Comparing MODIS Net Primary Production Estimates with Terrestrial National Forest Inventory Data in Austria
Abstract
:1. Introduction
- (i)
- The MODIS satellite-driven NPP is based on the principles of carbon uptake following light use efficiency logic [9] using a simplification of the NPP algorithms implemented in BIOME-BGC [10]. According to the hypothesis put forth by Hasenauer et al. [3] the MODIS NPP algorithm assumes a fully stocked forest for a given vegetation class or biome type and provides eight-day results NPP estimates on a 1 × 1 km grid.
- (ii)
- NPP estimates derived from terrestrial forest growth data (permanent sampling plots or forest inventory data) employ biomass expansion factors or biomass functions based on repeated observations such as breast height diameter (dbh) and/or tree height (h). Depending on the measurement interval the derived increment results represent a mean periodic average. Since this method is based on individual tree observations (e.g., dbh, h), potential changes in tree growth due to stand age, stand density or environmental effects such as weather patterns or CO2 concentration are included as they affect dbh and h development.
- (i)
- obtain MODIS NPP estimates (using different climate data) for comparing the results with terrestrial-driven NPP estimates
- (ii)
- examine the potential effects of stand density, MODIS land cover types, stand age, species composition, ecoregion and elevation on NPP estimates by method.
2. Methods
2.1. MODIS NPP—“Space Based” Approach
2.2. Terrestrial NPP—“Ground Based” Approach
2.2.1. Increment Estimation
2.2.2. Carbon Estimation
2.2.3. Litterfall Estimation
2.2.4. Stand Density Calculation
2.2.5. Determining the Dominant Tree Species and the Ecoregions
3. Data
3.1. Climate Data
3.2. MODIS Data
- (1)
- the NASA Global Modeling and Assimilation Offices (GMAO) at NASA Goddard Space Flight Center with a spatial resolution of 0.5 × 0.67° [41]. MODIS NPP derived from this data set will be referred to as “GMAO”.
- (2)
- (3)
- Austrian local daily climate data interpolated with DAYMET (see previous chapter) on 1 × 1 km (approx. 0.0083 × 0.0083°) resolution with station data provided by the Austrian National Weather Centre: “ZAMG”.

