criminology; Sage Publications: Beverly Hills, CA, USA, 1981. [Google Scholar]
- Wortley, R.; Mazerolle, L. Environmental Criminology and Crime Analysis; Willan: Portland, OR, USA, 2013. [Google Scholar]
- Brantingham, P.J.; Brantingham, P.L. Environmental criminology: From theory to urban planning practice. Stud. Crime Crime Prev. 1998, 7, 31–60. [Google Scholar]
- White, R.D. Environmental Crime: A Reader; Willan: Portland, OR, USA, 2009. [Google Scholar]
- Boessen, A.; Hipp, J.R. Close-ups and the scale of ecology: Land uses and the geography of social context and crime. Criminology 2015, 53, 399–426. [Google Scholar] [CrossRef]
- Felson, M. Routine activities and crime prevention in the developing metropolis. Criminology 1987, 25, 911–932. [Google Scholar] [CrossRef]
- Lockwood, D. Mapping crime in Savannah social disadvantage, land use, and violent crimes reported to the police. Soc. Sci. Comput. Rev. 2007, 25, 194–209. [Google Scholar] [CrossRef]
- Snowden, A.J.; Pridemore, W.A. Alcohol outlets, social disorganization, land use, and violence in a large college town direct and moderating effects. Crim. Justice Rev. 2013, 38, 29–49. [Google Scholar] [CrossRef]
- Harries, K. Extreme spatial variations in crime density in Baltimore County, MD. Geoforum 2006, 37, 404–416. [Google Scholar] [CrossRef]
- Tabangin, D.R.; Flores, J.C.; Emperador, N.F. Investigating crime hotspot places and their implication to urban environmental design: A geographic visualization and data mining approach. Int. J. Hum. Soc. Sci. 2010, 5, 210–218. [Google Scholar]
- Chainey, S.; Ratcliffe, J. GIS and Crime Mapping; John Wiley & Sons: Chichester, UK, 2013. [Google Scholar]
- Bannister, J.; Fyfe, N. Introduction: Fear and the city. Urban Stud. 2001, 38, 807–813. [Google Scholar] [CrossRef]
- Glasson, J.; Cozens, P. Making communities safer from crime: An undervalued element in impact assessment. Environ. Impact Assess. Rev. 2011, 31, 25–35. [Google Scholar] [CrossRef]
- Robinson, J.B. Crime and regeneration in urban communities: The case of the big dig in Boston, Massachusetts. Built Environ. 2008, 34, 46–61. [Google Scholar] [CrossRef]
- Kruger, T.; Landman, K. Crime and the physical environment in South Africa: Contextualizing international crime prevention experiences. Built Environ. 2008, 34, 75–87. [Google Scholar] [CrossRef]
- Bursik, R.J.; Grasmick, H.G. Neighbourhoods and Crime; Lexington: New York, NY, USA, 1993. [Google Scholar]
- Rossmo, D.K. Geographic Profiling; CRC Press: Boca Raton, FL, USA, 1999. [Google Scholar]
- LeBas, A. Violence and urban order in Nairobi, Kenya and Lagos, Nigeria. Stud. Comp. Int. Dev. 2013, 48, 240–262. [Google Scholar] [CrossRef]
- Nazri, A. Impacts of urban land use on crime patterns through GIS application. Plan. Malays. Geospat. Anal. Urban Plan. 2013, 11, 1–22. [Google Scholar]
- Leitner, M. Crime Modeling and Mapping Using Geospatial Technologies; Springer Science & Business Media: Berlin, Germany, 2013; Volume 8. [Google Scholar]
- Opiyo, R.O. The Interaction between Land Use Transformation and Crime Incidence in Dandora, Nairobi, Kenya. Ph.D. Thesis, University of Nairobi, Nairobi, Kenya, 2014. [Google Scholar]
- Bursik, R.J., Jr.; Webb, J. Community change and patterns of delinquency. Am. J. Sociol. 1982, 88, 24–42. [Google Scholar] [CrossRef]
- Browning, C.R.; Byron, R.A.; Calder, C.A.; Krivo, L.J.; Kwan, M.-P.; Lee, J.-Y.; Peterson, R.D. Commercial density, residential concentration, and crime: Land use patterns and violence in neighborhood context. J. Res. Crime Delinquency 2010, 47, 329–357. [Google Scholar] [CrossRef]
- Wuschke, K.; Brantingham, P.L.; Ginther, J. Landscapes of crime: Exploring urban crime and land use. In Proceedings of the GeoTEC Event 2009, Vancouver, BC, Canada, 1–4 June 2009.
