Narrowband and Wideband Channel Sounding of an Antarctica to Spain Ionospheric Radio Link
Abstract
:1. Introduction

2. Measured Parameters
2.1. Measurements of Geomagnetic Parameters



2.2. Vertical Incidence Soundings of the Ionosphere


Oblique Incidence Soundings of the Ionosphere

3. System Description
3.1. Hardware of the Transmitter

3.2. Hardware of the Receiver

4. Data Analysis
4.1. Tests Description

| Parameter | Value |
|---|---|
| Signal | Sine wave |
| Duration | 10 s |
| Silence | 4 s |
| Parameter | Value |
|---|---|
| Sampling frequency | 100 kHz |
| PN sequence length | 127 |
| Family of sequences | m-sequence |
| Chip frequency | 5 kHz |
| Number of sequences per test | 300 |
4.2. Narrowband Analysis


4.2.1. Wideband Analysis



5. Results
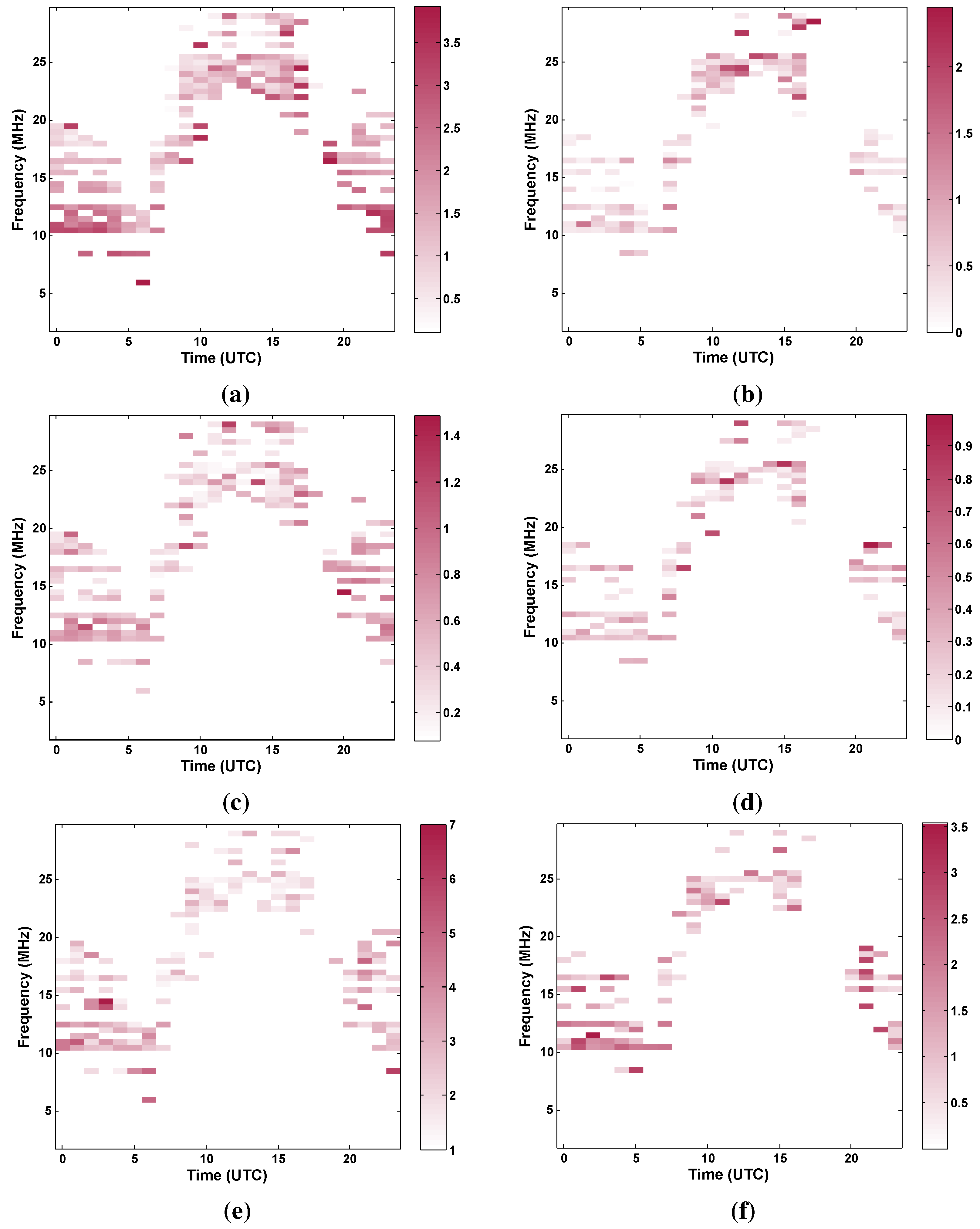
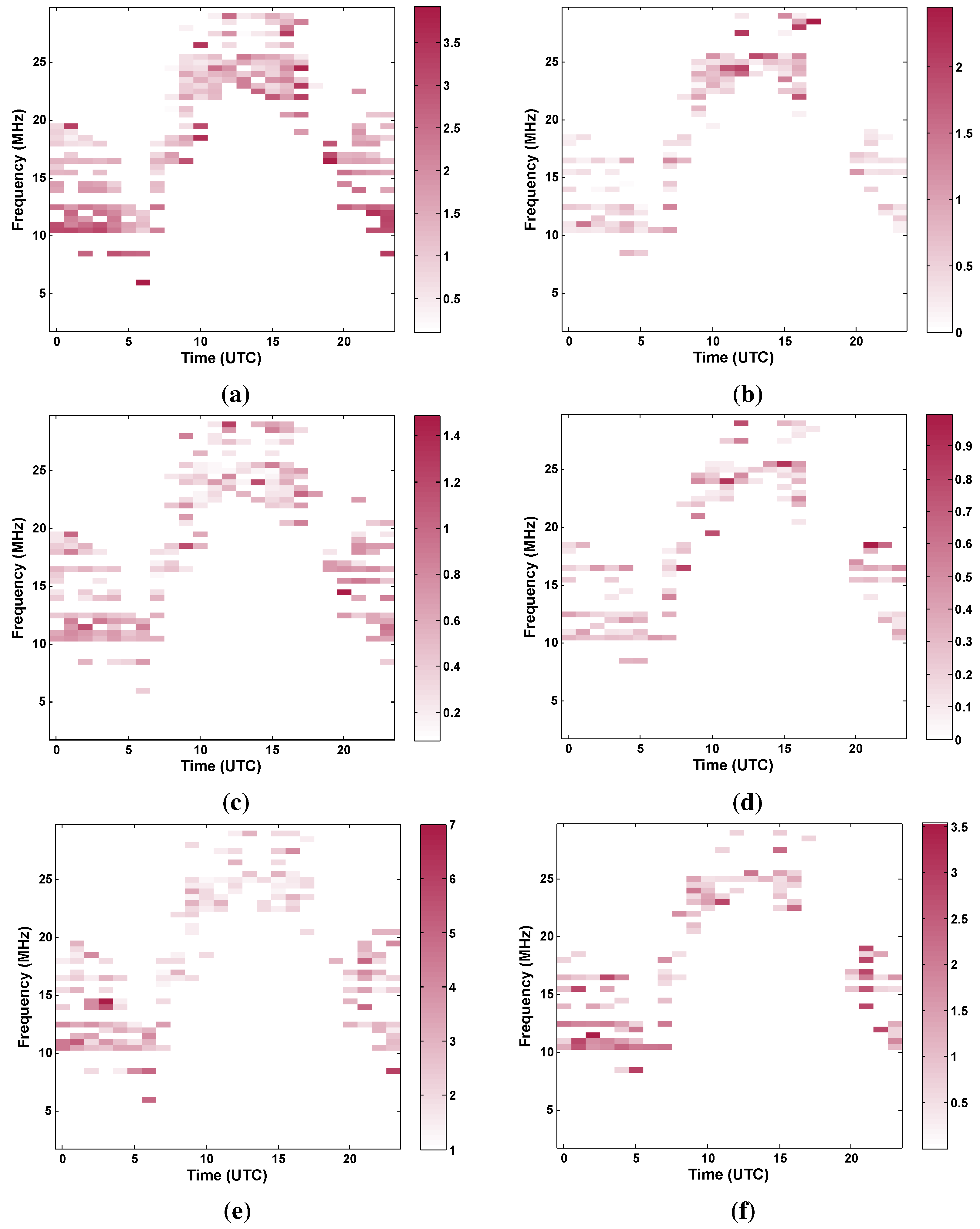
5.1. Narrowband Results

5.2. Wideband Results

5.3. Discussion
6. Conclusions
Acknowledgments
Author Contributions
Conflicts of Interest
References
- Liu, Y.; Weisberg, R.H.; Merz, C.R.; Lichtenwalner, S.; Kirkpatrick, G.J. HF radar performance in a low-energy environment: CODAR SeaSonde experience on the West Florida Shelf. J. Atmos. Ocean. Technol. 2010, 27, 1689–1710. [Google Scholar] [CrossRef]
- Merz, C.R.; Liu, Y.; Gurgel, K.-W.; Peterson, L.; Weisberg, R.H. Effect of radio frequency interference (RFI) noise energy on WERA performance using the "listen before talk" adaptive noise procedure. 2015, pp. 229–247. Available online: http://dx.doi.org/10.1016/B978-0-12-802022-7.00013-4 (accessed on 30 July 2015).