3.3. Forest Inventory Data
4. Results and Analysis
4.1. MODIS NPP versus Terrestrial NPP

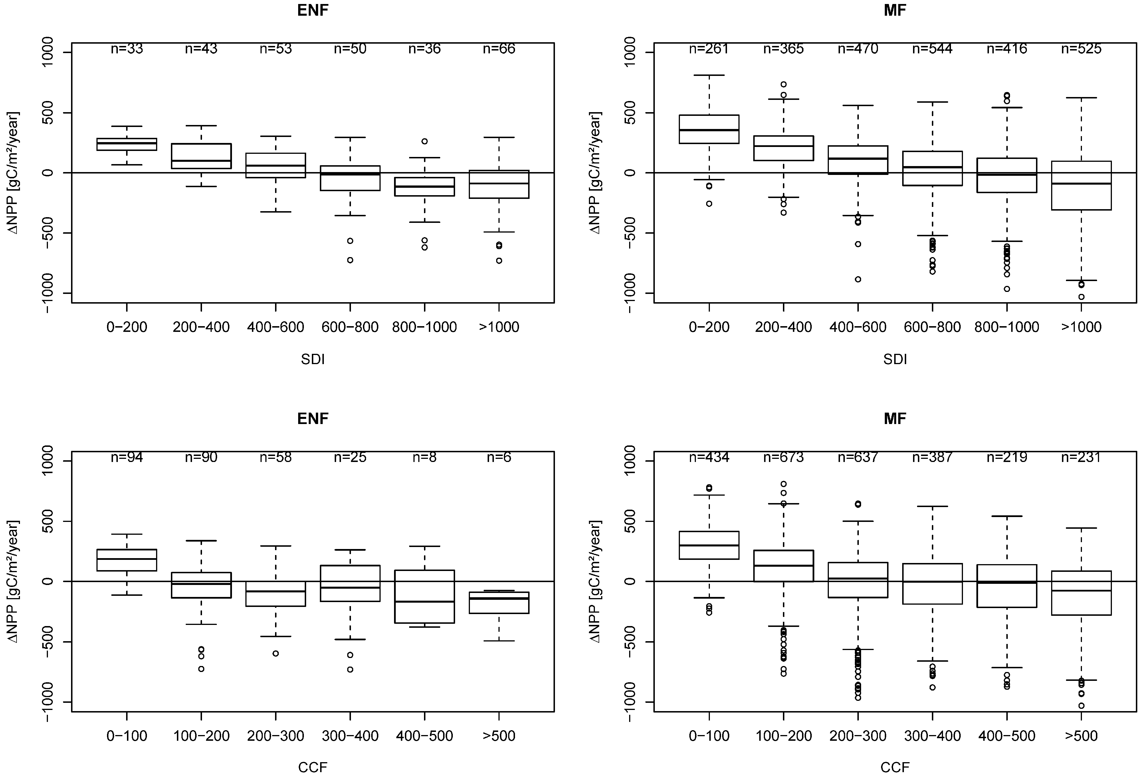
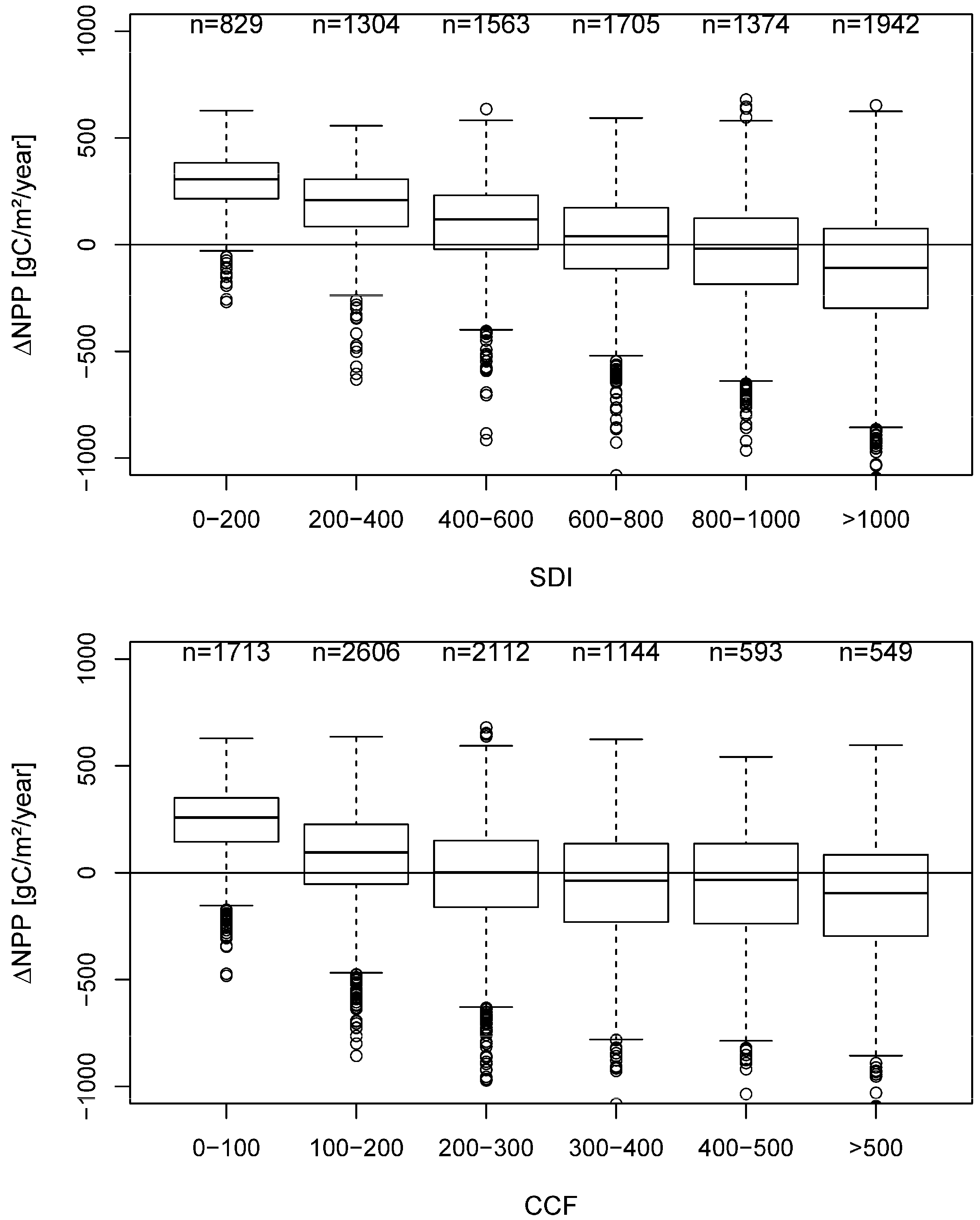
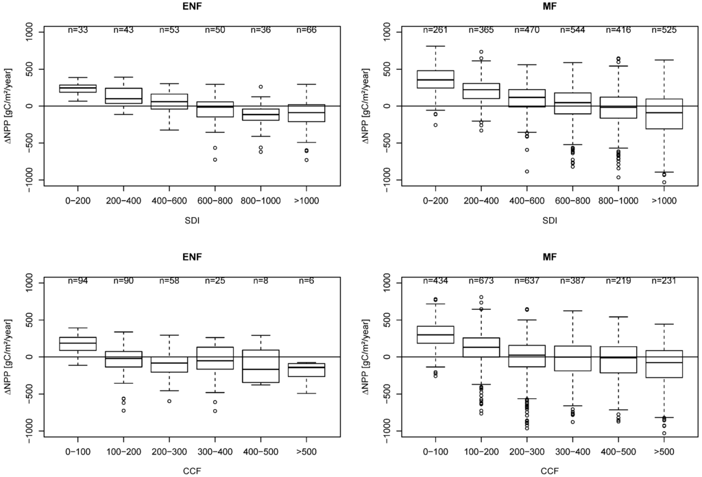
4.2. Stand Density Effects
| Variable | Spruce, Fir | Larch, Pine | Other Coniferous | Beech | Oak | Other Broadleaf | All |
|---|---|---|---|---|---|---|---|
| Number of plots | 5809 | 1001 | 140 | 886 | 238 | 864 | 8939 |
| Age dominant trees (a) | 81 (15–175) | 95 (15–175) | 122 (15–175) | 95 (15–175) | 80 (15–165) | 51 (15–175) | 82 (15–175) |
| Elevation (m) | 1019 (220–2110) | 914 (245–2066) | 1084 (259–2212) | 741 (244–1467) | 377 (176–971) | 544 (129–1685) | 880 (129–2212) |
| Number of trees (ha-1) | 1029 (3–10084) | 859 (4–6205) | 741 (5–3544) | 890 (8–9394) | 692 (6–5934) | 1141 (1–8917) | 993 (1–10084) |
| Stem volume (m³/ha) | 361 (2–1672) | 304 (2–1205) | 268 (13–726) | 329 (2–1382) | 220 (8–758) | 200 (2–1281) | 331 (2–1672) |
| Basal area (m²/ha) | 36 (1–124) | 33 (1–104) | 35 (4–79) | 33 (1–100) | 25 (2–76) | 25 (1–107) | 34 (1–124) |
| SDI | 738 (36–2618) | 665 (38–2086) | 679 (48–1705) | 655 (36–2066) | 512 (49–1523) | 553 (36–2649) | 697 (36–2649) |
| CCF | 204 (7–1308) | 206 (10–969) | 188 (7–697) | 350 (21–1622) | 209 (16–625) | 315 (11–1699) | 229 (7–1699) |


4.3. Addressing Stand Density Effects

| Depending Variable | a | SE a | b | SE b | r² | n | |
|---|---|---|---|---|---|---|---|
| SDI | ENF | 908.3 | 83.0 | −143.0 | 13.1 | 0.30 | 277 |
| DBF | 1265.8 | 194.7 | −192.2 | 31.6 | 0.34 | 71 | |
| MF | 1203.3 | 38.1 | −181.3 | 6.0 | 0.26 | 2516 | |
| all | 1181.0 | 19.4 | −178.7 | 3.0 | 0.28 | 8716 | |
| CCF | ENF | 694.8 | 60.0 | −141.3 | 12.2 | 0.33 | 277 |
| DBF | 951.3 | 145.1 | −159.5 | 26.5 | 0.34 | 71 | |
| MF | 841.9 | 30.1 | −148.8 | 30.1 | 0.21 | 2516 | |
| all | 812.4 | 15.1 | −147.6 | 2.9 | 0.22 | 8716 |
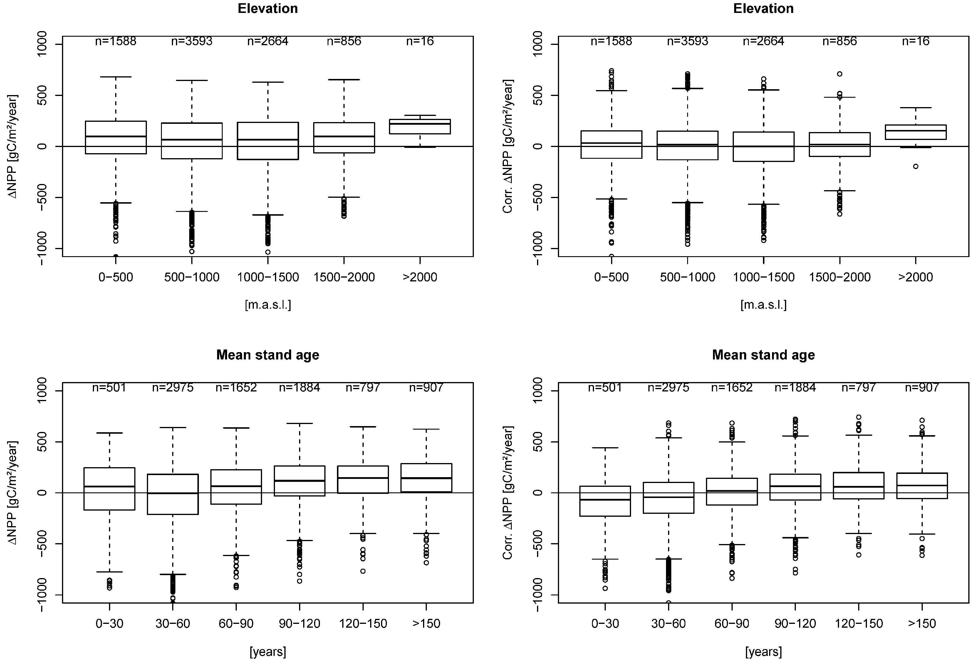
4.4. Consistency of the NPP Estimates across Scales


4.5. Effect of Water Availability

5. Discussion
6. Conclusions
Acknowledgments
Author Contributions
Conflicts of Interest
Appendix