- Schneider, R.H.; Kitchen, T. Putting crime prevention through environmental design into practice via planning systems: A comparison of experience in the US and UK. Built Environ. 2013, 39, 9–30. [Google Scholar] [CrossRef]
- Kelly, A.B.; Kelly, N.M. Validating the remotely sensed geography of crime: A review of emerging issues. Remote Sens. 2014, 6, 12723–12751. [Google Scholar] [CrossRef]
- Stucky, T.D.; Ottensmann, J.R. Land use and violent crime. Criminology 2009, 47, 1223–1264. [Google Scholar] [CrossRef]
- Zhang, W. Does compact land use trigger a rise in crime and a fall in ridership? A role for crime in the land use—Travel connection. Urban Stud. 2015. [Google Scholar] [CrossRef]
- Schmitz, P.M.U.; Cooper, A.K.; Quick, G.J. Using satellite imagery for crime mapping in South Africa. In Proceedings of the 6th Annual International Conference, Denver, CO, USA, 8–11 December 2002.
- Frazier, A.E.; Bagchi-Sen, S.; Knight, J. The spatio-temporal impacts of demolition land use policy and crime in a shrinking city. Appl. Geogr. 2013, 41, 55–64. [Google Scholar] [CrossRef]
- Cullen, J.B.; Levitt, S.D. Crime, urban flight, and the consequences for cities. Rev. Econ. Stat. 1999, 81, 159–169. [Google Scholar] [CrossRef]
- Daghistani, A.I. Emergence of an urban region: A case study of the central coastal region in the Eastern Province of Saudi Arabia. Cities 1993, 10, 25–36. [Google Scholar] [CrossRef]
- Al-Ogla, S. A study of hospital and medical libraries in Riyadh, Kingdom of Saudi Arabia. Bull. Med. Libr. Assoc. 1998, 86, 57–62. [Google Scholar] [PubMed]
- Schneider, J.; Garatly, D.; Srinivasan, M.; Guy, S.J.; Curtis, S.; Cutchin, S.; Manocha, D.; Lin, M.C.; Rockwood, A. Towards a digital Makkah—Using immersive 3D environments to train and prepare pilgrims. In Proceedings of the International Conference on Digital Media and Its Applications in Cultural Heritage (DMACH), Amman, Jordan, 12–13 March 2011.
- Malik, S.A. Rural Migration and Urban Growth in Riyadh, Saudi Arabia; University of Michigan: Ann Arbor, MI, USA, 1973. [Google Scholar]
- Garba, S.B. Managing urban growth and development in the Riyadh metropolitan area, Saudi Arabia. Habitat Int. 2004, 28, 593–608. [Google Scholar] [CrossRef]
- Alhowaish, A.K. Eighty years of urban growth and socioeconomic trends in Dammam metropolitan area, Saudi Arabia. Habitat Int. 2015, 50, 90–98. [Google Scholar] [CrossRef]
- General Authority for Statistics, Saudi Arabia. Available online: www.cdsi.gov.sa/ (accessed on 16 May 2016).
- Ministry of Justice. Statistical Book, Ministry of Justice; Ministry of Justice: Riyadh, Saudi Arabia, 2013.
- Algahtany, M.; Kumar, L.; Khormi, H.M. Spatio-temporal changes on crime patterns in Saudi Arabia from 2003–2012. GSTF J. Law Soc. Sci. 2014, 4, 11–19. [Google Scholar]
- Algahtany, M.; Kumar, L.; Khormi, H. Are immigrants more likely to be involved in criminal activity in Saudi Arabia? Open J. Soc. Sci. 2016, 4, 170–186. [Google Scholar] [CrossRef]
- United States Geological Survey. Available online: https://www.usgs.gov/ (accessed on 28 May 2016).
- Goshtasby, A. Registration of images with geometric distortions. IEEE Trans. Geosci. Remote Sens. 1988, 26, 60–64. [Google Scholar] [CrossRef]
- Collins, J.B.; Woodcock, C.E. An assessment of several linear change detection techniques for mapping forest mortality using multitemporal Landsat TM data. Remote Sens. Environ. 1996, 56, 66–77. [Google Scholar] [CrossRef]
- Jensen, J.R.; Lulla, K. Introductory digital image processing: A remote sensing perspective. Geocarto Int. 1987, 2, 65. [Google Scholar] [CrossRef]
- Congalton, R.G. A review of assessing the accuracy of classifications of remotely sensed data. Remote Sens. Environ. 1991, 37, 35–46. [Google Scholar] [CrossRef]
- Hauke, J.; Kossowski, T. Comparison of values of pearson’s and spearman’s correlation coefficients on the same sets of data. Quaest. Geogr. 2011, 30, 87–93. [Google Scholar] [CrossRef]
- Cohen, L.E.; Felson, M. Social change and crime rate trends: A routine activity approach. Am. Sociol. Rev. 1979, 44, 588–608. [Google Scholar] [CrossRef]
- Hirschfield, A.; Bowers, K.J. The development of a social, demographic and land use profiler for areas of high crime. Br. J. Criminol. 1997, 37, 103–120. [Google Scholar] [CrossRef]
© 2016 by the authors; licensee MDPI, Basel, Switzerland. This article is an open access article distributed under the terms and conditions of the Creative Commons Attribution (CC-BY) license (http://creativecommons.org/licenses/by/4.0/).