- Torta, J.M.; Gaya-Piqué, L.R.; Riddick, J.C.; Turbitt, C.W. A partly manned geomagnetic observatory in Antarctica provides a reliable data set. Contrib. Geophys. Geod. Geophys. Inst. Slov. Acad. Sci. 2001, 31, 225–230. [Google Scholar]
- Vilella, C.; Miralles, D.; Pijoan, J.L. An Antarctica-to-Spain HF ionospheric radio link: Sounding results. Radio Sci. 2008. [Google Scholar] [CrossRef]
- Ads, A.G.; Bergadà, P.; Vilella, C.; Regué, J.R.; Pijoan, J.L.; Bardají, R.; Mauricio, J. A comprehensive sounding of the ionospheric HF radio link from Antarctica to Spain. Radio Sci. 2012. [Google Scholar] [CrossRef]
- Hervás, M.; Pijoan, J.L.; Alsina-Pagès, R.M.; Salvador, M.; Badia, D. Single-carrier frequency domain equalization proposal for very long haul HF radio links. Electron. Lett. 2014, 17, 1252–1254. [Google Scholar] [CrossRef]
- Bergadà, P.; Alsina-Pagès, R.M.; Pijoan, J.L.; Salvador, M.; Regué, J.R.; Badia, D.; Graells, S. Digital transmission techniques for a long haul HF link: DS-SS vs. OFDM. Radio Sci. 2014. [Google Scholar] [CrossRef]
- Alsina-Pagès, R.M.; Salvador, M.; Hervás, M.; Bergadà, P.; Pijoan, J.L.; Badia, D. Spread spectrum high performance techniques for a long haul high frequency link. IET Com. 2015, 9, 1048–1053. [Google Scholar] [CrossRef]
- Marsal, S.; Torta, J.M.; Solé, J.G.; Segarra, A.; Cid, O.; Ibáñez, M.; Altadill, D. Livingston Island Geomagnetic Observations 2012 and 2012–2013 Survey. Available online: http://www.obsebre.es/images/oeb/pdfs/es/BoletinesMagnetismo/livingston_2012.pdf (accessed on 2 September 2015).
- Marsal, S.; Torta, J.M. An evaluation of the uncertainty associated with the measurement of the geomagnetic field with a D/I fluxgate theodolite. Measur. Sci. Technol. 2007, 18. [Google Scholar] [CrossRef]