Carbon estimation and calculation of crown width using NFI data
| Species Name | c1 | c2 | c3 | c4 | c5 | c6 | c7 |
|---|---|---|---|---|---|---|---|
| Picea abies, other coniferous | 0.5634 | −0.1273 | −8.5502 | 0 | 0 | 7.6331 | 0 |
| Abies alba | 0.5607 | 0.1547 | −0.6558 | 0.0332 | 0 | 0 | 0 |
| Larix decidua | 0.4873 | 0 | −2.0429 | 0 | 0 | 5.9995 | 0 |
| Pinus sylvestris, Pinus strobus | 0.4359 | −0.0149 | 5.2109 | 0 | 0.0287 | 0 | 0 |
| Pinus nigra | 0.5344 | −0.0076 | 0 | 0 | 0 | 0 | 2.2414 |
| Pinus cembra | 0.5257 | −0.0335 | 7.3894 | −0.1065 | 0 | 0 | 3.3448 |
| Fagus sylvatica, other broadleaf | 0.5173 | 0 | −13.6214 | 0 | 0 | 9.9888 | 0 |
| Quercus sp. | 0.4171 | 0.2194 | 13.3259 | 0 | 0 | 0 | 0 |
| Carpinus betulus | 0.3247 | 0.0243 | 0 | 0.2397 | 0 | −9.9388 | 0 |
| Fraxinus sp., Sorbus sp., Prunus sp. | 0.4812 | −0.0149 | −10.831 | 0 | 0 | 9.3936 | 0 |
| Acer sp. | 0.5010 | −0.0352 | −8.0718 | 0 | 0.0352 | 0 | 0 |
| Ulmus sp. | 0.4422 | −0.0245 | 0 | 0 | 0 | 0 | 2.8771 |
| Betula sp. | 0.4283 | −0.0664 | 0 | 0 | 0 | 8.4307 | 0 |
| Alnus sp. | 0.3874 | 0 | 7.1712 | 0.0441 | 0 | 0 | 0 |
| Populus sp. | 0.3664 | 0 | 1.1332 | 0.1306 | 0 | 0 | 0 |
| Salix sp. | 0.5401 | −0.0272 | −25.1145 | 0.0833 | 0 | 9.3988 | 0 |
| Species Name | c0 | c1 | c2 | c3 | c4 | c5 | c6 |
|---|---|---|---|---|---|---|---|
| Picea abies, other coniferous | −0.2436 | 0.8271 | 0 | 2.91E-04 | 0 | 0.0287 | 0 |
| Abies alba | 0.0991 | 0 | 0.5126 | 4.46E-04 | 0 | 0.0160 | 0 |
| Larix decidua | −0.2198 | 0.8028 | 0 | 3.24E-04 | 0 | 0.0184 | 0 |
| Pinus sylvestris | −0.2099 | 0.8140 | 0 | 1.96E-04 | 0 | 0.0317 | 0 |
| Pinus nigra, Pinus strobus | −0.1929 | 0.8479 | 0 | 2.04E-04 | 0 | 0.0069 | 0 |
| Pinus cembra | 0.0501 | 0.4676 | 0 | 1.57E-04 | 0 | 0.0761 | 0 |
| Fagus sylvatica, other broadleaf | −0.1309 | 0.6743 | 0 | 0 | 1.67E-04 | 0 | 0.0668 |
| Quercus sp. | 0.1852 | 0 | 0.3501 | 0 | 4.77E-04 | 0 | 0.0657 |
| Carpinus betulus | 0.0421 | 0.4226 | 0 | 0 | 4.21E-04 | 0 | 0.0770 |
| Fraxinus sp. | −0.0198 | 0.5124 | 0 | 0 | 4.70E-04 | 0 | 0.0535 |
| Acer sp. | −0.0286 | 0.5655 | 0 | 0 | 2.37E-04 | 0 | 0.0083 |
| Ulmus sp. | −0.1390 | 0.6950 | 0 | 0 | 3.18E-04 | 0 | 0.0166 |
| Betula sp. | −0.0778 | 0.5682 | 0 | 0 | 5.54E-04 | 0 | 0.0517 |
| Alnus sp. | −0.1646 | 0.7038 | 0 | 0 | 2.59E-04 | 0 | 0.0589 |
| Populus tremula | −0.1456 | 0.6657 | 0 | 0 | 4.18E-04 | 0 | 0.0589 |
| Populus alba | −0.1438 | 0.6487 | 0 | 0 | 5.62E-04 | 0 | 0.0812 |
| Populus nigra | −0.0843 | 0.5928 | 0 | 0 | 6.47E-04 | 0 | 0.0227 |
| Salix sp. | −0.1376 | 0.6944 | 0 | 0 | 4.59E-04 | 0 | 0.0128 |
| Species Name | wd | sf |
|---|---|---|
| Picea sp. | 0.41 | 11.80 |
| Abies sp. | 0.41 | 11.85 |
| Larix sp. | 0.55 | 13.20 |
| Pinus sylvestris, other Pinus | 0.51 | 11.80 |
| Pinus nigra | 0.56 | 11.80 |
| Pinus cembra | 0.40 | 9.00 |
| Pinus strobus | 0.37 | 9.00 |
| Pseudotsuga menziesii | 0.47 | 12.00 |
| Taxus baccata | 0.64 | 8.80 |
| Fagus sylvatica, other hardwood broadleaf | 0.68 | 17.50 |
| Carpinus betulus | 0.67 | 13.60 |
| Quercus sp. | 0.75 | 18.80 |
| Fraxinus sp. | 0.67 | 13.20 |
| Acer sp. | 0.59 | 11.65 |
| Ulmus sp. | 0.64 | 12.80 |
| Castanea sativa | 0.56 | 11.45 |
| Robinia pseudacacia | 0.73 | 11.80 |
| Prunus sp., Sorbus sp. | 0.57 | 13.85 |
| Sorbus domestica | 0.71 | 17.15 |
| Sorbus aucuparia | 0.62 | 18.60 |
| Betula sp. | 0.64 | 13.95 |
| Alnus sp. | 0.49 | 13.40 |
| Tilia sp., other softwood broadleaf | 0.52 | 14.65 |
| Populus sp. | 0.45 | 11.90 |
| Populus nigra | 0.41 | 12.50 |
| Salix sp. | 0.52 | 9.60 |
| Juglans regia | 0.64 | 13.70 |
| Juglans nigra | 0.56 | 12.65 |
| Ostrya carpinifolia | 0.75 | 18.80 |
| Malus, Pyrus | 0.70 | 14.40 |
| Species Name | b20 | b21 | b22 | l2 | b30 | b31 | b32 | b33 | l3 |
|---|---|---|---|---|---|---|---|---|---|
| Picea abies, other coniferous except Pinus sp. | -1.1635 | 1.7459 | -0.9499 | 1.102 | -1.9576 | 2.0252 | 0.1451 | 0.9154 | 1.051 |
| Abies alba | -2.4327 | 2.0429 | -0.6667 | 1.105 | -2.9650 | 2.2066 | 0 | 0.4384 | 1.087 |
| Fagus sylvatica, other BL | -3.0688 | 2.3930 | -0.5548 | 1.251 | -3.3205 | 2.5568 | -0.1092 | 0.6002 | 1.212 |
| Quercus sp. | 1.8554 | 0.9332 | -1.7150 | 1.334 | -1.2943 | 1.9445 | 0 | 1.2137 | 1.280 |
| Carpinus betulus | -4.4119 | 2.8913 | -0.4311 | 1.181 | -3.6598 | 2.8281 | 0 | 0.9318 | 1.130 |
| Name | c0 | c1 | c2 | c3 | c4 | a0 | a1 |