- Marsal, S.; Torta, J.M.; Riddick, J.C. An assessment of the BGS δDδI vector magnetometer. Publs. Inst. Geophys. Pol. Acad. Sci. 2007, 99, 158–165. [Google Scholar]
- Zuccheretti, E.; Bianchi, C.; Sciacca, U.; Tutone, G.; Arokiasamy, J. The new AIS-INGV digital ionosonde. Ann. Geophys. 2003, 46, 647–659. [Google Scholar]
- Bergadà, P.; Deumal, M.; Vilella, C.; Regué, J.R.; Altadill, D.; Marsal, S. Remote sensing and skywave digital communication from Antarctica. Sensors 2009. [Google Scholar] [CrossRef] [PubMed]
- Golomb, S. Shift Register Sequences; Holden-Day: San Francisco, CA, USA, 1967. [Google Scholar]
- Goodman, J.; Ballard, J.; Sharp, E. A long-term investigation of the HF communication channel over middle- and high-latitudes paths. Radio Sci. 1997, 32, 1705–1715. [Google Scholar] [CrossRef]
- Proakis, J. Digital Communications, 4th ed.; McGraw Hill: Boston, MA, USA, 2000. [Google Scholar]
- Angling, M.J.; Davies, N.C. An assessment of a new ionospheric channel model driven by measurements of multipath and Doppler spread. In Proceedings of the 1999 IEEE Colloquium on Frequency Selection and Management Techniques for HF Communications, London, UK, 29–30 March 1999.
- Warrington, E.M.; Jones, T.B.; Rogers, N.C.; Rizzo, C. Directional characteristics of ionospherically propagated HF radio signals and their effect on HF DF systems. In Proceedings of the IEE Colloquium on Propagation Characteristics and Related System Techniques for Beyond Line-of-Sight Radio, London, UK, 24 November 1997.
- Strangeways, H.J.; Zatman, M.A. Experimental observations using superresolution d-f and propagation path determination of additional great circle HF paths due to the terminator. In Proceedings of the 9th Conference on Antennas and Propagation, Eindhoven, the Netherlands, 4–7 April 1995.
- Warrington, E.M.; Stocker, A.J. Measurements of the Doppler and multipath spread of the HF signals received over a path oriented along the midlatitude trough. Radio Sci. 2003, 38. [Google Scholar] [CrossRef]
© 2015 by the authors; licensee MDPI, Basel, Switzerland. This article is an open access article distributed under the terms and conditions of the Creative Commons Attribution license (http://creativecommons.org/licenses/by/4.0/).
Share and Cite
Hervás, M.; Alsina-Pagès, R.M.; Orga, F.; Altadill, D.; Pijoan, J.L.; Badia, D. Narrowband and Wideband Channel Sounding of an Antarctica to Spain Ionospheric Radio Link. Remote Sens. 2015, 7, 11712-11730. https://doi.org/10.3390/rs70911712
Hervás M, Alsina-Pagès RM, Orga F, Altadill D, Pijoan JL, Badia D. Narrowband and Wideband Channel Sounding of an Antarctica to Spain Ionospheric Radio Link. Remote Sensing. 2015; 7(9):11712-11730. https://doi.org/10.3390/rs70911712
Chicago/Turabian StyleHervás, Marcos, Rosa Ma Alsina-Pagès, Ferran Orga, David Altadill, Joan Lluís Pijoan, and David Badia. 2015. "Narrowband and Wideband Channel Sounding of an Antarctica to Spain Ionospheric Radio Link" Remote Sensing 7, no. 9: 11712-11730. https://doi.org/10.3390/rs70911712
APA StyleHervás, M., Alsina-Pagès, R. M., Orga, F., Altadill, D., Pijoan, J. L., & Badia, D. (2015). Narrowband and Wideband Channel Sounding of an Antarctica to Spain Ionospheric Radio Link. Remote Sensing, 7(9), 11712-11730. https://doi.org/10.3390/rs70911712