|---|---|---|---|---|---|---|---|
| Coniferous (except Pinus sp.) | 1.041 | −8.350 | 4.568 | −0.330 | 0.281 | - | - |
| Fagus sylvatica, other broadleaf | 1.080 | −4.000 | 2.320 | 0 | 0 | 0.022 | 2.300 |
| Quercus sp. | 1.051 | −3.975 | 2.523 | 0 | 0 | 0.135 | 1.811 |
| Carpinus betulus | 1.052 | −3.848 | 2.488 | 0 | 0 | 0.022 | 2.300 |
| Name | c0 | c1 |
|---|---|---|
| Picea abies, other coniferous | −0.3232 | 0.6441 |
| Abies alba | 0.0920 | 0.5380 |
| Larix decidua | −0.3396 | 0.6823 |
| Pinus sylvestris, other Pinus sp. | −0.1797 | 0.6267 |
| Pinus nigra | −0.1570 | 0.6310 |
| Pinus cembra | −1.3154 | 0.8288 |
| Fagus sylvatica, other broadleaf | 0.2662 | 0.6072 |
| Quercus sp., Castanea sativa | −0.3973 | 0.7328 |
| Acer sp., Betula sp., Alnus sp., Populus sp., Salix sp., Ulmus sp. | 0.4180 | 0.5285 |
| Fraxinus sp., Robinia, sp. Prunus sp. Sorbus sp. | 0.1366 | 0.6183 |
| Tilia sp. | 0.1783 | 0.5665 |
References
- Shvidenko, A.; Schepaschenko, D.; McCallum, I.; Santoro, M.; Schmullius, C. Use of remote sensing products in a terrestrial ecosystems verified full carbon account: Experiences from Russia. In Proceedings of the International Institute for Applied Systems Analysis: Earth Observation for Land-Atmosphere Interaction Science, Frascati, Italy, 3–5 November 2010.
- Pan, Y.; Birdsey, R.; Hom, J.; McCullough, K.; Clark, K. Improved estimates of net primary productivity from MODIS satellite data at regional and local scales. Ecol. Appl. 2006, 16, 125–132. [Google Scholar] [CrossRef] [PubMed]
- Hasenauer, H.; Petritsch, R.; Zhao, M.; Boisvenus, C.; Running, S.W. Reconciling satellite with ground data to estimate forest productivity at national scales. For. Ecol. Manag. 2012, 276, 196–208. [Google Scholar] [CrossRef]
- Tomppo, E.; Gschwantner, T.; Lawrence, M.; McRoberts, R.E. National Forest Inventories: Pathways for Common Reporting; Springer: Berlin, Germany, 2010; p. 610. [Google Scholar]
- Schadauer, K.; Gschwantner, T.; Gabler, K. Austrian National Forest Inventory: Caught in the Past and Heading toward the Future. In Proceedings of the Seventh Annual Forest Inventory and Analysis Symposium, Washington, DC, USA, 3–6 October 2005; pp. 47–53.
- Hasenauer, H.; Eastaugh, C.S. Assessing forest production using terrestrial monitoring data. Int. J. For. Res. 2012. [Google Scholar] [CrossRef]
- Running, S.; Nemani, R.; Heinsch, F.; Zhao, M.; Reeves, M.; Hashimoto, H. A continuous satellite-derived measure of global terrestrial primary production. BioScience 2004, 54, 547–560. [Google Scholar] [CrossRef]
- Zhao, M.; Running, S.W. Drought-induced reduction in global terrestrial net primary production from 2000 through 2009. Science 2010, 329, 940–943. [Google Scholar]
- Monteith, J. Solar radiation and productivity in tropical ecosystems. J. Appl. Ecol. 1972, 9, 747–766. [Google Scholar] [CrossRef]
- Thornton, P.E.; Running, S.; White, M. Generating surfaces of daily meteorological variables over large regions of complex terrain. J. Hydrol. 1997, 190, 214–251. [Google Scholar] [CrossRef]
- Van Tuyl, S.; Law, B.E.; Turner, D.P.; Gitelman, A.I. Variability in net primary production and carbon storage in biomass across Oregon forests—An assessment integrating data from forest inventories, intensive sites, and remote sensing. For. Ecol. Manag. 2005, 209, 273–291. [Google Scholar] [CrossRef]
- Waring, R.H.; Milner, K.S.; Jolly, W.M.; Phillips, L.; McWethy, D. Assessment of site index and forest growth capacity across the Pacific and Inland Northwest USA with MODIS satellite-derived vegetation index. For. Ecol. Manag. 2006, 228, 285–291. [Google Scholar] [CrossRef]
- Muukkonen, P.; Heiskanen, J. Biomass estimation over a large area based on standwise forest inventory data and ASTER and MODIS satellite data: A possibility to verify carbon inventories. Remote Sens. Environ. 2007, 107, 617–624. [Google Scholar] [CrossRef]
- Härkönen, S.; Lehtonen, A.; Eerikäinen, K.; Mäkelä, A. Estimating forest carbon fluxes for large regions based on process-based modelling, NFI data and Landsat satellite images. For. Ecol. Manag. 2011, 262, 2364–2377. [Google Scholar] [CrossRef]
- Eenmäe, A.; Nilson, T.; Lang, M. A note on meteorological variables related trends in the MODIS NPP product for Estonia. For. Stud./Metsanduslikud. Uurim. 2011, 55, 60–63. [Google Scholar]
- Fang, H.; Wei, S.; Liang, S. Validation of MODIS and CYCLOPES LAI products using global field measurement data. Remote Sens. Environ. 2012, 119, 43–54. [Google Scholar] [CrossRef]
- Gabler, K.; Schadauer, K. Methods of the Austrian forest inventory 2000/02 origins, approaches, design, sampling, data models, evaluation and calculation of standard error. Available online: http://bfw.ac.at/rz/bfwcms.web?dok=7518 (accessed on 30 March 2015).
- He, L.; Chen, J.M.; Pan, Y.; Birdsey, R.; Kattge, J. Relationships between net primary productivity and forest stand age in U.S. forests. Glob. Biogeochem. Cycles 2012, 26, 1–19. [Google Scholar] [CrossRef]
- Liu, C.; Westman, C.; Berg, B.; Kutsch, W.; Wang, G.Z.; Man, R.; Ilvesniemi, H. Variation in litterfall-climate relationships between coniferous and broadleaf forests in Eurasia. Glob. Ecol. Biogeogr. 2004, 13, 105–115. [Google Scholar] [CrossRef]
- Bitterlich, W. Die Winkelzaehlprobe. Allg. For. Holzwirtsch. Ztg. 1948, 59, 4–5. [Google Scholar]
- Englisch, M.; Karrer, G.; Mutsch, F. Österreichische Waldboden-Zustandsinventur. Teil 1: Methodische Grundlagen. Mitt. Forstichen Bundesver. Wien. 1992, 168, 5–22. [Google Scholar]
- Schieler, K. Methode der Zuwachsberechnung der Oesterreichischen Waldinventur. Ph.D. Thesis, University of Natural Resources and Applied Life Sciences, Institute of Forest Growth, Vienna, Austria, 1997; p. 92. [Google Scholar]
- Van Deusen, P.C.; Dell, T.R.; Thomas, C.E. Volume Growth Estimation from Permanent Horizontal Points. For. Sci. 1986, 32, 415–422. [Google Scholar]
- Eastaugh, C.S.; Hasenauer, H. Biases in Volume Increment Estimates Derived from Successive Angle Count Sampling. For. Sci. 2013, 59, 1–14. [Google Scholar]
- Martin, G.L. A method for estimating ingrowth on permanent horizontal sample points. For. Sci. 1982, 28, 110–114. [Google Scholar]
- Intergovernmental Panel on Climate Change, Good Practice Guidance for Land Use, Land-Use Change and Forestry; Institute for Global Environmental Strategies (IGES): Hayama, Japan, 2003; p. 590.
- Krajicek, J.E.; Brinkman, K.A.; Gingrich, S.F. Crown competition—A measure of density. For. Sci. 1961, 1, 35–42. [Google Scholar]
- Reinecke, L.H. Prefecting a stand density index for even-aged forest. J. Agric. Res. 1933, 46, 627–638. [Google Scholar]
- Hasenauer, H. Dimensional relationships of open-grown trees in Austria. For. Ecol. Manag. 1997, 96, 197–206. [Google Scholar] [CrossRef]
- Hasenauer, H.; Burkhart, H.; Sterba, H. Variation in potential volume yield of loblolly pine plantations. For. Sci. 1994, 40, 162–176. [Google Scholar]
- Kilian, W.; Müller, F.; Starlinger, F. Die forstlichen Wuchsgebiete Österreichs—Eine Naturraumgliederung nach waldökologischen Gesichtspunkten. Available online: http://bfw.ac.at/030/2377.html (accessed on 27 March 2015).
- Hasenauer, H.; Merganičová, K.; Petritsch, R.; Pietsch, S.A.; Thornton, P.E. Validating daily climate interpolations over complex terrain in Austria. Agric. For. Meteorol. 2003, 119, 87–107. [Google Scholar] [CrossRef]
- Eastaugh, C.S.; Petritsch, R.; Hasenauer, H. Climate characteristics across the Austrian forest estate from 1960 to 2008. Aust. J. For. Sci. 2010, 127, 133–146. [Google Scholar]
- Thornton, P.E.; Hasenauer, H.; White, M.A. Simultaneous estimation of daily solar radiation and humidity from observed temperature and precipitation: An application over complex terrain in Austria. Agric. For. Meteorol. 2000, 104, 255–271. [Google Scholar] [CrossRef]
- Petritsch, R.; Hasenauer, H. Climate input parameters for real-time online risk assessment. Nat. Hazards 2011, 59, 1–14. [Google Scholar] [CrossRef]
- Zhao, M.; Heinsch, F.A.; Nemani, R.R.; Running, S.W. Improvements of the MODIS terrestrial gross and net primary production global data set. Remote Sens. Environ. 2005, 95, 164–175. [Google Scholar] [CrossRef]
- Wang, Y.; Woodcock, C.E.; Buermann, W.; Stenberg, P.; Voipio, P.; Smolander, H.; Hame, T.; Tian, Y.; Hu, J.; Knyazikhin, Y.; Myneni, R.B. Evaluation of the MODIS LAI algorithm at a coniferous forest site in Finland. Remote Sens. Environ. 2004, 91, 114–127. [Google Scholar] [CrossRef]
- Tan, B.; Woodcock, C.; Hu, J.; Zhang, P.; Ozdogan, M.; Huang, D.; Yang, W.; Knyazikhin, Y.; Myneni, R. The impact of gridding artifacts on the local spatial properties of MODIS data: Implications for validation, compositing, and band–to–band registration across resolutions. Remote Sens. Environ. 2006, 105, 98–114. [Google Scholar] [CrossRef]
- Yang, W.; Tan, B.; Huang, D.; Rautiainen, M.; Shabanov, N.V.; Wang, Y.; Privette, J.L.; Hummerich, K.F.; Fensholt, R.; Sandolt, I.; et al. MODIS leaf area index products: From validation to algorithm improvement. IEEE Trans. Geosci. Remote Sens. 2006, 44, 1885–1898. [Google Scholar] [CrossRef]
- Friedl, M.; Sulla-Menashe, D.; Tan, B.; Schneider, A.; Ramankutty, N.; Sibley, A.; Huang, X. MODIS Collection 5 global land cover: Algorithm refinements and characterization of new datasets. Remote Sens. Environ. 2010, 114, 168–182. [Google Scholar] [CrossRef]
- Ma, L.; Zhang, T.; Li, Q.; Frauenfeld, O.W.; Qin, D. Evaluation of ERA-40, NCEP-1, and NCEP-2 reanalysis air temperatures with ground-based measurements in China. J. Geophys. Res. 2008, 113, 1–15. [Google Scholar]
- Kanamitsu, M.; Ebisuzaki, W.; Woollen, J.; Yang, S.K.; Hnilo, J.J.; Fiorino, M.; Potter, G.L. NCEP-DOE AMIP-II reanalysis (R-2). Bull. Am. Meteorol. Soc. 2002, 83, 1631–1643. [Google Scholar] [CrossRef]
- Weng, Q. Global Urban Monitoring and Assessment through Earth Observation; CRC Press: Boca Raton, FL, USA, 2014; p. 440. [Google Scholar]
- Zhao, M.; Running, S.W.; Nemani, R.R. Sensitivity of moderate resolution imaging spectroradiometer (MODIS) terrestrial primary production to the accuracy of meteorological reanalyses. J. Geophys. Res. 2006, 111, 1–13. [Google Scholar] [PubMed]
- Bruce, D. Yield Differences between Research Plots and Managed Forests. J. For. 1977, 75, 14–17. [Google Scholar]
- Hradetzky, J. Concerning the precision of growth estimation using permanent horizontal point samples. For. Ecol. Manag. 1995, 71, 203–210. [Google Scholar] [CrossRef]
- Austrian Forest Act (Österreichisches Forstgesetz). Available online: https://www.ris.bka.gv.at/ (accessed on 4 February 2015).
- Eastaugh, C.; Hasenauer, H. Improved estimates of per-plot basal area from angle count inventories. Forests 2014, 7, 178–185. [Google Scholar]
- Seidl, R.; Eastaugh, C.S.; Kramer, K.; Maroschek, M.; Reyer, C.; Socha, J.; Vacchiano, G.; Zlatanov, T.; Hasenauer, H. Scaling issues in forest ecosystem management and how to address them with models. Eur. J. For. Res. 2013, 132, 653–666. [Google Scholar] [CrossRef]
- Zhang, K.; Kimball, J.S.; Mu, Q.; Jones, L.A.; Goetz, S.J.; Running, S.W. Satellite based analysis of northern ET trends and associated changes in the regional water balance from 1983 to 2005. J. Hydrol. 2009, 379, 92–110. [Google Scholar] [CrossRef]
- Blaney, H.F.; Criddle, W.D. Determining Water Requirements in Irrigated Areas from Climatological and Irrigation Data; Technical Paper; United States Department of Agriculture: Washington, WA, USA, 1950; Volume 96, p. 44.
- Assmann, E. The Principles of Forest Yield Study; Pergamon Press: New York, NY, USA, 1970; p. 506. [Google Scholar]
- Seidl, R.; Rammer, R.; Jäger, D.; Lexer, M.J. Impact of bark beetle (Ips. typographus L.) disturbance on timber production and carbon sequestration in different management strategies under climate change. For. Ecol. Manag. 2008, 256, 209–220. [Google Scholar] [CrossRef]
- Seidl, R.; Fernandes, P.M.; Fonseca, T.F.; Gillet, F.; Jönsson, A.M.; Merganicova, K.; Netherer, S.; Arpaci, A.; Bontemps, J.D.; Bugmann, H.; et al. Modelling natural disturbances in forest ecosystems: A review. Ecol. Model. 2010, 222, 903–924. [Google Scholar] [CrossRef]
- Pan, Y.; Birdsey, R.A.; Fang, J.; Houghton, R.; Kauppi, P.E.; Kurz, W.A.; Phillips, O.L.; Lewis, S.L.; Canadell, J.G.; Ciais, P.; et al. A large and persistent carbon sink in the world’s forests. Science 2011, 333, 988–992. [Google Scholar] [CrossRef] [PubMed]
- Angelsen, A. Realising REDD+ National Strategy and Policy Options; CIFOR: Bogor, Indonesia, 2009; p. 390. [Google Scholar]
- Braun, R. Österreichische Forstinventur. Methodik der Auswertung und Standardfehler-Berechnung. Mitt. Forstl. Bundesver. Wien. 1969, 84, 1–60. [Google Scholar]
- Pollanschütz, J. Formzahlfunktionen der Hauptbaumarten Österreichs. Inf. Forstl. Bundesver. Wien. 1974, 153, 341–343. [Google Scholar]
- Schieler, K. Methodische Fragen in Zusammenhang mit der österreichischen Forstinventur. Master Thesis, University of Natural Resources and Applied Life Sciences, Institute of Forest Growth, Vienna, Austria, 1988; p. 99. [Google Scholar]
- Wagenführ, R.; Scheiber, C. Holzatlas, 2nd Ed. ed; VEB Fachbuchverlag: Leibzig, Germany, 1985; p. 690. [Google Scholar]
- Hochbichler, E.; Bellos, P.; Lick, E. Biomass functions for estimating needle and branch biomass of spruce (Picea abies) and Scots pine (Pinus sylvestris) and branch biomass of beech (Fagus sylvatica) and oak (Quercus robur and petrea). Aust. J. For. Sci. 2006, 123, 35–46. [Google Scholar]
- Ledermann, T.; Neumann, M. Biomass equations from data of old long-term experimental plots. Aust. J. For. Sci. 2006, 123, 47–64. [Google Scholar]
- Burger, H. Holz, Blattmenge und Zuwachs. VIII. Mitteilung. Die Eiche. Mitt. Schweiz. Anst. Forstl. Vers. 1947, 25, 211–279. [Google Scholar]
- Burger, H. Holz, Blattmenge und Zuwachs. X. Mitteilung. Die Buche. Mitt. Schweiz. Anst. Forstl. Vers. 1949, 26, 419–468. [Google Scholar]
- Lexer, M.J.; Hoenninger, K. A modified 3D-patch model for spatially explicit simulation of vegetation composition in heterogeneous landscapes. For. Ecol. Manag. 2001, 144, 43–65. [Google Scholar] [CrossRef]
- Offenthaler, I.; Hochbichler, E. Estimation of root biomass of Austrian forest tree species. Aust. J. For. Sci. 2006, 123, 65–86. [Google Scholar]
- Wirth, C.; Schumacher, J.; Schulze, E.D. Generic biomass functions for Norway spruce in Central Europe—A meta-analysis approach toward prediction and uncertainty estimation. Tree Physiol. 2004, 24, 121–139. [Google Scholar] [CrossRef] [PubMed]
- Bolte, A.; Rahmann, T.; Kuhr, M.; Pogoda, P.; Murach, D.; von Gadow, K. Relationships between tree dimension and coarse root biomass in mixed stands of European beech (Fagus sylvatica L.) and Norway spruce (Picea abies[L.] Karst.). Plant Soil 2004, 264, 1–11. [Google Scholar] [CrossRef]
© 2015 by the authors; licensee MDPI, Basel, Switzerland. This article is an open access article distributed under the terms and conditions of the Creative Commons Attribution license (http://creativecommons.org/licenses/by/4.0/).
Share and Cite
Neumann, M.; Zhao, M.; Kindermann, G.; Hasenauer, H. Comparing MODIS Net Primary Production Estimates with Terrestrial National Forest Inventory Data in Austria. Remote Sens. 2015, 7, 3878-3906. https://doi.org/10.3390/rs70403878
Neumann M, Zhao M, Kindermann G, Hasenauer H. Comparing MODIS Net Primary Production Estimates with Terrestrial National Forest Inventory Data in Austria. Remote Sensing. 2015; 7(4):3878-3906. https://doi.org/10.3390/rs70403878
Chicago/Turabian StyleNeumann, Mathias, Maosheng Zhao, Georg Kindermann, and Hubert Hasenauer. 2015. "Comparing MODIS Net Primary Production Estimates with Terrestrial National Forest Inventory Data in Austria" Remote Sensing 7, no. 4: 3878-3906. https://doi.org/10.3390/rs70403878
APA StyleNeumann, M., Zhao, M., Kindermann, G., & Hasenauer, H. (2015). Comparing MODIS Net Primary Production Estimates with Terrestrial National Forest Inventory Data in Austria. Remote Sensing, 7(4), 3878-3906. https://doi.org/10.3390/rs70403878
